Next Article in Journal
Chemometric Assisted UV-Spectrophotometric Methods Using Multivariate Curve Resolution Alternating Least Squares and Partial Least Squares Regression for Determination of Beta-Antagonists in Formulated Products: Evaluation of the Ecological Impact
Next Article in Special Issue
Photogrammetry of Ultrafast Excited-State Intramolecular Proton Transfer Pathways in the Fungal Pigment Draconin Red
Previous Article in Journal
The First Snake Venom KTS/Disintegrins-Integrin Interactions Using Bioinformatics Approaches
 
 
Font Type:
Arial Georgia Verdana
Font Size:
Aa Aa Aa
Line Spacing:
Column Width:
Background:
Article

Dynamics of Electron Transfers in Photosensitization Reactions of Zinc Porphyrin Derivatives

Department of Advanced Materials Chemistry, Korea University, Sejong 30019, Republic of Korea
*
Author to whom correspondence should be addressed.
Molecules 2023, 28(1), 327; https://doi.org/10.3390/molecules28010327
Submission received: 7 October 2022 / Revised: 16 December 2022 / Accepted: 27 December 2022 / Published: 31 December 2022
(This article belongs to the Special Issue Dynamics of Chemical and Biological Systems)

Abstract

Photocatalytic systems for CO2 reduction operate via complicated multi-electron transfer (ET) processes. A complete understanding of these ET dynamics can be challenging but is key to improving the efficiency of CO2 conversion. Here, we report the ET dynamics of a series of zinc porphyrin derivatives (ZnPs) in the photosensitization reactions where sequential ET reactions of ZnPs occur with a sacrificial electron donor (SED) and then with TiO2. We employed picosecond time-resolved fluorescence spectroscopy and femtosecond transient absorption (TA) measurement to investigate the fast ET dynamics concealed in the steady-state or slow time-resolved measurements. As a result, Stern-Volmer analysis of fluorescence lifetimes evidenced that the reaction of photoexcited ZnPs with SED involves static and dynamic quenching. The global fits to the TA spectra identified much faster ET dynamics on a few nanosecond-time scales in the reactions of one-electron reduced species (ZnPs•–) with TiO2 compared to previously measured minute-scale quenching dynamics and even diffusion rates. We propose that these dynamics report the ET dynamics of ZnPs•– formed at adjacent TiO2 without involving diffusion. This study highlights the importance of ultrafast time-resolved spectroscopy for elucidating the detailed ET dynamics in photosensitization reactions.

1. Introduction

Various photocatalytic systems, mainly consisting of photosensitizers and catalysts, have recently been developed for CO2 reduction [1,2,3,4]. In these systems, the photosensitizer efficiently absorbs visible light and generates electrons that can transfer to the catalyst as an initial step of the photocatalytic process. The catalyst then converts CO2 into energy-rich compounds, utilizing the transferred electrons. Intra- or intermolecular electron transfer (ET) is a prerequisite process in photocatalytic CO2 reduction, and its dynamics can affect the overall performance of the photocatalytic system. Therefore, it is crucial to elucidate the detailed dynamics and mechanisms of ET in the photocatalytic reactions for developing efficient photocatalytic systems.
However, tracking the overall ET dynamics of photocatalytic systems during the CO2 reduction process is challenging. The complete cycle of CO2 reduction requires sacrificial electron donors (SEDs) and other additives that can aid CO2 binding to the catalyst [5,6,7,8]. Furthermore, advanced photocatalytic systems often use metal-organic frameworks (MOFs) or semiconductors like TiO2 as mediators that can collect and transport multi-electrons to enhance ET efficiency and reduction performance [4,9,10,11]. Hence, the overall reactions of photocatalytic systems commonly involve multiple ET processes whose time scales span a wide range from picoseconds even to minutes, complicating the reaction dynamics and mechanisms. Deciphering the complete ET processes in photocatalytic reactions demands thorough time-resolved studies on a wide time scale under delicately controlled experimental conditions.
In this study, we investigated the ET dynamics in photosensitization reactions of a series of zinc porphyrin derivatives (ZnPs), which have different peripheral substituents shown in Figure 1a, using ultrafast spectroscopies, i.e., picosecond time-resolved fluorescence spectroscopy and femtosecond transient absorption (TA) measurements. Figure 1b shows the overall ET pathways tracked in this study. Our previous studies have shown that the ZnPs can serve as a photosensitizer in the binary hybrid system with a heterogeneous TiO2/Re(I) (Re(I) catalyst anchored to TiO2 particle) for photocatalytic CO2 reduction. However, the collisional ET from ZnPs to TiO2 was measured to be substantially slow (k = ~10−3 s−1) with high activation energy (58 kJ/mol) determined by temperature-dependent and second-to-minute-resolved kinetics of UV/vis spectrum [9]. Herein, equipped with a high time resolution, we revisited the ET reactions of ZnPs with a SED and TiO2 particle to unveil the fast dynamics possibly occurring in the photosensitization reactions. Stern-Volmer analysis of the fluorescence lifetimes yielded quenching rates that report on the ET dynamics between photoexcited ZnPs (ZnPs*) and SED. Additionally, global analysis of TA spectra revealed the dynamics of further ET reaction between one electron reduced species (OERS) of ZnPs (ZnPs•–) and TiO2 particle, enabling us to estimate reaction rates that are significantly faster than those previously measured with low time resolution and even faster than the diffusion rates in solution. This suggests the ET dynamics of ZnPs•– occurring very near the TiO2 surface.

