Reaction Products of β-Aminopropioamidoximes Nitrobenzenesulfochlorination: Linear and Rearranged to Spiropyrazolinium Salts with Antidiabetic Activity
Abstract
:1. Introduction
2. Results and Discussion
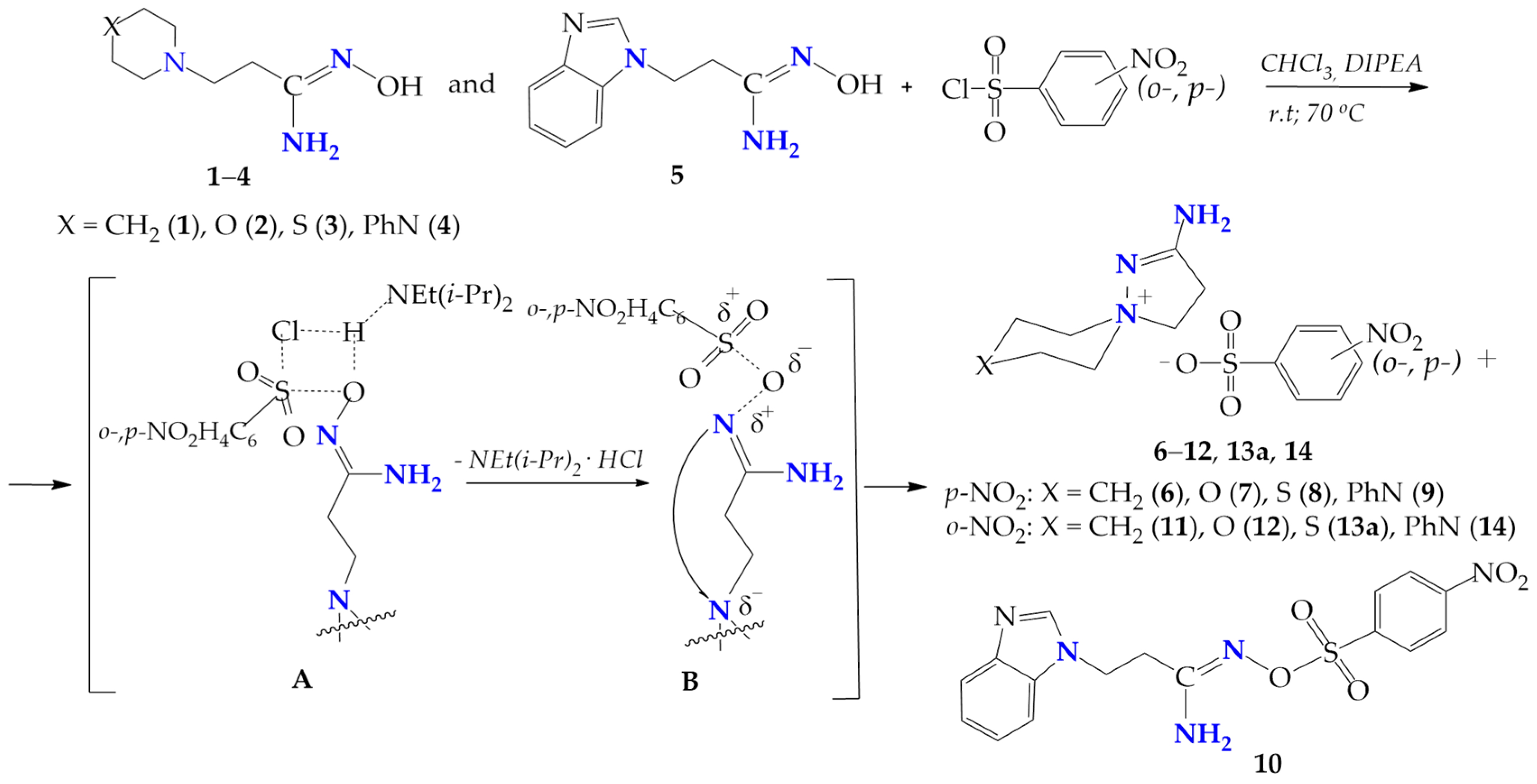
2.1. Synthesis and Spectra
2.2. The In Vitro Antidiabetic Screening of 2-Amino-1,5-diazaspiro[4.5]dec-1-en-5-ammonium Nitrobenzenesulphonates and Chloride Hydrate (6–9, 11–14) and 3-(1H-Benzo[d]imidazol-1-yl)-N′-{[(4-nitrophenyl)sulfonyl]oxy}propanimidamide (10)
2.3. X-ray Diffraction
3. Materials and Methods
3.1. Synthesis
3.1.1. A General Procedure for the Synthesis of 2-Amino-1,5-diazaspiro[4.5]-dec-1-ene-5-ammonium para-Nitrobezenesulfonates (6–9) and 3-(1H-Benzo[d]imidazol-1-yl)-N′-{[(4-nitrobenzene)sulfonyl]oxy}propanimidamide (10)
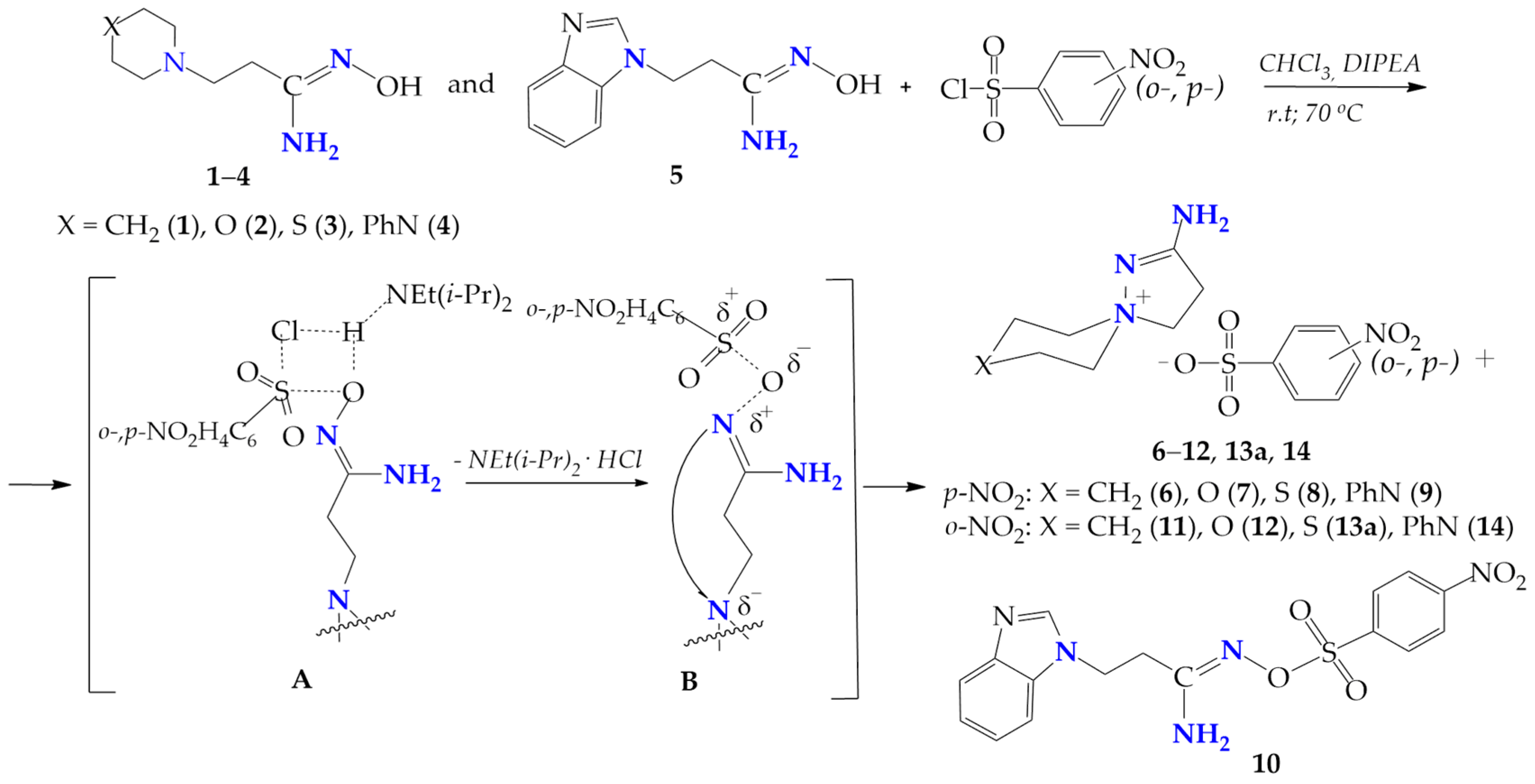
3.1.2. A General Procedure for the Synthesis of 2-Amino-1,5-diazaspiro[4.5]-dec-1-ene-5-ammonium 2-Nitrobezenesulfonate (11–13a, 14) and 2-Amino-8-thia-1,5-diazaspiro[4.5]dec-1-en-5-ium Chloride Hydrate (13b)
3.2. Screening
3.3. Single-Crystal X-ray Diffraction
4. Conclusions
Supplementary Materials
Author Contributions
Funding
Institutional Review Board Statement
Data Availability Statement
Acknowledgments
Conflicts of Interest
Sample Availability
References
- de la Torre, B.G.; Albericio, F. The Pharmaceutical Industry in 2021. An Analysis of FDA Drug Approvals from the Perspective of Molecules. Molecules 2022, 27, 1075. [Google Scholar] [CrossRef] [PubMed]
- Global Diphenyl Pyrazoline Market Research Report 2021—Impact of COVID-19 on the Market. Available online: https://www.businessgrowthreports.com/TOC/19091429 (accessed on 26 March 2022).
- Lévai, A.; Simon, A.; Jenei, A.; Kálmán, G.; Jekő, J.; Tóth, G. Synthesis of spiro-1-pyrazolines by the reaction of exocyclic α,β,γ,δ-unsaturated ketones with diazomethane. Arkivoc 2009, 12, 161–172. [Google Scholar] [CrossRef] [Green Version]
- Dadiboyena, S.; Valente, E.J.; Hamme, A.T., II. Synthesis and Tautomerism of Spiro-Pyrazolines. Tetrahedron Lett. 2014, 5514, 2208–2211. [Google Scholar] [CrossRef] [PubMed] [Green Version]
