Dihydroisatropolone C from Streptomyces and Its Implication in Tropolone-Ring Construction for Isatropolone Biosynthesis
Abstract
1. Introduction
2. Results and Discussion
2.1. Discovery of 7,12-Dihydroisatropolone C (H2ITC) from Streptomyces sp. CPCC 204095
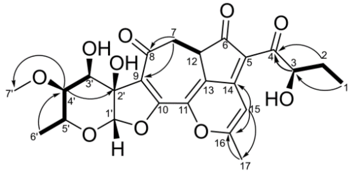
2.2. Structural Elucidation of 7,12-Dihydroisatropolone C (H2ITC)
2.3. Keto-Enol Tautomerization of 7,12-Dihydroisatropolone C (H2ITC, 1ab)
2.4. Spontaneous Oxidation of 7,12-Dihydroisatropolone C (H2ITC, 1ab) to Isatropolone C (ITC)
2.5. Dihydrotropolone-Ring Construction in Isatropolone Biosynthesis Implicated by H2ITC
3. Materials and Methods
3.1. General Experimental Procedures
3.2. Fermentation of Streptomyces sp. CPCC 204095
3.3. Extraction and Isolation of Compound 1ab
3.4. Quantitative Assay of H2ITC (1ab) and Isatropolone C (ITC)
3.5. Spontaneous Oxidation of H2ITC (1ab) to Isatropolone C
Supplementary Materials
Author Contributions
Funding
Institutional Review Board Statement
Informed Consent Statement
Data Availability Statement
Acknowledgments
Conflicts of Interest
References
- Cai, X.; Shi, Y.M.; Pohlmann, N.; Revermann, O.; Bahner, I.; Pidot, S.J.; Wesche, F.; Lackner, H.; Buchel, C.; Kaiser, M.; et al. Structure and Biosynthesis of Isatropolones, Bioactive Amine-Scavenging Fluorescent Natural Products from Streptomyces Gö66. Angew. Chem. Int. Ed. Engl. 2017, 56, 4945–4949. [Google Scholar] [CrossRef] [PubMed]
- Guo, H.; Benndorf, R.; Konig, S.; Leichnitz, D.; Weigel, C.; Peschel, G.; Berthel, P.; Kaiser, M.; Steinbeck, C.; Werz, O.; et al. Expanding the Rubterolone Family: Intrinsic Reactivity and Directed Diversification of PKS-derived Pyrans. Chem. Eur. J. 2018, 24, 11319–11324. [Google Scholar] [CrossRef] [PubMed]
- Moureu, S.; Caradec, T.; Trivelli, X.; Drobecq, H.; Beury, D.; Bouquet, P.; Caboche, S.; Desmecht, E.; Maurier, F.; Muharram, G.; et al. Rubrolone production by Dactylosporangium vinaceum: Biosynthesis, modulation and possible biological function. Appl. Microbiol. Biotechnol. 2021, 105, 5541–5551. [Google Scholar] [CrossRef] [PubMed]
- Palleroni, N.J.; Reichelt, K.E.; Mueller, D.; Epps, R.; Tabenkin, B.; Bull, D.N.; Schüep, W.; Berger, J. Production of a novel red pigment, rubrolone, by Streptomyces echinoruber sp. nov. I. Taxonomy, fermentation and partial purification. J. Antibiot. 1978, 31, 1218–1225. [Google Scholar] [CrossRef] [PubMed]
- Yan, Y.; Ma, Y.T.; Yang, J.; Horsman, G.P.; Luo, D.; Ji, X.; Huang, S.X. Tropolone Ring Construction in the Biosynthesis of Rubrolone B, a Cationic Tropolone Alkaloid from Endophytic Streptomyces. Org. Lett. 2016, 18, 1254–1257. [Google Scholar] [CrossRef] [PubMed]
