Characterization of β-Glucan-Peanut Protein Isolate/Soy Protein Isolate Conjugates and Their Application on Low-Fat Sausage
Abstract
:1. Introduction
2. Results and Discussion
2.1. Functional Properties
2.1.1. Emulsifying Properties
2.1.2. Contact Angle and Particle Size Distribution
2.1.3. Thermal Properties
2.1.4. Rheological Properties
- (1)
- Viscosity
- (2)
- Frequency sweep test.
2.2. Structure
2.2.1. Fourier Transform Infrared Spectroscopy (FT-IR)
2.2.2. Circular Dichroism (CD)
2.2.3. Scanning Electron Microscope (SEM)
2.2.4. Cryo-SEM and AFM
2.3. Application
2.3.1. Cooking Yield of Sausage
2.3.2. Water Loss of Sausages
2.3.3. Color of Sausages
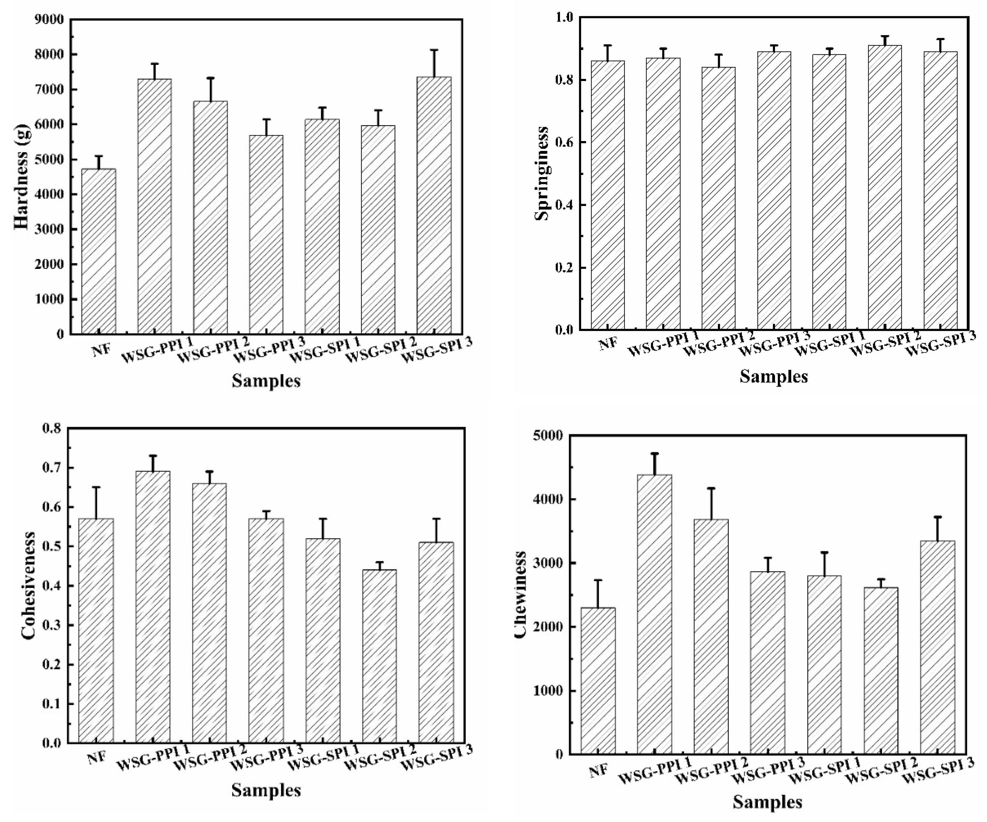
2.3.4. Texture Profile Analysis (TPA)
3. Materials and Methods
3.1. Materials
3.2. Extraction of PPI from Peanut Protein Powder
3.3. Extraction of Arachin and Conarachin from PPI
3.4. Extraction of 7S Globulin from Soy Protein Isolate (SPI)
3.5. Preparation of WSG from S. cerecisiae β-Glucan
3.6. Preparation of WSG-PPI/SPI/Arachin/Conarachin/7S Globulin Conjugates
3.7. Functional Properties
3.7.1. Emulsifying Properties
3.7.2. Wettability Measurement
3.7.3. Thermogravimetric Assay
3.7.4. Rheological Properties
3.7.5. Particle Size
3.8. Structural Characterization
3.8.1. FT-IR
3.8.2. CD
3.8.3. SEM
3.8.4. Cryo-Scanning Electron Microscope (Cryo-SEM)
3.8.5. AFM
3.9. Application of Soluble β-Glucan-PPI Conjugation
3.9.1. Preparation of Low-Fat Sausage
3.9.2. Cooking Yield of Sausage
3.9.3. Color Measurement
3.9.4. Texture
3.10. Statistical Analysis
4. Conclusions
Author Contributions
Funding
Institutional Review Board Statement
Informed Consent Statement
Data Availability Statement
Acknowledgments
Conflicts of Interest
Sample Availability
References
- Klis, F.M.; Mol, P.; Hellingwerf, K.; Brul, S. Dynamics of cell wall structure in Saccharomyces cerevisiae. FEMS Microbiol. Rev. 2002, 26, 239–256. [Google Scholar] [CrossRef] [PubMed]
- Aimanianda, V.; Bayry, J.; Bozza, S.; Kniemeyer, O.; Perruccio, K.; Elluru, S.R.; Clavaud, C.; Paris, S.; Brakhage, A.A.; Kaveri, S.V.; et al. Surface hydrophobin prevents immune recognition of airborne fungal spores. Nature 2009, 460, 1117–1121. [Google Scholar] [CrossRef] [PubMed]
- Fang, X.-H.; Zou, M.-Y.; Chen, F.-Q.; Ni, H.; Nie, S.-P.; Yin, J.-Y. An overview on interactions between natural product-derived β-glucan and small-molecule compounds. Carbohydr. Polym. 2021, 261, 117850. [Google Scholar] [CrossRef] [PubMed]
- Qi, C.; Cai, Y.; Gunn, L.; Ding, C.; Li, B.; Kloecker, G.; Qian, K.; Vasilakos, J.; Saijo, S.; Iwakura, Y.; et al. Differential pathways regulating innate and adaptive antitumor immune responses by particulate and soluble yeast-derived β-glucans. Immunobiology 2011, 117, 6825–6836. [Google Scholar] [CrossRef]
- Mo, L.; Chen, Y.; Li, W.; Guo, S.; Wang, X.; An, H.; Zhan, Y. Anti-tumor effects of (1→3)-β-d-glucan from Saccharomyces cerevisiae in S180 tumor-bearing mice. Int. J. Biol. Macromol. 2017, 95, 385–392. [Google Scholar] [CrossRef]
