Unveiling the Chemistry and Synthetic Potential of Catalytic Cycloaddition Reaction of Allenes: A Review
Abstract
1. Introduction
2. Review of Literature
2.1. Transition-Metal Catalyzed Cycloaddition Reactions of Allenes
2.1.1. Titanium Catalyzed Reactions
2.1.2. Cobalt-Catalyzed Reactions
2.1.3. Rhodium Catalyzed Reactions
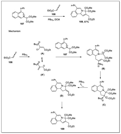
2.1.4. Nickel Catalyzed Reactions
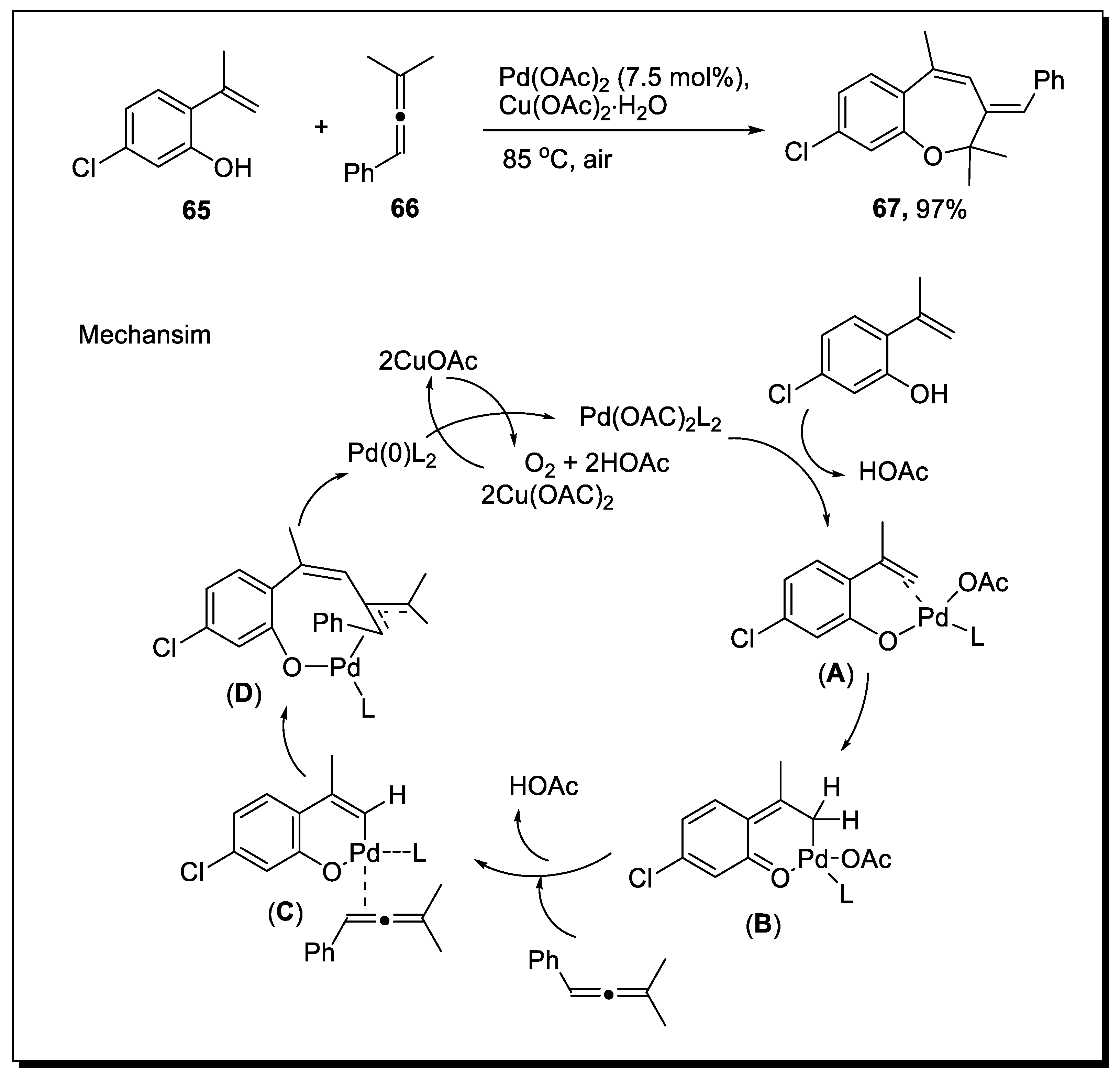
2.1.5. Palladium Catalyzed Reactions
2.1.6. Platinum and Gold Catalyzed Reactions
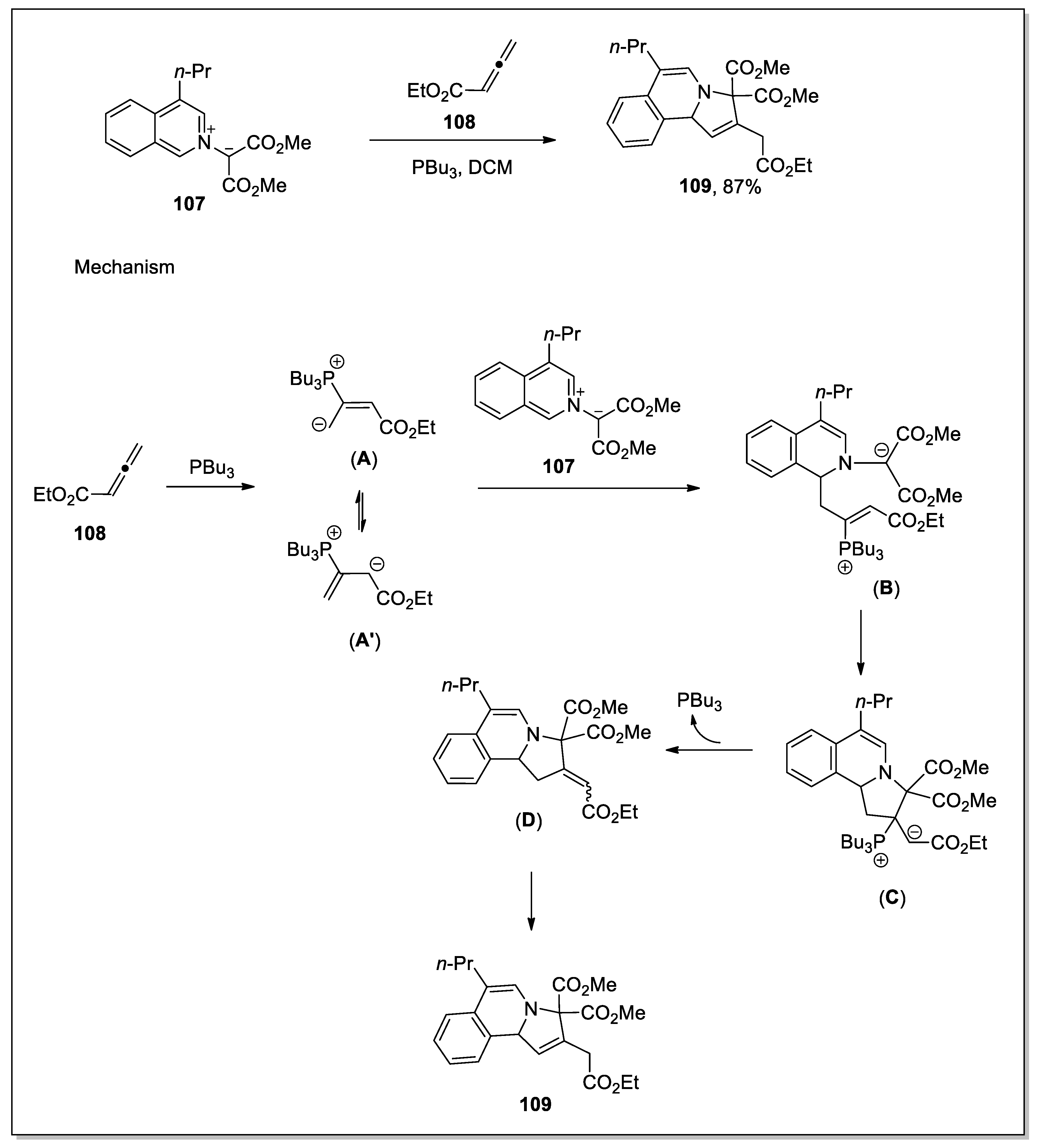
2.2. Phosphine Catalyzed Cycloaddition Reactions of Allenes
2.3. Miscellaneous
2.4. Synthesis of Natural Products
2.4.1. Synthesis of Guaiane Family
2.4.2. Synthesis of (−)-Vindoline and (+)-4-epi-Vindoline
2.4.3. Formal Synthesis of (−)-Galanthamine
2.4.4. Diastereoselective Synthesis of Diquinanes and Triquinanes
2.4.5. Synthesis of ent-[3]-Ladderanol
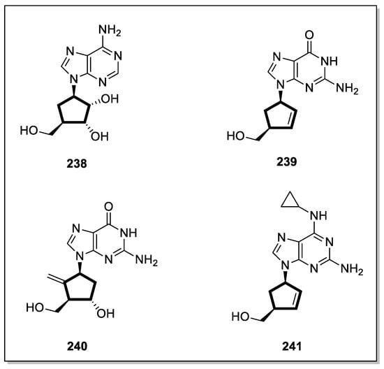
2.4.6. Synthesis of Chiral Carbocyclic Nucleosides
2.4.7. Synthesis of Hebelophyllene E
3. Conclusions
Author Contributions
Funding
Institutional Review Board Statement
Informed Consent Statement
Data Availability Statement
Conflicts of Interest
References
- Akhtar, R.; Zahoor, A.F.; Parveen, B.; Suleman, M. Development of environmental friendly synthetic strategies for Sonogashira cross coupling reaction: An update. Synth. Commun. 2019, 49, 167. [Google Scholar] [CrossRef]
- Yousaf, M.; Zahoor, A.F.; Akhtar, R.; Ahmad, M.; Naheed, S. Development of green methodologies for Heck, Chan–Lam, Stille and Suzuki cross-coupling reactions. Mol. Divers. 2020, 24, 821. [Google Scholar] [CrossRef] [PubMed]
- Akhtar, R.; Zahoor, A.F. Transition metal catalyzed Glaser and Glaser-Hay coupling reactions: Scope, classical/green methodologies and synthetic applications. Synth. Commun. 2020, 50, 3337. [Google Scholar] [CrossRef]
- Babar, K.; Zahoor, A.F.; Ahmad, S.; Akhtar, R. Recent synthetic strategies toward the synthesis of spirocyclic compounds comprising six-membered carbocyclic/heterocyclic ring systems. Mol. Divers. 2020, 25, 2487–2532. [Google Scholar] [CrossRef]
- Tabassum, S.; Zahoor, A.F.; Ahmad, S.; Noreen, R.; Khan, S.G.; Ahmad, H. Cross-coupling reactions towards the synthesis of natural products. Mol. Divers. 2020, 26, 647–689. [Google Scholar] [CrossRef]
- Appukkuttan, P.; Mehta, V.P.; Eycken, E.V.V.D. Microwave-assisted cycloaddition reactions. Chem. Soc. Rev. 2010, 39, 1467. [Google Scholar] [CrossRef]
- Pla-Quintana, A.; Roglans, A. [2+2+2] Cycloaddition Reactions of Macrocyclic Systems Catalyzed by Transition Metals. A Review. Molecules 2010, 15, 9230–9251. [Google Scholar] [CrossRef]
- Wang, J.; Blaszczyk, S.A.; Li, X.; Tang, W. Transition Metal-Catalyzed Selective Carbon–Carbon Bond Cleavage of Vinylcyclopropanes in Cycloaddition Reactions. Chem. Rev. 2021, 121, 110–139. [Google Scholar] [CrossRef] [PubMed]
- Battiste, M.A.; Pelphrey, P.M.; Wright, D.L. The cycloaddition strategy for the synthesis of natural products containing carbocyclic seven-membered rings. Chem. Eur. J. 2006, 12, 3438–3447. [Google Scholar] [CrossRef] [PubMed]
- Jasinski, R. On the question of stepwise [4+ 2] cycloaddition reactions and their stereochemical aspects. Symmetry 2021, 13, 1911. [Google Scholar] [CrossRef]
