Russian Doll-like 3d–4f Cluster Wheels with Slow Relaxation of Magnetization †
Abstract
1. Introduction
2. Results and Discussion
2.1. Crystal Structures
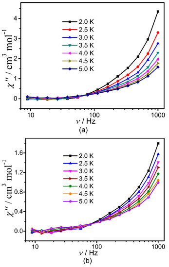
2.2. Magnetic Properties
3. Materials and Methods
3.1. General Materials and Methods
3.2. Synthesis
3.2.1. Synthesis of [Dy7Co6(L1)6(L2)6(µ3-OH)6(OCH3)6Cl(CH3CN)6]Cl2·3H2O (1)
3.2.2. Synthesis of [Dy7Ni6(L1)6(L2)6(µ3-OH)6(OCH3)6Cl(CH3CN)6]Cl2 (2)
3.2.3. Synthesis of [Tb7Ni6(L1)6(L2)6(µ3-OH)6(OCH3)6Cl(CH3CN)6]Cl2 (3)
4. Conclusions
Supplementary Materials
Author Contributions
Funding
Institutional Review Board Statement
Informed Consent Statement
Data Availability Statement
Conflicts of Interest
Sample Availability
References
- Osa, S.; Kido, T.; Matsumoto, N.; Re, N.; Pochaba, A.; Mrozinski, J. A Tetranuclear 3d-4f Single Molecule Magnet: [CuIILTbIII(Hfac)2]2. J. Am. Chem. Soc. 2004, 126, 420–421. [Google Scholar] [CrossRef] [PubMed]
- Ahmed, N.; Ansari, K.U. Experimental and Theoretical Insights into Co-Ln Magnetic Exchange and the Rare Slow-Magnetic Relaxation Behavior of [Co2IIPr]2+ in a Series of Linear [Co2IILn]2+ Complexes. Dalton Trans. 2022, 51, 4122–4134. [Google Scholar] [CrossRef] [PubMed]
- Boyce, S.A.J.; Moutet, J.; Niederegger, L.; Simler, T.; Nocton, G.; Hess, C.R. Influence of a Lanthanide Ion on the Ni Site of a Heterobimetallic 3d-4f Mabiq Complex. Inorg. Chem. 2021, 60, 403–411. [Google Scholar] [CrossRef]
- Shao, D.; Wang, X.Y. Development of Single-Molecule Magnets. Chin. J. Chem. 2020, 38, 1005–1018. [Google Scholar]
- Qin, Y.R.; Gao, Q.; Chen, Y.M.; Liu, W.; Lin, F.; Zhang, X.F.; Dong, Y.P.; Li, Y.H. Four Mixed 3d-4f 12-Metallacrown-4 Complexes: Syntheses, Structures and Magnetic Properties. J. Cluster Sci. 2016, 28, 891–903. [Google Scholar] [CrossRef]
- Ashebr, T.G.; Li, H.; Ying, X.; Li, X.L.; Zhao, C.; Liu, S.T.; Tang, J.K. Emerging Trends on Designing High-Performance Dysprosium(III) Single-Molecule Magnets. ACS Mater. Lett. 2022, 4, 307–319. [Google Scholar] [CrossRef]
- Layfield, R.A. Organometallic Single-Molecule Magnets. Organometallics 2014, 33, 1084–1099. [Google Scholar] [CrossRef]
- Yu, S.; Hu, Z.B.; Chen, Z.L.; Li, B.; Zhang, Y.Q.; Liang, Y.N.; Liu, D.C.; Yao, D.; Liang, F.P. Two Dy(III) Single-Molecule Magnets with Their Performance Tuned by Schiff Base Ligands. Inorg. Chem. 2019, 58, 1191–1200. [Google Scholar] [CrossRef]
- Zhang, K.; Montigaud, V.; Cador, O.; Li, G.P.; Le Guennic, B.; Tang, J.K.; Wang, Y.Y. Tuning the Magnetic Interactions in DyIII4 Single-Molecule Magnets. Inorg. Chem. 2018, 57, 8550–8557. [Google Scholar] [CrossRef]
- Nie, M.; Liang, J.; Zhao, C.; Lu, Y.; Zhang, J.; Li, W.; Wang, C.; Wang, T. Single-Molecule Magnet with Thermally Activated Delayed Fluorescence Based on a Metallofullerene Integrated by Dysprosium and Yttrium Ions. ACS Nano 2021, 15, 19080–19088. [Google Scholar] [CrossRef]