- Salvador, C.; Li, B.; Hansen, R.; Cramer, D.E.; Kong, M.; Yan, J. Yeast-Derived β-Glucan Augments the Therapeutic Efficacy Mediated by Anti–Vascular Endothelial Growth Factor Monoclonal Antibody in Human Carcinoma Xenograft Models. Clin. Cancer Res. 2008, 14, 1239–1247. [Google Scholar] [CrossRef] [Green Version]
- Andrade, E.F.; Lobato, R.V.; Araújo, T.V.; Zangerônimo, M.G.; Sousa, R.V.; Pereira, L.J. Effect of beta-glucans in the control of blood glucose levels of diabetic patients: A systematic review. Nutrcion Hosp. 2014, 31, 170–177. [Google Scholar] [CrossRef]
- Wang, N.; Liu, H.; Liu, G.; Li, M.; He, X.; Yin, C.; Tu, Q.; Shen, X.; Bai, W.; Wang, Q.; et al. Yeast β-D-glucan exerts antitumour activity in liver cancer through impairing autophagy and lysosomal function, promoting reactive oxygen species production and apoptosis. Redox Biol. 2020, 32, 101495. [Google Scholar] [CrossRef]
- Mei, X.; Tang, Q.; Huang, G.; Long, R.; Huang, H. Preparation, structural analysis and antioxidant activities of phosphorylated (1 → 3)-β-d-glucan. Food Chem. 2020, 309, 125791. [Google Scholar] [CrossRef]
- Dietrich-Muszalska, A.; Olas, B.; Kontek, B.; Rabe-Jabłońska, J. Beta-glucan from Saccharomyces cerevisiae reduces plasma lipid peroxidation induced by haloperidol. Int. J. Biol. Macromol. 2011, 49, 113–116. [Google Scholar] [CrossRef]
- Cao, Y.; Sun, Y.; Zou, S.; Li, M.; Xu, X. Orally administered baker’s yeast β-glucan promotes glucose and lipid homeostasis in the livers of obesity and diabetes model mice. J. Agric. Food Chem. 2017, 65, 9665–9674. [Google Scholar] [CrossRef] [PubMed]
- Zhang, M.; Jin, X.; Yang, Y.-F. β-Glucan from Saccharomyces cerevisiae induces SBD-1 production in ovine ruminal epithelial cells via the Dectin-1–Syk–NF-κB signaling pathway. Cell. Signal. 2018, 53, 304–315. [Google Scholar] [CrossRef] [PubMed]
- Bose, N.; Chan, A.S.H.; Guerrero, F.; Maristany, C.M.; Qiu, X.; Walsh, R.M.; Ertelt, K.E.; Jonas, A.B.; Gorden, K.B.; Dudney, C.M.; et al. Effects of β-glucan derivatives on the immunity ofwhite shrimp Litopenaeus vannamei and its resistance against white spot syndrome virus infection. Aquaculture 2014, 426–427, 66–73. [Google Scholar] [CrossRef] [Green Version]
- Liu, H.; Li, Y.; Gao, J.; Shi, A.; Liu, L.; Hu, H.; Putri, N.; Yu, H.; Fan, W.; Wang, Q. Effects of microfluidization with ionic liquids on the solubilization and structure of β-d-glucan. Int. J. Biol. Macromol. 2016, 84, 394–401. [Google Scholar] [CrossRef]
- Tang, Q.; Huang, G.; Zhao, F.; Zhou, L.; Huang, S.; Li, H. The antioxidant activities of six (1 → 3)-β- d -glucan derivatives prepared from yeast cell wall. Int. J. Biol. Macromol. 2017, 98, 216–221. [Google Scholar] [CrossRef]
- Zhang, H.; Zhang, J.; Fan, Z.; Zhou, X.; Geng, L.; Wang, Z.; Regenstein, J.M.; Xia, Z. Chemical Synthesis of Sulfated Yeast (Saccharomyces cerevisiae) Glucans and Their In Vivo Antioxidant Activity. Molecules 2017, 22, 1266. [Google Scholar] [CrossRef] [Green Version]
