Isolation of Pseudomonas oleovorans Carrying Multidrug Resistance Proteins MdtA and MdtB from Wastewater
Abstract
1. Introduction
2. Results
2.1. Matrix-Assisted Flight Mass Spectrometry Can Quickly Identify Pseudomonas oleovorans
2.2. Molecular Biology Identification of Pseudomonas oleovorans
2.3. Biochemical Identification Results of Pseudomonas oleovorans
2.4. Analysis of Antibiotic Resistance in Pseudomonas oleovorans
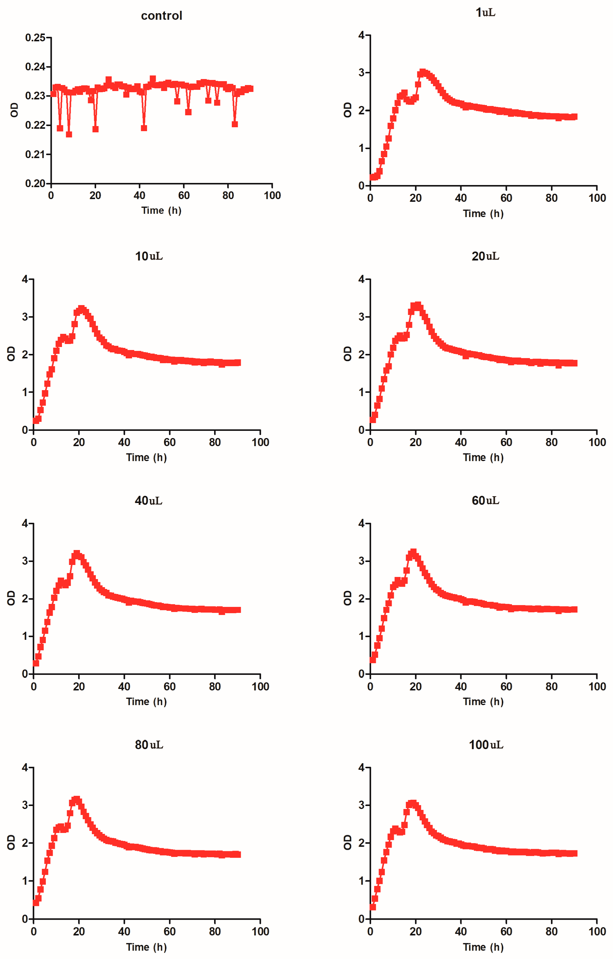
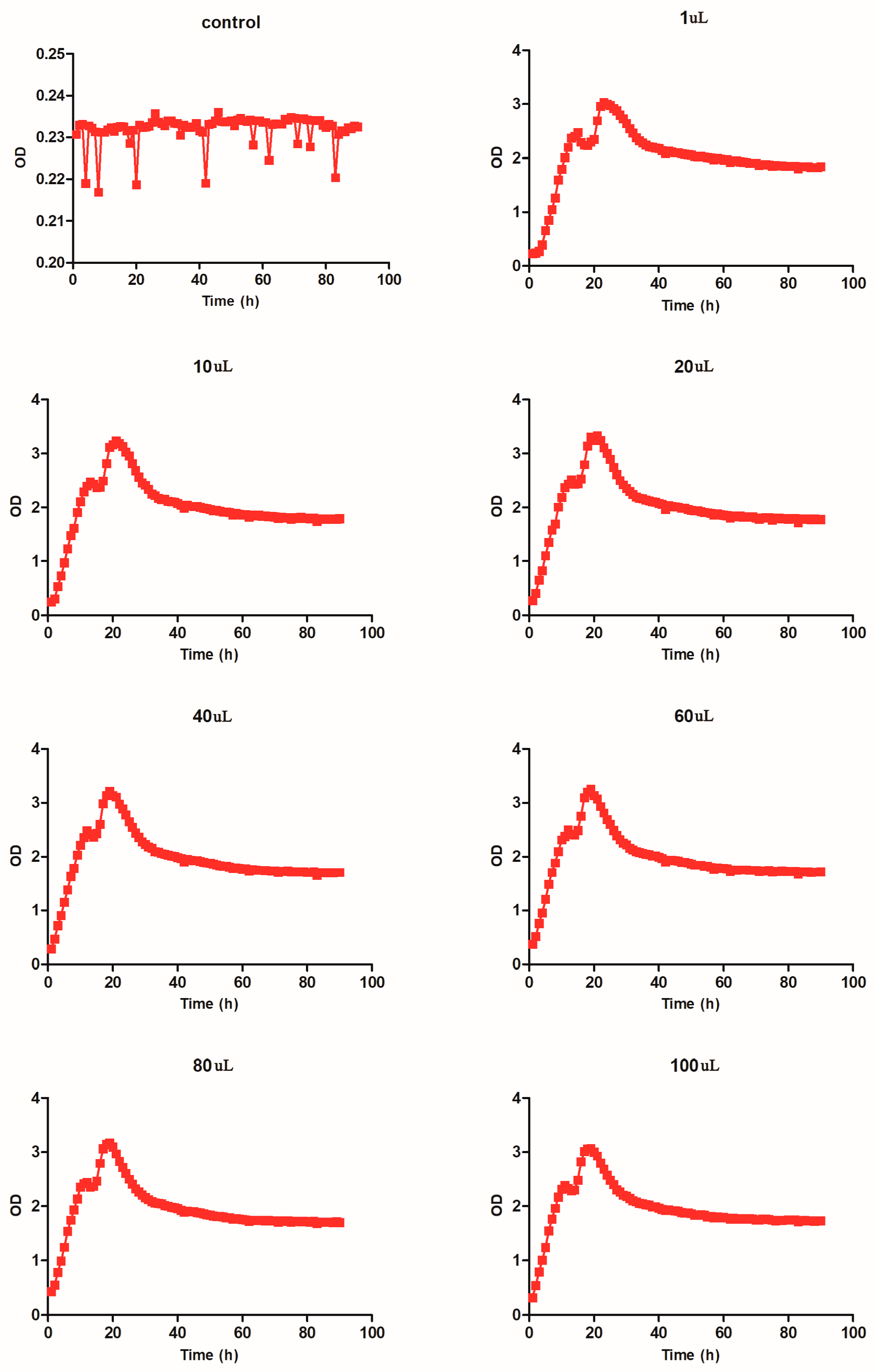
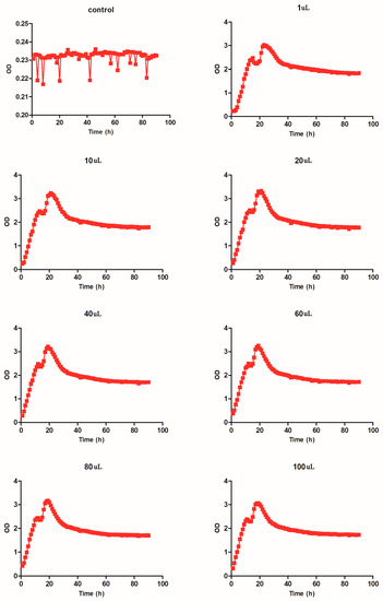
2.5. Growth Trend of Pseudomonas oleovorans
2.6. Detection of Drug-Resistance-Related Genes in Pseudomonas oleovorans
2.7. Proteomics Analysis
3. Materials and Methods
3.1. Isolation and Cultivation of Bacteria from Industrial Wastewater
3.2. Extraction of Genomic DNA and Plasmids
3.3. Establishment of a Phylogenetic Tree
3.4. The Identification of Matrix-Assisted Laser Desorption Ionization Time-of-Flight Mass Spectrometry
3.5. Biochemical Identification of Microorganisms
3.6. Analysis of Antibiotic Resistance
3.7. Detection of Bacterial Growth Curve
3.8. Drug-Resistance Gene Testing
3.9. Proteomic Analysis
4. Discussion
5. Conclusions
Author Contributions
Funding
Institutional Review Board Statement
Informed Consent Statement
Data Availability Statement
Conflicts of Interest
Sample Availability
References
- Nzila, A.; Razzak, S.A.; Zhu, J. Bioaugmentation: An Emerging Strategy of Industrial Wastewater Treatment for Reuse and Discharge. Int. J. Environ. Res. Public Health 2016, 13, 846. [Google Scholar] [CrossRef]
- Cai, H.; Mei, Y.; Chen, J.; Wu, Z.; Zhu, D. An analysis of the relation between water pollution and economic growth in China by considering the contemporaneous correlation of water pollutants. J. Clean. Prod. 2020, 276, 122783. [Google Scholar] [CrossRef]
- Rao, C.; Yan, B. Study on the interactive influence between economic growth and environmental pollution. Environ. Sci. Pollut. Res. Int. 2020, 27, 39442–39465. [Google Scholar] [CrossRef]
- Liang, W.; Yang, M. Urbanization, economic growth and environmental pollution: Evidence from China. Sustain. Comput. Inform. Syst. 2019, 21, 1–9. [Google Scholar]
