Material Basis Elucidation and Quantification of Dandelion through Spectrum–Effect Relationship Study between UHPLC Fingerprint and Antioxidant Activity via Multivariate Statistical Analysis
Abstract
:1. Introduction
2. Results and Discussion
2.1. UHPLC Fingerprinting
2.1.1. Development of Chromatographic Method
2.1.2. Analytical Method Validation
2.1.3. Analysis of UHPLC Fingerprints and Their Similarity
2.2. Antioxidant Activity Tests
2.3. Spectrum–Effect Relationship Analysis
2.3.1. Partial Least Squares Regression Analysis (PLSR)
2.3.2. Bivariate Correlation Analysis (BCA)
2.3.3. Gray Correlation Analysis (GRA)
2.3.4. Comprehensive Analysis of Spectrum–Effect Relationship
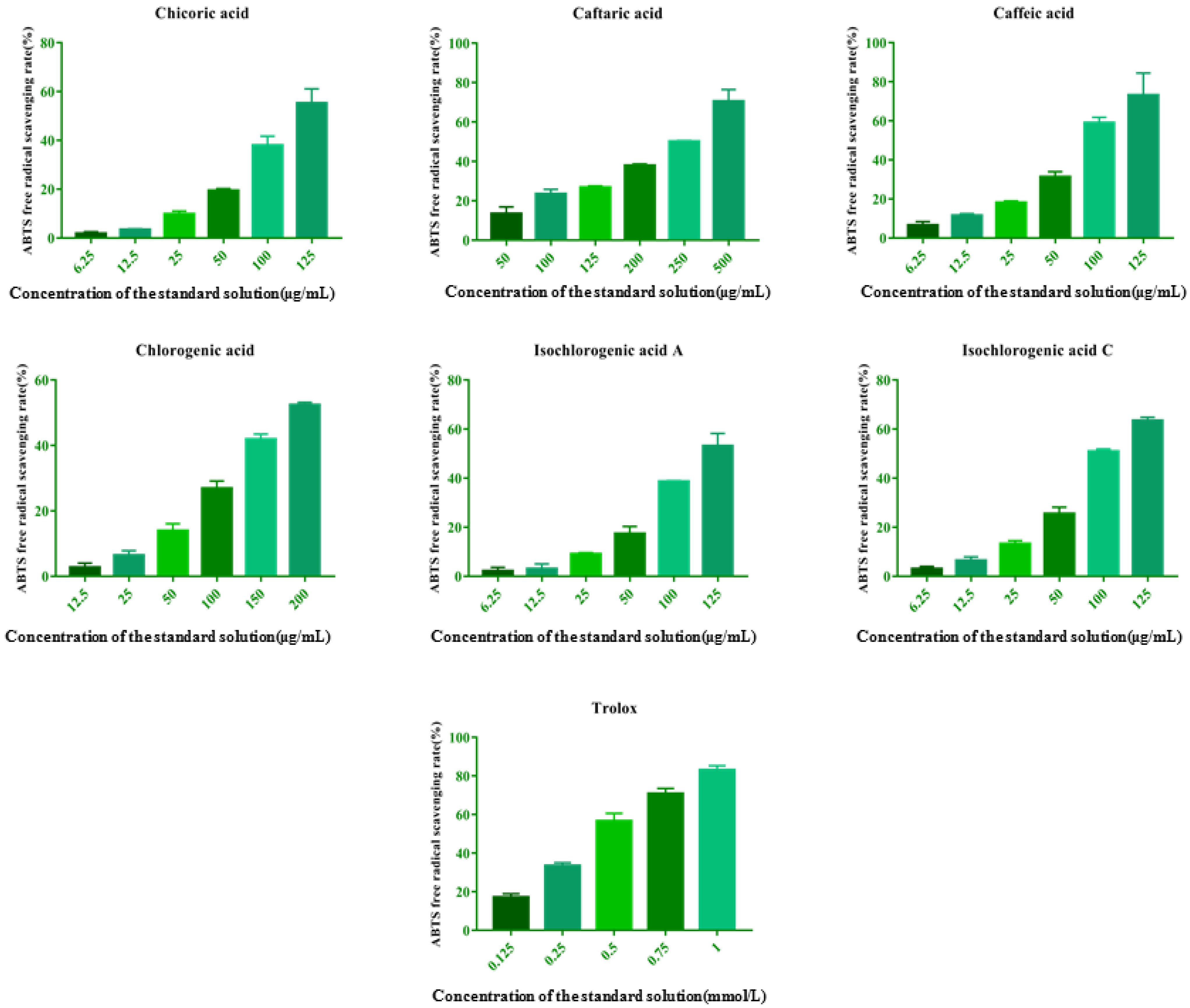
2.4. Single Compound Verification of Antioxidant Activity
2.5. Assay of Dandelion by Quantitative Analysis of Potential Antioxidant Ingredients
2.5.1. Dandelion Sample Preparation
2.5.2. Method Validation
2.5.3. Quantification Results
3. Materials and Methods
3.1. Instruments
3.2. Materials and Reagents
3.3. Development of the UHPLC Fingerprints of Dandelion
3.3.1. Preparation of the Dandelion Water Extract Sample Solutions
3.3.2. Chromatographic Conditions
3.3.3. Analytical Method Validation
3.3.4. Establishment of the Common Mode of Dandelion
3.4. Determination of Antioxidant Activity
3.4.1. Preparation of Solutions
3.4.2. FRAP Assay
3.4.3. ABTS Assay
3.5. Study of Spectrum–Effect Relationship of Dandelion
3.5.1. Partial Least Squares Regression Analysis (PLSR)
3.5.2. Bivariate Correlation Analysis (BCA)
3.5.3. Gray Correlation Analysis (GRA)
3.6. Assay of Dandelion by Quantitative Analysis of Potential Antioxidant Ingredients
3.6.1. Preparation of the Test Solutions
3.6.2. Analytical Method Validation
3.6.3. Sample Determination
4. Conclusions
Supplementary Materials
Author Contributions
Funding
Institutional Review Board Statement
Informed Consent Statement
Data Availability Statement
Conflicts of Interest
References
- Hu, C. Taraxacum: Phytochemistry and health benefits. Chin. Herb. Med. 2018, 10, 353–361. [Google Scholar] [CrossRef]
- Lis, B.; Olas, B. Pro-health activity of dandelion (Taraxacum officinale L.) and its food products—History and present. J. Funct. Foods 2019, 59, 40–48. [Google Scholar] [CrossRef]
- Wang, L.; Li, L.; Gao, J.; Huang, J.; Yang, Y.; Xu, Y.; Liu, S.; Yu, W. Characterization, antioxidant and immunomodulatory effects of selenized polysaccharides from dandelion roots. Carbohydr. Polym. 2021, 260, 117796. [Google Scholar] [CrossRef] [PubMed]