2. Results and Discussion

Figure 2a shows the steady-state UV/vis absorption spectra of ZnPs. They have typical spectral features of metalloporphyrin with an intense Soret (B) band in the range of 400 to 470 nm and a Q-band in a region longer than 580 nm. The steady-state emission spectra appear as a mirror image of the Q-band (inset of Figure 2a). As the substituent changes from silanyethynyl to ethynyl and ethyl, absorption and emission spectra blue-shifts due to weakened electron-donating ability for ZnPZnPAcet and broken π-conjugation for ZnPAcetZnPEt. The fluorescence lifetimes of ZnPAcet and ZnPEt are almost identical, having a time constant of 2.9 and 3.0 ns, respectively (Table 1). However, ZnP has a slightly shorter fluorescence lifetime with a time constant of 2.4 ns (Table 1): its bulky substituent, silanyethynyl, can supply more nonradiative decay channels, presumably via vibrational relaxation, enhancing the fluorescence decay rate. Here, we did not observe any hint of aggregation under the sample concentration (10 μM) in the UV/VIS absorption spectra, and thus, the measured fluorescence lifetimes were not affected by aggregates in ZnPs.
In the photosensitization reactions of ZnPs, the first step is the ET reaction of photoexcited ZnPs with BIH to form an OERS, ZnPs•–. BIH plays a role as a SED in this reaction. Then, an excess electron of ZnPs•– is transferred to TiO2, which serves as an electron reservoir for ET to the Re(I) catalyst in the binary hybrid system, when the OERS encounters TiO2 particles. To understand the overall dynamics of this reductive quenching mechanism, we first measured fluorescence quenching kinetics of ZnPs with BIH, i.e., the dynamics of ZnPs•– formation, as displayed in Figure 2b. The fluorescence lifetimes of ZnPs decrease with the addition of BIH because collisional ET with BIH quenches the fluorescence. The higher concentrations of BIH, the higher collisional frequency, and thus, the shorter lifetimes of ZnPs. The relationship between the fluorescence lifetimes and the concentration of a quencher, [Q], is described by the Stern-Volmer equation: [12]
τ 0 τ = 1 + K SV [ Q ]
where τ0 and τ are the fluorescence lifetimes in the absence and presence of quencher, respectively. KSV is the Stern-Volmer quenching constant and is given by KSV = kqτ0 where kq is the bimolecular quenching constant. According to Equation (1), the linear fits to the Stern-Volmer plot of the fluorescence lifetimes resulted in KSV values, and corresponding kq values were calculated from τ0 (Figure 2c and Table 1). The calculated kq values of ZnP and ZnPAcet are 6 to 8-fold larger than that of ZnPEt, which is consistent with the driving force (ΔG) of ET from BIH to photoexcited ZnPs: based on the oxidation and reduction potentials in the cyclic voltammetry measurements the estimated ΔG is −0.34/−0.36 eV for ZnP/ZnPAcet and −0.10 eV for ZnPEt [9]. Unlike conjugated substituents in ZnP and ZnPAcet, non-conjugated substituent, ethyl, in ZnPEt does not lower the molecular orbital (MO) energy levels, keeping the reduction potential of photoexcited ZnPEt close to the oxidation potential of BIH and yielding less negative ΔG. More negative ΔG generally coincides with a lower reaction barrier and, thus, a faster reaction rate as we observed larger kq values for ZnP and ZnPAcet.
Interestingly, the kq value of ZnP obtained by the fluorescence lifetime measurements in this study is much smaller than the previously acquired value by quenching the fluorescence intensity (kq [109 M−1 s−1] = 1.9 vs. 9.3). Different origins of quenching mechanisms can explain the discrepancy in the quenching rates between two methods. The quenching rate determined by the fluorescence lifetime measurements only reports on the collisional (or dynamic) quenching. In contrast, the method with the fluorescence intensity can include the quenching through the formation of a nonfluorescent ground-state complex between fluorophore and quencher (static quenching) as well [12]. If both dynamic and static quenching happens, the fluorescence intensity measurements will result in larger kq values than those from the fluorescence lifetime measurements even for the same quenching reaction. Therefore, the discrepancy in ZnP’s kq observed by two methods suggests the possibility of complex formation between ZnP and BIH in the ground state. In many cases, transition metals form complexes with imidazole and benzimidazole derivatives in porphyrins and phthalocyanines [13,14,15].
On the other hand, the difference in kq values between the two methods is not significant for ZnPAcet. (kq determined by the fluorescence intensity quenching is 3.0 × 109 M−1 s−1) [9]. The electron-donating from the substituent is less in ZnPAcet than in ZnP, which can reduce the complex formation between ZnPAcet and BIH. For ZnPEt, the fluorescence quenching by BIH was not significant in both intensity and lifetime measurements, and it seems unreliable to compare the values and discuss the complex formation.
To investigate the ET dynamics of the further photosensitization reaction beyond the formation of ZnPs•–, we carried out femtosecond TA measurements initially with ZnPs and then in the presence of BIH or/and TiO2 as depicted in Figure 3 (see also Figure S2 in Supporting Information). In the absence of BIH and TiO2, the TA spectra of ZnPs do not show dramatic changes within the time delays of 7.4 ns (Figure 3a). For ZnPs and ZnPAcet, the ground-state bleach signals of the Soret band near 430~450 nm and the Q-band near 630~640 nm slightly recover, concurring with modest growth of induced absorption signals near 475 nm. The TA spectra of ZnPEt also exhibit similar behaviors except for minor decay of induced absorption signal near 460 nm. In the presence of BIH, the TA spectra of ZnP and ZnPAcet substantially evolve with time (Figure 3b): both the ground-state bleach and induced absorption signals significantly decrease in magnitude with an increase of time delay, reflecting the ET reaction with BIH. (Note that the recovery of the ground-state bleach signal represents a mixed evolution of the ground-state recovery of ZnPs* and the absorption of newly formed ZnPs•–.) However, we could not observe any spectral feature attributable to ZnPs•– presumably due to the overlaps of TA signals and the limited range of our probe wavelength. For the TA spectra of ZnPEt, the presence of BIH does not seem to primarily affect their evolution in line with the minute change of fluorescence lifetimes observed in the quenching measurements. Finally, adding TiO2 into the sample solution in the presence of BIH enhances the decrease of bleach and absorption signals in the TA spectra of ZnP and ZnPAcet, which implies the ET dynamics from ZnPs•– to TiO2 particle. In contrast, the TA spectra of ZnPEt measured with the addition of BIH and TiO2 reveal the same behaviors as those with only BIH added.