- Kayukova, L.A.; Uzakova, A.B.; Vologzhanina, A.V.; Akatan, K.; Shaymardan, E.; Kabdrakhmanova, S.K. Rapid Boulton–Katritzky rearrangement of 5-aryl-3-[2-(piperidin-1-yl)ethyl]-1,2,4-oxadiazoles upon exposure to water and HCl. Chem. Heterocycl. Compd. 2018, 54, 643–649. [Google Scholar] [CrossRef]
- Kayukova, L.; Vologzhanina, A.; Praliyev, K.; Dyusembaeva, G.; Baitursynova, G.; Uzakova, A.; Bismilda, V.; Chingissova, L.; Akatan, K. Boulton-Katritzky Rearrangement of 5-Substituted Phenyl-3-[2-(morpholin-1-yl)ethyl]-1,2,4-oxadiazoles as a Synthetic Path to Spiropyrazoline Benzoates and Chloride with Antitubercular Properties. Molecules 2021, 26, 967. [Google Scholar] [CrossRef]
- Kayukova, L.A.; Praliyev, K.D.; Myrzabek, A.B.; Kainarbayeva, Z.N. Arylsulfochlorination of β-aminopropioamidoximes giving 2-aminospiropyrazolylammonium arylsulfonates. Rus. Chem. Bul. (Int. Ed.) 2020, 69, 496–503. [Google Scholar] [CrossRef]
- Kayukova, L.A.; Baitursynova, G.P.; Yergaliyeva, E.M.; Zhaksylyk, B.A.; Yelibayeva, N.S.; Kurmangaliyeva, A.B. Arylsulphonates of spiropyrazolines and O-tosilate-β-(benzimidazol-1-yl)propioamidoxime as the products of β-aminopropioamidoximestosylation. Chem. J. Kaz. 2021, 2, 22–32. [Google Scholar] [CrossRef]
- Alkorta, I.; Elguero, J. The tautomerism of pyrazolines (Dihydropyrazoles). J. Chil. Chem. Soc. 2015, 60, 2966–2970. [Google Scholar] [CrossRef] [Green Version]
- Dadiboyena, S. Cycloadditions and condensations as essential tools in spiropyrazoline synthesis. Eur. J. Med. Chem. 2013, 63, 347–377. [Google Scholar] [CrossRef]
- Sadiq Zubi; Naz Sadia; Hussain Akbar Erum; Aslam Umbreen. Spiropyrazolines: A Worthy Insight into the Recent Strategiesand Synthetic Applications. Lett. Org. Chem. 2019, 16, 357–391. [Google Scholar] [CrossRef]
- Liu, H.; Jia, H.; Wang, B.; Xiao, Y.; Guo, H. Synthesis of Spirobidihydropyrazole through Double 1,3-Dipolar Cycloaddition of Nitrilimines with Allenoates. Org. Lett. 2017, 19, 4714–4717. [Google Scholar] [CrossRef] [PubMed]
