Turn on Fluorescence Sensing of Zn2+ Based on Fused Isoindole-Imidazole Scaffold
Abstract
:1. Introduction
2. Results
2.1. Synthesis and Characterization
2.2. Photophysical Studies of IIED towards Zn2+
2.3. Theoretical Calculations
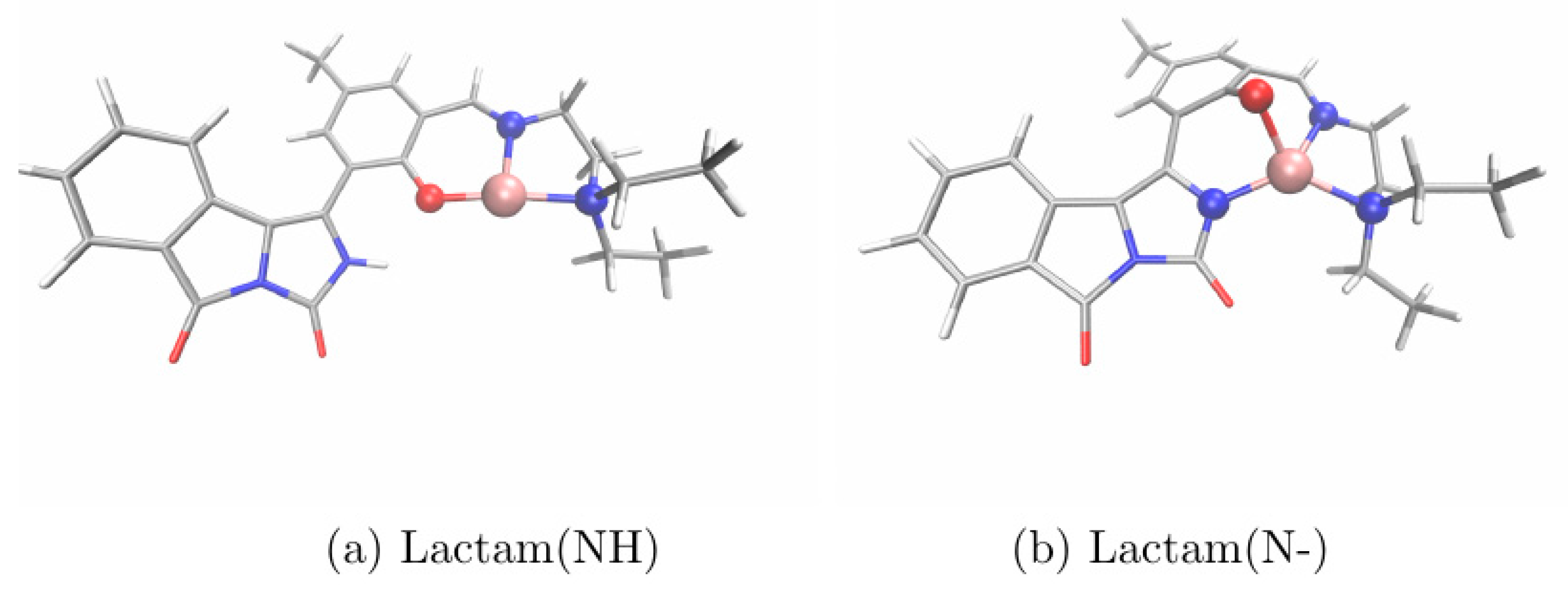
2.4. Sensing Mechanism
2.5. Reversibility and Application in Gel Phase
3. Materials and Methods
3.1. Materials and Instruments
3.2. Computational Details
3.3. Synthesis of the Ligand
3.4. Sample Preparation for Spectroscopic Studies
4. Conclusions
Supplementary Materials
Author Contributions
Funding
Institutional Review Board Statement
Informed Consent Statement
Data Availability Statement
Acknowledgments
Conflicts of Interest
Sample Availability
References
- Jung, J.H.; Lee, J.H.; Shinkai, S. Functionalized magnetic nanoparticles as chemosensors and adsorbents for toxic metal ions in environmental and biological fields. Chem. Soc. Rev. 2011, 40, 4464–4474. [Google Scholar] [CrossRef] [PubMed]
- Kan, C.; Wu, L.; Shao, X.; Wang, X.; Zhang, Y.; Zhu, J.; Qiu, S. A new reversible fluorescent chemosensor based on rhodamine for rapid detection of Al(III) in natural environmental water samples and living organisms. Tetrahedron Lett. 2020, 61, 152407. [Google Scholar] [CrossRef]
- Roy, A.; Dey, S.; Roy, P. A ratiometricchemosensor for Al3+ based on naphthalene–quinoline conjugate with the resultant complex as secondary sensor for F−: Interpretation of molecular logic gates. Sens. Actuators B Chem. 2016, 237, 628–642. [Google Scholar] [CrossRef]
- Li, C.; Qin, J.; Wang, B.; Bai, X.; Yang, Z. Fluorescence chemosensor properties of two coumarin–based compounds for environmentally and biologically important Al3+ ion. J. Photochem. Photobiol. A 2017, 332, 141–149. [Google Scholar] [CrossRef]
- Sharma, H.; Kaur, N.; Singh, A.; Kuwar, A.; Singh, N. Optical chemosensors for water sample analysis. J. Mater. Chem. C 2016, 4, 5154–5194. [Google Scholar] [CrossRef]
- Lee, S.A.; Lee, J.J.; Shin, J.W.; Min, K.S.; Kim, C. A colorimetric chemosensor for the sequential detection of copper(II) and cysteine. Dyes Pigm. 2015, 116, 131–138. [Google Scholar] [CrossRef]
- Kang, J.H.; Lee, S.Y.; Ahn, H.M.; Kim, C. A novel colorimetric chemosensor for the sequential detection of Ni2+ and CN− in aqueous solution. Sens. Actuators B Chem. 2017, 242, 25–34. [Google Scholar] [CrossRef]
- Cao, D.; Liu, Z.; Verwilst, P.; Koo, S.; Jangjili, P.; Kim, J.S.; Lin, W. Coumarin-based small-molecule fluorescent chemosensors. Chem. Rev. 2019, 18, 10403–10519. [Google Scholar] [CrossRef]
- Roy, P. Recent advances in the development of fluorescent chemosensors for Al3+. Dalton Trans. 2021, 50, 7156–7165. [Google Scholar] [CrossRef]
- Roy, P. Fluorescent chemosensors based on 4-methyl-2,6-diformylphenol. Coord. Chem. Rev. 2021, 427, 213562. [Google Scholar] [CrossRef]