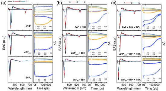
To analyze the evolution of TA spectra in detail, we globally fitted the TA data with the first-order kinetic model. The kinetic model for the best fit to all the TA data required three species, A→B→C→ground state (GS). Figure 4 displays evolution-associated spectra (EAS) obtained from the fits and representative decay profiles. The kinetic parameters associated with each EAS are tabulated in Table 2 as an inverse form of the time constant. Without any additives, the TA spectra of ZnPs can be fitted with the associated time constants (τ) of 0.7~2.2 ps for A→B, 2.3~3.4 ns for B→C, and more than 100 ns for C→GS. The first evolution, A→B, in a few picoseconds is ascribed to the internal conversion (IC) process from the higher singlet excited-state (Sn) to the lowest singlet excited-state (S1) since the pump wavelength was tuned to the B-band excitation at 435 nm in the TA measurements [16,17,18,19]. Then, the B state of EAS, which corresponds to the S1 state, evolves into the C state with τB→C that matches the singlet state lifetime (τ0) measured with the time-resolved fluorescence, enabling us to assign the C state of EAS as the triplet excited state (T1) of ZnPs. The C state lives longer than the upper limit of our apparatus’s time delay (~8 ns) and has a long time constant (~100 ns) from the global fit, confirming its triplet character.
Even with the addition of BIH or/and TiO2, the EAS of A, B, and C states do not essentially change from those observed in ZnPs, still representing the Sn, S1, and T1 states, respectively: their τA→B values of 1.1~2.8 ps are the same as the IC process (Sn→S1) in ZnPs, and τC→GS values of longer than 100 ns are agreeable to the triplet state decay (Figure 4 and Table 2). However, the presence of additives in the ZnPs solution mainly affects the S1 state lifetime, τB→C. Like in the fluorescence quenching experiments where the ET reaction with BIH shortens the S1 state lifetime of ZnPs, τB→C decreases in the TA measurements with the addition of 0.3 M BIH: the fitted values of τB→C are 822 and 737 ps for ZnP and ZnPAcet and 2.0 ns for ZnPEt (Table 2). These τB→C values are comparable to the S1 state lifetimes for ZnPs + 0.3 M BIH (τZnPs+BIH), which are estimated to be 1.0, 0.9, and 2.4 ns for ZnP, ZnPAcet, and ZnPEt, respectively, by
1 τ ZnPs + BIH = 1 τ 0 + 0.3 k q
(where τ0 and kq are from Table 1 and 0.3 is from the concentration of BIH). This demonstrates that the TA experiments reveal the ET dynamics of ZnPs with BIH, which is consistent with the results from the Stern-Volmer analysis.
In ZnP and ZnPAcet, the τB→C value further decreases with the addition of both BIH and TiO2 (Table 2), meaning that the decay of the S1 state is additionally enhanced by the presence of TiO2 in the solution. According to the reductive quenching mechanism, the electron transfer to TiO2 should occur not directly from the photoexcited ZnPs in the S1 state (ZnPs*) but from the OERS (ZnPs•–) that is formed after the ET reaction with BIH. Indeed, the TA experiments with only TiO2 added to the ZnPs solution showed no change in the kinetics of TA spectra compared to the sample solution without additives (Figure S2 and Table S1), confirming that the direct reaction between ZnPs* and TiO2 is unlikely. However, the TA spectra of ZnPs•– can not be resolved in our experiments, and tracking its explicit dynamics is impossible. Instead, the disappearance of ZnPs•– by the ET reaction with TiO2 will be incorporated in the decay of ZnPs* because quenching of ZnPs•– by TiO2 generates the ground state species (ZnPs) that has no TA signal, conceivably contributing to the decay of ZnPs*, i.e., the additional enhancement of decay rate in the B→C evolution. Assuming that quenching by TiO2 is the only factor for the τB→C decrease, we can estimate the quenching rate of ZnPs•– in the ET reaction with TiO2 (kq,OERS) as
k q ,   OERS = 1 τ B C ,   BIH + TiO 2 1 τ B C ,   BIH
where τB→C,BIH and τB→C,BIH+TiO2 are the time constants for the B→C evolution measured in the presence of BIH and BIH + TiO2, respectively (Table 2). The calculated kq,OERS values of ZnP and ZnPAcet are 4.12 × 10 8 and 5.12 × 10 8 s−1, respectively. In ZnPEt, the formation of OERS is so slow that its quenching by TiO2 is not observed within the experimental time window of TA measurements, i.e., no change in τB→C with the addition of TiO2. Compared to the collisional ET rates of ZnP•– with TiO2 previously determined by the UV/vis spectrum change ( 5.12 × 10 3 s−1), [9] the kq,OERS values of ZnP and ZnPAcet differ by many orders of magnitude. Given that the concentration of BIH was lower only by three times in the UV/vis spectrum measurements with the same concentration of TiO2, the fast ET dynamics of the OERS observed in this study should reflect a different mechanism from the high activation energy process formerly revealed with a slow time resolution, suggesting another ET route.
In fact, the ET dynamics of the OERS happening on a few nanosecond time scales are even faster than the diffusion rate in solution. The diffusion rate constant of a dye in most organic solvents is typically on the order of 109~1010 M−1 S−1 at room temperature [20]. Under our experimental condition with 10 μM of ZnPs, the concentration of the OERS formed after the ET between photoexcited ZnPs and BIH will be much less than 10 μM. Then, the diffusion rate constant of the OERS will become far less than 104 s−1 which is significantly slower than the kq,OERS values obtained here. (Note that the particle size of TiO2 used in this study spans from 0.2~3 μm, [21], i.e., the particles are very large, and we can assume that their diffusion is almost negligible compared to ZnPs). In this regard, the kq,OERS values may report the ET dynamics of the OERS formed at the very vicinity of the TiO2 surface. The interfacial electron transfer on the semiconductor surface generally occurs on picoseconds time scale or even faster times [22,23,24,25,26,27,28] KC et al. reported that when the ZnP derivative is covalently attached to the TiO2 surface, the electron injection from ZnP•– to TiO2 occurs within 30 ps [29]. Therefore, a few nanoseconds dynamics observed in this study can correspond to the ET dynamics of intermediate regime where the dye molecules in solution are very near the semiconductor surface without a direct connection like a covalent bond and electronic interaction between the dye and surface is negligible. Still, no diffusion of dye is required for the ET in this regime. This implies that the overall intermolecular ET process in photosensitization reaction can happen on multi-time scales, and thus, the spectroscopies with the time resolution of multi-time scales are required to uncover the complete intermolecular ET dynamics.