- Ma, Y.J.; Hu, J.X.; Han, S.D.; Pan, J.; Li, J.H.; Wang, G.M. Manipulating on/Off Single-Molecule Magnet Behavior in a Dy(III)-Based Photochromic Complex. J. Am. Chem. Soc. 2020, 142, 2682–2689. [Google Scholar] [CrossRef] [PubMed]
- Li, Y.L.; Wang, H.L.; Zhu, Z.H.; Liang, F.P.; Zou, H.H. Recent Advances in the Structural Design and Regulation of Lanthanide Clusters: Formation and Self-Assembly Mechanisms. Coord. Chem. Rev. 2023, 493, 215322. [Google Scholar] [CrossRef]
- Zhu, Z.; Zhao, C.; Feng, T.; Liu, X.; Ying, X.; Li, X.L.; Zhang, Y.Q.; Tang, J. Air-Stable Chiral Single-Molecule Magnets with Record Anisotropy Barrier Exceeding 1800 K. J. Am. Chem. Soc. 2021, 143, 10077–10082. [Google Scholar] [CrossRef]
- Sharples, J.W.; Collison, D. The Coordination Chemistry and Magnetism of Some 3d-4f and 4f Amino-Polyalcohol Compounds. Coord. Chem. Rev. 2014, 260, 1–20. [Google Scholar] [CrossRef]
- Smolko, L.; Černák, J.; Kuchár, J.; Sabolová, D.; Boča, R. Tetracoordinate Cobalt(II) Complexes with Neocuproine: Single-Molecule Magnets with Potential Biological Activity. Chem. Pap. 2017, 72, 877–882. [Google Scholar] [CrossRef]
- Yang, P.P.; Yu, S.; Quan, L.X.; Hu, H.C.; Liu, D.C.; Liang, Y.N.; Li, B.; Liang, F.P.; Chen, Z.L. Structure and Magnetic Properties of Two Discrete 3d-4f Heterometallic Complexes. ChemistrySelect 2020, 5, 9946–9951. [Google Scholar] [CrossRef]
- Mikuriya, M.; Yano, S.; Yoshioka, D.; Paulsen, C.; Lhotel, E.; Wernsdorfer, W.; Luneau, D. Hexanuclear and Heptanuclear Nickel(II) Complexes of with a Non-Schiff-Base Tetradentate Ligand: An Example of Slow Motion Ferromagnetic Phase Transition at Very Low Temperature. J. Supercond. Novel Magn. 2019, 32, 2805–2810. [Google Scholar] [CrossRef]
- Milios, C.J.; Inglis, R.; Vinslava, A.; Bagai, R.; Wernsdorfer, W.; Parsons, S.; Perlepes, S.P.; Christou, G.; Brechin, E.K. Toward a Magnetostructural Correlation for a Family of Mn6 SMMs. J. Am. Chem. Soc. 2007, 129, 12505–12511. [Google Scholar] [CrossRef]
- Li, Q.; Peng, Y.; Qian, J.; Yan, T.; Du, L.; Zhao, Q. A Family of Planar Hexanuclear Coln Clusters with Lucanidae-Like Arrangement and Single-Molecule Magnet Behavior. Dalton Trans. 2019, 48, 12880–12887. [Google Scholar] [CrossRef]
- Savva, M.; Skordi, K.; Fournet, A.D.; Thuijs, A.E.; Christou, G.; Perlepes, S.P.; Papatriantafyllopoulou, C.; Tasiopoulos, A.J. Heterometallic MnIII4Ln2 (Ln = Dy, Gd, Tb) Cross-Shaped Clusters and Their Homometallic MnIII4MnII2 Analogues. Inorg. Chem. 2017, 56, 5657–5668. [Google Scholar] [CrossRef]
- Mishra, A.; Wernsdorfer, W.; Parsons, S.; Christou, G.; Brechin, E.K. The Search for 3d-4f Single-Molecule Magnets: Synthesis, Structure and Magnetic Properties of a [MnIII2DyIII2] Cluster. Chem. Commun. 2005, 2086–2088. [Google Scholar] [CrossRef] [PubMed]
- Rosado Piquer, L.; Dey, S.; Castilla, A.L.; Teat, S.J.; Cirera, J.; Rajaraman, G.; Sanudo, E.C. Microwave Assisted Synthesis of Heterometallic 3d-4f M4Ln Complexes. Dalton Trans. 2019, 48, 12440–12450. [Google Scholar] [CrossRef] [PubMed]