- Kim, M.J.; Kaur, K.; Singh, N.; Jang, D.O. Benzimidazole-based receptor for Zn2+ recognition in a biological system: A chemosensor operated by retarding the excited state proton transfer. Tetrahedron 2012, 68, 5429–5433. [Google Scholar] [CrossRef]
- Jiang, P.; Guo, Z. Fluorescent detection of zinc in biological systems: Recent development on the design of chemosensors and biosensors. Coord. Chem. Rev. 2004, 248, 205–229. [Google Scholar] [CrossRef]
- Cassandri, M.; Smirnov, A.; Novelli, F.; Pitolli, C.; Agostini, M.; Malewicz, M.; Melino, G.; Raschellà, G. Zinc-finger proteins in health and disease. Cell Death Discov. 2017, 3, 17071. [Google Scholar] [CrossRef] [PubMed] [Green Version]
- Patil, M.; Bothra, S.; Sahoo, S.K.; Rather, H.A.; Vasita, R.; Bendre, R.; Kuwar, A. Highly selective nicotinohydrazide based ‘turn-on’ chemosensor for the detection of bioactive zinc(II): Its biocompitability and bioimaging application in cancer cells. Sens. Actuators B Chem. 2018, 270, 200–206. [Google Scholar] [CrossRef]
- Ma, L.; Liu, G.; Pu, S.; Zheng, C.; Fan, C. Solvent-dependent selective fluorescence sensor for Zn2+ and Al3+ based on a new diarylethene with a salicylal schiff base group. Tetrahedron 2017, 73, 1691–1697. [Google Scholar] [CrossRef]
- Andreini, C.; Bertini, I. A bioinformatics view of zinc enzymes. J. Inorg. Biochem. 2012, 111, 150–156. [Google Scholar] [CrossRef]
- Kimura, E.; Aoki, S.; Kikuta, E.; Koike, T. A macrocyclic zinc(II) fluorophore as a detector of apoptosis. Proc. Natl. Acad. Sci. USA 2003, 100, 3731–3736. [Google Scholar] [CrossRef] [Green Version]
- Weiss, J.H.; Sensi, S.L.; Koh, J.Y. Zn2+: A novel ionic mediator of neural injury in brain disease. Trends Pharmacol. Sci. 2000, 21, 395–401. [Google Scholar] [CrossRef]
- Assaf, S.Y.; Chung, S.H. Release of endogenous Zn2+ from brain tissue during activity. Nature 1984, 308, 734–736. [Google Scholar] [CrossRef]
- Yamasaki, S.; Hasegawa, A.; Hojyo, S.; Ohashi, W.; Fukada, T.; Nishida, K.; Hirano, T. A novel role of the L-Type calcium channel α1D subunit as a gatekeeper for intracellular zinc signaling: Zinc wave. PLoS ONE 2012, 7, e39654. [Google Scholar] [CrossRef]
- Li, Y.V. Zinc and insulin in pancreatic beta-cells. Endocrine 2014, 45, 178–189. [Google Scholar] [CrossRef] [PubMed]
- Frederickson, C.J.; Koh, J.-Y.; Bush, A.I. The neurobiology of zinc in health and disease. Nat. Rev. Neurosci. 2005, 6, 449–462. [Google Scholar] [CrossRef] [PubMed]
- Lee, S.R.; Noh, S.J.; Pronto, J.R.; Jeong, Y.J.; Kim, H.K.; Song, I.S.; Xu, Z.; Kwon, H.Y.; Kang, S.C.; Sohn, E.; et al. The critical roles of zinc: Beyond impact on myocardial signaling. Korean J. Physiol. Pharmacol. 2015, 19, 389–399. [Google Scholar] [CrossRef] [PubMed]