3. Materials and Methods

All reagents were purchased from Sigma Aldrich (St. Louis, MO, USA) and used without further purification. TiO2 (Hombikat UV-100) was purchased from Huntsman (The Woodlands, TX, USA). N,N-Dimethylformamide (DMF) was distilled from calcium hydride and stored over molecular sieves. [5,15-bis[(triprop-2-yl silanyl)ethynyl]-10,20-bis[2,6-di(dodecyloxy)phenyl]porphinato]zinc (ZnP), [5,15-diethynyl-10,20-bis[2,6-di(dodecyloxy)phenyl]porphinato]zinc (ZnPAcet), and [5,15-diethyl-10,20-bis[2,6-di(dodecyloxy)phenyl]porphinato]zinc (ZnPEt) samples and 1,3-dimethyl-2-phenyl-1,3-dihydrobenzimidazole (BIH) were synthesized according to the previously reported procedures [9,10].
Steady-state absorption and emission spectra were collected using a Cary 5000 UV-Vis-NIR (Agilent Technologies, Inc., Santa Clara, CA, USA) and Cary Eclipse (Varian, Palo Alto, CA, USA), respectively. For picosecond time-resolved fluorescence spectroscopy, a home-built cavity-dumped Kerr-lens mode-locked Ti:sapphire oscillator was used. The 800 nm output was doubled in frequency using a 100 μm thick BBO (β-barium borate) crystal to generate the excitation pulses at 400 nm. A parabolic mirror was employed to focus the excitation pulse onto the sample and to collect fluorescence with a confocal geometry. The collected light was sent to a monochromator (SP-2155, Teledyne Princeton Instruments, Thousand Oaks, CA, USA) and detected with a single-photon counting module (id 100-50, id Quantique). A commercial TCSPC board (SPC-130-EMN, Becker & Hickl Inc., Berlin, Germany) was used to record time-resolved fluorescence with a time resolution of about 50 ps. All the instruments were controlled in unison by using a home-built LabVIEW software (LabVIEW 2016, 16.0, 32 bit, National Instruments, Austin, TX, USA).
Femtosecond TA measurements were previously described in detail [30]. Briefly, a Ti:sapphire regenerative amplifier system at 1 kHz (Spitfire Ace, Spectra Physics, Inc., Milpitas, CA, USA), which was seeded by a Ti:sapphire oscillator (MaiTai SP, Spectra Physics, Inc., Milpitas, CA, USA) and pumped by a diode-pumped Q-switched laser (Empower, Spectra Physics, Inc., Milpitas, CA, USA), was used for time-resolved measurements. An optical parametric amplifier (TOPAS prime, Spectra Physics, Inc., Milpitas, CA, USA) converted the 800 nm fundamental output into 435 nm for excitation. For TA measurements, a small residual of 800 nm fundamental light was focused on a water-filled cuvette to generate white light probe pulses directed to the computer-controlled translational delay stage. The mechanical chopper alternatively blocked pump pulses at 500 Hz to calculate TA spectra from the probe intensity detected by the CCD detector when the pump is on and off. Both pump and probe pulses were focused on a 1 mm-sandwich sample cell containing a magnetic stirring bar. The TA spectra were recorded by a commercial pump-probe spectrometer (Helios, Ultrafast Systems, LLC, Sarasota, FL, USA). Before kinetic analysis, the TA data were background-subtracted and chirp-corrected by using Surface Xplorer 4 (Ultrafast Systems, LLC, Sarasota, FL, USA). Kinetic data from multiple different wavelengths fit a first-order kinetic model using the global analysis programs written in MATLAB.

