All-Solid-State Carbon Black Paste Electrodes Modified by Poly(3-octylthiophene-2,5-diyl) and Transition Metal Oxides for Determination of Nitrate Ions
Abstract
1. Introduction
2. Results and Discussion
2.1. Measurements
2.2. Wettability
2.3. Potentiometric Tests
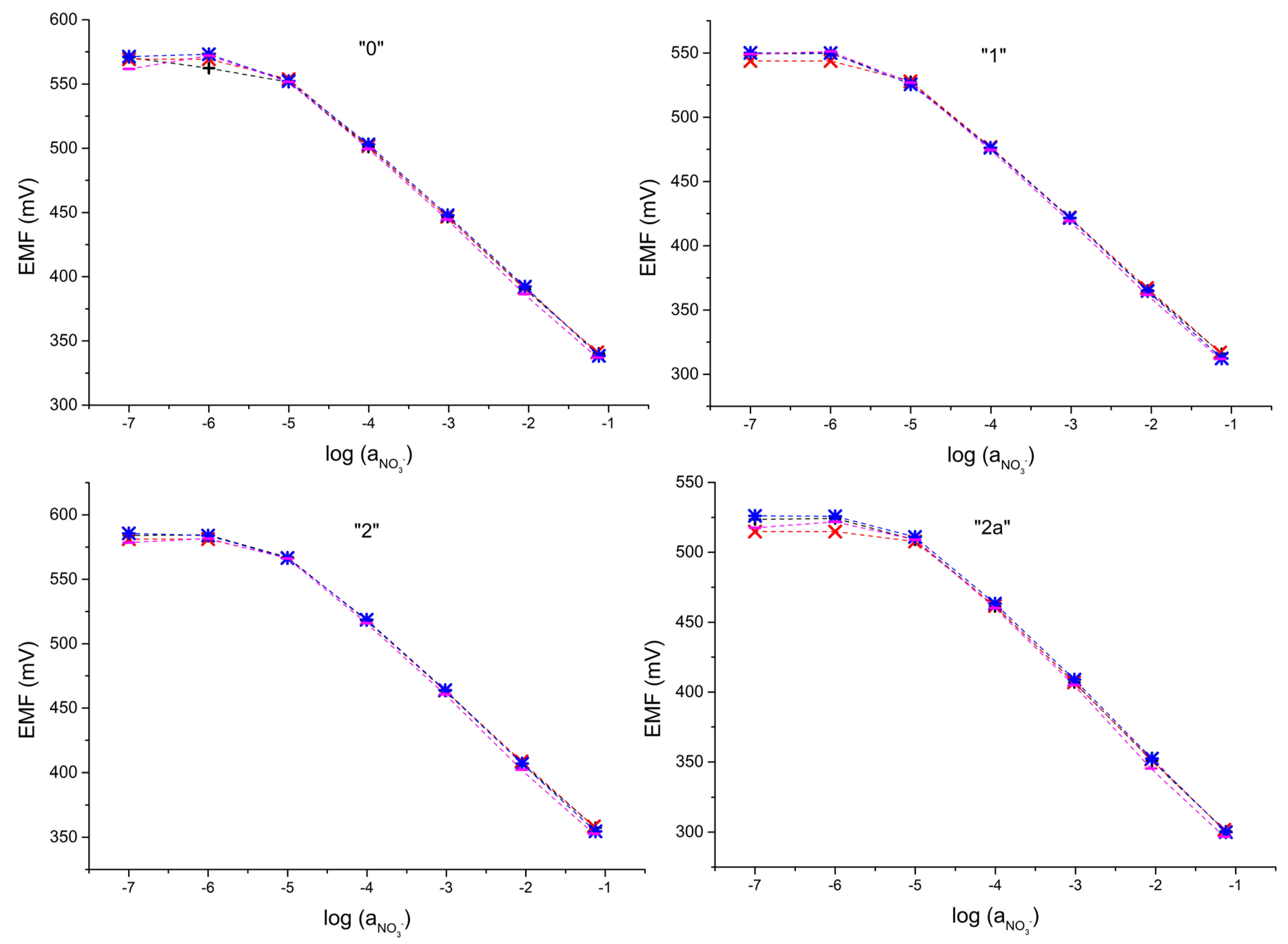
2.3.1. Potentiometric Response
2.3.2. Selectivity
2.3.3. Stability and Reversibility of Response
2.3.4. pH and Light Sensitivity
2.3.5. Water Layer Test
2.3.6. Analytical Applications
3. Materials and Methods
3.1. Chemicals
3.2. Electrode Preparation
3.3. Measurements
4. Conclusions
Author Contributions
Funding
Institutional Review Board Statement
Informed Consent Statement
Data Availability Statement
Conflicts of Interest
Sample Availability
References
- Krouk, G.; Crawford, N.M.; Coruzzi, G.M.; Tsay, Y.-F. Nitrate Signaling: Adaptation to Fluctuating Environments. Curr. Opin Plant Biol. 2010, 13, 265–272. [Google Scholar] [CrossRef] [PubMed]
- Forde, B.G.; Lea, P.J. Glutamate in Plants: Metabolism, Regulation, and Signalling. J. Exp. Bot. 2007, 58, 2339–2358. [Google Scholar] [CrossRef]
- Shao, Y.; Ying, Y.; Ping, J. Recent Advances in Solid-Contact Ion-Selective Electrodes: Functional Materials, Transduction Mechanisms, and Development Trends. Chem. Soc. Rev. 2020, 49, 4405–4465. [Google Scholar] [CrossRef] [PubMed]
- Cattrall, R.W.; Freiser, H. Coated Wire Ion-Selective Electrodes. Anal. Chem. 1971, 43, 1905–1906. [Google Scholar] [CrossRef]
- Paczosa-Bator, B. All-Solid-State Selective Electrodes Using Carbon Black. Talanta 2012, 93, 424–427. [Google Scholar] [CrossRef]
- Yuan, D.; Anthis, A.H.C.; Ghahraman Afshar, M.; Pankratova, N.; Cuartero, M.; Crespo, G.A.; Bakker, E. All-Solid-State Potentiometric Sensors with a Multiwalled Carbon Nanotube Inner Transducing Layer for Anion Detection in Environmental Samples. Anal. Chem. 2015, 87, 8640–8645. [Google Scholar] [CrossRef]
- Rius-Ruiz, F.X.; Crespo, G.A.; Bejarano-Nosas, D.; Blondeau, P.; Riu, J.; Rius, F.X. Potentiometric Strip Cell Based on Carbon Nanotubes as Transducer Layer: Toward Low-Cost Decentralized Measurements. Anal. Chem. 2011, 83, 8810–8815. [Google Scholar] [CrossRef]
- Parra, E.J.; Crespo, G.A.; Riu, J.; Ruiz, A.; Rius, F.X. Ion-Selective Electrodes Using Multi-Walled Carbon Nanotubes as Ion-to-Electron Transducers for the Detection of Perchlorate. Analyst 2009, 134, 1905. [Google Scholar] [CrossRef]