- Kong, X.J.; Ren, Y.P.; Chen, W.X.; Long, L.S.; Zheng, Z.P.; Huang, R.B.; Zheng, L.S. A Four-Shell, Nesting Doll-Like 3d–4f Cluster Containing 108 Metal Ions. Angew. Chem. 2008, 120, 2432–2435. [Google Scholar] [CrossRef]
- Liu, Y.; Chen, Y.C.; Liu, J.; Chen, W.B.; Huang, G.Z.; Wu, S.G.; Wang, J.; Liu, J.L.; Tong, M.L. Cyanometallate-Bridged Didysprosium Single-Molecule Magnets Constructed with Single-Ion Magnet Building Block. Inorg. Chem. 2020, 59, 687–694. [Google Scholar] [CrossRef]
- Tangoulis, V.; Nastopoulos, V.; Panagiotou, N.; Tasiopoulos, A.; Itskos, G.; Athanasiou, M.; Moreno, P.E.; Wernsdorfer, W.; Schulze, M.; Malina, O. High-Performance Luminescence Thermometer with Field-Induced Slow Magnetic Relaxation Based on a Heterometallic Cyanido-Bridged 3d-4f Complex. Inorg. Chem. 2022, 61, 2546–2557. [Google Scholar] [CrossRef] [PubMed]
- Lu, H.; Diefenbach, K.; Li, Z.J.; Bao, H.; Guo, X.; Wang, J.Q.; Albrecht, S.T.E.; Lin, J. Structural Complexity and Magnetic Orderings in a Large Family of 3d-4f Heterobimetallic Sulfates. Inorg. Chem. 2020, 59, 13398–13406. [Google Scholar] [CrossRef]
- Yang, P.P.; Hu, H.C.; Yu, S.; Liu, D.C.; Liang, Y.N.; Zou, H.H.; Liang, F.P.; Chen, Z.L. Superb Alkali-Resistant DyIII2NiII4 Single-Molecule Magnet. Inorg. Chem. 2021, 60, 14752–14758. [Google Scholar] [CrossRef]
- Majee, M.C.; Towsif, A.S.M.; Mondal, D.; Maity, M.; Weselski, M.; Witwicki, M.; Bienko, A.; Antkowiak, M.; Kamieniarz, G.; Chaudhury, M. Synthesis and Magneto-Structural Studies on a New Family of Carbonato Bridged 3d-4f Complexes Featuring a [Co3Ln3(CO3)] (Ln = La, Gd, Tb, Dy and Ho) Core: Slow Magnetic Relaxation Displayed by the CobaltII-DysprosiumIII Analogue. Dalton Trans. 2018, 47, 3425–3439. [Google Scholar] [CrossRef]
- Chen, S.S.; Su, H.F.; Long, L.S.; Zheng, L.S.; Kong, X.J. Hydrolysis-Promoted Building Block Assembly: Structure Transformation from Y12 Wheel and Y34 Ship to Y60 Cage. Inorg. Chem. 2021, 60, 16922–16926. [Google Scholar] [CrossRef]
- Che, Z.W.; Chen, J.T.; Wang, T.T.; Yan, H.; Zhou, T.D.; Guo, R.; Sun, W.B. Wheel-Like Gd42 Polynuclear Complexes with Significant Magnetocaloric Effect. CrystEngComm 2022, 24, 3363–3368. [Google Scholar] [CrossRef]
- Zheng, X.Y.; Jiang, Y.H.; Zhuang, G.L.; Liu, D.P.; Liao, H.G.; Kong, X.J.; Long, L.S.; Zheng, L.S. A Gigantic Molecular Wheel of Gd140: A New Member of the Molecular Wheel Family. J. Am. Chem. Soc. 2017, 139, 18178–18181. [Google Scholar] [CrossRef]
- Xemard, M.; Cordier, M.; Molton, F.; Duboc, C.; Le, G.B.; Maury, O.; Cador, O.; Nocton, G. Divalent Thulium Crown Ether Complexes with Field-Induced Slow Magnetic Relaxation. Inorg. Chem. 2019, 58, 2872–2880. [Google Scholar] [CrossRef] [PubMed]
- Manoli, M.; Inglis, R.; Manos, M.J.; Nastopoulos, V.; Wernsdorfer, W.; Brechin, E.K.; Tasiopoulos, A.J. A [Mn32] Double-Decker Wheel. Angew. Chem. Int. Ed. 2011, 50, 4441–4444. [Google Scholar] [CrossRef] [PubMed]
- Li, K.Y.; Zhuang, Z.H.; Chen, W.; Liao, W.P. Anion-Directed Assembly of Nickel-Calixarene Complexes: Constructing Isolated {Ni8}, {Ni20}, {Ni24}, and {Ni32} Clusters. Cryst. Growth Des. 2020, 20, 4164–4168. [Google Scholar] [CrossRef]