- Demin, G.A.O. Analysis of nutritional components of Taraxacum mongolicum and its antibacterial activity. Pharmacogn. J. 2010, 2, 502–505. [Google Scholar] [CrossRef]
- Shi, S.; Zhao, Y.; Zhou, H.; Zhang, Y.; Jiang, X.; Huang, K. Identification of antioxidants from Taraxacum mongolicum by high-performance liquid chromatography-diode array detection-radical-scavenging detection-electrospray ionization mass spectrometry and nuclear magnetic resonance experiments. J. Chromatogr. A 2008, 1209, 145–152. [Google Scholar] [CrossRef] [PubMed]
- Yang, N.; Li, C.; Tian, G.; Zhu, M.; Bu, W.; Chen, J.; Hou, X.; Di, L.; Jia, X.; Dong, Z.; et al. Organic acid component from Taraxacum mongolicum Hand.-Mazz alleviates inflammatory injury in lipopolysaccharide-induced acute tracheobronchitis of ICR mice through TLR4/NF-kappaB signaling pathway. Int. Immunopharmacol. 2016, 34, 92–100. [Google Scholar] [CrossRef]
- Zhang, Y.; Hu, Y.F.; Li, W.; Xu, G.Y.; Wang, K.R.; Li, L.; Luo, H.; Zou, L.; Wu, J.S. Updates and advances on pharmacological properties of Taraxacum mongolicum Hand.-Mazz and its potential applications. Food Chem. 2022, 373 Pt A, 131380. [Google Scholar] [CrossRef]
- Blaser, H.; Dostert, C.; Mak, T.W.; Brenner, D. TNF and ROS Crosstalk in Inflammation. Trends Cell Biol. 2016, 26, 249–261. [Google Scholar] [CrossRef]
- Newsholme, P.; Cruzat, V.F.; Keane, K.N.; Carlessi, R.; de Bittencourt, P.I., Jr. Molecular mechanisms of ROS production and oxidative stress in diabetes. Biochem. J. 2016, 473, 4527–4550. [Google Scholar] [CrossRef]
- Rendra, E.; Riabov, V.; Mossel, D.M.; Sevastyanova, T.; Harmsen, M.C.; Kzhyshkowska, J. Reactive oxygen species (ROS) in macrophage activation and function in diabetes. Immunobiology 2019, 224, 242–253. [Google Scholar] [CrossRef]
- Ionescu-Tucker, A.; Cotman, C.W. Emerging roles of oxidative stress in brain aging and Alzheimer’s disease. Neurobiol. Aging 2021, 107, 86–95. [Google Scholar] [CrossRef] [PubMed]
- Finkel, T.; Holbrook, N.J. Oxidants, oxidative stress and the biology of ageing. Nature 2000, 408, 239–247. [Google Scholar] [CrossRef] [PubMed]
- Prasad, S.; Gupta, S.C.; Tyagi, A.K. Reactive oxygen species (ROS) and cancer: Role of antioxidative nutraceuticals. Cancer Lett. 2017, 387, 95–105. [Google Scholar] [CrossRef] [PubMed]
- Sarmiento-Salinas, F.L.; Perez-Gonzalez, A.; Acosta-Casique, A.; Ix-Ballote, A.; Diaz, A.; Trevino, S.; Rosas-Murrieta, N.H.; Millan-Perez-Pena, L.; Maycotte, P. Reactive oxygen species: Role in carcinogenesis, cancer cell signaling and tumor progression. Life Sci. 2021, 284, 119942. [Google Scholar] [CrossRef] [PubMed]