- Long, N.T.; Anh, N.T.N.; Giang, B.L.; Son, H.N.; Luan, L.Q. Radiation Degradation of β-Glucan with a Potential for Reduction of Lipids and Glucose in the Blood of Mice. Carbohydr. Polym. 2019, 11, 955. [Google Scholar] [CrossRef] [Green Version]
- Shi, F.; Shi, J.; Li, Y. Mechanochemical phosphorylation and solubilisation of β-D-Glucan from yeast Saccharomyces cerevisiae and its biological activities. PLoS ONE 2014, 9, e103494. [Google Scholar] [CrossRef]
- Liu, Y.; Wu, Q.; Wu, X.; Algharib, S.A.; Gong, F.; Hu, J.; Luo, W.; Zhou, M.; Pan, Y.; Yan, Y.; et al. Structure, preparation, modification, and bioactivities of beta-glucan and mannan from yeast cell wall: A review. Int. J. Biol. Macromol. 2021, 173, 445–456. [Google Scholar] [CrossRef]
- Cui, Q.; Zhang, A.; Li, R.; Wang, X.; Sun, L.; Jiang, L. Ultrasonic treatment affects emulsifying properties and molecular flexi-bility of soybean protein isolate-glucose conjugates. Food Biosci. 2020, 38, 100747. [Google Scholar] [CrossRef]
- Osano, J.P.; Hosseini-Parvar, S.H.; Matia-Merino, L.; Golding, M. Emulsifying properties of a novel polysaccharide extracted from basil seed (Ocimum bacilicum L.): Effect of polysaccharide and protein content. Food Hydrocoll. 2014, 37, 40–48. [Google Scholar] [CrossRef]
- Sheng, L.; Tang, G.; Wang, Q.; Zou, J.; Ma, M.; Huang, X. Molecular characteristics and foaming properties of ovalbu-min-pullulan conjugates through the Maillard reaction. Food Hydrocoll. 2019, 100, 105384. [Google Scholar] [CrossRef]
- Wang, L.; Wu, M.; Liu, H.-M. Emulsifying and physicochemical properties of soy hull hemicelluloses-soy protein isolate con-jugates. Carbohydr. Polym. 2017, 163, 181–190. [Google Scholar] [CrossRef]
- Li, Z.; Zheng, Y.; Sun, Q.; Wang, J.; Zheng, B.; Guo, Z. Structural characteristics and emulsifying properties of myofibrillar protein-dextran conjugates induced by ultrasound Maillard reaction. Ultrason. Sonochemistry 2021, 72, 105458. [Google Scholar] [CrossRef] [PubMed]
- Chen, W.; Lv, R.; Wang, W.; Ma, X.; Muhammad, A.I.; Guo, M.; Ye, X.; Liu, D. Time effect on structural and functional prop-erties of whey protein isolate-gum acacia conjugates prepared via Maillard reaction. J. Sci. Food Agric. 2019, 99, 4801–4807. [Google Scholar] [CrossRef]
- Sun, T.; Qin, Y.; Xie, J.; Xu, H.; Gan, J.; Wu, J.; Bian, X.; Li, X.; Xiong, Z.; Xue, B. Effect of Maillard reaction on rheological, physicochemical and functional properties of oat β-glucan. Food Hydrocoll. 2018, 89, 90–94. [Google Scholar] [CrossRef]
- Dos Santos, M.; Munekata, P.E.; Pateiro, M.; Magalhães, G.C.; Barretto, A.C.S.; Lorenzo, J.M.; Pollonio, M.A.R. Pork skin-based emulsion gels as animal fat replacers in hot-dog style sausages. LWT 2020, 132, 109845. [Google Scholar] [CrossRef]