- Guo, H.; Zhang, Y.; Yang, Z. Quantification of industrial wastewater discharge from the major cities in Sichuan province, China. Environ. Sci. Pollut. Res. Int. 2022, 29, 51567–51577. [Google Scholar] [CrossRef] [PubMed]
- Li, L.; Shi, Y.; Huang, Y.; Xing, A.; Xue, H. The Effect of Governance on Industrial Wastewater Pollution in China. Int. J. Res. Public Health 2022, 19, 9316. [Google Scholar] [CrossRef] [PubMed]
- Elhami, V.; Antunes, E.C.; Temmink, H.; Schuur, B. Recovery Techniques Enabling Circular Chemistry from Wastewater. Molecules 2022, 27, 1389. [Google Scholar] [CrossRef] [PubMed]
- Jain, K.; Patel, A.S.; Pardhi, V.P.; Flora, S.J.S. Nanotechnology in Wastewater Management: A New Paradigm towards Wastewater Treatment. Molecules 2021, 26, 1797. [Google Scholar] [CrossRef] [PubMed]
- Koul, Y.; Devda, V.; Varjani, S.; Guo, W.; Ngo, H.H.; Taherzadeh, M.J.; Chang, J.S.; Wong, J.W.C.; Bilal, M.; Kim, S.H.; et al. Microbial electrolysis: A promising approach for treatment and resource recovery from industrial wastewater. Bioengineered 2022, 13, 8115–8134. [Google Scholar] [CrossRef]
- Mohamed Abdoul-Latif, F.; Ainane, A.; Hachi, T.; Abbi, R.; Achira, M.; Abourriche, A.; Brulé, M.; Ainane, T. Materials Derived from Olive Pomace as Effective Bioadsorbents for the Process of Removing Total Phenols from Oil Mill Effluents. Molecules 2023, 28, 4310. [Google Scholar] [CrossRef]
- Boon, N.; Goris, J.; De Vos, P.; Verstraete, W.; Top, E.M. Bioaugmentation of activated sludge by an indigenous 3-chloroaniline-degrading Comamonas testosteroni strain, I2gfp. Appl. Environ. Microbiol. 2000, 66, 2906–2913. [Google Scholar] [CrossRef] [PubMed]
- Wang, M.; Xu, J.; Wang, J.; Wang, S.; Feng, H.; Shentu, J.; Shen, D. Differences between 4-fluoroaniline degradation and autoinducer release by Acinetobacter sp. TW: Implications for operating conditions in bacterial bioaugmentation. Environ. Sci. Pollut. Res. Int. 2013, 20, 6201–6209. [Google Scholar] [CrossRef]
- Yang, Y.; Wang, L.; Xiang, F.; Zhao, L.; Qiao, Z. Activated Sludge Microbial Community and Treatment Performance of Wastewater Treatment Plants in Industrial and Municipal Zones. Int. J. Environ. Res. Public Health 2020, 17, 436. [Google Scholar] [CrossRef] [PubMed]
- Kim, H.; Moon, S.; Ham, S.; Lee, K.; Römling, U.; Lee, C. Cytoplasmic molecular chaperones in Pseudomonas species. J. Microbiol. 2022, 60, 1049–1060. [Google Scholar] [CrossRef] [PubMed]
