Two New Compounds from the Fungus Xylaria nigripes
Abstract
1. Introduction
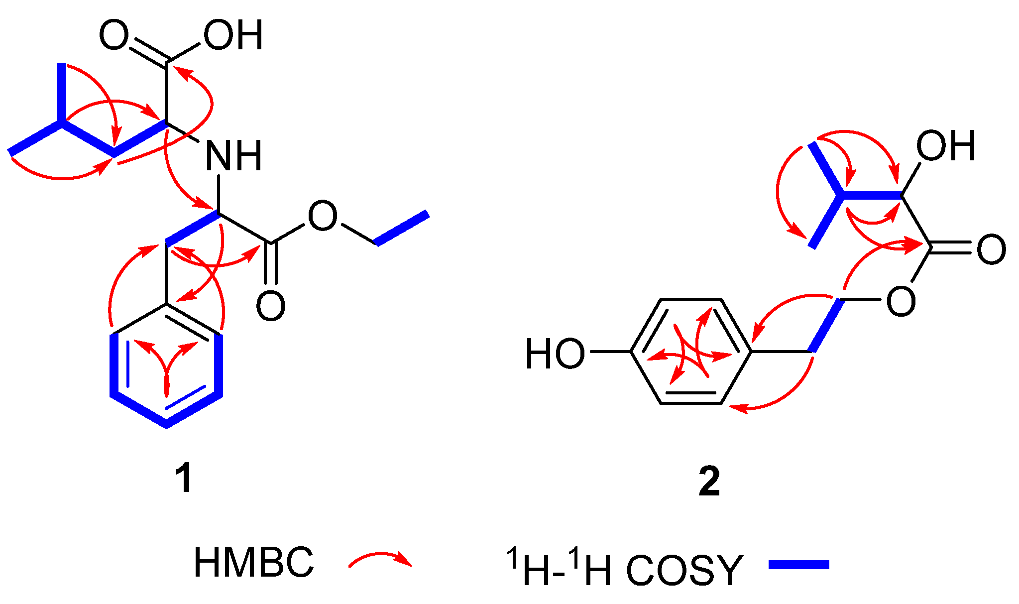
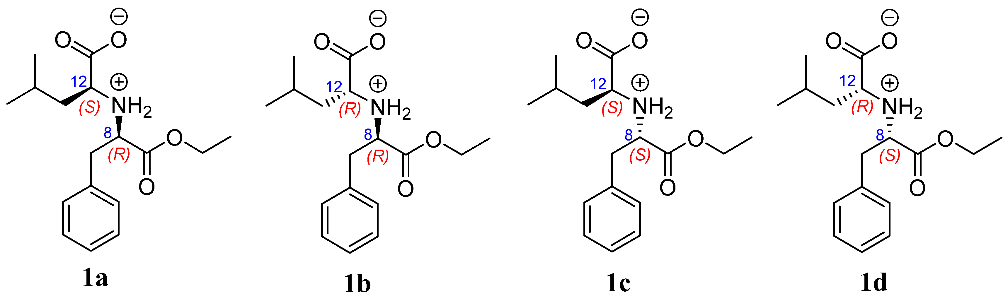
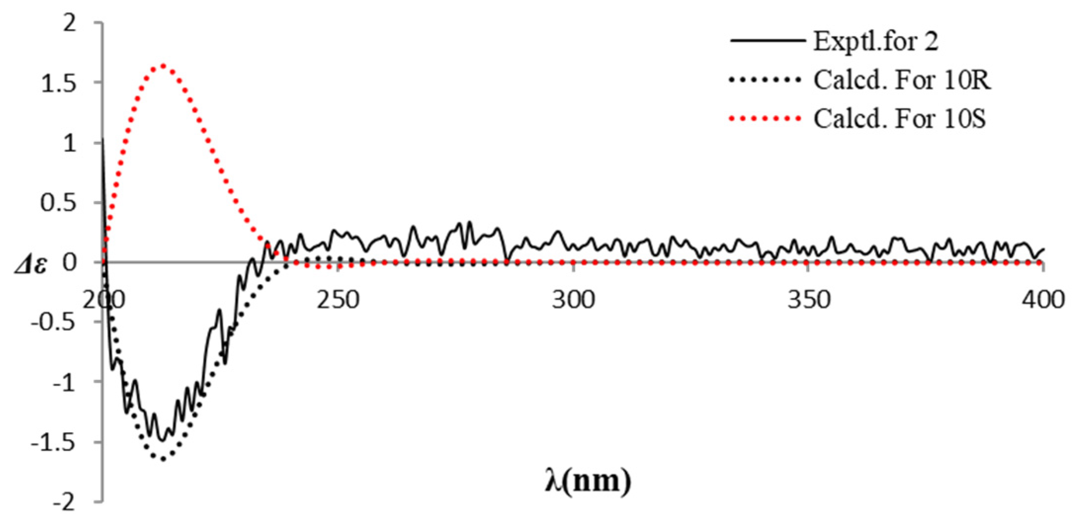
2. Results and Discussion
3. Materials and Methods
3.1. General Experimental Procedures
3.2. Fungal Material
3.3. Fermentation and Isolation
3.4. Cell Viability Assay
3.5. Cell Apoptosis Assay
3.6. Computation Methods
4. Conclusions
Supplementary Materials
Author Contributions
Funding
Institutional Review Board Statement
Informed Consent Statement
Data Availability Statement
Acknowledgments
Conflicts of Interest
Sample Availability
References
- Chen, M.-C.; Wang, G.-J.; Kuo, Y.-H.; Chiang, Y.-R.; Cho, T.-Y.; Ju, Y.-M.; Lee, T.-H. Isoprenyl phenolic ethers from the termite nest-derived medicinal fungus Xylaria fimbriata. J. Food Drug Anal. 2019, 27, 111–117. [Google Scholar] [CrossRef] [PubMed]
- Tang, Y.; Zhao, Z.-Z.; Feng, T.; Li, Z.-H.; Chen, H.-P.; Liu, J.-K. Triterpenes with unusual modifications from the fruiting bodies of the medicinal fungus Irpex lacteus. Phytochemistry 2019, 162, 21–28. [Google Scholar] [CrossRef] [PubMed]
- Chen, M.-C.; Cho, T.-Y.; Kuo, Y.-H.; Lee, T.-H. Meroterpenoids from a Medicinal Fungus Antrodia cinnamomea. J. Nat. Prod. 2017, 80, 2439–2446. [Google Scholar] [CrossRef] [PubMed]
- Yang, X.L.; Liu, J.K.; Luo, D.Q.; Zhang, S. Chemical Constituents of Xylaria nigripe. Nat. Prod. Res. Dev. 2011, 23, 846–849. [Google Scholar]
- Lu, Y.; Lu, H.; Qin, D. The clinical effect of Wuling capsule on wild depression. Chin. Trad. Patent Med. 2010, 32, 1083–1084. [Google Scholar]
- Song, X.; He, J.; Zheng, T.; Ye, R.; Yuan, Z. Research on treatment effects of Wuling capsule for sub-healthy state insomnia. Chin. Arch. Tradit. Chin. Med. 2010, 28, 477–478. [Google Scholar]
- Lin, Y.; Wang, X.-Y.; Ye, R.; Hu, W.-H.; Sun, S.-C.; Jiao, H.-J.; Song, X.-H.; Yuan, Z.-Z.; Zheng, Y.-Y.; Zheng, G.-Q.; et al. Efficacy and safety of Wuling capsule, a single herbal formula, in Chinese subjects with insomnia: A multicenter, randomized, double-blind, placebo-controlled trial. J. Ethnopharmacol. 2013, 145, 320–327. [Google Scholar] [CrossRef]