- Chen, Z.; Tian, R.; She, Z.; Cai, J.; Li, H. Role of oxidative stress in the pathogenesis of nonalcoholic fatty liver disease. Free. Radic. Biol. Med. 2020, 152, 116–141. [Google Scholar] [CrossRef] [PubMed]
- Niki, E. Oxidant-specific biomarkers of oxidative stress. Association with atherosclerosis and implication for antioxidant effects. Free. Radic. Biol. Med. 2018, 120, 425–440. [Google Scholar] [CrossRef]
- Hu, C.; Kitts, D.D. Dandelion (Taraxacum officinale) flower extract suppresses both reactive oxygen species and nitric oxide and prevents lipid oxidation in vitro. Phytomedicine 2005, 12, 588–597. [Google Scholar] [CrossRef]
- Lis, B.; Jedrejek, D.; Moldoch, J.; Stochmal, A.; Olas, B. The anti-oxidative and hemostasis-related multifunctionality of L-chicoric acid, the main component of dandelion: An in vitro study of its cellular safety, antioxidant and anti-platelet properties, and effect on coagulation. J. Funct. Foods 2019, 62, 103524. [Google Scholar] [CrossRef]
- Majewski, M.; Lis, B.; Juskiewicz, J.; Ognik, K.; Jedrejek, D.; Stochmal, A.; Olas, B. The composition and vascular/antioxidant properties of Taraxacum officinale flower water syrup in a normal-fat diet using an obese rat model. J. Ethnopharmacol. 2021, 265, 113393. [Google Scholar] [CrossRef]
- Liu, X.Y.; Chang, Y.L.; Wang, X.H.; Wang, Y.; Ren, X.Y.; Ma, J.M.; Yu, A.X.; Wei, J.; Fan, Q.Q.; Dong, Y.; et al. An integrated approach to uncover anti-tumor active materials of Curcumae Rhizoma-Sparganii Rhizoma based on spectrum-effect relationship, molecular docking, and ADME evaluation. J. Ethnopharmacol. 2021, 280, 114439. [Google Scholar] [CrossRef]
- Xie, P.; Chen, S.; Liang, Y.Z.; Wang, X.; Tian, R.; Upton, R. Chromatographic fingerprint analysis--a rational approach for quality assessment of traditional Chinese herbal medicine. J. Chromatogr. A 2006, 1112, 171–180. [Google Scholar] [CrossRef] [PubMed]
- Bai, G.; Zhang, T.; Hou, Y.; Ding, G.; Jiang, M.; Luo, G. From quality markers to data mining and intelligence assessment: A smart quality-evaluation strategy for traditional Chinese medicine based on quality markers. Phytomedicine 2018, 44, 109–116. [Google Scholar] [CrossRef] [PubMed]
- Xu, G.L.; Xie, M.; Yang, X.Y.; Song, Y.; Yan, C.; Yang, Y.; Zhang, X.; Liu, Z.Z.; Tian, Y.X.; Wang, Y.; et al. Spectrum-effect relationships as a systematic approach to traditional chinese medicine research: Current status and future perspectives. Molecules 2014, 19, 17897–17925. [Google Scholar] [CrossRef] [PubMed]