- Li, X.-L.; Meng, R.; Xu, B.-C.; Zhang, B.; Cui, B.; Wu, Z.-Z. Function emulsion gels prepared with carrageenan and ze-in/carboxymethyl dextrin stabilized emulsion as a new fat replacer in sausages. Food Chem. 2022, 389, 133005. [Google Scholar] [CrossRef]
- Choe, J.; Kim, H.-Y. Quality characteristics of reduced fat emulsion-type chicken sausages using chicken skin and wheat fiber mixture as fat replacer. Poult. Sci. 2019, 98, 2662–2669. [Google Scholar] [CrossRef]
- Henning, S.S.; Tshalibe, P.; Hoffman, L. Physico-chemical properties of reduced-fat beef species sausage with pork back fat replaced by pineapple dietary fibres and water. LWT 2016, 74, 92–98. [Google Scholar] [CrossRef]
- Broucke, K.; Van Poucke, C.; Duquenne, B.; De Witte, B.; Baune, M.-C.; Lammers, V.; Terjung, N.; Ebert, S.; Gibis, M.; Weiss, J.; et al. Ability of (extruded) pea protein products to partially replace pork meat in emulsified cooked sausages. Innov. Food Sci. Emerg. Technol. 2022, 78, 102992. [Google Scholar] [CrossRef]
- Zhang, B.; Guo, X.; Zhu, K.; Peng, W.; Zhou, H. Improvement of emulsifying properties of oat protein isolate–dextran conju-gates by glycation. Carbohydr. Polym. 2015, 127, 168–175. [Google Scholar] [CrossRef] [PubMed]
- Guo, X.; Xiong, Y.L. Characteristics and functional properties of buckwheat protein–sugar Schiff base complexes. LWT Food Sci. Technol. 2013, 51, 397–404. [Google Scholar] [CrossRef]
- Qu, W.; Zhang, X.; Chen, W.; Wang, Z.; He, R.; Ma, H. Effects of ultrasonic and graft treatments on grafting degree, structure, functionality, and digestibility of rapeseed protein isolate-dextran conjugates. Ultrason. Sonochemistry 2018, 42, 250–259. [Google Scholar] [CrossRef]
- Saatchi, A.; Kiani, H.; Labbafi, M. A new functional protein polysaccharide conjugate based on protein concentrate from sesame processing by-products: Functional and physico-chemical properties. Int. J. Biol. Macromol. 2019, 122, 659–666. [Google Scholar] [CrossRef]
- Lin, J.; Guo, X.; Ai, C.; Zhang, T.; Yu, S. Genipin crosslinked sugar beet pectin-whey protein isolate/bovine serum albumin conjugates with enhanced emulsifying properties. Food Hydrocoll. 2020, 105, 105802. [Google Scholar] [CrossRef]
- Shao, P.; Zhang, H.; Niu, B.; Jin, W. Physical stabilities of taro starch nanoparticles stabilized Pickering emulsions and the potential application of encapsulated tea polyphenols. Int. J. Biol. Macromol. 2018, 118 Pt B, 2032–2039. [Google Scholar] [CrossRef]
- Chen, X.; Qi, Y.; Zhu, C.; Wang, Q. Effect of ultrasound on the properties and antioxidant activity of hawthorn pectin. Int. J. Biol. Macromol. 2019, 131, 273–281. [Google Scholar] [CrossRef]
- Patel, M.K.; Tanna, B.; Gupta, H.; Mishra, A.; Jha, B. Physicochemical, scavenging and anti-proliferative analyses of polysac-charides extracted from psyllium (Plantago ovata Forssk) husk and seeds. Int. J. Biol. Macromol. 2019, 133, 190–201. [Google Scholar] [CrossRef]
- Xu, W.; Zhao, X.-H. Structure and property changes of the maltose-glycated caseinate prepared through the Maillard reaction in an ionic liquid medium. LWT 2018, 99, 483–489. [Google Scholar] [CrossRef]