- Zhao, Z.; Li, Y.; Chen, H.; Huang, L.; Zhao, F.; Yu, Q.; Xiang, Z.; Zhao, Z. Xylaria nigripes mitigates spatial memory impairment induced by rapid eye movement sleep deprivation. Int. J. Clin. Exp. Med. 2014, 7, 356–362. [Google Scholar]
- Peng, W.-F.; Wang, X.; Hong, Z.; Zhu, G.-X.; Li, B.-M.; Li, Z.; Ding, M.-P.; Geng, Z.; Jin, Z.; Miao, L.; et al. The anti-depression effect of Xylaria nigripes in patients with epilepsy: A multicenter randomized double-blind study. Seizure 2015, 29, 26–33. [Google Scholar] [CrossRef]
- Divate, R.D.; Chung, Y.-C. In vitro and in vivo assessment of anti-inflammatory and immunomodulatory activities of Xylaria nigripes mycelium. J. Funct. Foods 2017, 35, 81–89. [Google Scholar] [CrossRef]
- Divate, R.D.; Wang, P.-M.; Wang, C.-C.; Chou, S.-T.; Chang, C.-T.; Chung, Y.-C. Protective effect of medicinal fungus Xylaria nigripes mycelia extracts against hydrogen peroxide-induced apoptosis in PC12 cells. Int. J. Immunopathol. Pharmacol. 2017, 30, 105–112. [Google Scholar] [CrossRef] [PubMed]
- Wang, J.L.; Guo, R.J.; Wang, Y.L. Review on pharmacological effects and clinical application of Wuling shen. Global Trad. Chin. Med. 2010, 13, 150–152. [Google Scholar]
- Li, M.; Xiong, J.; Huang, Y.; Wang, L.-J.; Tang, Y.; Yang, G.-X.; Liu, X.-H.; Wei, B.-G.; Fan, H.; Zhao, Y.; et al. Xylapyrrosides A and B, two rare sugar-morpholine spiroketal pyrrole-derived alkaloids from Xylaria nigripes: Isolation, complete structure elucidation, and total syntheses. Tetrahedron 2015, 71, 5285–5295. [Google Scholar] [CrossRef]
- Xiong, J.; Huang, Y.; Wu, X.-Y.; Liu, X.-H.; Fan, H.; Wang, W.; Zhao, Y.; Yang, G.-X.; Zhang, H.-Y.; Hu, J.-F. Chemical Constituents from the Fermented Mycelia of the Medicinal Fungus Xylaria nigripes. Helv. Chim. Acta 2016, 99, 83–89. [Google Scholar] [CrossRef]
- Hu, D.; Li, M. Three New Ergot Alkaloids from the Fruiting Bodies of Xylaria nigripes (KL.) SACC. Chem. Biodivers. 2017, 14, e1600173. [Google Scholar] [CrossRef] [PubMed]
- Chang, J.-C.; Hsiao, G.; Lin, R.-K.; Kuo, Y.-H.; Ju, Y.-M.; Lee, T.-H. Bioactive Constituents from the Termite Nest-Derived Medicinal Fungus Xylaria nigripes. J. Nat. Prod. 2017, 80, 38–44. [Google Scholar] [CrossRef]
- Liaw, C.-C.; Wu, S.-J.; Chen, C.-F.; Lai, M.-N.; Ng, L.T. Anti-Inflammatory Activity and Bioactive Constituents of Cultivated Fruiting Bodies of Xylaria nigripes (Ascomycetes), a Chinese Medicinal Fungus. Int. J. Med. Mushrooms 2017, 19, 915–924. [Google Scholar] [CrossRef]
