Preparation of Biomass Biochar with Components of Similar Proportions and Its Methylene Blue Adsorption
Abstract
:1. Introduction
2. Results and Discussion
2.1. Analysis of Biomass Composition
2.2. Pore Structure Analysis
2.3. SEM Analysis of Apparent Morphology
2.4. XRD Analysis of Biochar
2.5. XPS Analysis of Biochar
2.6. Effects of Adsorption Process Conditions on the Adsorption Properties of Naphthalene
3. Discussion
4. Materials and Methods
4.1. Experimental Materials
4.2. Preparation of Biochar
4.3. Methods
4.4. Study of the Adsorption Performance of Activated Carbon
4.4.1. Adsorption Experiments
- (1)
- Standard curve plotting
- (2)
- Formulation of methylene blue solutions in adsorption isotherms and adsorption kinetics
4.4.2. Adsorption Kinetics
- (1)
- Pseudo-first-order kinetic equation
- (2)
- Pseudo-second-order kinetic equation
4.4.3. Adsorption Isotherm Curve
- (1)
- Langmuir isotherm
- (2)
- Freundlich isotherm model
Author Contributions
Funding
Institutional Review Board Statement
Informed Consent Statement
Data Availability Statement
Conflicts of Interest
Sample Availability
References
- Ping, F.; Jie, L.; Huan, W.; Zhi, X. Biomass-Based Activated Carbon and Activators: Preparation of Activated Carbon from Corncob by Chemical Activation with Biomass Pyrolysis Liquids. ACS Omega. 2020, 37, 24064–24072. [Google Scholar]
- Sun, B.; Yuan, Y.; Li, H.; Li, X.; Zhang, C.; Guo, F.; Liu, X.; Wang, K.; Zhao, X. Waste-cellulose-derived porous carbon adsorbents for methyl orange removal. Chem. Eng. J. 2019, 371, 55–63. [Google Scholar] [CrossRef]
- Luana, A.R.; Pissetti, F.L.; Castro, T.S.; Magalhães, F. Preparation of Activated Carbon from Sugarcane Bagasse Soot and Methylene Blue Adsorption. Water Air Soil Pollut. 2017, 228, 249. [Google Scholar]
- Can, L.; Weng, D.W.; Rui, W.; Liu, Y.; Lin, X.; Kan, H.; Zheng, Y. Preparation of Acid- and Alkali-Modified Biochar for Removal of Methylene Blue Pigment. ACS Omega 2020, 16, 24–46. [Google Scholar]
- Luo, Y.; He, Y.; Li, D.; Wang, Y.; Yi, T.; Wang, H. A Comparison of Classifications of Families of Chinese Vascular Plants among Flora Republicae Popularis Sinicae, Flora of China and the New Classifications. Plant Divers. Resour. 2012, 34, 231–238. [Google Scholar] [CrossRef]
- Huang, X.X.; Zhou, C.C.; Li, L.Z.; Peng, Y.; Lou, L.L.; Liu, S.; Li, D.-M.; Ikejima, T.; Song, S.-J. Cytotoxic and antioxidant dihydroben zofuran neolignans from the seeds of Crataegus pinnatifida. Fitoterapia 2013, 91, 217–223. [Google Scholar] [CrossRef] [PubMed]
- Jing, J.C.; Sun, K. Review on Preparation Technology of Activated Carbon and Its Application, Chemistry and Industry of Forest Products. Chem. Ind. For. Prod. 2017, 37, 1–13. [Google Scholar]