- Su, J.-F.; Huang, Z.; Yuan, X.-Y.; Wang, X.-Y.; Li, M. Structure and properties of carboxymethyl cellulose/soy protein isolate blend edible films crosslinked by Maillard reactions. Carbohydr. Polym. 2010, 79, 145–153. [Google Scholar] [CrossRef]
- Numata, M.; Matsumoto, T.; Umeda, M.; Koumoto, K.; Sakurai, K.; Shinkai, S. Polysaccharide–polynucleotide complexes (15): Thermal stability of schizophyllan (SPG)/poly(C) triple strands is controllable by α-amino acid modification. Bioorganic Chem. 2003, 31, 163–171. [Google Scholar] [CrossRef]
- Sun, T.; Xu, H.; Zhang, H.; Ding, H.H.; Cui, S.; Xie, J.; Xue, B.; Hua, X. Maillard reaction of oat β-glucan and the rheological property of its amino acid/peptide conjugates. Food Hydrocoll. 2018, 76, 30–34. [Google Scholar] [CrossRef]
- Inglett, G.E.; Chen, D.; Liu, S.X. Functional Properties of Teff and Oat Composites. Food Nutr. Sci. 2015, 6, 1591–1602. [Google Scholar] [CrossRef] [Green Version]
- Kim, W.-W.; Yoo, B. Rheological behaviour of acorn starch dispersions: Effects of concentration and temperature. Int. J. Food Sci. Technol. 2009, 44, 503–509. [Google Scholar] [CrossRef]
- Wang, W.-Q.; Bao, Y.-H.; Chen, Y. Characteristics and antioxidant activity of water-soluble Maillard reaction products from interactions in a whey protein isolate and sugars system. Food Chem. 2013, 139, 355–361. [Google Scholar] [CrossRef]
- Kanmani, P.; Kumar, R.S.; Yuvaraj, N.; Paari, K.; Pattukumar, V.; Arul, V. Production and purification of a novel exopoly-saccharide from lactic acid bacterium Streptococcus phocae PI80 and its functional characteristics activity in vitro. Bioresour. Technol. 2011, 102, 4827–4833. [Google Scholar] [CrossRef]
- Tang, J.; Nie, J.; Li, D.; Zhu, W.; Zhang, S.; Ma, F.; Sun, Q.; Song, J.; Zheng, Y.; Chen, P. Characterization and antioxidant activities of degraded polysaccharides from Poria cocos sclerotium. Carbohydr. Polym. 2014, 105, 121–126. [Google Scholar] [CrossRef]
- Xu, C.; Lv, J.; Lo, Y.M.; Cui, S.W.; Hu, X.; Fan, M. Effects of oat β-glucan on endurance exercise and its anti-fatigue properties in trained rats. Carbohydr. Polym. 2013, 92, 1159–1165. [Google Scholar] [CrossRef]
- Chen, H.-M.; Fu, X.; Luo, Z.-G. Effect of molecular structure on emulsifying properties of sugar beet pulp pectin. Food Hydrocoll. 2015, 54, 99–106. [Google Scholar] [CrossRef]
- Wang, H.; Chen, J.; Ren, P.; Zhang, Y.; Onyango, S.O. Ultrasound irradiation alters the spatial structure and improves the antioxidant activity of the yellow tea polysaccharide. Ultrason. Sonochemistry 2020, 70, 105355. [Google Scholar] [CrossRef] [PubMed]
- Jones, C.; An, S.J.; Yoon, Y.K.; Kothari, S.; Sahastrabuddhe, S.; Carbis, R. Spectroscopic characterisation of a series of Salmonella Typhi Vi-diphtheria toxoid glycoconjugate antigens differing in polysaccharide-protein ratio. J. Pharm. Biomed. Anal. 2020, 181, 113100. [Google Scholar] [CrossRef] [PubMed]