- Nandy, S.; Arora, U.; Tarar, P.; Viggor, S.; Jõesaar, M.; Kivisaar, M.; Kapley, A. Monitoring the growth, survival and phenol utilization of the fluorescent-tagged Pseudomonas oleovorans immobilized and free cells. Bioresour. Technol. 2021, 338, 125568. [Google Scholar] [CrossRef]
- Hirota, K.; Yamahira, K.; Nakajima, K.; Nodasaka, Y.; Okuyama, H.; Yumoto, I. Pseudomonas toyotomiensis sp. nov. a psychrotolerant facultative alkaliphile that utilizes hydrocarbons. Int. J. Syst. Evol. Microbiol. 2011, 61, 1842–1848. [Google Scholar] [CrossRef]
- Bhatawadekar, V.C.; Damare, S.R.; Garg, A. Biodegradation of mixed polycyclic aromatic hydrocarbons by Pseudomonas sp. isolated from estuarine sediment. Bioremediat. J. 2021, 10, 1–10. [Google Scholar] [CrossRef]
- Tarhriz, V.; Nouioui, I.; Sproeer, C.; Verbarg, S.; Ebrahimi, V.; Cortes-Albayay, C.; Schumann, P.; Hejazi, M.A.; Klenk, H.P.; Hejazi, M.S. Pseudomonas khazarica sp. nov. a polycyclic aromatic hydrocarbon-degrading bacterium isolated from Khazar Sea sediments. Antonie Van Leeuwenhoek 2020, 113, 521–532. [Google Scholar] [CrossRef]
- Chen, J.; Ruan, J.W.; Ye, J.X.; Cheng, Z.W.; Chen, D.Z. Removal of gaseous tetrahydrofuran via a three-phase airlift bioreactor loaded with immobilized cells of GFP-tagged Pseudomonas oleovorans GDT4. Chemosphere 2020, 258, 127148. [Google Scholar] [CrossRef]
- Liu, H.Y.; Yang, G.F.; Cheng, Z.W.; Chu, Q.Y.; Xu, Y.F.; Zhang, W.X.; Ye, J.X.; Chen, J.M.; Wang, L.N.; Yang, Z.Y.; et al. Interaction of tetrahydrofuran and methyl tert-butyl ether in waste gas treatment by a biotrickling filter bioaugmented with Piscinibacter caeni MQ-18 and Pseudomonas oleovorans DT4. Chemosphere 2022, 286 Pt 1, 131552. [Google Scholar] [CrossRef]
- Chen, D.Z.; Ding, Y.F.; Zhou, Y.Y.; Ye, J.X.; Chen, J.M. Biodegradation Kinetics of Tetrahydrofuran, Benzene, Toluene, and Ethylbenzene as Multi-substrate by Pseudomonas oleovorans DT4. Int. J. Environ. Res. Public Health 2015, 12, 371–384. [Google Scholar] [CrossRef] [PubMed]
- Yigit, H.; Queenan, A.M.; Anderson, G.J.; Domenech-Sanchez, A.; Biddle, J.W.; Steward, C.D.; Alberti, S.; Bush, K.; Tenover, F.C. Novel carbapenem-hydrolyzing beta-lactamase, KPC-1, from a carbapenem-resistant strain of Klebsiella pneumoniae. Antimicrob. Agents Chemother. 2001, 45, 1151–1161. [Google Scholar] [CrossRef] [PubMed]