- Chen, J.; Tang, C.; Li, X.; Sun, J.; Liu, Y.; Huang, W.; Wang, A.; Lu, Y. Preparation and Modifification of Rapeseed straw Biochar and Its Adsor ption Characteristics for Methylene Blue in Water. Water 2022, 14, 3761. [Google Scholar] [CrossRef]
- Tian, C.; Ma, X.Y.; Wang, J.X.; Dai, P.L.; Tan, W.Y. Study on Activated Carbon fromRice Husk Carbon Desilication and Adsorption Performance. Guangzhou Chem. Ind. 2019, 47, 78–81. [Google Scholar]
- Luo, S.; Chen, S.; Chen, S.; Chen, S.; Zhuang, L.; Ma, N.; Xu, T.; Li, Q.; Hou, X. Preparation and characterization of amine-functionalized sugarcane bagasse for CO2 capture. J. Environ. Manag. 2016, 168, 142–148. [Google Scholar] [CrossRef] [PubMed]
- Ahmadpour, A.; Do, D.D. The preparation of activated carbon from macadamia nutshell by chemical activation. Carbon 1997, 35, 1723–1732. [Google Scholar] [CrossRef]
- Yang, X.T.; Guo, Z.K.; Li, J.R.; Liu, Y.L.; Li, X.Y. Review on Main Chemical Constituentsn of Walnut Green Husk. Guangzhou Chem. Ind. 2018, 46, 12–15. [Google Scholar]
- Huang, L.; Zhu, Y.; Wang, Q.; Zhu, A.; Liu, Z.; Wang, Y.; Allen, D.T.; Li, L. Assessment of the effects of straw burning bans in China: Emissions, air quality, and health impacts. Impacts Sci. Total Environ. 2021, 789, 147935. [Google Scholar] [CrossRef]
- Zhao, Y.; Zhu, J.; Yang, X.; Lou, L. A Preliminary Report on the Determination of Lignin, Cellulose and Hemicellulose in Walnut Green Husk. Guizhou For. Sci. Technol. 2021, 49, 7–10. [Google Scholar]
- Bachrun, S.; AyuRizka, N.; Annisa, S.; Arif, H. preparation and characterization of activated carbon from sugarcane bagasse by physical activation with CO2 gas. IOP Conf. Ser. Mater. Sci. Eng. 2016, 105, 012027. [Google Scholar] [CrossRef]
- Liu, Y.; Hong, Y.; Yao, Y.; Lei, X.U.; Xing, S.; Xiaowen, H.U.; Gao, Y. Research Progress in Comprehensive Utilization of Bagasse in China. Chin. J. Trop. Agric. 2017, 37, 91–95. [Google Scholar]
- Thi, T.T.; Truong, T.P.; Thi, T.T.; Pham, T.D. Synthesis, characterization of novel ZnO/CuO nanoparticles, and the applications in photocatalytic performance for rhodamine B dye degradation. Environ. Sci. Pollut. Res. 2022, 29, 22576–22588. [Google Scholar]
- Arun, L.S.; Tien, D.P.; Sylvester, C.I.; Singh, N.; Singh, P.K. Biochar Adsorbents for Arsenic Removal from Water Environment: A Review. Bull. Environ. Contam. Toxicol. 2022, 108, 616–628. [Google Scholar]
- Pillai, S.S.; Manohar, M.D.; Fernandez, N.B.; Girija, N.; Geetha, P.; Koshy, M. Biosorption of Cr(VI) from aqueous solution by chemically modified potato starch: Equilibrium and kinetic studies. Ecotoxicol. Environ. Saf. 2013, 92, 199–205. [Google Scholar] [CrossRef]