- Kato, A. Industrial Applications of Maillard-Type Protein-Polysaccharide Conjugates. Food Sci. Technol. Res. 2002, 8, 193–199. [Google Scholar] [CrossRef] [Green Version]
- Yu, J.-J.; Chen, G.-Y.; Zhang, Y.-F.; Zheng, X.-C.; Jiang, P.-Y.; Ji, H.; Li, S.-H.; Chen, Y. Enhanced hydration properties and antioxidant activity of peanut protein by covalently binding with sesbania gum via cold plasma treatment. Innov. Food Sci. Emerg. Technol. 2021, 68, 102632. [Google Scholar] [CrossRef]
- Yu, J.-J.; Ji, H.; Chen, Y.; Zhang, Y.-F.; Zheng, X.-C.; Li, S.-H. Analysis of the glycosylation products of peanut protein and lactose by cold plasma treatment: Solubility and structural characteristics. Int. J. Biol. Macromol. 2020, 158, 1194–1203. [Google Scholar] [CrossRef] [PubMed]
- Boostani, S.; Aminlari, M.; Moosavi-Nasab, M.; Niakosari, M.; Mesbahi, G. Fabrication and characterisation of soy protein isolate-grafted dextran biopolymer: A novel ingredient in spray-dried soy beverage formulation. Int. J. Biol. Macromol. 2017, 102, 297–307. [Google Scholar] [CrossRef] [PubMed]
- Echlin, P. Low Temperature Microscopy and Analysis; Plenum Press: New York, NY, USA, 1992. [Google Scholar]
- Morris, V.J.; Kirby, A.R.; Gunning, A.P. Atomic Force Microscopy for Biologists; World Scientific: Singapore, 2009. [Google Scholar]
- Choe, J.-H.; Kim, H.-Y.; Lee, J.-M.; Kim, Y.-J.; Kim, C.-J. Quality of frankfurter-type sausages with added pig skin and wheat fiber mixture as fat replacers. Meat Sci. 2013, 93, 849–854. [Google Scholar] [CrossRef]
- Yang, H.-S.; Choi, S.-G.; Jeon, J.-T.; Park, G.-B.; Joo, S.-T. Textural and sensory properties of low fat pork sausages with added hydrated oatmeal and tofu as texture-modifying agents. Meat Sci. 2007, 75, 283–289. [Google Scholar] [CrossRef]
- García-García, E.; Totosaus, A. Low-fat sodium-reduced sausages: Effect of the interaction between locust bean gum, potato starch and κ-carrageenan by a mixture design approach. Meat Sci. 2008, 78, 406–413. [Google Scholar] [CrossRef]
- Do Amaral, D.S.; Cardelle-Cobas, A.; do Nascimento, B.M.; Monteiro, M.J.; Madruga, M.S.; Pintado, M.M.E. Development of a low fat fresh pork sausage based on chitosan with health claims: Impact on the quality, functionality and shelf-life. Food Funct. 2015, 6, 2768–2778. [Google Scholar] [CrossRef]
- Gibis, M.; Schuh, V.; Allard, K.; Weiss, J. Influence of molecular weight and degree of substitution of various carboxymethyl celluloses on unheated and heated emulsion-type sausage models. Carbohydr. Polym. 2016, 159, 76–85. [Google Scholar] [CrossRef] [PubMed]
- Pietrasik, Z.; Janz, J. Utilization of pea flour, starch-rich and fiber-rich fractions in low fat bologna. Food Res. Int. 2010, 43, 602–608. [Google Scholar] [CrossRef]
- Chen, H.; Huang, Y. Rheological properties of HPMC enhanced surimi analyzed by small- and large-strain tests—II: Effect of water content and ingredients. Food Hydrocoll. 2008, 22, 313–322. [Google Scholar] [CrossRef]