- Jasinski, R.; Dresler, E. On the question of zwitterionic intermediates in the [3+ 2] cycloaddition reactions: A critical review. Organics 2020, 1, 49–69. [Google Scholar] [CrossRef]
- Burrell, A.J.M.; Coldham, I. Synthesis of Natural Products Using Intramolecular Dipolar Cycloaddition Reactions. Curr. Org. Synth. 2010, 7, 312. [Google Scholar] [CrossRef]
- Dell, C.P. Recent advances in the synthesis of piperidones and piperidines. J. Chem. Soc. Perkin Trans. I 1998, 22, 3873. [Google Scholar]
- Afonso, M.M.; Palenzuela, J.A. Recent advances in the synthesis and reactivity of vinylallenes. Curr. Org. Chem. 2019, 23, 3004. [Google Scholar] [CrossRef]
- Tian, Z.Y.; Liu, C.-H.; Yu, Z.X. Rhodium-Catalyzed [4+ 2+ 1] Cycloaddition of In Situ Generated Ene/Yne-Ene-Allenes and CO. Angew. Chem. Int. Ed. Engl. 2018, 57, 15544. [Google Scholar] [CrossRef] [PubMed]
- Chen, C.-N.; Liu, R.-S. Gold-catalyzed [4+2] Annulations of Dienes with Nitrosoarenes as 4 π Donors: Nitroso-Povarov Reactions. Angew. Chem. Int. Ed. Engl. 2019, 58, 9831. [Google Scholar] [CrossRef]
- López, F.; Mascareñas, J.L. Allenes as Three-Carbon Units in Catalytic Cycloadditions: New Opportunities with Transition-Metal Catalysts. Chem. Eur. J. 2011, 17, 418. [Google Scholar] [CrossRef] [PubMed]
- López, F.; Mascareñas, J.L. [4+ 2] and [4+ 3] catalytic cycloadditions of allenes. Chem. Soc. Rev. 2014, 43, 2904. [Google Scholar] [CrossRef]
- Mascareñas, J.L.; Varela, I.; López, F. Allenes and derivatives in gold (I)-and platinum (II)-catalyzed formal cycloadditions. Acc. Chem. Res. 2019, 52, 465. [Google Scholar] [CrossRef]
- Lo, V.K.-Y.; Chan, Y.M.; Zhou, D.; Toy, P.H.; Che, C.-M. Highly Enantioselective Synthesis Using Prolinol as a Chiral Auxiliary: Silver-Mediated Synthesis of Axially Chiral Vinylallenes and Subsequent (Hetero)-Diels–Alder Reactions. Org. Lett. 2019, 21, 7717. [Google Scholar] [CrossRef]
- Alcaide, B.; Almendros, P.; Aragoncillo, C. Exploiting [2+ 2] cycloaddition chemistry: Achievements with allenes. Chem. Soc. Rev. 2010, 39, 783. [Google Scholar] [CrossRef]
- Wei, Y.; Shi, M. Lu’s [3+2] cycloaddition of allenes with electrophiles: Discovery, development and synthetic application. Org. Chem. Front. 2017, 4, 1876. [Google Scholar] [CrossRef]
- Lledó, A.; Pla-Quintana, A.; Roglans, A. Allenes, versatile unsaturated motifs in transition-metal-catalysed [2+2+2] cycloaddition reactions. Chem. Soc. Rev. 2016, 45, 2010. [Google Scholar] [CrossRef] [PubMed]
- Inagaki, F.; Kitagaki, S.; Mukai, C. Construction of diverse ring systems based on allene-multiple bond cycloaddition. Synlett 2011, 5, 0594. [Google Scholar]
- Sajna, K.V.; Kotikalapudi, R.; Chakravarty, M.; Kumar, N.N.B.; Swamy, K.C.K. Cycloaddition reactions of allenylphosphonates and related allenes with dialkyl acetylenedicarboxylates, 1, 3-diphenylisobenzofuran, and anthracene. J. Org. Chem. 2011, 76, 920. [Google Scholar] [CrossRef] [PubMed]
- Nelson, R.; Gulías, M.; Mascareñas, J.L.; López, F. Concise, Enantioselective, and Versatile Synthesis of (−)-Englerin A Based on a Platinum-Catalyzed [4C+ 3C] Cycloaddition of Allenedienes. Angew. Chem. Int. Ed. Engl. 2016, 55, 14359. [Google Scholar] [CrossRef] [PubMed]
- D’yakonov, V.A.; Kadikova, G.N.; Kolokol, D.I.; Ramazanov, I.R.; Dzhemilev, U.M. Titanium-Catalyzed [6π+ 2π]-Cycloaddition of Alkynes and Allenes to 7-Substituted 1, 3, 5-Cycloheptatrienes. Eur. J. Org. Chem. 2015, 2015, 4464–4470. [Google Scholar] [CrossRef]