4. Conclusions

In conclusion, we investigated the ET dynamics of ZnPs during the photosensitization reaction where ZnPs* react with BIH, forming ZnPs•– that can transfer an excess electron to TiO2. Here, the time-resolved emission and absorption spectroscopies uncovered more detailed dynamics and mechanisms in the ET reactions compared to the previously reported steady-state measurements. The Stern-Volmer analysis of the fluorescence lifetime quenching experiments revealed a large discrepancy in kq of ZnP between the steady-state and time-resolved measurements, suggesting that both static and dynamic quenching processes exist in the reaction of ZnP and BIH. Most of all, the TA measurements unveiled the fast ET dynamics between the OERS and TiO2, which occurs on a time scale of a few nanoseconds. This fast time scale is even faster than the diffusion rate in solution, suggesting that diffusion is not involved in this ET reaction. We propose that the ET from the OERS formed at the very vicinity of the TiO2 surface is responsible for the fast time scale ET dynamics.
Designing more efficient photosensitizers for photocatalytic CO2 reduction requires a thorough understanding of the ET mechanisms in the photosensitization reaction. This study demonstrates that the ET dynamics of photosensitizers can span multi-time scales and highlights the importance of time-resolved spectroscopies with multi-scale time resolution for elucidating the reaction mechanisms of photosensitization.

Supplementary Materials

The following supporting information can be downloaded at: https://www.mdpi.com/article/10.3390/molecules28010327/s1, Figure S1: complete set of fluorescence decay profiles; Figure S2: TA data for ZnPs + TiO2; Table S1: Kinetic parameters from the global fits of ZnPs + TiO2; Figure S3: Model populations obtained from the global fits.

Author Contributions

Conceptualization, J.Y.S.; methodology, S.K., T.K. and J.Y.S.; formal analysis, S.K., T.K. and J.Y.S.; investigation, S.K., T.K. and S.C.; writing—original draft preparation, S.K. and J.Y.S.; writing—review and editing, S.K., T.K., S.C., H.-J.S., S.O.K. and J.Y.S.; supervision, J.Y.S. All authors have read and agreed to the published version of the manuscript.

Funding

This research was supported by a Korea University Grant and Basic Science Research Program through the National Research Foundation of Korea (NRF) funded by the Ministry of Education (Grant No. 2014R1A6A1030732 and 2020R1I1A3075441).

Institutional Review Board Statement

Not applicable.

Informed Consent Statement

Not applicable.

Data Availability Statement

Not applicable.

Acknowledgments

We thank Hyun Seok Lee and Chul Hoon Kim for their help with TCSPC measurements. We also thank Minseok Kim, Seongjun Lee, and HeonJoo Jeon for assisting the spectroscopic measurements through the challenge-project, undergraduate program at Korea University.

Conflicts of Interest

The authors declare no conflict of interest.

Sample Availability

Samples of the compounds are not available from the authors.