- Li, J.; Li, L.-Q.; Long, H.-P.; Liu, J.; Jiang, Y.-P.; Xue, Y.; Wang, W.-X.; Tan, G.-S.; Gong, Z.-C.; Liu, J.-K. Xylarinaps A–E, five pairs of naphthalenone derivatives with neuroprotective activities from Xylaria nigripes. Phytochemistry 2021, 186, 112729. [Google Scholar] [CrossRef]
- Li, L.-Q.; Li, J.; Long, H.-P.; Liu, J.-K.; Wang, X. Four new resorcinol derivatives with neuroprotective activities from Xylaria nigripes. Nat. Prod. Res. 2022, 36, 1522–1528. [Google Scholar] [CrossRef]
- Li, J.; Liu, J.-K.; Wang, W.-X. GIAO 13C NMR Calculation with Sorted Training Sets Improves Accuracy and Reliability for Structural Assignation. J. Org. Chem. 2020, 85, 11350–11358. [Google Scholar] [CrossRef]
- Pracht, P.; Bohle, F.; Grimme, S. Automated exploration of the low-energy chemical space with fast quantum chemical methods. Phys. Chem. Chem. Phys. 2020, 22, 7169–7192. [Google Scholar] [CrossRef] [PubMed]
- Spicher, S.; Grimme, S. Robust Atomistic Modeling of Materials, Organometallic, and Biochemical Systems. Angew. Chem. Int. Ed. 2020, 59, 15665–15673. [Google Scholar] [CrossRef] [PubMed]
- Bannwarth, C.; Ehlert, S.; Grimme, S. GFN2-xTB an accurate and broadly parametrized self-consistent tight-binding quantum chemical method with multipole electrostatics and density-dependent dispersion contributions. J. Chem. Theory Comput. 2019, 15, 1652–1671. [Google Scholar] [CrossRef] [PubMed]







| No. | 1 | 2 | ||
|---|---|---|---|---|
| δH | δC | δH | δC | |
| 1 | 137.4 | 129.8 | ||
| 2 | 7.31, m | 129.7 | 7.05, d (8.4) | 130.9 |
| 3 | 7.24, m | 130.4 | 6.72, d (8.4) | 116.2 |
| 4 | 7.26, m | 128.2 | 157.1 | |
| 5 | 7.24, m | 130.4 | 6.72, d (8.4) | 116.2 |
| 6 | 7.31, m | 129.7 | 7.05, d (8.4) | 130.9 |
| 7 | 3.12, m | 38.8 | 2.85, t (6.6) | 35.2 |
| 8 | 3.80, t (6.6) | 62.6 | 4.29, m | 66.8 |
| 9 | 173.1 | 175.6 | ||
| 10 | 4.08, dd (7.2,6.6) | 62.7 | 3.90, d (4.8) | 76.6 |
| 11 | 1.12, t (7.2) | 14.2 | 1.96, m | 33.3 |
| 12 | 3.33, m | 60.9 | 0.92, d (7.2) | 19.1 |
| 13 | 1.46, m, 1.58, m | 42.5 | 0.82, d (7.2) | 17.0 |
| 14 | 1.70, m | 25.9 | ||
| 15 | 0.89, d (6.6) | 22.8 | ||
| 16 | 0.86, d (6.6) | 23.0 | ||
| 17 | 176.5 | |||
| NO. | Exptl. ΔC | Calcd. ΔC 1a/1d | Dev. | Calcd. ΔC 1b/1c | Dev. |