- Ding, W.; Yoshikai, N. Cobalt-Catalyzed Intermolecular [2+2] Cycloaddition between Alkynes and Allenes. Angew. Chem. Int. Ed. 2019, 131, 2522. [Google Scholar] [CrossRef]
- Yang, J.; Sun, Q.; Yoshikai, N. Cobalt-catalyzed regio-and diastereoselective formal [3+2] cycloaddition between cyclopropanols and allenes. ACS Catal. 2019, 9, 1973. [Google Scholar] [CrossRef]
- Casanova, N.; Seoane, A.; Mascareñas, J.L.; Gulías, M. Rhodium-Catalyzed (5+1) Annulations Between 2-Alkenylphenols and Allenes: A Practical Entry to 2,2-Disubstituted 2H-Chromenes. Angew. Chem. Int. Ed. 2015, 127, 2404. [Google Scholar]
- Sarfraz, I.; Rasul, A.; Hussain, G.; Shah, M.A.; Zahoor, A.F.; Asrar, M.; Selamoglu, Z.; Ji, X.-Y.; Adem, S.; Sarker, S.D. 6-Phosphogluconate dehydrogenase fuels multiple aspects of cancer cells: From cancer initiation to metastasis and chemoresistance. BioFactors 2020, 46, 550. [Google Scholar] [CrossRef] [PubMed]
- Haraburda, E.; Lledo, A.; Roglans, A.; Pla-Quintana, A. Dehydrogenative [2+ 2+ 2] cycloaddition of cyano-yne-allene substrates: Convenient access to 2, 6-naphthyridine scaffolds. Org. Lett. 2015, 17, 2882. [Google Scholar] [CrossRef] [PubMed]
- Haraburda, E.; Fernández, M.; Gifreu, A.; Garcia, J.; Parella, T.; Pla-Quintana, A.; Roglans, A. Chiral Induction in Intramolecular Rhodium-Catalyzed [2+ 2+ 2] Cycloadditions of Optically Active Allene–ene/yne–allene Substrates. Adv. Synth. Catal. 2017, 359, 506. [Google Scholar] [CrossRef]
- Lin, T.Y.; Zhu, C.Z.; Zhang, P.; Wang, Y.; Wu, H.H.; Feng, J.J.; Zhang, J. Regiodivergent intermolecular [3+ 2] cycloadditions of vinyl aziridines and allenes: Stereospecific synthesis of chiral pyrrolidines. Angew. Chem. Int. Ed. 2016, 128, 11002. [Google Scholar] [CrossRef]
- Liu, C.H.; Yu, Z.X. Rh (I)-Catalyzed Intramolecular [3+ 2] Cycloaddition of trans-2-Allene-Vinylcyclopropanes. Synlett 2018, 29, 764. [Google Scholar]
- Han, Y.; Ma, S. Rhodium-catalyzed highly diastereoselective intramolecular [4+ 2] cycloaddition of 1, 3-disubstituted allene-1, 3-dienes. Org. Chem. Front. 2018, 5, 2680. [Google Scholar] [CrossRef]
- Han, Y.; Qin, A.; Ma, S. One Stone for Three Birds-Rhodium-Catalyzed Highly Diastereoselective Intramolecular [4+2] Cycloaddition of Optically Active Allene-1,3-dienes. Chin. J. Chem. 2019, 37, 486. [Google Scholar] [CrossRef]
- Gerstner, N.C.; Adams, C.S.; Tretbar, M.; Schomaker, J.M. Stereocontrolled Syntheses of Seven-Membered Carbocycles by Tandem Allene Aziridination/[4+ 3] Reaction. Angew. Chem. Int. Ed. 2016, 55, 13240. [Google Scholar] [CrossRef]
- Song, W.; Lynch, J.C.; Shu, X.Z.; Tang, W. Rhodium-Catalyzed [5+ 2] Cycloaddition of 3-Acyloxy-1, 4-enyne with Alkene or Allene. Adv. Synth. Catal. 2016, 358, 2007. [Google Scholar] [CrossRef]
- Liu, C.H.; Yu, Z.X. Rhodium(I)-Catalyzed Bridged [5+2] Cycloaddition of cis-Allene-vinylcyclopropanes to Synthesize the Bicyclo [4.3.1]decane Skeleton. Angew. Chem. Int. Ed. 2017, 129, 8793. [Google Scholar] [CrossRef]
- Drew, D.P.; Krichau, N.; Reichwald, K.; Simonsen, H.T. Guaianolides in apiaceae: Perspectives on pharmacology and biosynthesis. Phytochem. Rev. 2009, 8, 581. [Google Scholar] [CrossRef]
- Wells, S.M.; Brummond, K.M. Conditions for a Rh (I)-catalyzed [2+ 2+ 1] cycloaddition reaction with methyl substituted allenes and alkynes. Tetrahedron Lett. 2015, 56, 3546. [Google Scholar] [CrossRef] [PubMed]