- Monteiro, Â.; Gonçalves, L.M.; Santos, M.M.M. Synthesis of novel spiropyrazoline oxindoles and evaluation of cytotoxicity in cancer cell lines. Eur. J. Med. Chem. 2014, 79, 266–272. [Google Scholar] [CrossRef] [PubMed]
- Rouatbi, F.; Mhiri, C.; Askri, M.; Knorr, M.; Rousselin, Y.; Kubicki, M.M. Regioselective Synthesis of Mono- and Dispiropyrazoline Derivatives via 1,3-dipolar Cycloaddition with Nitrilimines. J. Heterocycl. Chem. 2016, 54, 1152–1160. [Google Scholar] [CrossRef]
- Singh, V.; Singh, V.; Batra, S. Straightforward Strategy for the Stereoselective Synthesis of Spiro-Fused (C-5)Isoxazolino- or (C-3)Pyrazolino-(C-3)quinolin-2-ones from Baylis–Hillman Adducts by 1,3-Dipolar Cycloaddition and Reductive Cyclization. Eur. J. Org. Chem. 2008, 2008, 5446–5460. [Google Scholar] [CrossRef]
- Verma, D.; Mobin, S.; Namboothiri, I.N.N. Highly Selective Synthesis of Pyrazole and Spiropyrazoline Phosphonates via Base-Assisted Reaction of the BestmannOhira Reagent with Enones. J. Org. Chem. 2011, 76, 4764–4770. [Google Scholar] [CrossRef]
- Adamus-Grabicka, A.A.; Markowicz-Piasecka, M.; Cieślak, M.; Królewska-Golińska, K.; Hikisz, P.; Kusz, J.; Małecka, M.; Budzisz, E. Biological Evaluation of 3-Benzylidenechromanones and Their Spiropyrazolines-Based Analogues. Molecules 2020, 25, 1613. [Google Scholar] [CrossRef] [Green Version]
- Dandia, A.; Joshi, R.; Sehgal, V.; Sharma, C.; Saha, M. Synthesis of novel 3-spiro indulines containing benz(g) indazole, benz(h)pyrazolo(3,4-b)quinoline and naphthisoxazol moieties. Heterocycl. Commun. 1996, 2, 281–286. [Google Scholar] [CrossRef]
- Ibrahim, M.N.; El-Messmary, M.; Elarfi, M.G.A. Synthesis of Spiro Heterocyclic Compounds. E-J. Chem. 2010, 7, 55–58. [Google Scholar] [CrossRef]
- Toth, G.; Szollosy, A. Synthesis and Stereochemistry of Spiropyrazolines. J. Chem. Soc. Perkin Trans. II 1986, 12, 1895–1898. [Google Scholar] [CrossRef]
- Budzisz, E.; Paneth, P.; Geromino, I.; Muzioł, T.; Rozalski, M.; Krajewska, U.; Pipiak, P.; Ponczek, M.B.; Małecka, M.; Kupcewicz, B. The cytotoxic effect of spiroflavanone derivatives, their binding ability to human serum albumin (HSA) and a DFT study on the mechanism of their synthesis. J. Mol. Struct. 2017, 1137, 267–276. [Google Scholar] [CrossRef]