- Ping, J.; Wang, Y.; Wu, J.; Ying, Y. Development of an All-Solid-State Potassium Ion-Selective Electrode Using Grapheme as the Solid-Contact Transducer. Electrochem. Commun. 2011, 13, 1529–1532. [Google Scholar] [CrossRef]
- Ping, J.; Wang, Y.; Fan, K.; Tang, W.; Wu, J.; Ying, Y. High-Performance Flexible Potentiometric Sensing Devices Using Free-Standing Graphene Paper. J. Mater. Chem. B 2013, 1, 4781. [Google Scholar] [CrossRef]
- Li, F.; Ye, J.; Zhou, M.; Gan, S.; Zhang, Q.; Han, D.; Niu, L. All-Solid-State Potassium-Selective Electrode Using Graphene as the Solid Contact. Analyst 2012, 137, 618–623. [Google Scholar] [CrossRef]
- Lenar, N.; Paczosa-Bator, B.; Piech, R.; Królicka, A. Poly(3-Octylthiophene-2,5-Diyl)-Nanosized Ruthenium Dioxide Composite Material as Solid-Contact Layer in Polymer Membrane-Based K+-Selective Electrodes. Electrochim. Acta 2019, 322, 134718. [Google Scholar] [CrossRef]
- Lenar, N.; Paczosa-Bator, B.; Piech, R. Ruthenium Dioxide Nanoparticles as a High-Capacity Transducer in Solid-Contact Polymer Membrane-Based PH-Selective Electrodes. Microchim. Acta 2019, 186, 777. [Google Scholar] [CrossRef]
- Lenar, N.; Paczosa-Bator, B.; Piech, R. Optimization of Ruthenium Dioxide Solid Contact in Ion-Selective Electrodes. Membranes 2020, 10, 182. [Google Scholar] [CrossRef]
- Lenar, N.; Piech, R.; Wyrwa, J.; Paczosa-Bator, B. Potassium-Selective Solid-Contact Electrode with High-Capacitance Hydrous Iridium Dioxide in the Transduction Layer. Membranes 2021, 11, 259. [Google Scholar] [CrossRef]
- Bobacka, J.; McCarrick, M.; Lewenstam, A.; Ivaska, A. All Solid-State Poly(Vinyl Chloride) Membrane Ion-Selective Electrodes with Poly(3-Octylthiophene) Solid Internal Contact. Analyst 1994, 119, 1985. [Google Scholar] [CrossRef]
- Jarvis, J.M.; Guzinski, M.; Pendley, B.D.; Lindner, E. Poly(3-Octylthiophene) as Solid Contact for Ion-Selective Electrodes: Contradictions and Possibilities. J. Solid. State Electrochem. 2016, 20, 3033–3041. [Google Scholar] [CrossRef]
- Aodhmar, C.; Zhiqiang, G.; Andrzej, L.; Ari, I.; Dermot, D. All-Solid-State Sodium-Selective Electrode Based on a Calixarene Ionophore in a Poly(Vinyl Chloride) Membrane with a Polypyrrole Solid Contact. Anal. Chem. 1992, 64, 2496–2501. [Google Scholar] [CrossRef]
- Paczosa-Bator, B.; Pięk, M.; Piech, R. Application of Nanostructured TCNQ to Potentiometric Ion-Selective K + and Na + Electrodes. Anal. Chem. 2015, 87, 1718–1725. [Google Scholar] [CrossRef]