- Oonishi, Y.; Hato, Y.; Sato, Y. Rhodium(I)-Catalyzed [2+2+2] Cycloaddition between Allene, Alkyne, and Imine via a Strained Azarhodacycle Intermediate. Adv. Synth. Catal. 2015, 357, 3033. [Google Scholar] [CrossRef]
- Sakashita, K.; Shibata, Y.; Tanaka, K. Rhodium-Catalyzed Cross-Cyclotrimerization and Dimerization of Allenes with Alkynes. Angew. Chem. Int. Ed. 2016, 55, 6753. [Google Scholar] [CrossRef]
- Zhou, X.; Dong, G. (4+ 1) vs (4+ 2): Catalytic intramolecular coupling between cyclobutanones and trisubstituted allenes via C–C activation. J. Am. Chem. Soc. 2015, 137, 13715. [Google Scholar] [CrossRef] [PubMed]
- Zhao, C.; Liu, L.C.; Wang, J.; Jiang, C.; Zhang, Q.W.; He, W. Rh (I)-Catalyzed Insertion of Allenes into C–C Bonds of Benzocyclobutenols. Org. Lett. 2016, 18, 328. [Google Scholar]
- Kawamura, T.; Kawaguchi, Y.; Sugikubo, K.; Inagaki, F.; Mukai, C. Rhodium (I)-Catalyzed Cycloisomerization of Allene–Allenylcyclopropanes. Eur. J. Org. Chem. 2015, 2015, 719–722. [Google Scholar] [CrossRef]
- Cassú, D.; Parella, T.; Solà, M.; Pla-Quintana, A.; Roglans, A. Rhodium-catalyzed [2+ 2+ 2] cycloaddition reactions of linear allene–ene–ynes to afford fused tricyclic scaffolds: Insights into the mechanism. Chem. Eur. J. 2017, 23, 14889–14899. [Google Scholar] [CrossRef]
- Noucti, N.N.; Alexanian, E.J. Stereoselective Nickel-Catalyzed [2+2] Cycloadditions of Ene-Allenes. Angew. Chem. Int. Ed. 2015, 127, 5537. [Google Scholar] [CrossRef]
- Casanova, N.; Del Rio, K.P.; García-Fandin, R.; Mascaren, J.L.; Gulías, M. Palladium(II)-Catalyzed Annulation between ortho-Alkenylphenols and Allenes. Key Role of the Metal Geometry in Determining the Reaction Outcome. ACS Catal. 2016, 6, 3349. [Google Scholar] [CrossRef]
- Cendo, B.; Casanova, N.; Comanescu, C.; García-Fandiño, R.; Seoane, A.; Gulias, M.; Mascaren, J.L. Palladium-Catalyzed Formal (5 + 2) Annulation between ortho-Alkenylanilides and Allenes. Org. Lett. 2017, 19, 1674. [Google Scholar] [CrossRef] [PubMed]
- Vidal, X.; Mascaren, J.L.; Gulías, M. Palladium-catalyzed, enantioselective formal cycloaddition between benzyltriflamides and allenes: Straightforward access to enantioenriched isoquinolines. J. Am. Chem. Soc. 2019, 141, 1862. [Google Scholar] [CrossRef] [PubMed]
- Li, L.; Luo, P.; Deng, Y.; Shao, Z. Regioselectivity Switch in Palladium-Catalyzed Allenylic Cycloadditions of Allenic Esters:[4+ 1] or [4+ 3] Cycloaddition/Cross-Coupling. Angew. Chem. Int. Ed. 2019, 131, 4758. [Google Scholar] [CrossRef]
- Mei, L.Y.; Wei, Y.; Tang, X.Y.; Shi, M. Catalyst-dependent stereodivergent and regioselective synthesis of indole-fused heterocycles through formal cycloadditions of indolyl-allenes. J. Am. Chem. Soc. 2015, 137, 8131. [Google Scholar] [CrossRef]
- Ocello, R.; De Nisi, A.; Jia, M.; Yang, Q.Q.; Monari, M.; Giacinto, P.; Bottoni, A.; Miscione, G.P.; Bandini, M. Gold(I)-Catalyzed Dearomative [2+2]-Cycloaddition of Indoles with Activated Allenes: A Combined Experimental–Computational Study. Chem. Eur. J. 2015, 21, 18445. [Google Scholar] [CrossRef] [PubMed]
- Peng, S.; Cao, S.; Sun, J. Gold-catalyzed regiodivergent [2+ 2+ 2]-cycloadditions of allenes with triazines. Org. Lett. 2017, 19, 524. [Google Scholar] [CrossRef] [PubMed]