- Guo, H.; Benndorf, R.; Leichnitz, D.; Klassen, J.L.; Vollmers, J.; Gorls, H.; Steinacker, M.; Weigel, C.; Dahse, H.M.; Kaster, A.K.; et al. Isolation, Biosynthesis and Chemical Modifications of Rubterolones A-F: Rare Tropolone Alkaloids from Actinomadura sp. 5-2. Chem. Eur. J. 2017, 23, 9338–9345. [Google Scholar] [CrossRef] [PubMed]
- Wang, J.; Hu, X.; Sun, G.; Li, L.; Jiang, B.; Li, S.; Bai, L.; Liu, H.; Yu, L.; Wu, L. Genome-Guided Discovery of Pretilactam from Actinosynnema pretiosum ATCC 31565. Molecules 2019, 24, 2281. [Google Scholar] [CrossRef] [PubMed]
- Hu, X.; Hu, X.; Hu, X.; Li, S.; Li, L.; Yu, L.; Liu, H.; You, X.; Wang, Z.; Li, L.; et al. Cytotoxic and Antibacterial Cervinomycins B1-4 from a Streptomyces Species. J. Nat. Prod. 2019, 82, 2337–2342. [Google Scholar] [CrossRef] [PubMed]
- Hu, X.; Wang, Y.; Zhao, C.; Li, S.; Hu, X.; You, X.; Shen, J.; Wang, Z.; Hong, B.; Jiang, B.; et al. Mintaimycins, a Group of Novel Peptide Metabolites from Micromonospora sp. C-3509. Molecules 2022, 27, 1150. [Google Scholar] [CrossRef] [PubMed]
- Li, L.; Li, S.; Jiang, B.; Zhang, M.; Zhang, J.; Yang, B.; Li, L.; Yu, L.; Liu, H.; You, X.; et al. Isarubrolones Containing a Pyridooxazinium Unit from Streptomyces as Autophagy Activators. J. Nat. Prod. 2019, 82, 1149–1154. [Google Scholar] [CrossRef] [PubMed]
- Lu, T.; Chen, F. Multiwfn: A multifunctional wavefunction analyzer. J. Comput. Chem. 2012, 33, 580–592. [Google Scholar] [CrossRef] [PubMed]
- Guo, W.; Siegel, D.; Ross, D. Stability of the Hsp90 inhibitor 17AAG hydroquinone and prevention of metal-catalyzed oxidation. J. Pharm. Sci. 2008, 97, 5147–5157. [Google Scholar] [CrossRef] [PubMed][Green Version]
- Ratnayake, R.; Lacey, E.; Tennant, S.; Gill, J.H.; Capon, R.J. Kibdelones: Novel anticancer polyketides from a rare Australian actinomycete. Chem. Eur. J. 2007, 13, 1610–1619. [Google Scholar] [CrossRef] [PubMed]
- Yan, Y.; Yang, J.; Yu, Z.; Yu, M.; Ma, Y.T.; Wang, L.; Su, C.; Luo, J.; Horsman, G.P.; Huang, S.X. Non-enzymatic pyridine ring formation in the biosynthesis of the rubrolone tropolone alkaloids. Nat. Commun. 2016, 7, 13083. [Google Scholar] [CrossRef] [PubMed]
- Yan, Y.; Yu, Z.; Zhong, W.; Hou, X.; Tao, Q.; Cao, M.; Wang, L.; Cai, X.; Rao, Y.; Huang, S.X. Characterization of Multifunctional and Non-stereoselective Oxidoreductase RubE7/IstO, Expanding the Functional Diversity of the Flavoenzyme Superfamily. Angew. Chem. Int. Ed. Engl. 2022, 61, e202200189. [Google Scholar] [CrossRef] [PubMed]
- Liu, X.; Li, S.; Li, L.; Liu, J.; Jiang, B.; Wu, L.Z. Solid state fermentation of Streptomyces sp. CPCC 204095 and preparation of isatropolone C. Chin. Med. Biotechnol. 2021, 16, 302–306. (In Chinese) [Google Scholar]




| 7,12-Dihydroisatropolone C (1ab) | Isatropolone C | ||||
|---|---|---|---|---|---|
| Position | δC, Type | δH, Mult, (J in Hz) | HMBC | δC, Type | δH, Mult, (J in Hz) |
| 1 | 10.20, 10.11, CH3 | 0.92, t (7.3) | C-2, C-3 | 10.11, CH3 | 0.95, t |