- Yu, Y.S.; Ji, S.J.; Chen, Y.G.; Zhou, W.L.; Wei, Z.Q.; Li, L.J.; Ma, Y.L. Resistance of strains producing extended-spectrum beta-lactamases and genotype distribution in China. J. Infect. 2007, 54, 53–57. [Google Scholar] [CrossRef] [PubMed]
- Kim, H.B.; Wang, M.H.; Park, C.H.; Kim, E.C.; Jacoby, G.A.; Hooper, D.C. oqxAB Encoding a Multidrug Efflux Pump in Human Clinical Isolates of Enterobacteriaceae. Antimicrob. Agents Chemother. 2009, 53, 3582–3584. [Google Scholar] [CrossRef]
- Martinez-Burgos, W.J.; Bittencourt Sydney, E.; Bianchi Pedroni Medeiros, A.; Magalhães, A.I.; de Carvalho, J.C.; Karp, S.G.; Porto de Souza Vandenberghe, L.; Junior Letti, L.A.; Thomaz Soccol, V.; de Melo Pereira, G.V.; et al. Agro-industrial wastewater in a circular economy: Characteristics, impacts and applications for bioenergy and biochemicals. Bioresour. Technol. 2021, 341, 125795. [Google Scholar] [CrossRef]
- Guo, X.; Sanchez-Londono, M.; Gomes-Filho, J.V.; Hernandez-Tamayo, R.; Rust, S.; Immelmann, L.M.; Schäfer, P.; Wiegel, J.; Graumann, P.L.; Randau, L. Characterization of the self-targeting Type IV CRISPR interference system in Pseudomonas oleovorans. Nat. Microbiol. 2022, 7, 1870–1878. [Google Scholar] [CrossRef] [PubMed]
- Gautam, L.; Kaur, R.; Kumar, S.; Bansal, A.; Gautam, V.; Singh, M.; Ray, P. Pseudomonas oleovorans Sepsis in a Child: The First Reported Case in India. Jpn. J. Infect. Dis. 2015, 68, 254–255. [Google Scholar] [CrossRef] [PubMed]
- Wang, R.; Ren, C.; Huang, N.; Liu, Y.; Zeng, R. Draft genome sequence of Pseudomonas oleovorans strain MGY01 isolated from deep sea water. Mar. Genom. 2015, 20, 17–18. [Google Scholar] [CrossRef]
- Abbas, S.Z.; Yong, Y.C.; Ali Khan, M.; Siddiqui, M.R.; Hakami, A.A.H.; Alshareef, S.A.; Otero, M.; Rafatullah, M. Bioflocculants Produced by Bacterial Strains Isolated from Palm Oil Mill Effluent for Application in the Removal of Eriochrome Black T Dye from Water. Polymers 2020, 12, 1545. [Google Scholar] [CrossRef]
- Kumari, N.; Bansal, S. Arginine depriving enzymes: Applications as emerging therapeutics in cancer treatment. Cancer Chemother. Pharmacol. 2021, 88, 565–594. [Google Scholar] [CrossRef]