- Sun, N.; Xie, X.; Chen, H.; Liu, Y. Gold-Catalyzed Cyclization of Furan-Ynes bearing a Propargyl Carbonate Group: Intramolecular Diels–Alder Reaction with In Situ Generated Allenes. Chem. Eur. J. 2016, 22, 14175. [Google Scholar] [CrossRef]
- Faustino, H.; Varela, I.; Mascareñas, J.L.; López, F. Gold(i)-catalyzed [2 + 2 + 2] cycloaddition of allenamides, alkenes and aldehydes: A straightforward approach to tetrahydropyrans. Chem. Sci. 2015, 6, 2903. [Google Scholar] [CrossRef] [PubMed]
- Varela, I.; Faustino, H.; Díez, E.; Iglesias-Sigüenza, J.; Grande-Carmona, F.; Fernandez, R.; Lassaletta, J.M.; Mascareñas, J.L.; López, F. Gold (I)-catalyzed enantioselective [2+2+2] cycloadditions: An expedient entry to enantioenriched tetrahydropyran scaffolds. ACS Catal. 2017, 7, 2397. [Google Scholar] [CrossRef]
- Marcote, D.C.; Varela, I.; Ferna, J.; Mascaren, J.L.; Lo, F. Gold(I)-Catalyzed Enantioselective Annulations between Allenes and Alkene-Tethered Oxime Ethers: A Straight Entry to Highly Substituted Piperidines and aza-Bridged Medium-Sized Carbocycles. J. Am. Chem. Soc. 2018, 140, 16821. [Google Scholar] [CrossRef] [PubMed]
- Zhang, Q.; Tu, G.; Zhao, Y.; Cheng, T. Novel bioactive isoquinoline alkaloids from Carduus crispus. Tetrahedron 2002, 58, 6795. [Google Scholar] [CrossRef]
- Jia, Z.J.; Daniliuc, C.G.; Antonchick, A.P.; Waldmann, H. Phosphine-catalyzed dearomatizing [3+ 2] annulations of isoquinolinium methylides with allenes. Chem. Commun. 2015, 51, 1054. [Google Scholar] [CrossRef] [PubMed]
- Sankar, M.G.; Garcia-Castro, M.; Golz, C.; Strohmann, C.; Kumar, K. Engaging Allene-Derived Zwitterions in an Unprecedented Mode of Asymmetric [3+ 2]-Annulation Reaction. Angew. Chem. Int. Ed. 2016, 128, 9861. [Google Scholar] [CrossRef]
- Wang, D.; Wang, G.P.; Sun, Y.L.; Zhu, S.F.; Wei, Y.; Zhou, Q.L.; Shi, M. Chiral phosphine-catalyzed tunable cycloaddition reactions of allenoates with benzofuranone-derived olefins for a highly regio-, diastereo- and enantioselective synthesis of spiro-benzofuranones. Chem. Sci. 2015, 6, 7319. [Google Scholar] [CrossRef] [PubMed]
- Smaligo, A.J.; Vardhineedi, S.; Kwon, O. Carvone-derived P-stereogenic phosphines: Design, synthesis, and use in allene–imine [3+ 2] annulation. ACS Catal. 2018, 8, 5188. [Google Scholar] [CrossRef]
- Kramer, S.; Fu, G.C. Use of a new spirophosphine to achieve catalytic enantioselective [4+ 1] annulations of amines with allenes to generate dihydropyrroles. J. Am. Chem. Soc. 2015, 137, 3803. [Google Scholar] [CrossRef] [PubMed]
- Gicquel, M.; Zhang, Y.; Aillard, P.; Retailleau, P.; Voituriez, A.; Marinetti, A. Phosphahelicenes in Asymmetric Organocatalysis:[3+ 2] Cyclizations of γ-Substituted Allenes and Electron-Poor Olefins. Angew. Chem. Int. Ed. 2015, 54, 5470. [Google Scholar] [CrossRef]
- Gu, Y.; Hu, P.; Ni, C.; Tong, X. Phosphine-Catalyzed Addition/Cycloaddition Domino Reactions of β′-Acetoxy Allenoate: Highly Stereoselective Access to 2-Oxabicyclo[3.3.1]nonane and Cyclopenta[a]pyrrolizine. J. Am. Chem. Soc. 2015, 137, 6400. [Google Scholar] [CrossRef] [PubMed]
- Zhang, S.; Luo, Y.C.; Hu, X.Q.; Wang, Z.Y.; Liang, Y.M.; Xu, P.F. Enantioselective Amine-Catalyzed [4 + 2] Annulations of Allene Ketones and 2,3-Dioxopyrrolidine Derivatives: Synthesis of 4H-Pyran Derivatives. J. Org. Chem. 2015, 80, 7288. [Google Scholar] [CrossRef]
- Conner, M.L.; Xu, Y.; Brown, M.K. Catalytic Enantioselective Allenoate–Alkene [2+ 2] Cycloadditions. J. Am. Chem. Soc. 2015, 137, 3482. [Google Scholar] [CrossRef]