- Li, W.; Zhang, Y.; Shi, S.; Yang, G.; Liu, Z.; Wang, J.; Kang, W. Spectrum-effect relationship of antioxidant and tyrosinase activity with Malus pumila flowers by UPLC-MS/MS and component knock-out method. Food Chem. Toxicol. 2019, 133, 110754. [Google Scholar] [CrossRef]
- Zheng, G.; Gan, L.; Jia, L.Y.; Zhou, D.C.; Bi, S.; Meng, Z.Q.; Guan, G.J.; Huang, M.M.; He, X.; Zhang, C.F.; et al. Screen of anti-migraine active compounds from Duijinsan by spectrum-effect relationship analysis and molecular docking. J. Ethnopharmacol. 2021, 279, 114352. [Google Scholar] [CrossRef]
- Zhu, C.-S.; Lin, Z.-J.; Xiao, M.-L.; Niu, H.-J.; Zhang, B. The spectrum-effect relationship—a rational approach to screening effective compounds, reflecting the internal quality of Chinese herbal medicine. Chin. J. Nat. Med. 2016, 14, 177–184. [Google Scholar] [CrossRef]
- Feng, L.; Tang, N.; Liu, R.; Nie, R.; Guo, Y.; Liu, R.; Chang, M. Effects of different processing methods on bioactive substances and antioxidation properties of Lycium barbarum (goji berry) from China. Food Biosci. 2021, 42, 101048. [Google Scholar] [CrossRef]
- Guedes, A.C.; Amaro, H.M.; Giao, M.S.; Malcata, F.X. Optimization of ABTS radical cation assay specifically for determination of antioxidant capacity of intracellular extracts of microalgae and cyanobacteria. Food Chem. 2013, 138, 638–643. [Google Scholar] [CrossRef]
- Qiao, R.; Zhou, L.; Zhong, M.; Zhang, M.; Yang, L.; Yang, Y.; Chen, H.; Yang, W.; Yuan, J. Spectrum-effect relationship between UHPLC-Q-TOF/MS fingerprint and promoting gastrointestinal motility activity of Fructus aurantii based on multivariate statistical analysis. J. Ethnopharmacol. 2021, 279, 114366. [Google Scholar] [CrossRef]
- Dai, Y.; Li, Q.; Tong, J.; Verpoorte, R.; Zhao, S.J.; Qin, X.M.; Chen, S. Quality marker identification based on standard decoction of differently processed materials of Ephedrae Herba. J. Ethnopharmacol. 2019, 237, 47–54. [Google Scholar] [CrossRef]
- Sun, B.; Xiwen, L.; Guangwei, Z.; Peng, Z.; Qi, L.; Sugita, T.; Tomoda, T.; Linchun, W. Study on Preparation and Quality Evaluation of Standard Decoction of Pugongying (Taraxaci Herba) Based on Traditional Decocting Process. Chin. Arch. Tradit. Chin. Med. 2020, 38, 249–254. [Google Scholar]
- Wang, Q.Q.; Wang, M.Y. Quality evaluation and quality control analysis of Taraxaci Herba decoction pieces. Chin. J. Ethnomed. Ethnopharm. 2020, 29, 18–20. [Google Scholar]












| Samples | Similarity | Samples | Similarity |
|---|---|---|---|
| S1 | 0.999 | S11 | 0.998 |
| S2 | 0.990 | S12 | 1.000 |