- Farghaly, T.; Abbas, I.; Hassan, W.; Lotfy, M. Study on regioselective synthesis of bioactive bis-spiropyrazolines using molecular orbital calculations. Eur. J. Chem. 2014, 5, 577–583. [Google Scholar] [CrossRef]
- Chowdhury, M.A.; Senboku, H.; Tokuda, M. A New Synthesis of Ring-Fused Alkylidenecyclobutanes by Ring-Enlargement Reaction of Bicyclo[n.1.0]alkylidene Derivatives. Tetrahedron Lett. 2003, 44, 3329–3332. [Google Scholar] [CrossRef]
- Santos, B.S.; Gomes, C.S.B.; Pinho e Melo, T.M.V.D. Synthesis of chiral spiropyrazoline-b-lactams and spirocyclopropyl b-lactams from 6-alkylidenepenicillanates. Tetrahedron 2014, 70, 3812–3821. [Google Scholar] [CrossRef]
- Ning, Y.; Kawahata, M.; Yamaguchi, K.; Otani, Y.; Ohwada, T. Synthesis, Structure and N-N Bonding Character of 1,1-Disubstituted Indazolium Hexafluorophosphate. Chem. Commun. 2018, 54, 1881–1884. [Google Scholar] [CrossRef]
- Kayukova, L.A.; Orazbaeva, M.A.; Gapparova, G.I.; Beketov, K.M.; Espenbetov, A.A.; Faskhutdinov, M.F.; Tashkhodjaev, B.T. Rapid acid hydrolysis of 5-aryl-3-(β-thiomorpholinoethyl)-1,2,4-oxadiazoles. Chem. Heterocycl. Compd. 2010, 46, 879–886. [Google Scholar] [CrossRef]
- Kayukova, L.A.; Yergaliyeva, E.M.; Vologzhanina, A.V. Redetermination of the structure of 2-amino-8-thia-1,5-di aza spiro [4.5]dec-1-en-5-ium chloride monohydrate. Acta Cryst. 2022, E78, 164–168. [Google Scholar] [CrossRef]
- Yergaliyeva, E.M.; Kayukova, L.A.; Bazhykova, K.B.; Gubenko, M.A.; Langer, P. Computational studies of the products of tosylation and para-nitrobenzenesulfochlorination. J. Struct. Chem. 2021, 62, 1969–1975. [Google Scholar] [CrossRef]
- Yergaliyeva, E.M.; Kayukova, L.A.; Gubenko, M.A.; Baitursynova, G.P.; Uzakova, A.B. Free energies of 2-amino-1,5-diazaspiro[4.5]dec-1-en-5-ium chlorides monohydrates and arylsulfonates formation at β-aminopropioamidoximes arylsulfochlorination. Chem. J. Kaz. 2022, 75. submitted. [Google Scholar]
