Novel Chitosan-Based Schiff Base Compounds: Chemical Characterization and Antimicrobial Activity
Abstract
1. Introduction
2. Results and Discussion
2.1. Characteristics of Chitosan-Based Schiff Base Compounds
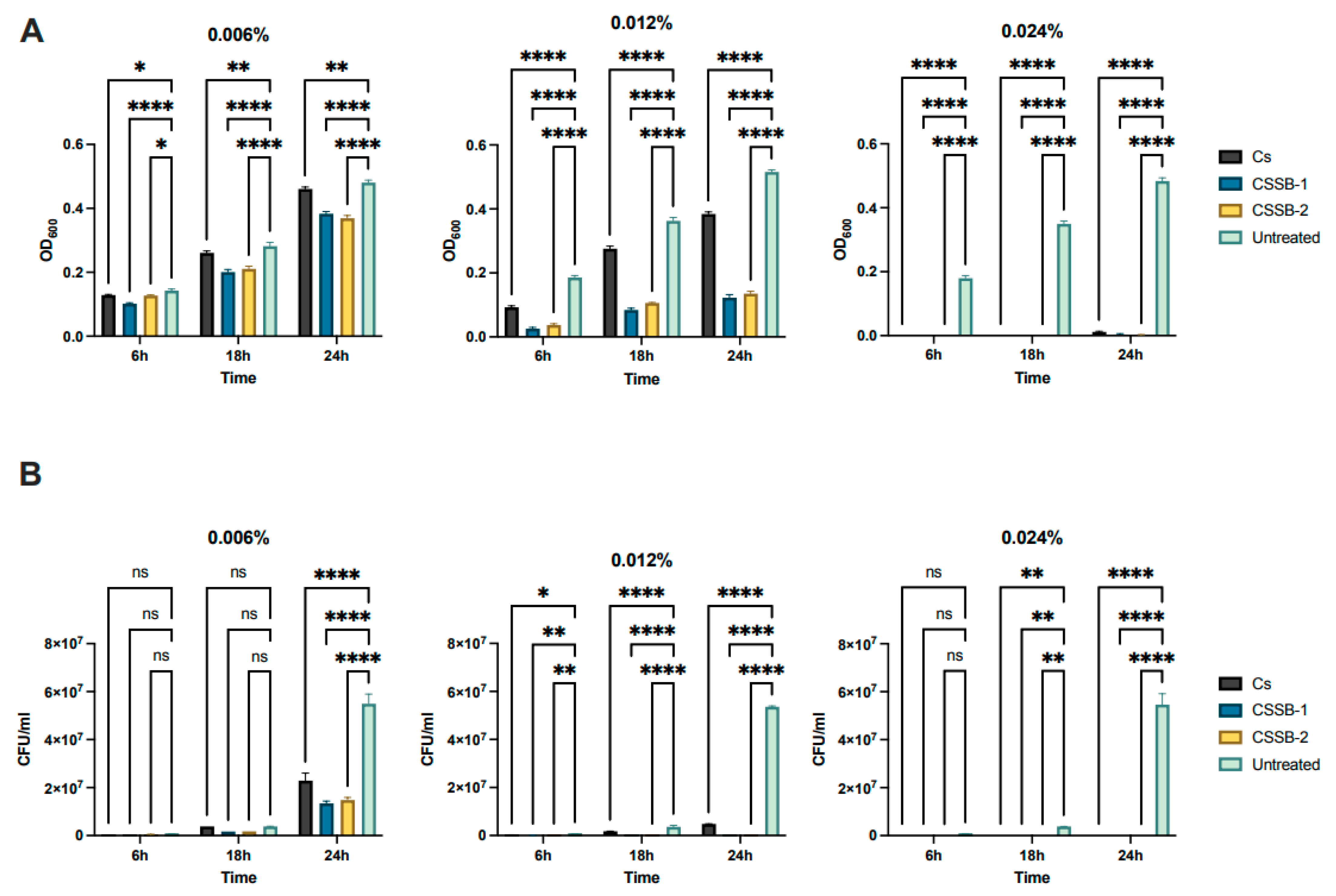
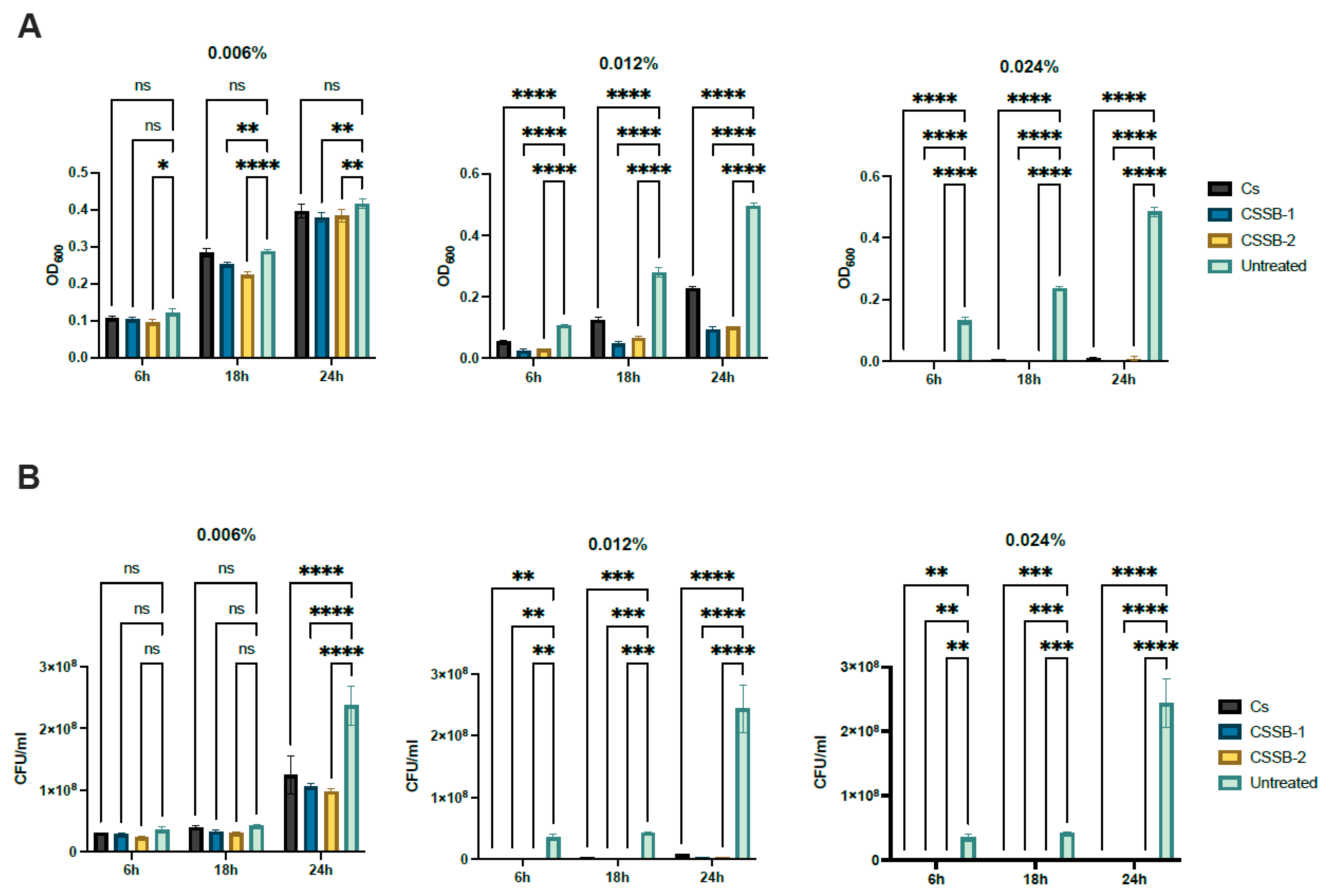
2.2. Antimicrobial Properties of CS, CSSB-1, and CSSB-2
3. Materials and Methods
3.1. Reagents, Instruments, and Products
3.2. Bacterial Strains and Culture Conditions
3.3. Determination of the Antimicrobial Activity of CSSB
3.4. Statistical Analysis
4. Conclusions
Supplementary Materials
Author Contributions
Funding
Institutional Review Board Statement
Informed Consent Statement
Data Availability Statement
Acknowledgments
Conflicts of Interest
Sample Availability
References
- La Fauci, V.; Costa, G.B.; Genovese, C.; Palamara, M.A.R.; Alessi, V.; Squeri, R. Drug-resistant bacteria on hands of healthcare workers and in the patient area: An environmental survey in Southern Italy’s hospital. Rev. Esp. Quimioter. Publ. Soc. Esp. Quimioter. 2019, 32, 303–310. [Google Scholar]
- Kong, M.; Chen, X.G.; Xing, K.; Park, H.J. Antimicrobial properties of chitosan and mode of action: A state of the art review. Int. J. Food Microbiol. 2010, 144, 51–63. [Google Scholar] [CrossRef] [PubMed]
- Allan, C.R.; Hadwiger, L.A. The fungicidal effect of chitosan on fungi of varying cell wall composition. Exp. Mycol. 1979, 3, 285–287. [Google Scholar] [CrossRef]
- Hassan, M.A.; Omer, A.M.; Abbas, E.; Baset, W.M.A.; Tamer, T.M. Preparation, physicochemical characterization and antimicrobial activities of novel two phenolic chitosan Schiff base derivatives. Sci. Rep. 2018, 8, 11416. [Google Scholar] [CrossRef]
- Aranaz, I.; Alcántara, A.R.; Civera, M.C.; Arias, C.; Elorza, B.; Caballero, A.H.; Acosta, N. Chitosan: An Overview of Its Properties and Applications. Polymers 2021, 13, 3256. [Google Scholar] [CrossRef]
- Kumirska, J.; Weinhold, M.X.; Thöming, J.; Stepnowski, P. Biomedical Activity of Chitin/Chitosan Based Materials—Influence of Physicochemical Properties Apart from Molecular Weight and Degree of N-Acetylation. Polymers 2011, 3, 1875–1901. [Google Scholar] [CrossRef]