- Lee, H.; Rhee, S. Structural and mutational analyses of the bifunctional arginine dihydrolase and ornithine cyclodeaminase AgrE from the cyanobacterium Anabaena. J. Biol. Chem. 2020, 295, 5751–5760. [Google Scholar] [CrossRef] [PubMed]
- Kövilein, A.; Aschmann, V.; Zadravec, L.; Ochsenreither, K. Optimization of L-malic acid production from acetate with Aspergillus oryzae DSM 1863 using a pH-coupled feeding strategy. Microb. Cell Factories 2022, 21, 242. [Google Scholar] [CrossRef] [PubMed]
- van Mastrigt, O.; Mager, E.E.; Jamin, C.; Abee, T.; Smid, E.J. Citrate, low pH and amino acid limitation induce citrate utilization in Lactococcus lactis biovar diacetylactis. Microb. Biotechnol. 2018, 11, 369–380. [Google Scholar] [CrossRef]
- Bhatia, S.; Singh, A.; Batra, N.; Singh, J. Microbial production and biotechnological applications of α-galactosidase. Int. J. Biol. Macromol. 2020, 150, 1294–1313. [Google Scholar] [CrossRef]
- Damin, B.I.S.; Kovalski, F.C.; Fischer, J.; Piccin, J.S.; Dettmer, A. Challenges and perspectives of the β-galactosidase enzyme. Appl. Microbiol. Biotechnol. 2021, 105, 5281–5298. [Google Scholar] [CrossRef] [PubMed]
- Martinho, N.; Pires, R.F.; Zloh, M.; Bonifácio, V.D.B. Intrinsic acetamide brush-off by polyurea biodendrimers. J. Mater. Chem. B 2021, 9, 3371–3376. [Google Scholar] [CrossRef] [PubMed]
- Liu, Y.; Pei, T.; Yi, S.; Du, J.; Zhang, X.; Deng, X.; Yao, Q.; Deng, M.R.; Zhu, H. Phylogenomic Analysis Substantiates the gyrB Gene as a Powerful Molecular Marker to Efficiently Differentiate the Most Closely Related Genera Myxococcus, Corallococcus, and Pyxidicoccus. Front. Microbiol. 2021, 12, 763359. [Google Scholar] [CrossRef]
- Cabrera, R.; Fernández-Barat, L.; Vázquez, N.; Alcaraz-Serrano, V.; Bueno-Freire, L.; Amaro, R.; López-Aladid, R.; Oscanoa, P.; Muñoz, L.; Vila, J.; et al. Resistance mechanisms and molecular epidemiology of Pseudomonas aeruginosa strains from patients with bronchiectasis. J. Antimicrob. Chemother. 2022, 77, 1600–1610. [Google Scholar] [CrossRef]
- Tian, X.; Wang, R.; Gu, T.; Ma, F.; Laster, K.V.; Li, X.; Liu, K.; Lee, M.H.; Dong, Z. Costunolide is a dual inhibitor of MEK1 and AKT1/2 that overcomes osimertinib resistance in lung cancer. Mol. Cancer 2022, 21, 193. [Google Scholar] [CrossRef]