|---|---|---|---|---|---|
| 1 | 128.2 | 127.52 | 0.68 | 127.36 | 0.84 |
| 2 | 130.4 | 129.05 | 1.35 | 128.91 | 1.49 |
| 3 | 129.7 | 128.98 | 0.72 | 129.30 | 0.40 |
| 4 | 137.4 | 137.72 | 0.32 | 137.05 | 0.35 |
| 5 | 129.7 | 128.98 | 0.72 | 129.30 | 0.40 |
| 6 | 130.4 | 129.05 | 1.35 | 128.91 | 1.49 |
| 7 | 38.8 | 40.17 | 1.37 | 42.23 | 3.43 |
| 8 | 62.6 | 66.37 | 3.77 | 64.28 | 1.68 |
| 9 | 173.1 | 175.48 | 2.38 | 176.41 | 3.31 |
| 10 | 62.7 | 63.74 | 1.04 | 62.73 | 0.03 |
| 11 | 14.2 | 14.85 | 0.65 | 14.97 | 0.77 |
| 12 | 60.9 | 61.59 | 0.69 | 60.30 | 0.60 |
| 13 | 42.5 | 41.01 | 1.49 | 40.88 | 1.62 |
| 14 | 25.9 | 23.97 | 1.93 | 25.62 | 0.28 |
| 15 | 22.8 | 22.28 | 0.52 | 22.21 | 0.59 |
| 16 | 23 | 22.28 | 0.72 | 22.21 | 0.79 |
| 17 | 176.5 | 175.77 | 0.73 | 176.12 | 0.38 |
| MAE | 1.20 | MAE | 1.09 | ||
| RMS | 1.46 | RMS | 1.45 | ||
| Pmean | 27.01% | Pmean | 31.30% | ||
| Prel | 7.56% | Prel | 92.44% |
Disclaimer/Publisher’s Note: The statements, opinions and data contained in all publications are solely those of the individual author(s) and contributor(s) and not of MDPI and/or the editor(s). MDPI and/or the editor(s) disclaim responsibility for any injury to people or property resulting from any ideas, methods, instructions or products referred to in the content. |
© 2023 by the authors. Licensee MDPI, Basel, Switzerland. This article is an open access article distributed under the terms and conditions of the Creative Commons Attribution (CC BY) license (https://creativecommons.org/licenses/by/4.0/).
Share and Cite
Long, H.; Zhou, S.; Li, L.; Li, J.; Liu, J. Two New Compounds from the Fungus Xylaria nigripes. Molecules 2023, 28, 508. https://doi.org/10.3390/molecules28020508
Long H, Zhou S, Li L, Li J, Liu J. Two New Compounds from the Fungus Xylaria nigripes. Molecules. 2023; 28(2):508. https://doi.org/10.3390/molecules28020508
Chicago/Turabian StyleLong, Hongping, Siqian Zhou, Lanqing Li, Jing Li, and Jikai Liu. 2023. "Two New Compounds from the Fungus Xylaria nigripes" Molecules 28, no. 2: 508. https://doi.org/10.3390/molecules28020508
APA StyleLong, H., Zhou, S., Li, L., Li, J., & Liu, J. (2023). Two New Compounds from the Fungus Xylaria nigripes. Molecules, 28(2), 508. https://doi.org/10.3390/molecules28020508