- Zhuang, X.; Jiang, X.; Zhou, H.; Chen, Y.; Zhao, Y.; Yang, H.; Zhou, G. Insight into the mechanism of physicochemical influence by three polysaccharides on myofibrillar protein gelation. Carbohydr. Polym. 2020, 229, 115449. [Google Scholar] [CrossRef]
- Lorenzo, J.M.; Franco, D. Fat effect on physico-chemical, microbial and textural changes through the manufactured of dry-cured foal sausage Lipolysis, proteolysis and sensory properties. Meat Sci. 2012, 92, 704–714. [Google Scholar] [CrossRef]
- Gómez, M.; Lorenzo, J.M. Effect of fat level on physicochemical, volatile compounds and sensory characteristics of dry-ripened “chorizo” from Celta pig breed. Meat Sci. 2013, 95, 658–666. [Google Scholar] [CrossRef]
- Câmara, A.K.F.I.; Okuro, P.K.; da Cunha, R.L.; Herrero, A.M.; Ruiz-Capillas, C.; Pollonio, M.A.R. Chia (Salvia hispanica L.) mucilage as a new fat substitute in emulsified meat products: Technological, physicochemical, and rheological characterization. LWT Food Sci. Technol. 2020, 125, 109193. [Google Scholar] [CrossRef]
- Colmenero, F.J. Relevant factors in strategies for fat reduction in meat products. Trends Food Sci. Technol. 2000, 11, 56–66. [Google Scholar] [CrossRef]
- Han, M.; Bertram, H.C. Designing healthier comminuted meat products: Effect of dietary fibers on water distribution and texture of a fat-reduced meat model system. Meat Sci. 2017, 133, 159–165. [Google Scholar] [CrossRef]
- Pintado, T.; Herrero, A.; Jimenez-Colmenero, F.; Ruiz-Capillas, C. Strategies for incorporation of chia (Salvia hispanica L.) in frankfurters as a health-promoting ingredient. Meat Sci. 2016, 114, 75–84. [Google Scholar] [CrossRef]
- Abbasi, E.; Sarteshnizi, R.A.; Gavlighi, H.A.; Nikoo, M.; Azizi, M.H.; Sadeghinejad, N. Effect of partial replacement of fat with added water and tragacanth gum (Astragalus gossypinus and Astragalus compactus) on the physicochemical, texture, oxida-tive stability, and sensory property of reduced fat emulsion type sausage. Meat Sci. 2018, 147, 135–143. [Google Scholar] [CrossRef] [PubMed]
- Jiao, B.; Shi, A.; Wang, Q.; Binks, B.P. High-Internal-Phase Pickering Emulsions Stabilized Solely by Peanut-Protein-Isolate Microgel Particles with Multiple Potential Applications. Angew. Chem. Int. Ed. 2018, 57, 9274–9278. [Google Scholar] [CrossRef] [PubMed]
- Feng, X.-L.; Liu, H.-Z.; Shi, A.-M.; Liu, L.; Wang, Q.; Adhikari, B. Effects of transglutaminase catalyzed crosslinking on phys-icochemical characteristics of arachin and conarachin-rich peanut protein fractions. Food Res. Int. 2014, 62, 84–90. [Google Scholar] [CrossRef]
- Nagano, T.; Hirotsuka, M.; Mori, H.; Kohyama, K.; Nishinari, K. Dynamic viscoelastic study on the gelation of 7 S globulin from soybeans. J. Agric. Food Chem. 1992, 40, 941–944. [Google Scholar] [CrossRef]