- Wang, J.L.; Chen, C. Biosorption of heavy metals by Saccharomyces cerevisiae: A review. Biotechnol. Adv. 2006, 24, 427–451. [Google Scholar] [CrossRef]
- Wei, X.N.; Li, T.T. Wooden activated carbon production for dioxin removal via a two-step process of carbonization coupled with steam Activation from biomass wastes. ACS Omega 2021, 6, 5607–5618. [Google Scholar] [CrossRef] [PubMed]
- Lam, Y.Y.; Lau, S.S.; Wong, J.W. Removal of Cd (II) from aqueous solutions using plant-derived biochar: Kinetics, isotherm and characterization. Bioresour. Technol. 2019, 8, 100323. [Google Scholar] [CrossRef]
- Ru, L.T. Mesopore control of high surface area NaOH-activated carbon. J. Colloid Interface Sci. 2006, 303, 494–502. [Google Scholar]
- Wang, W.; Li, D.; Xiang, P.; Zheng, Y.; Zheng, Z.; Lin, X.; He, X.; Liu, C. One-Step Pyrolysis of Nitrogen-Containing Chemicals and Biochar Derived from Walnut Shells to Absorb Polycyclic Aromatic Hydrocarbons (PAHs). Int. J. Mol. Sci. 2022, 23, 15193. [Google Scholar] [CrossRef] [PubMed]
- Teixeira, S.R.; de Souza, A.E.; Santos, G.A.; Vilche Peña, A.F.; Miguel, Á.G. Sugarcane Bagasse Ash as a Potential Quartz Replacement in Red Ceramic. J. Am. Ceram. Soc. 2008, 91, 1883–1887. [Google Scholar] [CrossRef]
- Wang, H.; Xu, J.; Liu, X.; Sheng, L. Preparation of straw activated carbon and its application in wastewater treatment: A review. J. Clean. Prod. 2020, 283, 124671. [Google Scholar] [CrossRef]
- Zhang, T.; Zhu, J.; Zhai, Y.; Wang, H.; Bai, X.; Dong, B.; Wang, H.; Song, H. A novel mechanism for red emission carbon dots: Hydrogen bond dominated molecular states emission. Nanoscale 2017, 9, 13042–13051. [Google Scholar] [CrossRef]
- Oginni, O.; Singh, K.; Oporto, G.; Dawson-Andoh, B.; McDonald, L.; Sabolsky, E. Influence of one-step and two-step KOH activation on activated carbon characteristics. Bioresour. Technol. Rep. 2019, 7, 100266. [Google Scholar] [CrossRef]
- Chunlan, L.; Shaoping, X.; Yixiong, G.; Shuqin, L.; Changhou, L. Effect of pre-carbonization of petroleum cokes on chemical activation process with KOH. Carbon 2005, 43, 2295–2301. [Google Scholar] [CrossRef]
- Zhang, M.; Meng, J.; Liu, Q.; Gu, S.; Zhao, L.; Dong, M.; Zhang, J.; Hou, H.; Guo, Z. Corn stover-derived biochar for efficient adsorption of oxytetracycline from wastewater. J. Mater. Res. 2019, 34, 305–306. [Google Scholar] [CrossRef]
- Gupta, S.; Kua, H.W.; Dai Pang, S. Effect of biochar onmechanical and permeability properties of concrete exposed to elevated temperature. Constr. Build. Mater. 2020, 234, 117338. [Google Scholar] [CrossRef]
- Li, Y.; Feng, G.; Tewolde, H.; Yang, M.; Zhang, F. Soil, biochar, and nitrogen loss to runoff from loess soil amended with biochar under simulated rainfall. J. Hydrol. 2020, 591, 125318. [Google Scholar] [CrossRef]