- Keen, C.L.; Gershwin, M.E. Zinc deficiency and immune function. Annu. Rev. Nutr. 1990, 10, 415–431. [Google Scholar] [CrossRef] [PubMed]
- Choi, J.Y.; Kim, D.; Yoon, J. A highly selective “turn–on” fluorescent chemosensor based on hydroxy pyrene–hydrazone derivative for Zn2+. Dyes Pigm. 2013, 96, 176–179. [Google Scholar] [CrossRef]
- Prasad, A.S. Zinc in Human Health: Effect of Zinc on Immune Cells. Mol. Med. 2008, 14, 353–357. [Google Scholar] [CrossRef] [PubMed]
- Park, G.J.; Kim, H.; Lee, J.J.; Kim, Y.S.; Lee, S.Y.; Lee, S.; Noh, I.; Kim, C. A highly selective turn–on chemosensor capable of monitoring Zn2+ concentrations in living cells and aqueous solution. Sens. Actuators B Chem. 2015, 215, 568–576. [Google Scholar] [CrossRef]
- Frederickson, C.J. Neurobiology of zinc and zinc–containing neurons. Int. Rev. Neurobiol. 1989, 31, 145–238. [Google Scholar]
- Auld, D.S. Zinc coordination sphere in biochemical zinc sites. Zinc Biochem. Physiol. Homeost. 2001, 14, 85–127. [Google Scholar]
- Cox, E.H.; McLendon, G.L. Zinc–dependent protein folding. Curr. Opin. Chem. Biol. 2000, 4, 162–165. [Google Scholar] [CrossRef]
- Xie, X.; Smart, T.G. A physiological role for endogenous zinc in rat hippocampal synaptic neurotransmission. Nature 1991, 349, 521–524. [Google Scholar] [CrossRef] [PubMed]
- Mammadova-Bach, E.; Braun, A. Zinc Homeostasis in Platelet–Related Diseases. Int. J. Mol. Sci. 2019, 20, 5258. [Google Scholar] [CrossRef] [PubMed] [Green Version]
- Ahmed, N.; Zareen, W.; Zhang, D.; Yang, X.; Ye, Y. A DCM–based NIR sensor for selective and sensitive detection of Zn2+ in living cells. Spectrochim. Acta A Mol. Biomol. Spectrosc. 2020, 243, 118758. [Google Scholar] [CrossRef] [PubMed]
- Reichman, S.M. The responses of plants to metal toxicity: A review focusing on copper, manganese and zinc. Aust. Miner. Energy Environ. Found. 2002, 14, 1–54. [Google Scholar]
- Baran, A. Assessment of Zea mays sensitivity to toxic content of zinc in soil. Pol. J. Environ. Stud. 2013, 22, 77–83. [Google Scholar]
- Baran, A. Assessment of zinc content and mobility in maize. Ecol. Chem. Eng. 2012, 19, 699–706. [Google Scholar]
- Baran, A.; Wieczorek, J.; Mazurek, R.; Urbański, K.; Klimkowicz-Pawlas, A. Potential ecological risk assessment and predicting zinc accumulation in soils. Environ. Geochem. Health 2018, 40, 435–450. [Google Scholar] [CrossRef] [Green Version]
- Sakamaki, M.; Aikawa, S.; Fukushima, Y. Colorimetric chemosensor for Zn2+ based on pyrogallol red and poly(diallyldimethylammonium chloride) in aqueous solution. Polym. Bull. 2018, 75, 1667–1680. [Google Scholar] [CrossRef]
- Xu, Z.; Yoon, J.; Spring, D.R. Fluorescent chemosensors for Zn2+. Chem. Soc. Rev. 2010, 39, 1996–2006. [Google Scholar] [CrossRef] [Green Version]