References

  1. Windle, C.D.; Perutz, R.N. Advances in molecular photocatalytic and electrocatalytic CO2 reduction. Coord. Chem. Rev. 2012, 256, 2562–2570. [Google Scholar] [CrossRef]
  2. Berardi, S.; Drouet, S.; Francàs, L.; Gimbert-Suriñach, C.; Guttentag, M.; Richmond, C.; Stoll, T.; Llobet, A. Molecular artificial photosynthesis. Chem. Soc. Rev. 2014, 43, 7501–7519. [Google Scholar] [CrossRef] [PubMed]
  3. Yamazaki, Y.; Takeda, H.; Ishitani, O. Photocatalytic reduction of CO2 using metal complexes. J. Photochem. Photobiol. C 2015, 25, 106–137. [Google Scholar] [CrossRef]
  4. Son, H.-J.; Pac, C.; Kang, S.O. Inorganometallic Photocatalyst for CO2 Reduction. Acc. Chem. Res. 2021, 54, 4530–4544. [Google Scholar] [CrossRef] [PubMed]
  5. Morimoto, T.; Nakajima, T.; Sawa, S.; Nakanishi, R.; Imori, D.; Ishitani, O. CO2 Capture by a Rhenium(I) Complex with the Aid of Triethanolamine. J. Am. Chem. Soc. 2013, 135, 16825–16828. [Google Scholar] [CrossRef]
  6. Costentin, C.; Drouet, S.; Passard, G.; Robert, M.; Savéant, J.-M. Proton-Coupled Electron Transfer Cleavage of Heavy-Atom Bonds in Electrocatalytic Processes. Cleavage of a C–O Bond in the Catalyzed Electrochemical Reduction of CO2. J. Am. Chem. Soc. 2013, 135, 9023–9031. [Google Scholar] [CrossRef]
  7. Smieja, J.M.; Benson, E.E.; Kumar, B.; Grice, K.A.; Seu, C.S.; Miller, A.J.M.; Mayer, J.M.; Kubiak, C.P. Kinetic and structural studies, origins of selectivity, and interfacial charge transfer in the artificial photosynthesis of CO. Proc. Natl. Acad. Sci. USA 2012, 109, 15646–15650. [Google Scholar] [CrossRef]
  8. Keith, J.A.; Grice, K.A.; Kubiak, C.P.; Carter, E.A. Elucidation of the Selectivity of Proton-Dependent Electrocatalytic CO2 Reduction by fac-Re(bpy)(CO)3Cl. J. Am. Chem. Soc. 2013, 135, 15823–15829. [Google Scholar] [CrossRef]
  9. Choi, S.; Choe, M.S.; Lee, D.; Kim, S.-Y.; Shin, J.Y.; Kim, C.H.; Son, H.-J.; Pac, C.; Kang, S.O. Electron Injection Process of Porphyrin Dye into a Heterogeneous TiO2/Re(I) Photocatalyst. J. Phys. Chem. C 2021, 125, 7625–7636. [Google Scholar] [CrossRef]
  10. Choi, S.; Kim, C.H.; Baeg, J.-O.; Son, H.-J.; Pac, C.; Kang, S.O. Collisional Electron Transfer Route between Homogeneous Porphyrin Dye and Catalytic TiO2/Re(I) Particles for CO2 Reduction. ACS Appl. Energy Mater. 2020, 3, 11581–11596. [Google Scholar] [CrossRef]
  11. Choi, S.; Jung, W.-J.; Park, K.; Kim, S.-Y.; Baeg, J.-O.; Kim, C.H.; Son, H.-J.; Pac, C.; Kang, S.O. Rapid Exciton Migration and Amplified Funneling Effects of Multi-Porphyrin Arrays in a Re(I)/Porphyrinic MOF Hybrid for Photocatalytic CO2 Reduction. ACS Appl. Mater. Interfaces 2021, 13, 2710–2722. [Google Scholar] [CrossRef]
  12. Lakowicz, J.R. (Ed.) Mechanisms and Dynamics of Fluorescence Quenching. In Principles of Fluorescence Spectroscopy; Springer: Berlin/Heidelberg, Germany, 2006; pp. 331–351. [Google Scholar]
  13. Przybył, B.; Janczak, J. Complexes of zinc phthalocyanine with monoaxially coordinated imidazole-derivative ligands. Dyes Pigm. 2016, 130, 54–62. [Google Scholar] [CrossRef]
  14. Zaitseva, S.V.; Zdanovich, S.A.; Semeikin, A.S.; Koifman, O.I. Synthesis and coordination properties of the zinc complex of dimeric porphyrin in reactions with imidazole, 2-methylimidazole, and the pyridine in benzene. Russ. J. Gen. Chem. 2008, 78, 493–502. [Google Scholar] [CrossRef]
  15. Raducka, A.; Świątkowski, M.; Korona-Głowniak, I.; Kaproń, B.; Plech, T.; Szczesio, M.; Gobis, K.; Szynkowska-Jóźwik, M.I.; Czylkowska, A. Zinc Coordination Compounds with Benzimidazole Derivatives: Synthesis, Structure, Antimicrobial Activity and Potential Anticancer Application. Int. J. Mol. Sci. 2022, 23, 6595. [Google Scholar] [CrossRef] [PubMed]
  16. Chosrowjan, H.; Tanigichi, S.; Okada, T.; Takagi, S.; Arai, T.; Tokumam, K. Electron transfer quenching of S2 state fluorescence of Zn-tetraphenylporphyrin. Chem. Phys. Lett. 1995, 242, 644–649. [Google Scholar] [CrossRef]
  17. Gurzadyan, G.G.; Tran-Thi, T.-H.; Gustavsson, T. Time-resolved fluorescence spectroscopy of high-lying electronic states of Zn-tetraphenylporphyrin. J. Chem. Phys. 1998, 108, 385–388. [Google Scholar] [CrossRef]
  18. Kim, Y.H.; Jeong, D.H.; Kim, D.; Jeoung, S.C.; Cho, H.S.; Kim, S.K.; Aratani, N.; Osuka, A. Photophysical Properties of Long Rodlike Meso−Meso-Linked Zinc(II) Porphyrins Investigated by Time-Resolved Laser Spectroscopic Methods. J. Am. Chem. Soc. 2001, 123, 76–86. [Google Scholar] [CrossRef]
  19. Mataga, N.; Shibata, Y.; Chosrowjan, H.; Yoshida, N.; Osuka, A. Internal Conversion and Vibronic Relaxation from Higher Excited Electronic State of Porphyrins:  Femtosecond Fluorescence Dynamics Studies. J. Phys. Chem. B 2000, 104, 4001–4004. [Google Scholar] [CrossRef]
  20. Reichardt, C. Solvents and Solvents Effects in Organic Chemistry; 2, revices and enlarged edition; VCH: Vancouver, BC, Canada, 1988. [Google Scholar]
  21. Won, D.-I.; Lee, J.-S.; Cheong, H.-Y.; Cho, M.; Jung, W.-J.; Son, H.-J.; Pac, C.; Kang, S.O. Organic–inorganic hybrid photocatalyst for carbon dioxide reduction. Faraday Discuss. 2017, 198, 337–351. [Google Scholar] [CrossRef]
  22. Nieto-Pescador, J.; Abraham, B.; Gundlach, L. Photoinduced Ultrafast Heterogeneous Electron Transfer at Molecule-Semiconductor Interfaces. J. Phys. Chem. Lett. 2014, 5, 3498–3507. [Google Scholar] [CrossRef]
  23. Duncan, W.R.; Prezhdo, O.V. Theoretical studies of photoinduced electron transfer in dye-sensitized TiO2. Annu. Rev. Phys. Chem. 2007, 58, 143–184. [Google Scholar] [CrossRef] [PubMed]
  24. Giannouli, M.; Fakis, M. Interfacial electron transfer dynamics and photovoltaic performance of TiO2 and ZnO solar cells sensitized with Coumarin 343. J. Photochem. Photobiol. A 2011, 226, 42–50. [Google Scholar] [CrossRef]