- Langmuir, I. The adsorption of gases on plane surfaces of glass, mica and platinum. J. Am. Chem. Soc. 1918, 9, 1361. [Google Scholar] [CrossRef]
- Namasivayam, C.; Jeyakumar, R.; Yamuna, R.T. Dye removal from waste-water by adsorption on waste Fe(III)/Cr(II) hydroxide. Waste Manag. 1994, 14, 643–648. [Google Scholar] [CrossRef]
- Yang, S.; Cheng, Q.; Hu, L.; Gu, Y.; Wang, Y.; Liu, Z. Study on the Adsorption Properties of Oxalic Acid-Modified Cordierite Honeycomb Ceramics for Neutral Red Dyes. ACS Omega 2023, 8, 11457–11466. [Google Scholar] [CrossRef] [PubMed]










| Samples | Organic Composition Analysis/% | Ash% | Yield | |||
|---|---|---|---|---|---|---|
| Lignin | Cellulose | Hemicellulose | Biomass400°C | BiomassCO2 | ||
| WGH | 12.76 | 24.65 | 8.55 | 11.30 | 38.80 | 30.33 |
| SB | 21.69 | 47.38 | 25.60 | 1.20 | 31.50 | 23.81 |
| RS | 20.32 | 39.81 | 15.81 | 7.21 | 35.00 | 24.26 |
| Samples | SBET (m2/g) | Vtotal (cm3/g) | Vmic (cm3/g) | Vmic/Vt (%) | Dap (nm) |
|---|---|---|---|---|---|
| WGB | 6.57 | 0.0287 | 0.0058 | 20 | 7.86 |
| SBB | 24.85 | 0.0960 | 0.0207 | 22 | 8.09 |
| RSB | 15.63 | 0.0649 | 0.0143 | 22 | 5.52 |
| WGB-CO2 | 15.53 | 0.0210 | 0.0095 | 45 | 5.64 |
| SBB-CO2 | 352.99 | 0.2030 | 0.1698 | 84 | 2.36 |
| RSB-CO2 | 215.0447 | 0.1509 | 0.0849 | 56 | 2.8481 |
| C1s | Peak Position | Content% | |||||
|---|---|---|---|---|---|---|---|
| C1 | C2 | C3 | C1 | C2 | C3 | ||
| WGB | 78.10 | 284.68 | 286.58 | 288.48 | 80.65 | 10.48 | 8.87 |
| SBB | 86.31 | 284.8 | 263.38 | 288.28 | 80.00 | 14.4 | 5.60 |
| RSB | 55.93 | 284.7 | 286.58 | 289.28 | 75.76 | 12.12 | 12.12 |
| WGB-CO2 | 79.17 | 284.81 | 286.38 | 293.38 | 69.44 | 19.44 | 11.30 |
| SBB-CO2 | 92.78 | 284.78 | 286.08 | 287.08 | 80.65 | 12.6 | 6.45 |
| RSB-CO2 | 76.02 | 284.79 | 286.48 | 293.68 | 63.51 | 21.16 | 15.33 |
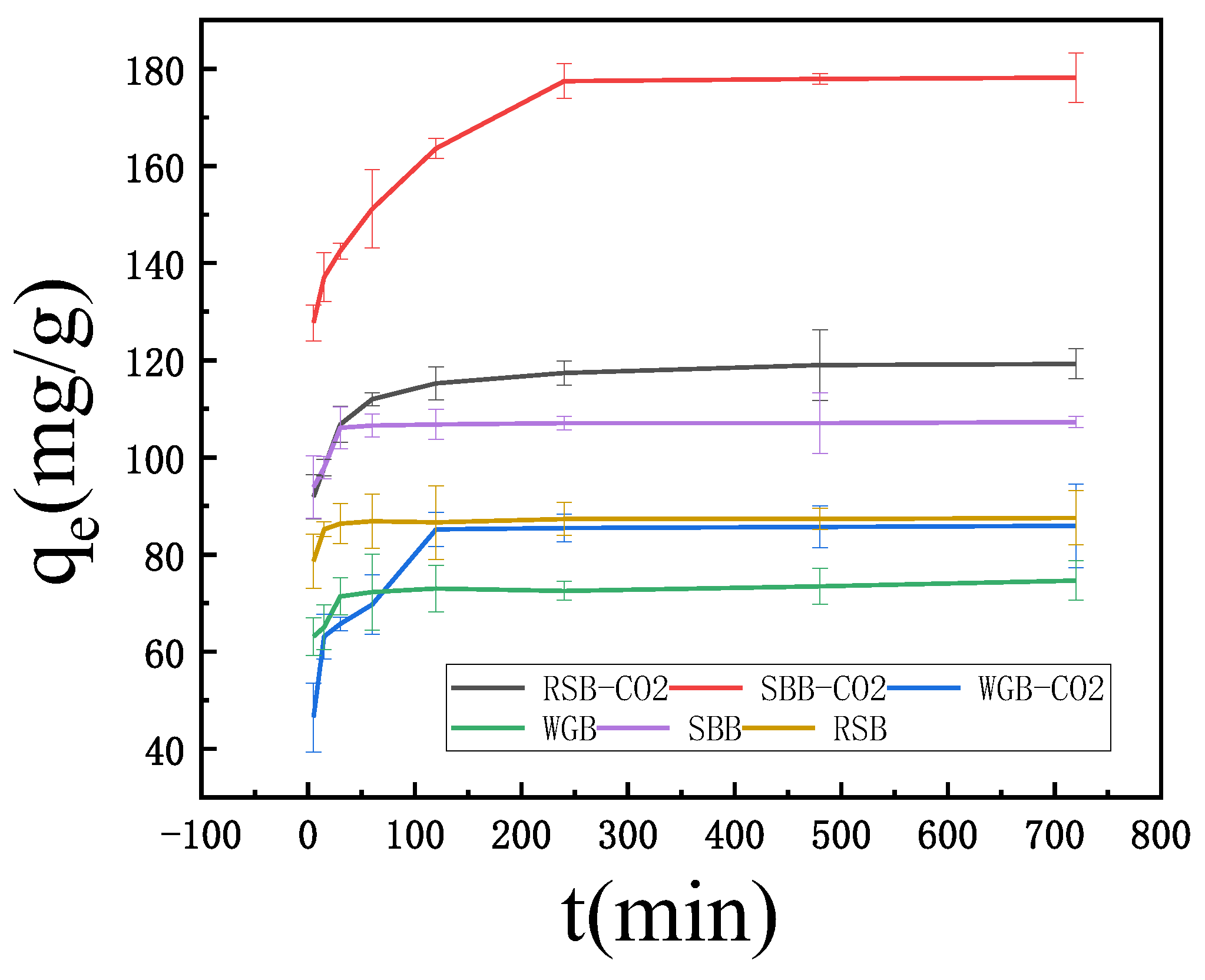
| Time/min | WGB | SBB | RSB | WGB-CO2 | SBB-CO2 | RSB-CO2 |
|---|---|---|---|---|---|---|
| 5 | 63.15 | 93.90 | 78.64 | 46.48 | 127.70 | 91.90 |
| 15 | 65.02 | 97.89 | 85.21 | 63.15 | 137.09 | 97.89 |
| 30 | 71.36 | 106.10 | 86.38 | 65.73 | 142.49 | 106.81 |
| 60 | 72.30 | 106.57 | 86.85 | 69.72 | 151.17 | 111.97 |
| 120 | 73.00 | 106.81 | 86.62 | 85.21 | 163.62 | 115.26 |
| 240 | 72.54 | 107.04 | 87.32 | 85.45 | 177.46 | 117.37 |
| 480 | 73.47 | 107.04 | 87.32 | 85.68 | 177.93 | 119.01 |
| 720 | 74.65 | 107.28 | 87.56 | 85.92 | 178.17 | 119.25 |
| Smaples | qexp (mg/g) | Pseudo-First-Order Kinetic Model | Pseudo-Second-Order Kinetic Model | ||||
|---|---|---|---|---|---|---|---|
| k1 (min)−1 | qe (mg/g) | R2 | k2 (min)−1 | qe (mg/g) | R2 | ||