- Liu, Y.; Li, Y.; Feng, Q.; Li, N.; Li, K.; Hou, H.; Zhang, B. ‘Turn–on’ fluorescent chemosensors based on naphthaldehyde–2–pyridinehydrazone compounds for the detection of zinc ion in water at neutral pH. Luminescence 2018, 33, 29–33. [Google Scholar] [CrossRef]
- Chae, J.B.; Yun, D.; Kim, S.; Lee, H.; Kim, M.; Lim, M.H.; Kim, K.; Kim, C. Fluorescent determination of zinc by a quinoline–based chemosensor in aqueous media and zebrafish. Spectrochim. Acta A Mol. Biomol. Spectrosc. 2019, 219, 74–82. [Google Scholar] [CrossRef] [PubMed]
- Sarkar, D.; Pramanik, A.; Jana, S.; Karmakar, P.; Mondal, T.K. Quinoline based reversible fluorescent ‘turn-on’ chemosensor for the selective detection of Zn2+: Application in living cell imaging and as INHIBIT logic gate. Sens. Actuators B Chem. 2015, 209, 138–146. [Google Scholar] [CrossRef]
- Li, H.; Gao, S.; Xi, Z. A colorimetric and “turn–on” fluorescent chemosensor for Zn(II) based on coumarin Schiff–base derivative. Inorg. Chem. Commun. 2009, 12, 300–303. [Google Scholar] [CrossRef]
- Wang, K.P.; Jin, Z.H.; Shang, H.S.; Lv, C.D.; Zhang, Q.; Chen, S.; Hu, Z.Q. A highly selective fluorescent chemosensor for Zn2+ based on the rhodamine derivative incorporating coumarin group. J. Fluoresc. 2017, 27, 629–633. [Google Scholar] [CrossRef]
- Gupta, V.K.; Mergu, N.; Singh, A.K. Fluorescent chemosensors for Zn2+ ions based on flavonol derivatives. Sens. Actuators B Chem. 2014, 202, 674–682. [Google Scholar] [CrossRef]
- Jin, Y.; Wang, S.; Zhang, Y.; Song, B. Highly selective fluorescent chemosensor based on benzothiazole for detection of Zn2+. Sens. Actuators B Chem. 2016, 225, 167–173. [Google Scholar] [CrossRef]
- Qian, H.; Tao, T.; Wang, Y.; Yin, G.; Huang, W. A fluorescent chemosensor for Zn2+ based on 3, 8-bis(4-methoxyphenyl)-1,10-phenanthroline. Inorg. Chem. Commun. 2015, 58, 99–102. [Google Scholar] [CrossRef]
- Choi, Y.W.; You, G.R.; Lee, J.J.; Kim, C. Turn-on fluorescent chemosensor for selective detection of Zn2+ in an aqueous solution: Experimental and theoretical studies. Inorg. Chem. Commun. 2016, 63, 35–38. [Google Scholar] [CrossRef]
- Cheng, D.; Liu, X.; Yang, H.; Zhang, T.; Han, A.; Zang, L. A Cu2+ selective probe based on phenanthro–imidazole derivative. Sensors 2017, 17, 35. [Google Scholar] [CrossRef] [Green Version]
- Liu, H.; Zhang, B.; Tan, C.; Liu, F.; Cao, J.; Tan, Y.; Jiang, Y. Simultaneous bioimaging recognition of Al3+ and Cu2+ in living–cell, and further detection of F− and S2− by a simple fluorogenicbenzimidazole–based chemosensor. Talanta 2016, 161, 309–319. [Google Scholar] [CrossRef]
- Li, D.; Zhong, Z.; Zheng, G.; Tian, Z. A naphthalene benzimidazole–based chemosensor for the colorimetric and on–off fluorescent detection of fluoride ion. Spectrochim. Acta A Mol. Biomol. Spectrosc. 2017, 185, 173–178. [Google Scholar] [CrossRef] [PubMed]