- Akinyede, K.A.; Oyewusi, H.A.; Hughes, G.D.; Ekpo, O.E.; Oguntibeju, O.O. In Vitro Evaluation of the Anti-Diabetic Potential of Aqueous Acetone Helichrysum petiolare Extract (AAHPE) with Molecular Docking Relevance in Diabetes Mellitus. Molecules 2022, 27, 155. [Google Scholar] [CrossRef]
- Sbit, M.; Dupont, L.; Dideberg, O.; Goblet, M.; Dejardin, J.V. Structures de l′amino-3 phényl-1 pyrazoline-2 et de l′amino-3 (m-trifluorométhylphényl)-1 pyrazoline-2. Acta Cryst. 1988, C44, 909–912. [Google Scholar] [CrossRef]
- Claramunt, R.M.; Cozzini, P.; Domiano, P.; Elguero, J.; Forfar, I.; Fruchier, A. Structure of 3-amino-4,5-dihydropyrazoles in acid media: X-ray structure of 3-amino-1-phenyl-4,5-dihydropyrazol-2-ium picrate and the origin of broad signals in 1H NMR spectroscopy. J. Chem. Soc. Perkin Trans. 2 1995, 1875–1881. [Google Scholar] [CrossRef]
- Alabugin, I.V.; Kuhn, L.; Krivoshchapov, N.V.; Mehaffy, P.; Medvedev, M.G. Anomeric effect, hyperconjugation and electrostatics: Lessons from complexity in a classic stereoelectronic phenomenon. Chem. Soc. Rev. 2021, 50, 10212–10252. [Google Scholar] [CrossRef] [PubMed]
- Motherwell, W.D.S.; Shields, G.P.; Allen, F.H. Automated assignment of graph-set descriptors for crystallographically symmetric molecules. Acta. Cryst. 2000, B56, 466–473. [Google Scholar] [CrossRef] [PubMed] [Green Version]
- Battye, T.G.G.; Kontogiannis, L.; Johnson, O.; Powell, H.R.; Leslie, A.G.W. iMOSFLM: A new graphical interface for diffraction-image processing with MOSFLM. Acta Cryst. 2011, D67, 271–278. [Google Scholar] [CrossRef] [Green Version]
- Evans, P. Scaling and assessment of data quality. Acta Cryst. 2006, 62, 72–82. [Google Scholar] [CrossRef] [PubMed]
- Sheldrick, G.M. SHELXT–Integrated space-group and crystal-structure determination. Acta Cryst. 2015, A71, 3–8. [Google Scholar] [CrossRef] [Green Version]
- Sheldrick, G.M. Crystal structure refinement with SHELXL. Acta Cryst. 2015, C71, 3–8. [Google Scholar] [CrossRef]
- Dolomanov, O.V.; Bourhis, L.J.; Gildea, R.J.; Howard, J.A.K.; Puschmann, H. OLEX2: A complete structure solution, refinement and analysis program. J. Appl. Cryst. 2009, 42, 339–341. [Google Scholar] [CrossRef]