  25. Ziółek, M.; Martín, C.; Cohen, B.; Garcia, H.; Douhal, A. Virtues and Vices of an Organic Dye and Ti-Doped MCM-41 Based Dye-Sensitized Solar Cells. J. Phys. Chem. C 2011, 115, 23642–23650. [Google Scholar] [CrossRef]
  26. Ziółek, M.; Martín, C.; Sun, L.; Douhal, A. Effect of Electrolyte Composition on Electron Injection and Dye Regeneration Dynamics in Complete Organic Dye Sensitized Solar Cells Probed by Time-Resolved Laser Spectroscopy. J. Phys. Chem. C 2012, 116, 26227–26238. [Google Scholar] [CrossRef]
  27. Zhang, J.; Yao, Z.; Cai, Y.; Yang, L.; Xu, M.; Li, R.; Zhang, M.; Dong, X.; Wang, P. Conjugated linker correlated energetics and kinetics in dithienopyrrole dye-sensitized solar cells. Energy Environ. Sci. 2013, 6, 1604–1614. [Google Scholar] [CrossRef]
  28. Fakis, M.; Hrobárik, P.; Yushchenko, O.; Sigmundová, I.; Koch, M.; Rosspeintner, A.; Stathatos, E.; Vauthey, E. Excited State and Injection Dynamics of Triphenylamine Sensitizers Containing a Benzothiazole Electron-Accepting Group on TiO2 and Al2O3 Thin Films. J. Phys. Chem. C 2014, 118, 28509–28519. [Google Scholar] [CrossRef]
  29. KC, C.B.; Stranius, K.; D’Souza, P.; Subbaiyan, N.K.; Lemmetyinen, H.; Tkachenko, N.V.; D’Souza, F. Sequential photoinduced energy and electron transfer directed improved performance of the supramolecular solar cell of a zinc porphyrin-zinc phthalocyanine conjugate modified TiO2 surface. J. Phys. Chem. C 2013, 117, 763–773. [Google Scholar] [CrossRef]
  30. Kim, S.-Y.; Cho, Y.-J.; Lee, A.-R.; Son, H.-J.; Han, W.-S.; Cho, D.W.; Kang, S.O. Influence of π-conjugation structural changes on intramolecular charge transfer and photoinduced electron transfer in donor–π–acceptor dyads. Phys. Chem. Chem. Phys. 2017, 19, 426–435. [Google Scholar] [CrossRef]
Figure 1. (a) Molecular structures of ZnPs and (b) electron pathways investigated in this study.
Figure 1. (a) Molecular structures of ZnPs and (b) electron pathways investigated in this study.
Molecules 28 00327 g001
Figure 2. (a) Steady-state absorption and emission (inset) spectra of ZnPs in DMF, (b) representative fluorescence decay profiles of ZnPs with the addition of BIH (λex = 400 nm; λdet = 645, 635, and 620 nm for ZnP, ZnPAcet, ZnPEt, respectively; solid lines are the single exponential fit; see the complete set of decay profiles in Figure S1 of the Supporting Information), and (c) Stern-Volmer plot (solid lines are the linear fit).
Figure 2. (a) Steady-state absorption and emission (inset) spectra of ZnPs in DMF, (b) representative fluorescence decay profiles of ZnPs with the addition of BIH (λex = 400 nm; λdet = 645, 635, and 620 nm for ZnP, ZnPAcet, ZnPEt, respectively; solid lines are the single exponential fit; see the complete set of decay profiles in Figure S1 of the Supporting Information), and (c) Stern-Volmer plot (solid lines are the linear fit).
Molecules 28 00327 g002
Figure 3. TA spectra at selected time delays of (a) ZnPs, (b) ZnPs + BIH, and (c) ZnPs + BIH + TiO2 in DMF. The amount of each component in the 4 mL solution was 10 μM ZnPs, 0.3 M BIH, and 1 mg TiO2. The data near 435 nm were omitted in (b,c) due to the scattered pump light.
Figure 3. TA spectra at selected time delays of (a) ZnPs, (b) ZnPs + BIH, and (c) ZnPs + BIH + TiO2 in DMF. The amount of each component in the 4 mL solution was 10 μM ZnPs, 0.3 M BIH, and 1 mg TiO2. The data near 435 nm were omitted in (b,c) due to the scattered pump light.
Molecules 28 00327 g003
Figure 4. EAS (left) and representative decay profiles (right) of (a) ZnPs, (b) ZnPs + BIH, and (c) ZnPs + BIH + TiO2 in DMF obtained from the global fits to the TA data. The first-order kinetic model (A→B→C→ground state (GS)) was used in the fit. The EAS data near 435 nm were omitted in (b,c) due to the scattered pump light. The solid lines in the decay profiles are the fits.
Figure 4. EAS (left) and representative decay profiles (right) of (a) ZnPs, (b) ZnPs + BIH, and (c) ZnPs + BIH + TiO2 in DMF obtained from the global fits to the TA data. The first-order kinetic model (A→B→C→ground state (GS)) was used in the fit. The EAS data near 435 nm were omitted in (b,c) due to the scattered pump light. The solid lines in the decay profiles are the fits.
Molecules 28 00327 g004
Table 1. Quenching Kinetic Parameters of ZnPs by BIH.
Table 1. Quenching Kinetic Parameters of ZnPs by BIH.
τ0 (ns) 1KSV (M−1) 2kq (109 M−1 s−1) 3
ZnP2.44.441.9
ZnPAcet2.96.872.4
ZnPEt3.00.990.3
1 Fluorescence lifetimes measured in the absence of BIH (λex = 400 nm; λdet = 645, 635, and 620 nm for ZnP, ZnPAcet, ZnPEt, respectively). 2 Stern-Volmer quenching constant. 3 bimolecular quenching constant.
Table 2. Kinetic Parameters from the Global Fits of the TA Spectra of ZnPs.
Table 2. Kinetic Parameters from the Global Fits of the TA Spectra of ZnPs.
AdditiveskA→BkB→CkC→GS
ZnP (2.2 ± 0.1 ps)−1(2.3 ± 0.1 ns)−1<<(100 ns)−1
+BIH(2.2 ± 0.2 ps)−1(822 ± 21 ps)−1
+BIH + TiO2(2.8 ± 0.3 ps)−1(614 ± 15 ps)−1
ZnPAcet (0.7 ± 0.1 ps)−1(3.4 ± 0.2 ns)−1
+BIH(1.1 ± 0.1 ps)−1(737 ± 8 ps)−1
+BIH + TiO2(2.0 ± 0.1 ps)−1(535 ± 5 ps)−1
ZnPEt (1.6 ± 0.1 ps)−1(2.9 ± 0.3 ns)−1
+BIH(1.1 ± 0.1 ps)−1(2.0 ± 0.1 ns)−1
+BIH + TiO2(1.2 ± 0.1 ps)−1(2.0 ± 0.1 ns)−1
Disclaimer/Publisher’s Note: The statements, opinions and data contained in all publications are solely those of the individual author(s) and contributor(s) and not of MDPI and/or the editor(s). MDPI and/or the editor(s) disclaim responsibility for any injury to people or property resulting from any ideas, methods, instructions or products referred to in the content.