- Xu, Y.; Hong, Y.J.; Tantillo, D.J.; Brown, M.K. Intramolecular chirality transfer [2+ 2] cycloadditions of allenoates and alkenes. Org. Lett. 2017, 19, 3703. [Google Scholar] [CrossRef]
- Cheng, C.; Sun, X.; Wu, Z.; Liu, Q.; Xiong, L.; Miao, Z. Lewis base catalyzed regioselective cyclization of allene ketones or α-methyl allene ketones with unsaturated pyrazolones. Org. Biomol. Chem. 2019, 17, 3232. [Google Scholar] [CrossRef]
- Aziz, H.; Zahoor, A.F.; Ahmad, S. Pyrazole Bearing Molecules As Bioactive Scaffolds: A Review. J. Chilean Chem. Soc. 2020, 65, 4746. [Google Scholar] [CrossRef]
- Sikandar, S.; Zahoor, A.F. Synthesis of pyrano[2,3-c]pyrazoles: A review. J. Heterocycl. Chem. 2021, 58, 685. [Google Scholar] [CrossRef]
- Liu, F.; Wang, J.Y.; Zhou, P.; Li, G.; Hao, W.J.; Tu, S.J.; Jiang, B. Merging [2+2] Cycloaddition with Radical 1,4-Addition: Metal-Free Access to Functionalized Cyclobuta[a]naphthalen-4-ols. Angew. Chem. Int. Ed. 2017, 56, 15570. [Google Scholar] [CrossRef] [PubMed]
- Kapur, A.; Sharma, V.; Kaur, A.; Parashar, P.; Kanwal, P.; Gupta, V.; Ishar, M.P.S. Thermal reactions involving 1-azadienes and allenic esters-(II):1a reactions of 3-(N-aryliminomethyl)chromones with allenic esters-tandem reorganization of [2+2] cycloadducts to novel compounds. Tetrahedron Lett. 2015, 56, 4784. [Google Scholar] [CrossRef]
- Chen, P.; Wang, K.; Guo, W.; Liu, X.; Liu, Y.; Li, C. Enantioselective Reactions of 2-Sulfonylalkyl Phenols with Allenic Esters: Dynamic Kinetic Resolution and [4+2] Cycloaddition Involving ortho-Quinone Methide Intermediates. Angew. Chem. Int. Ed. 2017, 129, 3743. [Google Scholar] [CrossRef]
- Barber, J.S.; Yamano, M.M.; Ramirez, M.; Darzi, E.R.; Knapp, R.R.; Liu, F.; Houk, K.N.; Garg, N.K. Diels–Alder cycloadditions of strained azacyclic allenes. Nat. Chem. 2018, 10, 953. [Google Scholar] [CrossRef]
- Feng, T.; Tian, M.; Zhang, X.; Fan, X. Tunable Synthesis of Functionalized Cyclohexa-1,3-dienes and 2-Aminobenzophenones/Benzoate from the Cascade Reactions of Allenic Ketones/Allenoate with Amines and Enones. J. Org. Chem. 2018, 83, 5313. [Google Scholar] [CrossRef] [PubMed]
- Ueda, M.; Hayama, M.; Hashishita, H.; Munechika, A.; Fukuyama, T. Controlled [3+2] and [2+2] Cycloadditions of 1,3-Bifunctional Allenes with C60 by Using a Flow Reaction System. Eur. J. Org. Chem. 2019, 2019, 6764. [Google Scholar] [CrossRef]
- Siadti, S.A.; Rezazadeh, S. The extraordinary gravity of three atom 4π-components and 1,3-dienes to C20-nXn fullerenes; a new gate to the future of Nano technology. Sci. Radices 2022, 1, 46. [Google Scholar] [CrossRef]
- Wang, C.S.; Zhu, R.Y.; Zheng, J.; Shi, F.; Tu, S.J. Enantioselective Construction of Spiro[indoline-3,2′-pyrrole] Framework via Catalytic Asymmetric 1,3-Dipolar Cycloadditions Using Allenes as Equivalents of Alkynes. J. Org. Chem. 2015, 80, 512. [Google Scholar] [CrossRef] [PubMed]
- Xiang, Y.; Li, Z.; Wang, L.N.; Yu, Z.X. TfOH- and HBF4-Mediated Formal Cycloisomerizations and [4+3] Cycloadditions of Allene-alkynylbenzenes. J. Org. Chem. 2018, 83, 7633. [Google Scholar] [CrossRef] [PubMed]
- Li, J.L.; Yang, X.J.; Jiang, M.; Liu, J.T. The preparation and cycloaddition reaction of 1-sulfonyl-1-trifluoromethyl allenes. Tetrahedron Lett. 2017, 58, 3377. [Google Scholar] [CrossRef]