| S3 | 0.998 | S13 | 0.999 |
| S4 | 0.986 | S14 | 0.999 |
| S5 | 0.999 | S15 | 0.999 |
| S6 | 0.968 | S16 | 0.999 |
| S7 | 0.981 | S17 | 0.996 |
| S8 | 0.997 | S18 | 1.000 |
| S9 | 0.998 | S19 | 0.999 |
| S10 | 0.999 |
| Samples | FRAP (mM) | ABTS (mM) | Samples | FRAP (mM) | ABTS (mM) |
|---|---|---|---|---|---|
| S1 | 0.6556 ± 0.0106 | 0.5239 ± 0.0453 | S11 | 0.6246 ± 0.0438 | 0.3975 ± 0.0327 |
| S2 | 0.6251 ± 0.0049 | 0.4748 ± 0.0483 | S12 | 0.8345 ± 0.0314 | 0.3983 ± 0.0192 |
| S3 | 0.5245 ± 0.0136 | 0.3771 ± 0.0285 | S13 | 0.6864 ± 0.0066 | 0.3991 ± 0.0182 |
| S4 | 0.6120 ± 0.0259 | 0.4039 ± 0.0224 | S14 | 0.6103 ± 0.0326 | 0.4048 ± 0.0391 |
| S5 | 0.8247 ± 0.0703 | 0.4502 ± 0.0190 | S15 | 0.5735 ± 0.0292 | 0.4151 ± 0.0336 |
| S6 | 0.5455 ± 0.0161 | 0.3751 ± 0.0169 | S16 | 0.7193 ± 0.0256 | 0.4412 ± 0.0134 |
| S7 | 0.4351 ± 0.0212 | 0.3971 ± 0.0208 | S17 | 0.6660 ± 0.0294 | 0.37383 ± 0.0261 |
| S8 | 0.4430 ± 0.0099 | 0.3580 ± 0.0339 | S18 | 0.7063 ± 0.0351 | 0.37379 ± 0.0451 |
| S9 | 0.4677 ± 0.0253 | 0.3241 ± 0.0342 | S19 | 0.7729 ± 0.0421 | 0.4320 ± 0.0176 |
| S10 | 0.5194 ± 0.0049 | 0.3789 ± 0.0356 |
| No. | Kolmogorov–Smirnov a | Shapiro–Wilk | ||
|---|---|---|---|---|
| Result | Sig. | Result | Sig. | |
| Peak 1 | 0.166 | 0.176 | 0.878 | 0.020 |
| Peak 2 | 0.124 | 0.200 * | 0.942 | 0.286 |
| Peak 3 | 0.183 | 0.095 | 0.940 | 0.263 |
| Peak 4 | 0.134 | 0.200 * | 0.876 | 0.018 |
| Peak 5 | 0.097 | 0.200 * | 0.970 | 0.770 |
| Peak 6 | 0.198 | 0.047 | 0.859 | 0.010 |
| Peak 7 | 0.141 | 0.200 * | 0.966 | 0.692 |
| Peak 8 | 0.169 | 0.159 | 0.916 | 0.096 |
| Peak 9 | 0.119 | 0.200 * | 0.967 | 0.723 |
| Peak 10 | 0.132 | 0.200 * | 0.973 | 0.838 |
| Peak 11 | 0.107 | 0.200 * | 0.954 | 0.454 |
| Peak 12 | 0.148 | 0.200 * | 0.970 | 0.780 |
| Peak 13 | 0.239 | 0.006 | 0.861 | 0.010 |
| Peak 14 | 0.116 | 0.200 * | 0.975 | 0.865 |
| Peak 15 | 0.200 | 0.043 | 0.896 | 0.041 |
| Peak 16 | 0.153 | 0.200 * | 0.952 | 0.431 |
| Peak 17 | 0.135 | 0.200 * | 0.939 | 0.253 |
| Peak 18 | 0.121 | 0.200 * | 0.976 | 0.881 |
| Peak 19 | 0.136 | 0.200 * | 0.971 | 0.798 |
| Peak 20 | 0.265 | 0.001 | 0.839 | 0.005 |
| Peak 21 | 0.163 | 0.197 | 0.940 | 0.263 |
| Peak 22 | 0.219 | 0.017 | 0.721 | 0.000 |
| Peak 23 | 0.148 | 0.200 * | 0.917 | 0.098 |
| Peak 24 | 0.187 | 0.078 | 0.819 | 0.002 |
| FRAP | 0.087 | 0.200 * | 0.969 | 0.760 |
| ABTS | 0.188 | 0.077 | 0.932 | 0.188 |
| No. | FRAP | ABTS | No. | FRAP | ABTS |
|---|---|---|---|---|---|
| Peak 1 | 0.805 ** | 0.547 * | Peak 13 | 0.263 | 0.279 |
| Peak 2 | 0.809 ** | 0.460 * | Peak 14 | 0.789 ** | 0.735 ** |
