Highly Luminescent Europium(III) Complexes in Solution and PMMA-Doped Films for Bright Red Electroluminescent Devices
Abstract
1. Introduction
2. Results and Discussion
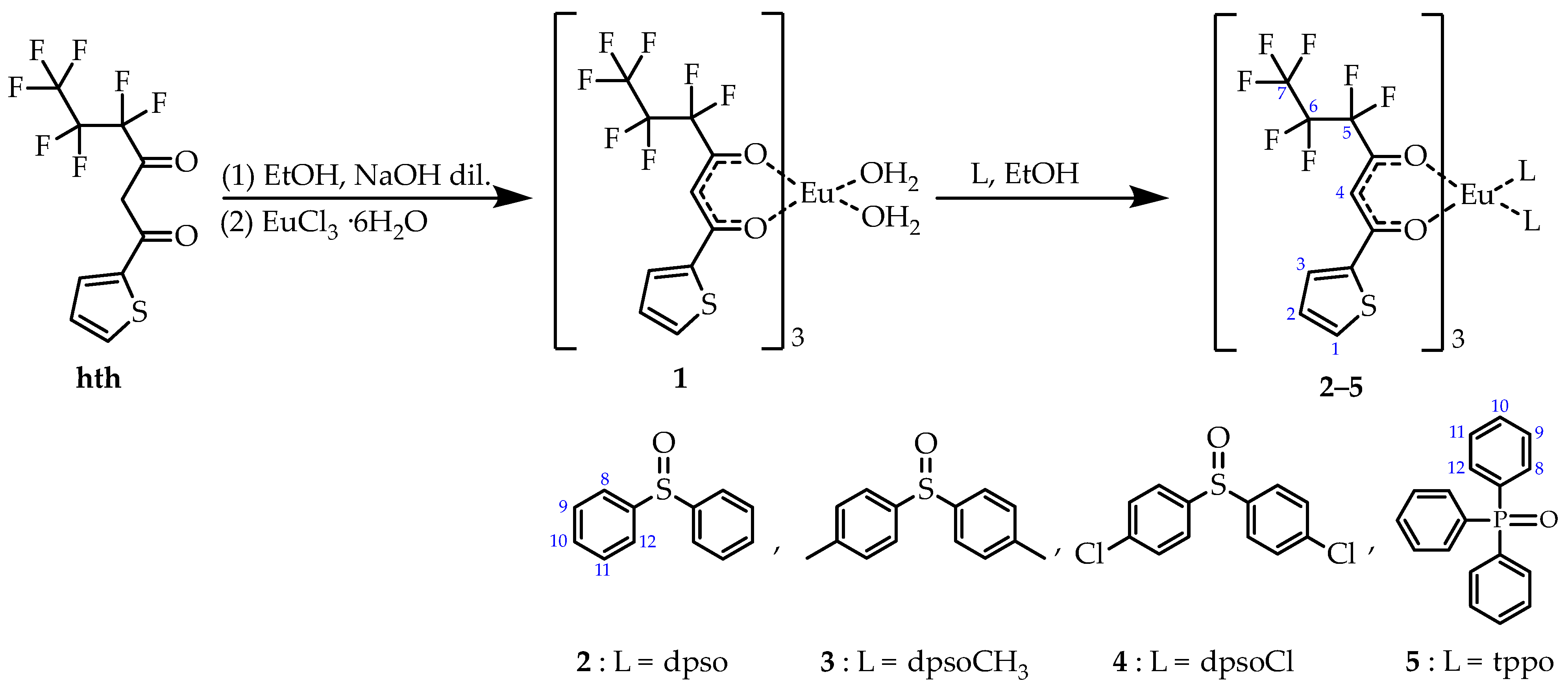
2.1. Synthesis
2.2. NMR Analysis
2.3. Single Crystal X-ray Crystallography
2.4. Photophysical Study
2.5. Electroluminescence Properties
3. Materials and Methods
3.1. Synthesis of Complexes
3.2. XRD Crystallography
3.3. Photophysics
3.4. Device Fabrication
4. Conclusions
Supplementary Materials
Author Contributions
Funding
Institutional Review Board Statement
Informed Consent Statement
Data Availability Statement
Acknowledgments
Conflicts of Interest
Sample Availability
References
- Pershagen, E.; Nordholm, J.; Borbas, K.E. Luminescent lanthanide complexes with analyte-triggered antenna formation. J. Am. Chem. Soc. 2012, 134, 9832–9835. [Google Scholar] [CrossRef] [PubMed]
- Ratnakar, S.J.; Viswanathan, S.; Kovacs, Z.; Jindal, A.K.; Green, K.N.; Sherry, A.D. Europium(III) DOTA-tetraamide complexes as redox-active MRI sensors. J. Am. Chem. Soc. 2012, 134, 5798–5800. [Google Scholar] [CrossRef] [PubMed]
- Liu, J.Q.; Li, G.P.; Liu, W.C.; Li, Q.L.; Li, B.H.; Gable, R.W.; Hou, L.; Batten, S.R. Two Unusual Nanocage-Based Ln-MOFs with Triazole Sites: Highly Fluorescent Sensing for Fe3+ and Cr2O72−, and Selective CO2 Capture. ChemPlusChem 2016, 81, 1299–1304. [Google Scholar] [CrossRef] [PubMed]
- Liu, J.-Q.; Luo, Z.-D.; Pan, Y.; Kumar Singh, A.; Trivedi, M.; Kumar, A. Recent developments in luminescent coordination polymers: Designing strategies, sensing application and theoretical evidences. Coord. Chem. Rev. 2020, 406, 213145. [Google Scholar] [CrossRef]
- Gavriluta, A.; Fix, T.; Nonat, A.; Slaoui, A.; Guillemoles, J.-F.; Charbonnière, L.J. Tuning the chemical properties of europium complexes as downshifting agents for copper indium gallium selenide solar cells. J. Mater. Chem. A 2017, 5, 14031–14040. [Google Scholar] [CrossRef]
- Kido, J.; Okamoto, Y. Organo lanthanide metal complexes for electroluminescent materials. Chem. Rev. 2002, 102, 2357–2368. [Google Scholar] [CrossRef]
- Bünzli, J.-C.G.; Chauvin, A.-S.; Kim, H.K.; Deiters, E.; Eliseeva, S.V. Lanthanide luminescence efficiency in eight- and nine-coordinate complexes: Role of the radiative lifetime. Coord. Chem. Rev. 2010, 254, 2623–2633. [Google Scholar] [CrossRef]