Share and Cite

MDPI and ACS Style

Kim, S.; Kim, T.; Choi, S.; Son, H.-J.; Kang, S.O.; Shin, J.Y. Dynamics of Electron Transfers in Photosensitization Reactions of Zinc Porphyrin Derivatives. Molecules 2023, 28, 327. https://doi.org/10.3390/molecules28010327

AMA Style

Kim S, Kim T, Choi S, Son H-J, Kang SO, Shin JY. Dynamics of Electron Transfers in Photosensitization Reactions of Zinc Porphyrin Derivatives. Molecules. 2023; 28(1):327. https://doi.org/10.3390/molecules28010327

Chicago/Turabian Style

Kim, Soohwan, Taesoo Kim, Sunghan Choi, Ho-Jin Son, Sang Ook Kang, and Jae Yoon Shin. 2023. "Dynamics of Electron Transfers in Photosensitization Reactions of Zinc Porphyrin Derivatives" Molecules 28, no. 1: 327. https://doi.org/10.3390/molecules28010327

APA Style

Kim, S., Kim, T., Choi, S., Son, H.-J., Kang, S. O., & Shin, J. Y. (2023). Dynamics of Electron Transfers in Photosensitization Reactions of Zinc Porphyrin Derivatives. Molecules, 28(1), 327. https://doi.org/10.3390/molecules28010327

Article Metrics

Back to TopTop