| Peak 3 | 0.528 * | 0.258 | Peak 15 | −0.018 | −0.263 |
| Peak 4 | 0.649 ** | 0.302 | Peak 16 | 0.423 | 0.305 |
| Peak 5 | 0.568 * | 0.458 * | Peak 17 | 0.479 * | 0.467 * |
| Peak 6 | 0.658 ** | 0.307 | Peak 18 | −0.025 | 0.089 |
| Peak 7 | −0.019 | −0.221 | Peak 19 | 0.491 ** | 0.554 * |
| Peak 8 | 0.767 ** | 0.516 * | Peak 20 | 0.277 | 0.430 |
| Peak 9 | 0.568 * | 0.430 | Peak 21 | 0.244 | −0.260 |
| Peak 10 | 0.558 * | 0.288 | Peak 22 | 0.125 | 0.056 |
| Peak 11 | 0.018 | −0.282 | Peak 23 | −0.204 | −0.226 |
| Peak 12 | 0.595 ** | 0.396 | Peak 24 | −0.246 | −0.312 |
| No. | R (FRAP) | R (ABTS) | No. | R (FRAP) | R (ABTS) |
|---|---|---|---|---|---|
| Peak 1 | 0.898 | 0.942 | Peak 13 | 0.861 | 0.848 |
| Peak 2 | 0.909 | 0.919 | Peak 14 | 0.930 | 0.846 |
| Peak 3 | 0.854 | 0.902 | Peak 15 | 0.7927 | 0.845 |
| Peak 4 | 0.838 | 0.901 | Peak 16 | 0.901 | 0.841 |
| Peak 5 | 0.861 | 0.896 | Peak 17 | 0.887 | 0.836 |
| Peak 6 | 0.808 | 0.886 | Peak 18 | 0.7794 | 0.825 |
| Peak 7 | 0.7366 | 0.883 | Peak 19 | 0.895 | 0.819 |
| Peak 8 | 0.907 | 0.882 | Peak 20 | 0.868 | 0.8187 |
| Peak 9 | 0.883 | 0.881 | Peak 21 | 0.6447 | 0.7978 |
| Peak 10 | 0.857 | 0.877 | Peak 22 | 0.822 | 0.7798 |
| Peak 11 | 0.6413 | 0.865 | Peak 23 | 0.869 | 0.6808 |
| Peak 12 | 0.7402 | 0.851 | Peak 24 | 0.838 | 0.6624 |
| Analytes | IC50 (μg/mL) |
|---|---|
| Caftaric acid | 263.3 |
| Chlorogenic acid | 190.9 |
| Caffeic acid | 73.78 |
| Chicoric acid | 121.2 |
| Isochlorogenic acid A | 123.7 |
| Isochlorogenic acid C | 93.6 |
| Trolox | 99.1 |
| Analytes | Linearity | LOD (μg/mL) | LOQ (μg/mL) | ||
|---|---|---|---|---|---|
| Range (μg/mL) | Equation | R2 | |||
| Caftaric acid | 45.88–734.0 | y = 5.875x − 14.91 | 0.9990 | 1.311 | 2.263 |
| Chlorogenic acid | 3.671–58.73 | y = 10.64x − 8.36 | 0.9994 | 1.477 | 2.954 |
| Caffeic acid | 5.865–93.8 | y = 18.98x − 7.389 | 0.9998 | 1.457 | 2.914 |
| Chicoric acid | 33.63–538.0 | y = 13.329x − 7.429 | 0.9993 | 1.429 | 2.857 |
| Isochlorogenic acid A | 1.191–19.06 | y = 11.91x − 4.120 | 0.9998 | 1.361 | 2.723 |
| Isochlorogenic acid C | 1.491–23.85 | y = 10.89x − 6.476 | 0.9997 | 1.469 | 2.937 |
| Analytes | Intra-Day (n = 9) | Inter-Day (n = 9) | Stability (n = 7) |
|---|---|---|---|
| RSD (%) | RSD (%) | RSD (%) | |
| Caftaric acid | 2.99 | 0.70 | 0.98 |
| Chlorogenic acid | 1.51 | 0.97 | 1.10 |
| Caffeic acid | 1.20 | 0.87 | 1.14 |
| Chicoric acid | 1.79 | 0.69 | 1.05 |
| Isochlorogenic acid A | 3.36 | 0.93 | 1.56 |
| Isochlorogenic acid C | 2.14 | 0.74 | 1.21 |