- Nehra, K.; Dalal, A.; Hooda, A.; Bhagwan, S.; Saini, R.K.; Mari, B.; Kumar, S.; Singh, D. Lanthanides β-diketonate complexes as energy-efficient emissive materials: A review. J. Mol. Struct. 2022, 1249, 131531. [Google Scholar] [CrossRef]
- Saloutin, V.I.; Edilova, Y.O.; Kudyakova, Y.S.; Burgart, Y.V.; Bazhin, D.N. Heterometallic Molecular Architectures Based on Fluorinated beta-Diketone Ligands. Molecules 2022, 27, 7894. [Google Scholar] [CrossRef]
- Biju, S.; Gopakumar, N.; Bunzli, J.C.; Scopelliti, R.; Kim, H.K.; Reddy, M.L. Brilliant photoluminescence and triboluminescence from ternary complexes of Dy(III) and Tb(III) with 3-phenyl-4-propanoyl-5-isoxazolonate and a bidentate phosphine oxide coligand. Inorg. Chem. 2013, 52, 8750–8758. [Google Scholar] [CrossRef]
- Mara, D.; Artizzu, F.; Smet, P.F.; Kaczmarek, A.M.; Van Hecke, K.; Van Deun, R. Vibrational Quenching in Near-Infrared Emitting Lanthanide Complexes: A Quantitative Experimental Study and Novel Insights. Chem. Eur. J. 2019, 25, 15944–15956. [Google Scholar] [CrossRef] [PubMed]
- Miyata, K.; Nakagawa, T.; Kawakami, R.; Kita, Y.; Sugimoto, K.; Nakashima, T.; Harada, T.; Kawai, T.; Hasegawa, Y. Remarkable luminescence properties of lanthanide complexes with asymmetric dodecahedron structures. Chem. Eur. J. 2011, 17, 521–528. [Google Scholar] [CrossRef] [PubMed]
- Miyata, K.; Hasegawa, Y.; Kuramochi, Y.; Nakagawa, T.; Yokoo, T.; Kawai, T. Characteristic Structures and Photophysical Properties of Nine-Coordinate Europium(III) Complexes with Tandem-Connected Tridentate Phosphane Oxide Ligands. Eur. J. Inorg. Chem. 2009, 2009, 4777–4785. [Google Scholar] [CrossRef]
- Miranda, Y.C.; Pereira, L.L.A.L.; Barbosa, J.H.P.; Brito, H.F.; Felinto, M.C.F.C.; Malta, O.L.; Faustino, W.M.; Teotonio, E.E.S. The Role of the Ligand-to-Metal Charge-Transfer State in the Dipivaloylmethanate-Lanthanide Intramolecular Energy Transfer Process. Eur. J. Inorg. Chem. 2015, 2015, 3019–3027. [Google Scholar] [CrossRef]
- Yanagisawa, K.; Nakanishi, T.; Kitagawa, Y.; Seki, T.; Akama, T.; Kobayashi, M.; Taketsugu, T.; Ito, H.; Fushimi, K.; Hasegawa, Y. Seven-Coordinate Luminophores: Brilliant Luminescence of Lanthanide Complexes with C3v Geometrical Structures. Eur. J. Inorg. Chem. 2015, 2015, 4769–4774. [Google Scholar] [CrossRef]