- Vranec, P.; Potocnak, I.; Sabolova, D.; Farkasova, V.; Ipothova, Z.; Pisarcikova, J.; Paulikova, H. Low-Dimensional Compounds Containing Bioactive Ligands. V: Synthesis and Characterization of Novel Anticancer Pd(II) Ionic Compounds with Quinolin-8-Ol Halogen Derivatives. J. Inorg. Biochem. 2014, 131, 37–46. [Google Scholar] [CrossRef] [PubMed]
- Zheng, H.; Du, M.H.; Lin, S.C.; Tang, Z.C.; Kong, X.J.; Long, L.S.; Zheng, L.S. Assembly of a Wheel-Like Eu24Ti8 Cluster under the Guidance of High-Resolution Electrospray Ionization Mass Spectrometry. Angew. Chem. Int. Ed. 2018, 57, 10976–10979. [Google Scholar] [CrossRef]
- Vignesh, K.R.; Langley, S.K.; Moubaraki, B.; Murray, K.S.; Rajaraman, G. Large Hexadecametallic {MnIII-LnIII} Wheels: Synthesis, Structural, Magnetic, and Theoretical Characterization. Chem. Eur. J. 2015, 21, 16364–16369. [Google Scholar] [CrossRef] [PubMed]
- Lun, H.J.; Xu, L.; Kong, X.J.; Long, L.S.; Zheng, L.S. A High-Symmetry Double-Shell Gd30Co12 Cluster Exhibiting a Large Magnetocaloric Effect. Inorg. Chem. 2021, 60, 10079–10083. [Google Scholar] [CrossRef]
- Leng, J.D.; Liu, J.L.; Tong, M.L. Unique Nanoscale {Cu36IILn24III} (Ln = Dy and Gd) Metallo-Rings. Chem. Commun. 2012, 48, 5286–5288. [Google Scholar] [CrossRef]
- Li, N.F.; Luo, X.M.; Wang, J.; Wang, J.L.; Mei, H.; Song, Y.; Xu, Y. Largest 3d-4f 196-NuclearGd158Co38 Clusters with Excellent Magnetic Cooling. Sci. China Chem. 2022, 65, 1577–1583. [Google Scholar] [CrossRef]
- Quan, H.B.; Sheng, L.B.; Zou, H.H.; Liu, Z.Y.; Liu, D.C.; Li, B.; Chen, M.S.; Liang, F.P. Synthesis, Structure, and Magnetic Properties of a Twist Linear Tetranuclear CoIII2LnIII2 Complexes. J. Cluster Sci. 2017, 29, 75–81. [Google Scholar] [CrossRef]
- Parmar, V.S.; Mills, D.P.; Winpenny, R.E.P. Mononuclear Dysprosium Alkoxide and Aryloxide Single-Molecule Magnets. Chem. Eur. J. 2021, 27, 7625–7645. [Google Scholar] [CrossRef]
- Yang, J.W.; Tian, Y.M.; Tao, J.; Chen, P.; Li, H.F.; Zhang, Y.Q.; Yan, P.F.; Sun, W.B. Modulation of the Coordination Environment around the Magnetic Easy Axis Leads to Significant Magnetic Relaxations in a Series of 3d-4f Schiff Complexes. Inorg. Chem. 2018, 57, 8065–8077. [Google Scholar] [CrossRef] [PubMed]
- Bartolomé, J.; Filoti, G.; Kuncser, V.; Schinteie, G.; Mereacre, V.; Anson, C.E.; Powell, A.K.; Prodius, D.; Turta, C. Magnetostructural Correlations in the Tetranuclear Series of {Fe3LnO2} Butterfly Core Clusters: Magnetic and Mössbauer Spectroscopic Study. Phys. Rev. B 2009, 80, 014430. [Google Scholar] [CrossRef]
- Liu, S.J.; Zhao, J.P.; Song, W.C.; Han, S.D.; Liu, Z.Y.; Bu, X.H. Slow Magnetic Relaxation in Two New 1d/0d DyIII Complexes with a Sterically Hindered Carboxylate Ligand. Inorg. Chem. 2013, 52, 2103–2109. [Google Scholar] [CrossRef]
- Zhang, S.; Shi, W.; Li, L.; Duan, E.; Cheng, P. Lanthanide Coordination Polymers with “Fsy-Type” Topology Based on 4,4’-Azobenzoic Acid: Syntheses, Crystal Structures, and Magnetic Properties. Inorg. Chem. 2014, 53, 10340–10346. [Google Scholar] [CrossRef]