- Cheng, G.; He, X.; Tian, L.; Chen, J.; Li, C.; Jia, X.; Li, J. Ugi/Himbert arene/allene Diels–Alder cycloaddition to synthesize strained polycyclic skeleton. J. Org. Chem. 2015, 80, 11100. [Google Scholar] [CrossRef]
- Arai, N.; Ohkuma, T. Stereoselective construction of methylenecyclobutane-fused indolines through photosensitized [2+ 2] cycloaddition of allene-tethered indole derivatives. Org. Lett. 2019, 21, 1506. [Google Scholar] [CrossRef] [PubMed]
- Wang, W.Y.; Wu, J.Y.; Liu, Q.R.; Liu, X.Y.; Ding, C.H.; Hou, X.L. Palladium/N-Heterocyclic Carbene (NHC)-Catalyzed Asymmetric [3 + 2] Cycloaddition Reaction of Vinyl Epoxides with Allenic Amides. Org. Lett. 2018, 20, 4773. [Google Scholar] [CrossRef] [PubMed]
- Evans, P.A.; Negru, D.E.; Shang, D. Rhodium-Catalyzed [(3+2)+2] Carbocyclization of Alkynylidenecyclopropanes with Substituted Allenes: Stereoselective Construction of Tri- and Tetrasubstituted Exocyclic Olefins. Angew. Chem. Int. Ed. 2015, 127, 4850. [Google Scholar] [CrossRef]
- Kobayashi, S.; Fukuyama, T.U.T. An efficient total synthesis of (-)-vindoline. Synlett 2000, 2000, 0883. [Google Scholar]
- Sears, J.E.; Barker, T.J.; Boger, D.L. Total Synthesis of (−)-Vindoline and (+)-4-epi-Vindoline Based on a 1,3,4-Oxadiazole Tandem Intramolecular [4 + 2]/[3 + 2] Cycloaddition Cascade Initiated by an Allene Dienophile. Org. Lett. 2015, 17, 5460. [Google Scholar] [CrossRef]
- Nordberg, A.; Svensson, A.L. Cholinesterase inhibitors in the treatment of Alzheimer’s disease. Drug Saf. 1998, 19, 465. [Google Scholar] [CrossRef]
- Liu, C.H.; Yu, Z.X. Rh-catalysed [5+ 1] cycloaddition of allenylcyclopropanes and CO: Reaction development and application to the formal synthesis of (−)-galanthamine. Org. Biomol. Chem. 2016, 14, 5945. [Google Scholar] [CrossRef] [PubMed]
- Satcharoen, V.; McLean, N.J.; Kemp, S.C.; Camp, N.P.; Brown, R.C. Stereocontrolled synthesis of (−)-galanthamine. Org. Lett. 2007, 9, 1867. [Google Scholar] [CrossRef] [PubMed]
- Lee, H.; Kang, T.; Lee, H.Y. Total Synthesis of (±)-Waihoensene. Angew. Chem. Int. Ed. 2017, 56, 8254. [Google Scholar] [CrossRef] [PubMed]
- Li, S.; Zhang, P.; Li, Y.; Lu, S.; Gong, J.; Yang, Z. Diastereoselective Synthesis of Diquinanes and Triquinanes Bearing Vicinal Quaternary Carbon Stereocenters from Acyclic Allene-based Precursors via a Cascade Reaction. Org. Lett. 2017, 19, 4416. [Google Scholar] [CrossRef]
- Damsté, J.S.S.; Strous, M.; Rijpstra, W.I.C.; Hopmans, E.C.; Geenevasen, J.A.; van Duin, A.C.; van Niftrik, L.A.; Jetten, M.S. Linearly concatenated cyclobutane lipids form a dense bacterial membrane. Nature 2002, 419, 708. [Google Scholar] [CrossRef] [PubMed]
- Kartal, B.; Maalcke, W.J.; de Almeida, N.M.; Cirpus, I.; Gloerich, J.; Geerts, W.; den Camp, H.J.O.; Harhangi, H.R.; Janssen-Megens, E.M.; Francoijs, K.J.; et al. Molecular mechanism of anaerobic ammonium oxidation. Nature 2011, 479, 127. [Google Scholar] [CrossRef]
- Line, N.J.; Witherspoon, B.P.; Hancock, E.N.; Brown, M.K. Synthesis of ent-[3]-Ladderanol: Development and Application of Intramolecular Chirality Transfer [2+2] Cycloadditions of Allenic Ketones and Alkenes. J. Am. Chem. Soc. 2017, 139, 14392. [Google Scholar] [CrossRef]
- Rawal, R.K.; Bariwal, J.; Singh, V. Chemistry and bioactivities of aristeromycins: An overview. Curr. Top. Med. Chem. 2016, 16, 3258. [Google Scholar] [CrossRef]