| 2 | 28.30, 28.01, CH2 | 1.35, overlap | C-3, C-4 | 28.18, CH2 | 1.39, m |
| 3 | 76.43, 76.34, CH | 4.78, m; 4.70, m * (3.5, 7.5) | C-1, C-4 | 76.62, CH | 4.84, m * |
| 3-OH | |||||
| 4 | 199.06, 198.99, C | 199.77, C | |||
| 6 | 188.12, 187.41, C | 190.21, C | |||
| 7 | 42.44, 42.33, CH2 | 2.91, d; 2.74, d (15.1) | C-8, C-9, C-12 | 134.35, CH2 | 7.12, s |
| 8 | 184.18, 182.76, C | 185.09, C | |||
| 9 | 131.68, 131.43, C | 132.02, C | |||
| 10 | 158.96, 156.82, C | 159.47, C | |||
| 11 | 142.08, 141.98, C | 144.83, C | |||
| 12 | 40.48, 40.37, CH | 3.65, dd; 3.56, dd (3.0, 15.1) | C-7 | 135.54, CH | |
| 13 | 122.58, 119.85, C | 120.98, C | |||
| 14 | 162.97, 162.89, C | 162.58, C | |||
| 15 | 106.95, 106.90, C | 7.70, s; 7.68, s | C-14, C-16, C-17 | 107.57, C | 7.77, s |
| 16 | 168.41, 168.39, C | 170.24, C | |||
| 17 | 20.77, 20.74, CH3 | 2.58, s | C-15, C-16 | 21.17, CH3 | 2.64, s |
| 1′ | 110.14, 110.08, CH | 5.69, s; 5.63, s | C-3′, C-5′ | 109.89, CH | 5.78, s |
| 2′ | 81.54, 81.37, C | 82.04, C | |||
| 2′-OH | |||||
| 3′ | 69.20, 68.91, CH | 4.81, d; 4.62, d * | 68.79, CH | 5.00, brs * | |
| 3′-OH | |||||
| 4′ | 80.75, 80.39, CH | 3.33, m; 3.32, m | C-3′, C-5′, C-7′ | 79.96, CH | 3.34, brs |
| 5′ | 67.93, 66.65, CH | 4.24, m; 4.08, m | 65.98, CH | 4.15, m | |
| 6′ | 18.31, 18.26, CH3 | 1.29, d; 1.28, d (6.4) | C-4′, C-5′, | 18.75, CH3 | 1.31, d |
| 7′ | 57.47, 57.33, CH3 | 3.37, s | C-4′ | 57.90, CH3 | 3.34, s |
Publisher’s Note: MDPI stays neutral with regard to jurisdictional claims in published maps and institutional affiliations. |
© 2022 by the authors. Licensee MDPI, Basel, Switzerland. This article is an open access article distributed under the terms and conditions of the Creative Commons Attribution (CC BY) license (https://creativecommons.org/licenses/by/4.0/).
Share and Cite
Liu, J.; Liu, X.; Fu, J.; Jiang, B.; Li, S.; Wu, L. Dihydroisatropolone C from Streptomyces and Its Implication in Tropolone-Ring Construction for Isatropolone Biosynthesis. Molecules 2022, 27, 2882. https://doi.org/10.3390/molecules27092882
Liu J, Liu X, Fu J, Jiang B, Li S, Wu L. Dihydroisatropolone C from Streptomyces and Its Implication in Tropolone-Ring Construction for Isatropolone Biosynthesis. Molecules. 2022; 27(9):2882. https://doi.org/10.3390/molecules27092882
Chicago/Turabian StyleLiu, Jiachang, Xiaoyan Liu, Jie Fu, Bingya Jiang, Shufen Li, and Linzhuan Wu. 2022. "Dihydroisatropolone C from Streptomyces and Its Implication in Tropolone-Ring Construction for Isatropolone Biosynthesis" Molecules 27, no. 9: 2882. https://doi.org/10.3390/molecules27092882
APA StyleLiu, J., Liu, X., Fu, J., Jiang, B., Li, S., & Wu, L. (2022). Dihydroisatropolone C from Streptomyces and Its Implication in Tropolone-Ring Construction for Isatropolone Biosynthesis. Molecules, 27(9), 2882. https://doi.org/10.3390/molecules27092882