- Ahmed, Z.; Aderne, R.E.; Kai, J.; Resende, J.A.L.C.; Padilla-Chavarría, H.I.; Cremona, M. Near infrared organic light emitting devices based on a new erbium(iii) β-diketonate complex: Synthesis and optoelectronic investigations. RSC Adv. 2017, 7, 18239–18251. [Google Scholar] [CrossRef]
- Ahmed, Z.; Aderne, R.E.; Kai, J.; Resende, J.A.L.C.; Cremona, M. Synthesis of a low-coordinate erbium (III) β-diketonate complex assembled by opto-electronically active 1,3-diphenyl-1,3-propanedione and triphenylphosphine oxide ligands. Polyhedron 2016, 119, 412–419. [Google Scholar] [CrossRef]
- Ahmed, Z.; Aderne, R.E.; Kai, J.; Resende, J.A.L.C.; Cremona, M. Synthesis and NIR-optoelectronic properties of a seven-coordinate ytterbium tris β-diketonate complex with C3 geometrical structure. Polyhedron 2016, 117, 518–525. [Google Scholar] [CrossRef]
- Iwanaga, H. Investigation of strong photoluminescence and highly soluble Eu(III) complexes with phosphine oxides and β-diketonates. J. Lumin. 2018, 200, 233–239. [Google Scholar] [CrossRef]
- Xin, H.; Shi, M.; Gao, X.C.; Huang, Y.Y.; Gong, Z.L.; Nie, D.B.; Cao, H.; Bian, Z.Q.; Li, F.Y.; Huang, C.H. The Effect of Different Neutral Ligands on Photoluminescence and Electroluminescence Properties of Ternary Terbium Complexes. J. Phys. Chem. B 2004, 108, 10796–10800. [Google Scholar] [CrossRef]
- Teotonio, E.E.S.; Brito, H.F.; Cremona, M.; Quirino, W.G.; Legnani, C.; Felinto, M.C.F.C. Novel electroluminescent devices containing Eu3+-(2-acyl-1,3-indandionate) complexes with TPPO ligand. Opt. Mater. 2009, 32, 345–349. [Google Scholar] [CrossRef]
- Li, H.-Y.; Wu, J.; Huang, W.; Zhou, Y.-H.; Li, H.-R.; Zheng, Y.-X.; Zuo, J.-L. Synthesis and photoluminescent properties of five homodinuclear lanthanide (Ln3+ = Eu3+, Sm3+, Er3+, Yb3+, Pr3+) complexes. J. Photochem. Photobiol. A 2009, 208, 110–116. [Google Scholar] [CrossRef]
- Varaksina, E.A.; Kiskin, M.A.; Lyssenko, K.A.; Puntus, L.N.; Korshunov, V.M.; Silva, G.S.; Freire, R.O.; Taydakov, I.V. Tuning the luminescence efficiency by perfluorination of side chains in Eu(3+) complexes with beta-diketones of the thiophene series. Phys. Chem. Chem. Phys. 2021, 23, 25748–25760. [Google Scholar] [CrossRef] [PubMed]
- CSD Refcode of the Eu Complexes with Tppo: PAMHOE, DIGMIP, FIDMIQ, GEBYAN, GEBYAN01, GETMAU, GETMAU0, JAYTOT, MIHNOG, OTOYAY, POTFIP, RAXYAR, SABHIM, SAXFOP, WIFWIR, WIFWIR01.