- Pal, P.; Pal, A.; Nakashima, K.; Yadav, B.K. Applications of chitosan in environmental remediation: A review. Chemosphere 2020, 266, 128934. [Google Scholar] [CrossRef]
- Pal, K.; Bharti, D.; Sarkar, P.; Anis, A.; Kim, D.; Chałas, R.; Maksymiuk, P.; Stachurski, P.; Jarzębski, M. Selected Applications of Chitosan Composites. Int. J. Mol. Sci. 2021, 22, 10968. [Google Scholar] [CrossRef]
- Suteu, D.; Rusu, L.; Zaharia, C.; Badeanu, M.; Daraban, G.M. Challenge of Utilization Vegetal Extracts as Natural Plant Protection Products. Appl. Sci. 2020, 10, 8913. [Google Scholar] [CrossRef]
- Antony, R.; Arun, T.; Manickam, S.T.D. A review on applications of chitosan-based Schiff bases. Int. J. Biol. Macromol. 2019, 129, 615–633. [Google Scholar] [CrossRef]
- Barbosa, H.F.; Attjioui, M.; Leitao, A.; Moerschbacher, B.M.; Cavalheiro, T. Characterization, solubility and biological activity of amphihilic biopolymeric Schiff bases synthesized using chitosans. Carbohydr. Polym. 2019, 220, 1–11. [Google Scholar] [CrossRef] [PubMed]
- Barbosa, H.F.G.; Attjioui, M.; Ferreira, A.P.G.; Moerschbacher, B.M.; Cavalheiro, T. New series of metal complexes by amphiphilic biopolymeric Schiff bases from modified chitosans: Preparation, characterization and effect of molecular weight on its biological applications. Int. J. Biol. Macromol. 2019, 145, 417–428. [Google Scholar] [CrossRef] [PubMed]
- Malekshah, R.E.; Shakeri, F.; Khaleghian, A.; Salehi, M. Developing a biopolymeric chitosan supported Schiff-base and Cu(II), Ni(II) and Zn(II) complexes and biological evaluation as pro-drug. Int. J. Biol. Macromol. 2020, 152, 846–861. [Google Scholar] [CrossRef] [PubMed]
- Raouf, O.H.; Selim, S.; Mohamed, H.; Abdel-Gawad, O.F.; Elzanaty, A.M.; Ahmed, S.A.-K. Synthesis, Characterization and Biological Activity of Schiff Bases Based on Chitosan and Acetophenone Derivatives. Adv. J. Chem. A 2020, 3, 274–282. [Google Scholar] [CrossRef][Green Version]
- Gavalyan, V.B. Synthesis and characterization of new chitosan-based Schiff base compounds. Carbohydr. Polym. 2016, 145, 37–47. [Google Scholar] [CrossRef]