| Analytes | Original (μg) | Spiked (μg) | Found (μg) | Recovery (%) | RSD (%) |
|---|---|---|---|---|---|
| Caftaric acid | 1956 | 1005 | 2868 | 90.8 | 0.5 |
| 1956 | 3815 | 95.1 | 1.1 | ||
| 2934 | 4723 | 94.3 | 0.2 | ||
| Chlorogenic acid | 153.6 | 76.52 | 219.4 | 86.0 | 0.4 |
| 154.1 | 285.6 | 85.7 | 0.2 | ||
| 230.6 | 364.2 | 91.4 | 0.2 | ||
| Caffeic acid | 211.0 | 105.1 | 302.4 | 87.0 | 0.5 |
| 211.1 | 395.1 | 87.2 | 0.1 | ||
| 316.2 | 518.2 | 97.2 | 0.3 | ||
| Chicoric acid | 1529 | 760 | 2229 | 92.1 | 1.0 |
| 1530 | 2994 | 95.8 | 0.4 | ||
| 2293 | 3828 | 100.2 | 0.6 | ||
| Isochlorogenic acid A | 42.38 | 19.06 | 59.34 | 89.0 | 1.9 |
| 41.93 | 80.22 | 90.3 | 0.8 | ||
| 63.85 | 95.61 | 83.4 | 0.5 | ||
| Isochlorogenic acid C | 63.79 | 31.87 | 96.58 | 102.9 | 0.3 |
| 63.74 | 119.9 | 88.0 | 1.6 | ||
| 95.60 | 162.9 | 103.6 | 1.7 |
| Analytes | Injection Volume (±0.2 μL, n = 6) | Detection Wavelength (±2 nm, n = 6) | Flow Rate (±0.02 mL/min, n = 6) | Column Temperature (±2 °C, n = 6) |
|---|---|---|---|---|
| RSD (%) | RSD (%) | RSD (%) | RSD (%) | |
| Caftaric acid | 0.93 | 2.72 | 1.06 | 1.59 |
| Chlorogenic acid | 1.11 | 2.84 | 0.81 | 0.53 |
| Caffeic acid | 0.99 | 2.94 | 0.78 | 0.55 |
| Chicoric acid | 0.79 | 2.32 | 1.26 | 0.95 |
| Isochlorogenic acid A | 1.47 | 2.92 | 4.63 | 4.21 |
| Isochlorogenic acid C | 4.01 | 4.97 | 4.97 | 3.57 |
| Batch No. | Caftaric Acid | Chlorogenic Acid | Caffeic Acid | Chicoric Acid | Isochlorogenic Acid A | Isochloro-Genic Acid C |
|---|---|---|---|---|---|---|
| S1 | 0.3477 | 0.03262 | 0.03590 | 0.3505 | 0.00898 | 0.01670 |
| S2 | 0.2665 | 0.02395 | 0.02205 | 0.3319 | 0.003640 | 0.01232 |
| S3 | 0.2586 | 0.02420 | 0.02363 | 0.2551 | 0.006327 | 0.01271 |
| S4 | 0.2446 | 0.02552 | 0.01872 | 0.3245 | 0.005602 | 0.01517 |
| S5 | 0.5440 | 0.05649 | 0.05507 | 0.4634 | 0.01467 | 0.02685 |
| S6 | 0.2569 | 0.01524 | 0.02944 | 0.1452 | 0.003576 | 0.007548 |
| S7 | 0.3494 | 0.01766 | 0.05695 | 0.2182 | 0.006782 | 0.01527 |
| S8 | 0.1880 | 0.01656 | 0.01055 | 0.1563 | 0.00948 | 0.007377 |
| S9 | 0.2588 | 0.01496 | 0.01815 | 0.2182 | 0.002433 | 0.007565 |
| S10 | 0.2346 | 0.01049 | 0.01867 | 0.1839 | 0.001420 | 0.005318 |
| S11 | 0.3074 | 0.01982 | 0.02314 | 0.3102 | 0.002905 | 0.00858 |
| S12 | 0.3763 | 0.03556 | 0.03408 | 0.3265 | 0.00873 | 0.01664 |
| S13 | 0.4000 | 0.03060 | 0.04232 | 0.3071 | 0.00896 | 0.01924 |
| S14 | 0.2875 | 0.02566 | 0.02477 | 0.2623 | 0.006437 | 0.01400 |
| S15 | 0.2590 | 0.02125 | 0.02641 | 0.2075 | 0.006813 | 0.01500 |
| S16 | 0.3893 | 0.02328 | 0.03983 | 0.3543 | 0.004142 | 0.00998 |