- Pięk, M.; Piech, R.; Paczosa-Bator, B. Improved Nitrate Sensing Using Solid Contact Ion Selective Electrodes Based on TTF and Its Radical Salt. J. Electrochem. Soc. 2015, 162, B257–B263. [Google Scholar] [CrossRef]
- Radić, J.; Perović, D.; Gričar, E.; Kolar, M. Potentiometric Determination of Maprotiline Hydrochloride in Pharmaceutical and Biological Matrices Using a Novel Modified Carbon Paste Electrode. Sensors 2022, 22, 9201. [Google Scholar] [CrossRef]
- Radić, J.; Buljac, M.; Genorio, B.; Gričar, E.; Kolar, M. A Novel Reduced Graphene Oxide Modified Carbon Paste Electrode for Potentiometric Determination of Trihexyphenidyl Hydrochloride in Pharmaceutical and Biological Matrices. Sensors 2021, 21, 2955. [Google Scholar] [CrossRef] [PubMed]
- Elshahed, M.S.; Toubar, S.S.; Ashour, A.A.; El-Eryan, R.T. A Portable Solid-Contact Potentiometric Sensor Based on Zeolite-Carbon Paste for Assay of Prucalopride Succinate in Tablet Dosage Form: Green Profile Assessment. Measurement 2022, 204, 112071. [Google Scholar] [CrossRef]
- Zayed, M.A.; Mahmoud, W.H.; Abbas, A.A.; Ali, A.E.; Mohamed, G.G. A Highly Sensitive, Selective and Renewable Carbon Paste Electrode Based on a Unique Acyclic Diamide Ionophore for the Potentiometric Determination of Lead Ions in Polluted Water Samples. RSC Adv. 2020, 10, 17552–17560. [Google Scholar] [CrossRef]
- Lenar, N.; Paczosa-Bator, B.; Piech, R. Ruthenium Dioxide as High-Capacitance Solid-Contact Layer in K + -Selective Electrodes Based on Polymer Membrane. J. Electrochem. Soc. 2019, 166, B1470–B1476. [Google Scholar] [CrossRef]
- Rouhani, M.; Soleymanpour, A. A New Selective Carbon Paste Electrode for Potentiometric Analysis of Olanzapine. Measurement 2019, 140, 472–478. [Google Scholar] [CrossRef]
- Lenar, N.; Piech, R.; Paczosa-Bator, B. Potentiometric Sensor with High Capacity Composite Composed of Ruthenium Dioxide and Poly(3,4-Ethylenedioxythiophene) Polystyrene Sulfonate. Materials 2021, 14, 1891. [Google Scholar] [CrossRef]
- Niemiec, B.; Piech, R.; Paczosa-Bator, B. Modification of Carbon Nanomaterials by Association with Poly(3-Octylthiophene-2,5-Diyl) as a Method of Improving the Solid-Contact Layer in Ion-Selective Electrodes. Membranes 2022, 12, 1275. [Google Scholar] [CrossRef]
- Hassan, S.S.M.; Eldin, A.G.; Amr, A.E.G.E.; Al-Omar, M.A.; Kamel, A.H.; Khalifa, N.M. Improved Solid-Contact Nitrate Ion Selective Electrodes Based on Multi-Walled Carbon Nanotubes (MWCNTs) as an Ion-to-Electron Transducer. Sensors 2019, 19, 3891. [Google Scholar] [CrossRef]