- Kumar, P.; Swain, A.; Acharya, J.; Li, Y.; Kumar, V.; Rajaraman, G.; Colacio, E.; Chandrasekhar, V. Synthesis, Structure, and Zero-Field Smm Behavior of Homometallic Dy2, Dy4, and Dy6 Complexes. Inorg. Chem. 2022, 61, 11600–11621. [Google Scholar] [CrossRef] [PubMed]
- Guo, Y.N.; Xu, G.F.; Wernsdorfer, W.; Ungur, L.; Guo, Y.; Tang, J.k.; Zhang, H.J.; Chibotaru, L.F.; Powell, A.K. Strong Axiality and Ising Exchange Interaction Suppress Zero-Field Tunneling of Magnetization of an Asymmetric Dy2 Single-Molecule Magnet. J. Am. Chem. Soc. 2011, 133, 11948–11951. [Google Scholar] [CrossRef] [PubMed]
- Wang, J.; Yang, M.F.; Sun, J.; Li, H.; Liu, J.J.; Wang, Q.L.; Li, L.C.; Ma, Y.; Zhao, B.; Cheng, P. Enhancing the Energy Barrier of Dysprosium(III) Single-Molecule Magnets by Tuning the Magnetic Interactions through Different N-Oxide Bridging Ligands. CrystEngComm 2019, 21, 6219–6225. [Google Scholar] [CrossRef]
- Du, J.; Wei, S.; Jiang, Z.; Ke, H.; Sun, L.; Zhang, Y.; Chen, S. Influence of Lattice Water Molecules on the Magnetization Dynamics of Binuclear Dysprosium(III) Compounds: Insights from Magnetic and Ab Initio Calculations. Phys. Chem. Chem. Phys. 2023, 25, 11717–11724. [Google Scholar] [CrossRef]





Disclaimer/Publisher’s Note: The statements, opinions and data contained in all publications are solely those of the individual author(s) and contributor(s) and not of MDPI and/or the editor(s). MDPI and/or the editor(s) disclaim responsibility for any injury to people or property resulting from any ideas, methods, instructions or products referred to in the content. |
© 2023 by the authors. Licensee MDPI, Basel, Switzerland. This article is an open access article distributed under the terms and conditions of the Creative Commons Attribution (CC BY) license (https://creativecommons.org/licenses/by/4.0/).
Share and Cite
Liu, L.; Yang, P.; Qiu, Z.; Wang, K.; Liu, D.; Liang, Y.; Hu, H.; Zou, H.; Liang, F.; Chen, Z. Russian Doll-like 3d–4f Cluster Wheels with Slow Relaxation of Magnetization. Molecules 2023, 28, 5906. https://doi.org/10.3390/molecules28155906
Liu L, Yang P, Qiu Z, Wang K, Liu D, Liang Y, Hu H, Zou H, Liang F, Chen Z. Russian Doll-like 3d–4f Cluster Wheels with Slow Relaxation of Magnetization. Molecules. 2023; 28(15):5906. https://doi.org/10.3390/molecules28155906
Chicago/Turabian StyleLiu, Lan, Panpan Yang, Zhihui Qiu, Kai Wang, Dongcheng Liu, Yuning Liang, Huancheng Hu, Huahong Zou, Fupei Liang, and Zilu Chen. 2023. "Russian Doll-like 3d–4f Cluster Wheels with Slow Relaxation of Magnetization" Molecules 28, no. 15: 5906. https://doi.org/10.3390/molecules28155906
APA StyleLiu, L., Yang, P., Qiu, Z., Wang, K., Liu, D., Liang, Y., Hu, H., Zou, H., Liang, F., & Chen, Z. (2023). Russian Doll-like 3d–4f Cluster Wheels with Slow Relaxation of Magnetization. Molecules, 28(15), 5906. https://doi.org/10.3390/molecules28155906