- Görller-Walrand, C.; Fluyt, L.; Ceulemans, A.; Carnall, W.T. Magnetic dipole transitions as standards for Judd–Ofelt parametrization in lanthanide spectra. J. Chem. Phys. 1991, 95, 3099–3106. [Google Scholar] [CrossRef]
- Nakamura, K.; Hasegawa, Y.; Wada, Y.; Yanagida, S. Novel luminescent Eu(III) complex with remarkably narrow emission band. Chem. Phys. Lett. 2004, 398, 500–504. [Google Scholar] [CrossRef]
- Yanagisawa, K.; Kitagawa, Y.; Nakanishi, T.; Akama, T.; Kobayashi, M.; Seki, T.; Fushimi, K.; Ito, H.; Taketsugu, T.; Hasegawa, Y. Enhanced Luminescence of Asymmetrical Seven-Coordinate EuIII Complexes Including LMCT Perturbation. Eur. J. Inorg. Chem. 2017, 2017, 3843–3848. [Google Scholar] [CrossRef]
- Eliseeva, S.V.; Pleshkov, D.N.; Lyssenko, K.A.; Lepnev, L.S.; Bunzli, J.C.; Kuzmina, N.P. Deciphering three beneficial effects of 2,2’-bipyridine-N,N’-dioxide on the luminescence sensitization of lanthanide(III) hexafluoroacetylacetonate ternary complexes. Inorg. Chem. 2011, 50, 5137–5144. [Google Scholar] [CrossRef]
- Fu, L.; Ferreira, R.A.S.; Silva, N.J.O.; Fernandes, A.J.; Ribeiro-Claro, P.; Gonçalves, I.S.; Bermudez, V.d.Z.; Carlos, L.D. Structure–photoluminescence relationship in Eu(iii) β-diketonate-based organic–inorganic hybrids. Influence of the synthesis method: Carboxylic acid solvolysis versus conventional hydrolysis. J. Mater. Chem. 2005, 15, 3117–3125. [Google Scholar] [CrossRef]
- Freund, C.; Porzio, W.; Giovanella, U.; Vignali, F.; Pasini, M.; Destri, S.; Mech, A.; Di Pietro, S.; Di Bari, L.; Mineo, P. Thiophene based europium beta-diketonate complexes: Effect of the ligand structure on the emission quantum yield. Inorg. Chem. 2011, 50, 5417–5429. [Google Scholar] [CrossRef]
- de Sá, G.F.; Malta, O.L.; de Mello Donegá, C.; Simas, A.M.; Longo, R.L.; Santa-Cruz, P.A.; da Silva, E.F. Spectroscopic properties and design of highly luminescent lanthanide coordination complexes. Coord. Chem. Rev. 2000, 196, 165–195. [Google Scholar] [CrossRef]
- Ilmi, R.; Zhang, D.; Dutra, J.D.L.; Dege, N.; Zhou, L.; Wong, W.-Y.; Raithby, P.R.; Khan, M.S. A tris β-diketonate europium(III) complex based OLED fabricated by thermal evaporation method displaying efficient bright red emission. Org. Electron. 2021, 96, 106216. [Google Scholar] [CrossRef]
- Li, X.; Yin, J.; Wang, J.; Wu, R.; Li, S.; Sun, W.; Zhou, L. High-efficiency solution-processed OLED based on trivalent europium complex by modifying the composition of the multiple-host system. Front. Chem. 2022, 10, 965927. [Google Scholar] [CrossRef]
- Cusumano, P.; Garraffa, G.; Stivala, S. A simple method for the photometric characterization of organic light-emitting diodes. Solid State Electron. 2022, 195, 108394. [Google Scholar] [CrossRef]
- Adachi, C.; Baldo, M.A.; Forrest, S.R. Electroluminescence mechanisms in organic light emitting devices employing a europium chelate doped in a wide energy gap bipolar conducting host. J. Appl. Phys. 2000, 87, 8049–8055. [Google Scholar] [CrossRef]
- Liang, C.J.; Zhao, D.; Hong, Z.R.; Zhao, D.X.; Liu, X.Y.; Li, W.L.; Peng, J.B.; Yu, J.Q.; Lee, C.S.; Lee, S.T. Improved performance of electroluminescent devices based on an europium complex. Appl. Phys. Lett. 2000, 76, 67–69. [Google Scholar] [CrossRef]
- Sheldrick, G.M. SHELXT-integrated space-group and crystal-structure determination. Acta Crystallogr. A Found. Adv. 2015, 71, 3–8. [Google Scholar] [CrossRef] [PubMed]