- Tang, W.; Ping, J.; Fan, K.; Wang, Y.; Luo, X.; Ying, Y.; Wu, J.; Zhou, Q. All-Solid-State Nitrate-Selective Electrode and Its Application in Drinking Water. Electrochim. Acta 2012, 81, 186–190. [Google Scholar] [CrossRef]
- Paczosa-Bator, B. Effects of Type of Nanosized Carbon Black on the Performance of an All-Solid-State Potentiometric Electrode for Nitrate. Microchim. Acta 2014, 181, 1093–1099. [Google Scholar] [CrossRef]
- Fibbioli, M.; Morf, W.E.; Badertscher, M.; de Rooij, N.F.; Pretsch, E. Potential Drifts of Solid-Contacted Ion-Selective Electrodes Due to Zero-Current Ion Fluxes Through the Sensor Membrane. Electroanalysis 2000, 12, 1286–1292. [Google Scholar] [CrossRef]
- Watts, A.; Gavalas, V.; Cammers, A.; Andrada, P.; Alajarin, M.; Bachas, L. Nitrate-Selective Electrode Based on a Cyclic Bis-Thiourea Ionophore. Sens. Actuators B Chem. 2007, 121, 200–207. [Google Scholar] [CrossRef]
- Bobacka, J. Potential Stability of All-Solid-State Ion-Selective Electrodes Using Conducting Polymers as Ion-to-Electron Transducers. Anal. Chem. 1999, 71, 4932–4937. [Google Scholar] [CrossRef]







| Paste | Paste Number | Potential Drift µV/s | Capacitance µF | Resistance kΩ |
|---|---|---|---|---|
| CB | 0 | 407 ± 22 | 2.40 ± 0.15 | 652 ± 7 |
| CB + IrO2·H2O | 1 | 3.8 ± 0.2 | 263 ± 15 | 27.5 ± 0.6 |
| CB + RuO2·2H2O | 2 | 2.3 ± 0.5 | 470 ± 13 | 30.5 ± 0.8 |
| CB + RuO2·2H2O + POT | 2a | 3.8 ± 0.5 | 317 ± 15 | 10 ± 0.8 |
| Electrode | Potential Drift µV/s | Capacitance µF | Resistance kΩ |
|---|---|---|---|
| “0” | 146 ± 2 | 0.83 ± 0.04 | 270.3 ± 0.5 |
| “1” | 117 ± 9 | 86 ± 6 | 348.7 ± 0.4 |
| “2” | 181 ± 15 | 98 ± 5 | 607.1 ± 0.1 |
| “2a” | 116 ± 15 | 130 ± 2 | 237.9 ± 0.2 |
| Electrode | Normal Potential mV | Slope mV/dec | Limit of Detection M | Linear Range M |
|---|---|---|---|---|
| “0” | 287.3 ± 2.1 | −57.4 ± 0.4 | 10−5.27 ± 0.06 | 10−5–10−1 |
| “1” | 260.8 ± 2.1 | −57.2 ± 0.2 | 10−5.32 ± 0.08 | 10−5–10−1 |
| “2” | 278.6 ± 3.2 | −57.2 ± 0.2 | 10−5.22 ± 0.05 | 10−5–10−1 |
| “2a” | 238.7 ± 1.9 | −56.9 ± 0.1 | 10−5.15 ± 0.05 | 10−5–10−1 |
| Electrode | Normal Potential mV | Slope mV/dec | Limit of Detection M | Linear Range M | Capacitance µF | Ref. |
|---|---|---|---|---|---|---|
| GC/MWCNT/NO3−-ISM | - | −55.1 | 2.8 × 10−8 | 10−7.09–10−2 | 49.2 | [29] |
| GC/CRGO/NO3−-ISM | - | −57.9 | 3 × 10−5 | 10−4.3–10−1 | - | [30] |
| GC/CB(Printex XE-2)/NO3−-ISM | 191.1 ± 1.1 | −58.96 | 1.26 × 10−6 | 10−6–10−1 | 289 | [31] |