| Compd | Yield,% | Time, h | M.p., °C | Rf | Compd | Yield,% | Time, h | M.p., °C | Rf | ||||
|---|---|---|---|---|---|---|---|---|---|---|---|---|---|
| r.t. | 70 °C | r.t. | 70 °C | r.t. | 70 °C | r.t. | 70 °C | ||||||
| 6 | 77 | 46 | 38 | 27 | 151 | 0.12 | 11 | 77 | 75 | 35 | 29 | 153 | 0.05 |
| 7 [7] | 70 | 74 | 120 | 24 | 187–188 | 0.10 | 12 | 93 | 64 | 25 | 24 | 148 | 0.01 |
| 8 | 68 | 47 | 84 | 21 | 230 | 0.10 | 13a | 25 | - | 104 | 24 | 138–140 | 0.08 |
| 9 | 70 | 69 | 60 | 19 | 203 | 0.15 | 13b [26,27] | 25 | 56 | 104 | 24 | >280 | 0.08 |
| 10 | 82 | 36 | 80 | 36 | 158 | 0.75 | 14 | 79 | 81 | 34 | 24 | 185–187 | 0.08 |
| Compd | 6 | 7 | 8 | 9 | 10 | Acarbose |
| α-Amylase activity, % | 46.0 ± 2.8 | 27.7 ± 1.9 | 43.9 ± 2.1 | 42.0 ± 2.3 | 44.1 ± 2.9 | 50.3 ± 1.1 |
| α-Glucosidase activity, % | “0” | 48.1 ± 22.2 | 67.1 ± 3.8 | 36.5 ± 13.2 | 61.0 ± 1.5 | 58.9 ± 1.8 |
| Compd | 11 | 12 | 13a | 13b | 14 | Acarbose |
| α-Amylase activity, % | 17.2 ± 1.2 | 9.6 ± 2.2 | 3.4 ± 1.1 | 8.4 ± 0.8 | 14.3 ± 4.1 | 34.6 ± 0.4 |
| α-Glucosidase activity, % | “0” | 8.7 ± 2.2 | “0” | “0” | 13.0 ± 2.0 | 60.7 ± 0.7 |
| 6 | 7 [7] | 8 | 9 | 11 | 12 | 13a | 14 | |
|---|---|---|---|---|---|---|---|---|
| N1–N2 | 1.470(2) | 1.466(2) | 1.468(2) | 1.468(4) | 1.469(1) | 1.473(2) | 1.460(5) | 1.468(1) |
| N1–C1 | 1.526(2) | 1.514(3) | 1.526(2) | 1.530(4) | 1.513(1) | 1.520(2) | 1.493(7) | 1.518(1) |
| C1–C2 | 1.485(3) | 1.495(3) | 1.497(3) | 1.518(4) | 1.517(2) | 1.513(2) | 1.526(9) | 1.526(2) |
| N2=C | 1.298(2) | 1.299(2) | 1.300(2) | 1.316(3) | 1.311(1) | 1.305(2) | 1.289(6) | 1.300(2) |
| X–CAr | 1.492(4)–1.529(4) | 1.401(3)–1.406(3) | 1.791(3)–1.796(3) | 1.464(4)–1.467(4) | 1.519(1)–1.522(1) | 1.434(2)–1.439(2) | 1.794(5)–1.799(5) | 1.466(1)–1.473(2) |
| d(C...Pz) 1 | 0.302(4) | 0.418(4) | 0.267(3) | 0.425(5) | 0.457(1) | 0.445(2) | 0.450(7) | 0.435(2) |
| CPh–NO2 | 1.472(2) | 1.470(2) | 1.477(2) | 1.474(4) | 1.472(1) | 1.474(2) | 1.454(6) | 1.474(2) |
| CAr-X-CAr | 112.1(2) | 109.7(2) | 98.2(1) | 111.0(2) | 109.83(9) | 110.21(9) | 95.5(2) | 108.43(9) |