- dos Santos, J.E.; Dockal, E.R.; Cavalheiro, T. Synthesis and characterization of Schiff bases from chitosan and salicylaldehyde derivatives. Carbohydr. Polym. 2005, 60, 277–282. [Google Scholar] [CrossRef]
- El Hamdaoui, L.; El Marouani, M.; El Bouchti, M.; Kifani-Sahban, F.; El Moussaouiti, M. Thermal Stability, Kinetic Degradation and Lifetime Prediction of Chitosan Schiff Bases Derived from Aromatic Aldehydes. ChemistrySelect 2021, 6, 306–317. [Google Scholar] [CrossRef]
- Sadeghi, A.; Moztarzadeh, F.; Mohandesi, J.A. Investigating the effect of chitosan on hydrophilicity and bioactivity of conductive electrospun composite scaffold for neural tissue engineering. Int. J. Biol. Macromol. 2018, 121, 625–632. [Google Scholar] [CrossRef]
- Brugnerotto, J.; Lizardi, J.; Goycoolea, F.M.; Argüelles-Monal, W.; Desbrières, J.; Rinaudo, M. An infrared investigation in relation with chitin and chitosan characterization. Polymer 2001, 42, 3569–3580. [Google Scholar] [CrossRef]
- Foroughnia, A.; Khalaji, A.D.; Kolvari, E.; Koukabi, N. Synthesis of new chitosan Schiff base and its Fe2O3 nanocomposite: Evaluation of methyl orange removal and antibacterial activity. Int. J. Biol. Macromol. 2021, 177, 83–91. [Google Scholar] [CrossRef]
- Rasweefali, M.; Sabu, S.; Sunooj, K.; Sasidharan, A.; Xavier, K.M. Consequences of chemical deacetylation on physicochemical, structural and functional characteristics of chitosan extracted from deep-sea mud shrimp. Carbohydr. Polym. Technol. Appl. 2021, 2, 100032. [Google Scholar] [CrossRef]
- Yin, X.; Chen, J.; Yuan, W.; Lin, Q.; Ji, L.; Liu, F. Preparation and antibacterial activity of Schiff bases from O-carboxymethyl chitosan and para-substituted benzaldehydes. Polym. Bull. 2011, 68, 1215–1226. [Google Scholar] [CrossRef]
- Kasaai, M.R.; Arul, J.; Charlet, G. Intrinsic viscosity-molecular weight relationship for chitosan. J. Polym. Sci. Part B Polym. Phys. 2000, 38, 2591–2598. [Google Scholar] [CrossRef]







| Sample | Obtained | Calculated a | Yield % | |||||||||
|---|---|---|---|---|---|---|---|---|---|---|---|---|
| %C | %N | %H | C/N | %C | %N | %H | %O | % Cl | % Br | C/N | ||
| Cn, DA 90.5% | 46.33 | 6.98 | 6.36 | 6.64 | 47.09 | 7.03 | 6.48 | 39.40 | - | - | 6.70 | - |