| GC/CB(Vulcan XC-72)/NO3−-ISM | 189.6 ± 0.2 | −58.6 | 2.51 × 10−7 | 10−6–10−1 | 203 | [31] |
| GC/CB(Printex U)/NO3−-ISM | 190.9 ± 2.0 | −59.42 | 3.16 × 10−7 | 10−6–10−1 | 28 | [31] |
| GC/TTF/NO3−-ISM | 36.7 ± 0.5 | −58.85 | 2.5 × 10−6 | 10−5–10−1 | 5.99 | [20] |
| Electrode | Selectivity Coefficient | |||
|---|---|---|---|---|
| Cl− | CH3COO− | SO42− | HPO42− | |
| “0” | −2.3 | −3.3 | −3.8 | −3.7 |
| “1” | −2.4 | −3.4 | −3.9 | −3.8 |
| “2” | −2.3 | −3.3 | −3.9 | −3.7 |
| “2a” | −2.3 | −3.3 | −3.8 | −3.7 |
| Sample | Nitrate Concentration [g/L] | |
|---|---|---|
| “2” | “2a” | |
| Unfertilized soil | <LoD | <LoD |
| Chemically fertilized soil | 1.40 ± 0.02 | 1.40 ± 0.01 |
| Soil fertilized with chicken manure | 0.142 ± 0.003 | 0.134 ± 0.002 |
Disclaimer/Publisher’s Note: The statements, opinions and data contained in all publications are solely those of the individual author(s) and contributor(s) and not of MDPI and/or the editor(s). MDPI and/or the editor(s) disclaim responsibility for any injury to people or property resulting from any ideas, methods, instructions or products referred to in the content. |
© 2023 by the authors. Licensee MDPI, Basel, Switzerland. This article is an open access article distributed under the terms and conditions of the Creative Commons Attribution (CC BY) license (https://creativecommons.org/licenses/by/4.0/).
Share and Cite
Niemiec, B.; Piech, R.; Paczosa-Bator, B. All-Solid-State Carbon Black Paste Electrodes Modified by Poly(3-octylthiophene-2,5-diyl) and Transition Metal Oxides for Determination of Nitrate Ions. Molecules 2023, 28, 4313. https://doi.org/10.3390/molecules28114313
Niemiec B, Piech R, Paczosa-Bator B. All-Solid-State Carbon Black Paste Electrodes Modified by Poly(3-octylthiophene-2,5-diyl) and Transition Metal Oxides for Determination of Nitrate Ions. Molecules. 2023; 28(11):4313. https://doi.org/10.3390/molecules28114313
Chicago/Turabian StyleNiemiec, Barbara, Robert Piech, and Beata Paczosa-Bator. 2023. "All-Solid-State Carbon Black Paste Electrodes Modified by Poly(3-octylthiophene-2,5-diyl) and Transition Metal Oxides for Determination of Nitrate Ions" Molecules 28, no. 11: 4313. https://doi.org/10.3390/molecules28114313
APA StyleNiemiec, B., Piech, R., & Paczosa-Bator, B. (2023). All-Solid-State Carbon Black Paste Electrodes Modified by Poly(3-octylthiophene-2,5-diyl) and Transition Metal Oxides for Determination of Nitrate Ions. Molecules, 28(11), 4313. https://doi.org/10.3390/molecules28114313