| S17 | 0.2700 | 0.01787 | 0.03060 | 0.1968 | 0.005435 | 0.01207 |
| S18 | 0.2954 | 0.02912 | 0.02821 | 0.2502 | 0.005783 | 0.01185 |
| S19 | 0.2906 | 0.02030 | 0.03558 | 0.2383 | 0.004094 | 0.007988 |
| Sample No. | Batch No. | Origin |
|---|---|---|
| S1 | 1908005 | Henan |
| S2 | 20191117 | Henan |
| S3 | 190801 | Henan |
| S4 | C3312001001 | Henan |
| S5 | 20201001 | Henan |
| S6 | 201110 | Shanxi |
| S7 | 191101 | Shanxi |
| S8 | 190701 | Shanxi |
| S9 | 180804 | Gansu |
| S10 | 180805 | Gansu |
| S11 | 191201 | Gansu |
| S12 | 2007008 | Hebei |
| S13 | 2006067 | Hebei |
| S14 | 2003002 | Hebei |
| S15 | 201101 | Anhui |
| S16 | 200301 | Anhui |
| S17 | 200401309 | Hubei |
| S18 | D20100103 | Hubei |
| S19 | D20030103 | Hubei |
Publisher’s Note: MDPI stays neutral with regard to jurisdictional claims in published maps and institutional affiliations. |
© 2022 by the authors. Licensee MDPI, Basel, Switzerland. This article is an open access article distributed under the terms and conditions of the Creative Commons Attribution (CC BY) license (https://creativecommons.org/licenses/by/4.0/).
Share and Cite
Liu, Z.; Qu, J.; Ke, F.; Zhang, H.; Zhang, Y.; Zhang, Q.; Li, Q.; Bi, K.; Xu, H. Material Basis Elucidation and Quantification of Dandelion through Spectrum–Effect Relationship Study between UHPLC Fingerprint and Antioxidant Activity via Multivariate Statistical Analysis. Molecules 2022, 27, 2632. https://doi.org/10.3390/molecules27092632
Liu Z, Qu J, Ke F, Zhang H, Zhang Y, Zhang Q, Li Q, Bi K, Xu H. Material Basis Elucidation and Quantification of Dandelion through Spectrum–Effect Relationship Study between UHPLC Fingerprint and Antioxidant Activity via Multivariate Statistical Analysis. Molecules. 2022; 27(9):2632. https://doi.org/10.3390/molecules27092632
Chicago/Turabian StyleLiu, Ziru, Jiameng Qu, Fan Ke, Haotian Zhang, Yiwen Zhang, Qian Zhang, Qing Li, Kaishun Bi, and Huarong Xu. 2022. "Material Basis Elucidation and Quantification of Dandelion through Spectrum–Effect Relationship Study between UHPLC Fingerprint and Antioxidant Activity via Multivariate Statistical Analysis" Molecules 27, no. 9: 2632. https://doi.org/10.3390/molecules27092632
APA StyleLiu, Z., Qu, J., Ke, F., Zhang, H., Zhang, Y., Zhang, Q., Li, Q., Bi, K., & Xu, H. (2022). Material Basis Elucidation and Quantification of Dandelion through Spectrum–Effect Relationship Study between UHPLC Fingerprint and Antioxidant Activity via Multivariate Statistical Analysis. Molecules, 27(9), 2632. https://doi.org/10.3390/molecules27092632