| WGB | 74.65 | 1.54 × 10−3 | 18.77 | 0.6209 | −4.32 × 10−5 | 73.53 | 0.9997 |
| SBB | 107.28 | 1.31 × 10−3 | 2.96 | 0.5204 | −1.86 × 10−5 | 107.18 | 0.9999 |
| RSB | 87.56 | 1.09 × 10−3 | 2.15 | 0.6015 | −2.93 × 10−5 | 87.41 | 0.9999 |
| WGB-CO2 | 85.92 | 2.07 × 10−3 | 18.63 | 0.7559 | −3.00 × 10−5 | 87.18 | 0.9994 |
| SBB-CO2 | 178.17 | 5.63 × 10−3 | 133.29 | 0.9796 | −5.63 × 10−6 | 185.19 | 0.9995 |
| RSB-CO2 | 119.25 | 2.63 × 10−3 | 16.61 | 0.9559 | −1.47 × 10−5 | 119.62 | 0.9999 |
| Samples | qexp (mg/g) | Langmuir | Freundlich | ||||
|---|---|---|---|---|---|---|---|
| qm | KL | R2 | kF | n | R2 | ||
| WGB | 74.41 | 119.19 | 0.01 | 0.8606 | 1.59 | 1.55 | 0.8758 |
| SBB | 104.69 | 121.36 | 0.02 | 0.9026 | 2.78 | 2.42 | 0.9607 |
| RSB | 84.51 | 90.99 | 0.05 | 0.9278 | 3.75 | 3.73 | 0.6907 |
| WGB-CO2 | 82.39 | 114.68 | 0.01 | 0.9415 | 1.97 | 1.85 | 0.8635 |
| SBB-CO2 | 121.24 | 176.06 | 0.39 | 0.9746 | 7.84 | 12.29 | 0.9728 |
| RSB-CO2 | 119.95 | 137.93 | 0.03 | 0.9190 | 3.70 | 2.98 | 0.9287 |
Disclaimer/Publisher’s Note: The statements, opinions and data contained in all publications are solely those of the individual author(s) and contributor(s) and not of MDPI and/or the editor(s). MDPI and/or the editor(s) disclaim responsibility for any injury to people or property resulting from any ideas, methods, instructions or products referred to in the content. |
© 2023 by the authors. Licensee MDPI, Basel, Switzerland. This article is an open access article distributed under the terms and conditions of the Creative Commons Attribution (CC BY) license (https://creativecommons.org/licenses/by/4.0/).
Share and Cite
Hou, M.; He, Y.; Yang, X.; Yang, Y.; Lin, X.; Feng, Y.; Kan, H.; Hu, H.; He, X.; Liu, C. Preparation of Biomass Biochar with Components of Similar Proportions and Its Methylene Blue Adsorption. Molecules 2023, 28, 6261. https://doi.org/10.3390/molecules28176261
Hou M, He Y, Yang X, Yang Y, Lin X, Feng Y, Kan H, Hu H, He X, Liu C. Preparation of Biomass Biochar with Components of Similar Proportions and Its Methylene Blue Adsorption. Molecules. 2023; 28(17):6261. https://doi.org/10.3390/molecules28176261
Chicago/Turabian StyleHou, Min, Yudan He, Xuewen Yang, Yuchun Yang, Xu Lin, Yongxing Feng, Huan Kan, Huirong Hu, Xiahong He, and Can Liu. 2023. "Preparation of Biomass Biochar with Components of Similar Proportions and Its Methylene Blue Adsorption" Molecules 28, no. 17: 6261. https://doi.org/10.3390/molecules28176261
APA StyleHou, M., He, Y., Yang, X., Yang, Y., Lin, X., Feng, Y., Kan, H., Hu, H., He, X., & Liu, C. (2023). Preparation of Biomass Biochar with Components of Similar Proportions and Its Methylene Blue Adsorption. Molecules, 28(17), 6261. https://doi.org/10.3390/molecules28176261