- Vince, R.; Brownell, J. Resolution of racemic carbovir and selective inhibition of human immunodeficiency virus by the (−) enantiomer. Biochem. Biophys. Res. Commun. 1990, 168, 912. [Google Scholar] [CrossRef]
- Langley, D.R.; Walsh, A.; Baldick, C.J.; Eggers, B.J.; Rose, R.E.; Levine, S.M.; Kapur, A.J.; Colonno, R.J.; Tenney, D.J. Inhibition of hepatitis B virus polymerase by entecavir. J. Virol. 2007, 81, 3992. [Google Scholar] [CrossRef] [PubMed]
- Gao, Y.W.; Niu, H.Y.; Zhang, Q.Y.; Xie, M.S.; Qu, G.R.; Guo, H.M. Regio-and Enantioselective [3+ 2] Cycloaddition of α-Purine Substituted Acrylates with Allenes: An Approach to Chiral Carbocyclic Nucleosides. Adv. Synth. Catal. 2018, 360, 2813. [Google Scholar] [CrossRef]
- Wichlacz, M.; Ayer, W.A.; Trifonov, L.S.; Chakravarty, P.; Khasa, D. Cis-Fused caryophyllenes from liquid cultures of Hebeloma longicaudum. Phytochemistry 1999, 51, 873. [Google Scholar] [CrossRef]
- Wiest, J.M.; Conner, M.L.; Brown, M.K. Synthesis of (−)-Hebelophyllene E: An Entry to Geminal Dimethyl-Cyclobutanes by [2+ 2] Cycloaddition of Alkenes and Allenoates. Angew. Chem. Int. Ed. 2018, 57, 4647. [Google Scholar]
- Scheid, G.; Kuit, W.; Ruijter, E.; Orru, R.V.; Henke, E.; Bornscheuer, U.; Wessjohann, L.A. A new route to protected acyloins and their enzymatic resolution with lipases. A New Route to Protected Acyloins and Their Enzymatic Resolution with Lipases. Eur. J. Org. Chem. 2004, 2004, 1063. [Google Scholar] [CrossRef]






































































Disclaimer/Publisher’s Note: The statements, opinions and data contained in all publications are solely those of the individual author(s) and contributor(s) and not of MDPI and/or the editor(s). MDPI and/or the editor(s) disclaim responsibility for any injury to people or property resulting from any ideas, methods, instructions or products referred to in the content. |
© 2023 by the authors. Licensee MDPI, Basel, Switzerland. This article is an open access article distributed under the terms and conditions of the Creative Commons Attribution (CC BY) license (https://creativecommons.org/licenses/by/4.0/).
Share and Cite
Sikandar, S.; Zahoor, A.F.; Ghaffar, A.; Anjum, M.N.; Noreen, R.; Irfan, A.; Munir, B.; Kotwica-Mojzych, K.; Mojzych, M. Unveiling the Chemistry and Synthetic Potential of Catalytic Cycloaddition Reaction of Allenes: A Review. Molecules 2023, 28, 704. https://doi.org/10.3390/molecules28020704
Sikandar S, Zahoor AF, Ghaffar A, Anjum MN, Noreen R, Irfan A, Munir B, Kotwica-Mojzych K, Mojzych M. Unveiling the Chemistry and Synthetic Potential of Catalytic Cycloaddition Reaction of Allenes: A Review. Molecules. 2023; 28(2):704. https://doi.org/10.3390/molecules28020704
Chicago/Turabian StyleSikandar, Sana, Ameer Fawad Zahoor, Abdul Ghaffar, Muhammad Naveed Anjum, Razia Noreen, Ali Irfan, Bushra Munir, Katarzyna Kotwica-Mojzych, and Mariusz Mojzych. 2023. "Unveiling the Chemistry and Synthetic Potential of Catalytic Cycloaddition Reaction of Allenes: A Review" Molecules 28, no. 2: 704. https://doi.org/10.3390/molecules28020704
APA StyleSikandar, S., Zahoor, A. F., Ghaffar, A., Anjum, M. N., Noreen, R., Irfan, A., Munir, B., Kotwica-Mojzych, K., & Mojzych, M. (2023). Unveiling the Chemistry and Synthetic Potential of Catalytic Cycloaddition Reaction of Allenes: A Review. Molecules, 28(2), 704. https://doi.org/10.3390/molecules28020704