- Molina, P.; Tárraga, A.; Otón, F. Imidazole derivatives: A comprehensive survey of their recognition properties. Org. Biomol. Chem. 2012, 10, 1711–1724. [Google Scholar] [CrossRef] [PubMed]
- Siwach, A.; Verma, P.K. Synthesis and therapeutic potential of imidazole containing compounds. BMC Chem. 2021, 15, 12. [Google Scholar] [CrossRef] [PubMed]
- Baire, B.; Niu, D.W.; Willoughby, P.H.; Woods, B.P.; Hoye, T.R. Synthesis of complex benzenoids via the intermediate generation of o-benzynes through the hexadehydro-Diels-Alder reaction. Nat. Protoc. 2013, 8, 501–509. [Google Scholar] [CrossRef] [Green Version]
- Crossley, S.W.M.; Shenvi, R.A. A longitudinal study of alkaloid synthesis reveals functional group interconversions as bad actors. Chem. Rev. 2015, 115, 9465–9531. [Google Scholar] [CrossRef]
- Ziegler, S.; Pries, V.; Hedberg, C.; Waldmann, H. Target identification for small bioactive molecules: Finding the needle in the haystack. Angew. Chem. Int. Ed. 2013, 52, 2744–2792. [Google Scholar] [CrossRef]
- Sahu, S.; Sikdar, Y.; Bag, R.; Maiti, D.K.; Cerón-Carrasco, J.P.; Goswami, S. Visual detection of fluoride ion based on ICT mechanism. Spectrochim. Acta A Mol. Biomol. Spectrosc. 2019, 213, 354–360. [Google Scholar] [CrossRef]
- Sahu, S.; Sikdar, Y.; Bag, R.; Maiti, D.K.; Cerón-Carrasco, J.P.; Goswami, S. A novel quinoxaline–rhodamine conjugate for a simple and efficient detection of hydrogen sulphate ion. Compounds 2021, 1, 29–40. [Google Scholar] [CrossRef]
- Bag, R.; Sikdar, Y.; Sahu, S.; Saha, P.; Bag, J.; Pal, K.; Goswami, S. A quinoxaline–diaminomaleonitrile conjugate system for colorimetric detection of Cu2+ in 100% aqueous medium: Observation of aldehyde to acid transformation. Dalton Trans. 2019, 48, 5656–5664. [Google Scholar] [CrossRef]
- Bag, R.; Sikdar, Y.; Sahu, S.; Maiti, D.K.; Frontera, A.; Bauzá, A.; Drew, M.G.B.; Goswami, S. A versatile quinoxaline derivative serves as a colorimetric sensor for strongly acidic pH. Dalton Trans. 2018, 47, 17077–17085. [Google Scholar] [CrossRef]
- Mondal, S.; Mandal, S.M.; Ojha, D.; Chattopadhyay, D.; Sinha, C. Water soluble sulfaguanidine based Schiff base as a “Turn–on” fluorescent probe for intracellular recognition of Zn2+ in living cells and exploration for biological activities. Polyhedron 2019, 172, 28–38. [Google Scholar] [CrossRef]
- Wang, X.; Ding, G.; Duan, Y.; Wang, M.; Zhu, G.; Li, X.; Zhang, Y.; Qin, X. Novel ‘naked–eye’ bis–Schiff base fluorescent chemosensors for sensitive detection of Zn2+ and bio–imaging in living cells. Tetrahedron 2020, 76, 131108. [Google Scholar] [CrossRef]