| CS, DA 18.3% | 45.37 | 8.31 | 6.73 | 5.46 | 45.28 | 8.29 | 6.80 | 39.63 | - | - | 5.46 | - |
| CSSB-1 | 48.13 | 7.54 | 6.37 | 6.38 | 47.92 | 7.47 | 6.59 | 35.68 | 2.35 | - | 6.41 | 17.3 |
| CSSB-2 | 47.00 | 6.86 | 6.25 | 6.85 | 46.80 | 7.05 | 6.32 | 33.68 | - | 6.16 | 6.77 | 19.4 |
| Vibration Type in Group and Its Wavenumber, cm−1 | |||||||
|---|---|---|---|---|---|---|---|
| Sample | OH; NH2 Stretch | C=N Stretch (Imine) | C-H Stretch (CH2) | C=O Stretch Amide 1 | C=C; C-H Stretch Aromatic Ring | Asymmetric Stretch C-O-C and C-N Stretch | O-bridge Stretch (Glucosamine) |
| CS | 3362.5 3296.2 | - | 2874.5 | 1651.9 | - | 1150.7 1081.7 | 1028.7 |
| CSSB-1 | 3367.7 3296.3 | 1639.4 | 2871.5 | - | 1602.1; 1522.1 1454.5 | 1150.4 1064.3 | 1030.1 |
| CSSB-2 | 3364.6 3306.8 | 1641.0 | 2875.0 | - | 1609.2; 1518.2 1447.8 | 1150.3 1067.9 | 1025.5 |
Publisher’s Note: MDPI stays neutral with regard to jurisdictional claims in published maps and institutional affiliations. |
© 2022 by the authors. Licensee MDPI, Basel, Switzerland. This article is an open access article distributed under the terms and conditions of the Creative Commons Attribution (CC BY) license (https://creativecommons.org/licenses/by/4.0/).
Share and Cite
Fontana, R.; Marconi, P.C.R.; Caputo, A.; Gavalyan, V.B. Novel Chitosan-Based Schiff Base Compounds: Chemical Characterization and Antimicrobial Activity. Molecules 2022, 27, 2740. https://doi.org/10.3390/molecules27092740
Fontana R, Marconi PCR, Caputo A, Gavalyan VB. Novel Chitosan-Based Schiff Base Compounds: Chemical Characterization and Antimicrobial Activity. Molecules. 2022; 27(9):2740. https://doi.org/10.3390/molecules27092740
Chicago/Turabian StyleFontana, Riccardo, Peggy Carla Raffaella Marconi, Antonella Caputo, and Vasak B. Gavalyan. 2022. "Novel Chitosan-Based Schiff Base Compounds: Chemical Characterization and Antimicrobial Activity" Molecules 27, no. 9: 2740. https://doi.org/10.3390/molecules27092740
APA StyleFontana, R., Marconi, P. C. R., Caputo, A., & Gavalyan, V. B. (2022). Novel Chitosan-Based Schiff Base Compounds: Chemical Characterization and Antimicrobial Activity. Molecules, 27(9), 2740. https://doi.org/10.3390/molecules27092740