| Ω 2 | 8.9(1) | 6.6(1) | 4.9(1) | 6.8(1) | 112.63(4) | 109.74(5) | 113.20(2) | 125.73(5) |
Publisher’s Note: MDPI stays neutral with regard to jurisdictional claims in published maps and institutional affiliations. |
© 2022 by the authors. Licensee MDPI, Basel, Switzerland. This article is an open access article distributed under the terms and conditions of the Creative Commons Attribution (CC BY) license (https://creativecommons.org/licenses/by/4.0/).
Share and Cite
Kayukova, L.; Vologzhanina, A.; Dorovatovskii, P.; Baitursynova, G.; Yergaliyeva, E.; Kurmangaliyeva, A.; Shulgau, Z.; Adekenov, S.; Shaimerdenova, Z.; Akatan, K. Reaction Products of β-Aminopropioamidoximes Nitrobenzenesulfochlorination: Linear and Rearranged to Spiropyrazolinium Salts with Antidiabetic Activity. Molecules 2022, 27, 2181. https://doi.org/10.3390/molecules27072181
Kayukova L, Vologzhanina A, Dorovatovskii P, Baitursynova G, Yergaliyeva E, Kurmangaliyeva A, Shulgau Z, Adekenov S, Shaimerdenova Z, Akatan K. Reaction Products of β-Aminopropioamidoximes Nitrobenzenesulfochlorination: Linear and Rearranged to Spiropyrazolinium Salts with Antidiabetic Activity. Molecules. 2022; 27(7):2181. https://doi.org/10.3390/molecules27072181
Chicago/Turabian StyleKayukova, Lyudmila, Anna Vologzhanina, Pavel Dorovatovskii, Gulnur Baitursynova, Elmira Yergaliyeva, Ayazhan Kurmangaliyeva, Zarina Shulgau, Sergazy Adekenov, Zhanar Shaimerdenova, and Kydymolla Akatan. 2022. "Reaction Products of β-Aminopropioamidoximes Nitrobenzenesulfochlorination: Linear and Rearranged to Spiropyrazolinium Salts with Antidiabetic Activity" Molecules 27, no. 7: 2181. https://doi.org/10.3390/molecules27072181
APA StyleKayukova, L., Vologzhanina, A., Dorovatovskii, P., Baitursynova, G., Yergaliyeva, E., Kurmangaliyeva, A., Shulgau, Z., Adekenov, S., Shaimerdenova, Z., & Akatan, K. (2022). Reaction Products of β-Aminopropioamidoximes Nitrobenzenesulfochlorination: Linear and Rearranged to Spiropyrazolinium Salts with Antidiabetic Activity. Molecules, 27(7), 2181. https://doi.org/10.3390/molecules27072181