- Li, Z.-Y.; Su, H.-K.; Zhou, K.; Yang, B.-Z.; Xiao, T.; Sun, X.-Q.; Jiang, J.; Wang, L. Oxo–spirocyclic structure bridged ditopic Schiff base: A turn–on fluorescent probe for selective recognition of Zn(II) and its application in biosensing. Dyes Pigm. 2018, 149, 921–926. [Google Scholar] [CrossRef]
- Jiao, S.-Y.; Kong, L.-M.; Liu, G.-Q.; Jia, X.; Tian, J.; Liu, Y.-G.; Zhang, L.-X.; Zhang, W.-X.; Li, Y.-H.; Huang, Z. A simple and an easy–to–synthesize turn–on fluorescent probe for rapid detection of Zn2+ and its application in bioimaging. Tetrahedron Lett. 2020, 61, 152507. [Google Scholar] [CrossRef]
- Das, S.; Fröhlich, R.; Pramanik, A. Synthesis and fluorescent properties of a new class of heterocycles of isoindole fused imidazoles with phenolic subunits. Org. Lett. 2006, 8, 4263–4266. [Google Scholar] [CrossRef]
- Chang, I.J.; Hwang, K.S.; Chang, S.-K. Selective Hg2+ signaling via dithiane to aldehyde conversion of an ESIPT fluorophore. Dyes Pigm. 2017, 137, 69–74. [Google Scholar] [CrossRef]
- Wang, B.D.; Hai, J.; Liu, Z.C.; Wang, Q.; Yang, Z.Y.; Sun, S.H. Selective detection of Iron(III) by rhodamine–modified Fe3O4 nanoparticles. Angew. Chem. Int. Ed. 2010, 49, 4576–4579. [Google Scholar] [CrossRef]
- Williams, A.T.R.; Winfield, S.A.; Miller, J.N. Relative fluorescence quantum yields using a computer–controlled luminescence spectrometer. Analyst 1983, 78, 1067–1071. [Google Scholar] [CrossRef]
- Thomsen, V.; Schatzlein, D.; Mercuro, D. Limits of detection in spectroscopy. Spectroscopy 2003, 18, 112–114. [Google Scholar]
- Ray, D.; Pramanik, A.; Guchhait, N. Lactim–lactam tautomerism through four member hydrogen bonded network in isoindole fused imidazole system: A combined spectroscopic and theoretical approach to photophysical properties. J. Photochem. Photobiol. A 2014, 274, 33–42. [Google Scholar] [CrossRef]
- Venkatesan, V.; Kumar, R.S.; Ashok Kumar, S.K.; Sahoo, S.K. Highly selective turn-on fluorogenic chemosensor for Zn2+ based on chelation enhanced fluorescence. Inorg. Chem. Comm. 2019, 102, 171–179. [Google Scholar] [CrossRef]
- Bhowmik, M.; Kumari, P.; Sarkar, G. Effect of xanthan gum and guar gum on in situ gelling ophthalmic drug delivery system based on poloxamer-407. Int. J. Biol. Macromol. 2013, 62, 117–123. [Google Scholar] [CrossRef] [PubMed]
- Pereira, G.G.; Kechinski, C.P. Formulation and characterization of poloxamer 407: Thermoreversible gel containing polymeric microparticles and hyaluronic acid. Quim. Nova 2013, 36, 1121–1125. [Google Scholar] [CrossRef] [Green Version]
- Adamo, C. Toward reliable density functional methods without adjustable parameters: The PBE0 model. J. Chem. Phys. 1999, 110, 6158–6170. [Google Scholar] [CrossRef]
- Zarabadi-Poor, P.; Barroso-Flores, J. Theoretical Assessment of the Selective Fluorescence Quenching of 1-Amino-8-naphthol-3, 6-disulfonic Acid (H-Acid) Complexes with Zn2+, Cd2+, and Hg2+: A DFT and TD-DFT Study. J. Phys. Chem. A 2014, 118, 12178–12183. [Google Scholar] [CrossRef] [PubMed]