- Yan, J.; Xia, Y.; Yang, M.; Zou, J.; Chen, Y.; Zhang, D.; Ma, L. Quantitative Proteomics Analysis of Membrane Proteins in Enterococcus faecalis With Low-Level Linezolid-Resistance. Front. Microbiol. 2018, 9, 1698. [Google Scholar] [CrossRef]





| Item | Name | Abbreviation | Results |
|---|---|---|---|
| 1 | Anaerobic glucose fermentation | GLUf | Negative |
| 2 | Hydrogen sulfide production | H2S | Negative |
| 3 | Ornithine decarboxylase | ODC | Negative |
| 4 | Arginine dihydrolase | ADH | Positive |
| 5 | Lysine decarboxylase | LDC | Negative |
| 6 | Amino acid control | C | Negative |
| 7 | Urease | URE | Negative |
| 8 | Aescin hydrolysis | ESC | Negative |
| 9 | Gelatin hydrolysis | GEL | Negative |
| 10 | Nitrate reduction | NIT | Negative |
| 11 | Production of indole | IND | Negative |
| 12 | Malic acid utilization | MTE | Positive |
| 13 | Acid production of aerobic glucose | GLU | Negative |
| 14 | Acid production of mannitol | MAN | Negative |
| 15 | Acid production of sucrose | SAC | Negative |
| 16 | Acid production of lactose | LAC | Negative |
| 17 | Acid production of mannose | MNE | Negative |
| 18 | Acid production of maltose | MAL | Negative |
| 19 | Acid production of fructose | FRU | Negative |
| 20 | Acid production of xylose | XYL | Negative |
| 21 | Citrate utilization | CIT | Positive |
| 22 | Malonic acid salt utilization | MLT | Positive |
| 23 | Galactosidase | ONPG | Positive |
| 24 | Acetamide | ACE | Positive |
| Item | Drug Name | Abbreviation | Group | MIC Value | Results |
|---|---|---|---|---|---|
| 1 | Ceftazidime | CAZ | A | ≤1 | Susceptible |
| 2 | Gentamicin | GEN | A | ≤2 | Susceptible |
| 3 | Tobramycin | TOB | A | ≤1 | Susceptible |
| 4 | Levofloxacin | LEV | B | ≤2 | Susceptible |
| 5 | Ciprofloxacin | CIP | B | ≤1 | Susceptible |
| 6 | Cefepime | FEP | B | ≤2 | Susceptible |
| 7 | Imipenem | IPM | B | ≤1 | Susceptible |
| 8 | Aztreonam | ATM | B | =8 | Susceptible |
| 9 | Piperacillin/Tazobactam | P/T | B | ≤4/4 | Susceptible |
| 10 | Compound Xinnuomin | SXT | B | =4/76 | Resistant |
| 11 | Amikacin | AMK | B | ≤4 | Susceptible |
| 12 | MeropeneM | MRP | B | ≤1 | Susceptible |
| 13 | Cefotaxime | CTX | C | =8 | Susceptible |
| 14 | Ceftriaxone | CRO | C | =4 | Susceptible |
| 15 | Chloramphenicol | CHL | C | =32 | Resistant |
| 16 | Cefoperazone/sulbactam | CPS | I | =8/4 | Susceptible |