- Wang, Y.; Yu, J.; Xu, N.; Wang, G.; Wang, X. Influence of Protein Hydrolysis on the Freeze-thaw Stability of Emulsions Prepared with Soy Protein-Dextran Conjugates. J. Oleo Sci. 2019, 68, 959–965. [Google Scholar] [CrossRef] [Green Version]
- Chen, W.; Ma, X.; Wang, W.; Lv, R.; Guo, M.; Ding, T.; Ye, X.; Miao, S.; Liu, D. Preparation of modified whey protein isolate with gum acacia by ultrasound maillard reaction. Food Hydrocoll. 2019, 95, 298–307. [Google Scholar] [CrossRef] [Green Version]
- Yang, T.; Zheng, J.; Zheng, B.; Liu, F.; Wang, S.; Tang, C.-H. High internal phase emulsions stabilized by starch nanocrystals. Food Hydrocoll. 2018, 82, 230–238. [Google Scholar] [CrossRef]
- Wang, S.; Zhao, L.; Li, Q.; Liu, C.; Han, J.; Zhu, L.; Zhu, D.; He, Y.; Liu, H. Rheological properties and chain conformation of soy hull water-soluble polysaccharide fractions obtained by gradient alcohol precipitation. Food Hydrocoll. 2019, 91, 34–39. [Google Scholar] [CrossRef]
- Pires, M.; Munekata, P.E.S.; Baldin, J.C.; Rocha, Y.J.P.; Carvalho, L.T.; dos Santos, I.R.; Barros, J.C.; Trindade, M. The effect of sodium reduction on the microstructure, texture and sensory acceptance of Bologna sausage. Food Struct. 2017, 14, 1–7. [Google Scholar] [CrossRef]








| Treatment | Lean Pork (%) | Fat (%) | Water/Ice (%) | Salt (%) | WSG-PPI/WSG-SPI (%) |
|---|---|---|---|---|---|
| Normal | 66.4 | 16.6 | 15 | 2 | 0 |
| WSG-PPI 1 | 66.4 | 13.28 | 15 | 2 | 3.32 |
| WSG-PPI 2 | 66.4 | 9.96 | 15 | 2 | 6.64 |
| WSG-PPI 3 | 66.4 | 6.64 | 15 | 2 | 9.96 |
| WSG-SPI 1 | 66.4 | 13.28 | 15 | 2 | 3.32 |
| WSG-SPI 2 | 66.4 | 9.96 | 15 | 2 | 6.64 |
| WSG-SPI 3 | 66.4 | 6.64 | 15 | 2 | 9.96 |
Publisher’s Note: MDPI stays neutral with regard to jurisdictional claims in published maps and institutional affiliations. |
© 2022 by the authors. Licensee MDPI, Basel, Switzerland. This article is an open access article distributed under the terms and conditions of the Creative Commons Attribution (CC BY) license (https://creativecommons.org/licenses/by/4.0/).
Share and Cite
Zhang, M.; Liu, H.; Wang, Q. Characterization of β-Glucan-Peanut Protein Isolate/Soy Protein Isolate Conjugates and Their Application on Low-Fat Sausage. Molecules 2022, 27, 3037. https://doi.org/10.3390/molecules27093037
Zhang M, Liu H, Wang Q. Characterization of β-Glucan-Peanut Protein Isolate/Soy Protein Isolate Conjugates and Their Application on Low-Fat Sausage. Molecules. 2022; 27(9):3037. https://doi.org/10.3390/molecules27093037
Chicago/Turabian StyleZhang, Manli, Hongzhi Liu, and Qiang Wang. 2022. "Characterization of β-Glucan-Peanut Protein Isolate/Soy Protein Isolate Conjugates and Their Application on Low-Fat Sausage" Molecules 27, no. 9: 3037. https://doi.org/10.3390/molecules27093037
APA StyleZhang, M., Liu, H., & Wang, Q. (2022). Characterization of β-Glucan-Peanut Protein Isolate/Soy Protein Isolate Conjugates and Their Application on Low-Fat Sausage. Molecules, 27(9), 3037. https://doi.org/10.3390/molecules27093037