- Rossini, E.; Bochevarov, A.D.; Knapp, E.W. Empirical conversion of pKa values between different solvents and interpretation of the parameters: Application to water, acetonitrile, dimethyl sulfoxide, and methanol. ACS Omega 2018, 3, 1653–1662. [Google Scholar] [CrossRef] [Green Version]
- Becke, A.D. A new mixing of Hartree-Fock and local density-functional theories. J. Chem. Phys. 1993, 98, 1372–1377. [Google Scholar] [CrossRef]
- Schrödinger Release 2021-3: Epik; Schrödinger, LLC: New York, NY, USA, 2021.
- Greenwood, J.R.; Calkins, D.; Sullivan, A.P.; Shelley, J.C. Towards the comprehensive, rapid, and accurate prediction of the favorable tautomeric states of drug-like molecules in aqueous solution. J. Comput. Aided Mol. Des. 2010, 24, 591–604. [Google Scholar] [CrossRef]
- Shelley, J.C.; Cholleti, A.; Frye, L.; Greenwood, J.R.; Timlin, M.R.; Uchimaya, M. Epik: A software program for pKa prediction and protonation state generation for drug-like molecules. J. Comp. Aided Mol. Des. 2007, 21, 681–691. [Google Scholar] [CrossRef]
- Frisch, M.J.; Trucks, G.W.; Schlegel, H.B.; Scuseria, G.E.; Robb, M.A.; Cheeseman, J.R.; Scalmani, G.; Barone, V.; Petersson, G.A.; Nakatsuji, H.J.; et al. Gaussian 16, Revision, C.01; Gaussian, Inc.: Wallingford, CT, USA, 2016. [Google Scholar]










Publisher’s Note: MDPI stays neutral with regard to jurisdictional claims in published maps and institutional affiliations. |
© 2022 by the authors. Licensee MDPI, Basel, Switzerland. This article is an open access article distributed under the terms and conditions of the Creative Commons Attribution (CC BY) license (https://creativecommons.org/licenses/by/4.0/).
Share and Cite
Sahu, S.; Sikdar, Y.; Bag, R.; Cerezo, J.; Cerón-Carrasco, J.P.; Goswami, S. Turn on Fluorescence Sensing of Zn2+ Based on Fused Isoindole-Imidazole Scaffold. Molecules 2022, 27, 2859. https://doi.org/10.3390/molecules27092859
Sahu S, Sikdar Y, Bag R, Cerezo J, Cerón-Carrasco JP, Goswami S. Turn on Fluorescence Sensing of Zn2+ Based on Fused Isoindole-Imidazole Scaffold. Molecules. 2022; 27(9):2859. https://doi.org/10.3390/molecules27092859
Chicago/Turabian StyleSahu, Sutapa, Yeasin Sikdar, Riya Bag, Javier Cerezo, José P. Cerón-Carrasco, and Sanchita Goswami. 2022. "Turn on Fluorescence Sensing of Zn2+ Based on Fused Isoindole-Imidazole Scaffold" Molecules 27, no. 9: 2859. https://doi.org/10.3390/molecules27092859
APA StyleSahu, S., Sikdar, Y., Bag, R., Cerezo, J., Cerón-Carrasco, J. P., & Goswami, S. (2022). Turn on Fluorescence Sensing of Zn2+ Based on Fused Isoindole-Imidazole Scaffold. Molecules, 27(9), 2859. https://doi.org/10.3390/molecules27092859