| 17 | Polymyxin E | CT | I | ≤2 | / |
| 18 | Polymyxin B | PB | I | ≤2 | / |
| 19 | Ampicillin/Sulbactam | AMS | I | >32/16 | / |
| 20 | Minocycline | MIN | O | =8 | Intermediate |
| 21 | Piperacillin | PIP | O | ≤8 | Susceptible |
| 22 | Ticarcillin/clavulanic acid | TIM | O | =32/2 | Intermediate |
| 23 | Doxycycline | DOX | O | ≤4 | Susceptible |
| 24 | Tetracycline | TET | U | ≤4 | Susceptible |
| Item | Protemics Analysis |
|---|---|
| 1 | Multidrug-resistance protein MdtA (mdtA2) |
| 2 | Multidrug-resistance protein MdtA (mdtA3) |
| 3 | Multidrug-resistance protein MdtB (mdtB2) |
| 4 | Modulator of drug activity B (mdaB) |
| 5 | Putative multidrug-resistance protein EmrK (emrK1) |
Disclaimer/Publisher’s Note: The statements, opinions and data contained in all publications are solely those of the individual author(s) and contributor(s) and not of MDPI and/or the editor(s). MDPI and/or the editor(s) disclaim responsibility for any injury to people or property resulting from any ideas, methods, instructions or products referred to in the content. |
© 2023 by the authors. Licensee MDPI, Basel, Switzerland. This article is an open access article distributed under the terms and conditions of the Creative Commons Attribution (CC BY) license (https://creativecommons.org/licenses/by/4.0/).
Share and Cite
Wang, H.; Sun, C.; Chen, X.; Yan, K.; He, H. Isolation of Pseudomonas oleovorans Carrying Multidrug Resistance Proteins MdtA and MdtB from Wastewater. Molecules 2023, 28, 5403. https://doi.org/10.3390/molecules28145403
Wang H, Sun C, Chen X, Yan K, He H. Isolation of Pseudomonas oleovorans Carrying Multidrug Resistance Proteins MdtA and MdtB from Wastewater. Molecules. 2023; 28(14):5403. https://doi.org/10.3390/molecules28145403
Chicago/Turabian StyleWang, Haifeng, Chenyang Sun, Xing Chen, Kai Yan, and Hongxuan He. 2023. "Isolation of Pseudomonas oleovorans Carrying Multidrug Resistance Proteins MdtA and MdtB from Wastewater" Molecules 28, no. 14: 5403. https://doi.org/10.3390/molecules28145403
APA StyleWang, H., Sun, C., Chen, X., Yan, K., & He, H. (2023). Isolation of Pseudomonas oleovorans Carrying Multidrug Resistance Proteins MdtA and MdtB from Wastewater. Molecules, 28(14), 5403. https://doi.org/10.3390/molecules28145403