- Macrae, C.F.; Sovago, I.; Cottrell, S.J.; Galek, P.T.A.; McCabe, P.; Pidcock, E.; Platings, M.; Shields, G.P.; Stevens, J.S.; Towler, M.; et al. Mercury 4.0: From visualization to analysis, design and prediction. J. Appl. Crystallogr. 2020, 53, 226–235. [Google Scholar] [CrossRef]
- Montalti, M.; Credi, A.; Prodi, L.; Gandolfi, M.T. Handbook of Photochemistry; CRC Press: Boca Raton, FL, USA, 2006. [Google Scholar]
- Binnemans, K. Interpretation of europium(III) spectra. Coord. Chem. Rev. 2015, 295, 1–45. [Google Scholar] [CrossRef]
- Zheng, Y.; Fu, L.; Zhou, Y.; Yu, J.; Yu, Y.; Wang, S.; Zhang, H. Electroluminescence based on a β-diketonate ternary samarium complex. J. Mater. Chem. 2002, 12, 919–923. [Google Scholar] [CrossRef]
- Jenks, W.S.; Lee, W.; Shutters, D. Photochemistry and Photophysics of Aromatic Sulfoxides. 1 Characterization of theTriplets at Cryogenic Temperatures. J. Phys. Chem. 2002, 98, 2282–2289. [Google Scholar] [CrossRef]
- Li, H.; Hong, M.; Scarpaci, A.; He, X.; Risko, C.; Sears, J.S.; Barlow, S.; Winget, P.; Marder, S.R.; Kim, D.; et al. Chemical Stabilities of the Lowest Triplet State in Aryl Sulfones and Aryl Phosphine Oxides Relevant to OLED Applications. Chem. Mater. 2019, 31, 1507–1519. [Google Scholar] [CrossRef]









| λmax, nm | ε, M−1·cm−1 | ϕ, % | τ, μs | |||||
|---|---|---|---|---|---|---|---|---|
| DCM | DCM | ACN | PMMA | DCM | ACN | PMMA | ||
| 1 | 346 | 58,800 | 17.4 | 55.7 | 23 | 275 | 574 | 303 |
| 2 | 346 | 64,300 | 12.4 | 59.4 | 26 | 255 | 584 | 318 |
| 3 | 346 | 54,800 | 8.93 | 51.3 | 26 | 227 | 576 | 325 |
| 4 | 346 | 60,000 | 12.4 | 57.5 | 24 | 229 | 583 | 309 |
| 5 | 344 | 64,500 | 54.2 | 65.8 | 56 | 308 | 597 | 470 |
Disclaimer/Publisher’s Note: The statements, opinions and data contained in all publications are solely those of the individual author(s) and contributor(s) and not of MDPI and/or the editor(s). MDPI and/or the editor(s) disclaim responsibility for any injury to people or property resulting from any ideas, methods, instructions or products referred to in the content. |
© 2023 by the authors. Licensee MDPI, Basel, Switzerland. This article is an open access article distributed under the terms and conditions of the Creative Commons Attribution (CC BY) license (https://creativecommons.org/licenses/by/4.0/).
Share and Cite
Ahmed, Z.; Carvalho, R.d.S.; dos Santos, A.M.; Gambassi, F.; Bandini, E.; Marvelli, L.; Maini, L.; Barbieri, A.; Cremona, M. Highly Luminescent Europium(III) Complexes in Solution and PMMA-Doped Films for Bright Red Electroluminescent Devices. Molecules 2023, 28, 4371. https://doi.org/10.3390/molecules28114371
Ahmed Z, Carvalho RdS, dos Santos AM, Gambassi F, Bandini E, Marvelli L, Maini L, Barbieri A, Cremona M. Highly Luminescent Europium(III) Complexes in Solution and PMMA-Doped Films for Bright Red Electroluminescent Devices. Molecules. 2023; 28(11):4371. https://doi.org/10.3390/molecules28114371
Chicago/Turabian StyleAhmed, Zubair, Rafael dos Santos Carvalho, Aline Magalhães dos Santos, Francesca Gambassi, Elisa Bandini, Lorenza Marvelli, Lucia Maini, Andrea Barbieri, and Marco Cremona. 2023. "Highly Luminescent Europium(III) Complexes in Solution and PMMA-Doped Films for Bright Red Electroluminescent Devices" Molecules 28, no. 11: 4371. https://doi.org/10.3390/molecules28114371
APA StyleAhmed, Z., Carvalho, R. d. S., dos Santos, A. M., Gambassi, F., Bandini, E., Marvelli, L., Maini, L., Barbieri, A., & Cremona, M. (2023). Highly Luminescent Europium(III) Complexes in Solution and PMMA-Doped Films for Bright Red Electroluminescent Devices. Molecules, 28(11), 4371. https://doi.org/10.3390/molecules28114371

