Insight on Mercapto-Coumarins: Synthesis and Reactivity
Abstract
1. Introduction
2. 3-Mercapto-Coumarin
3. Reactivity of 3-Mercapto-Coumarin
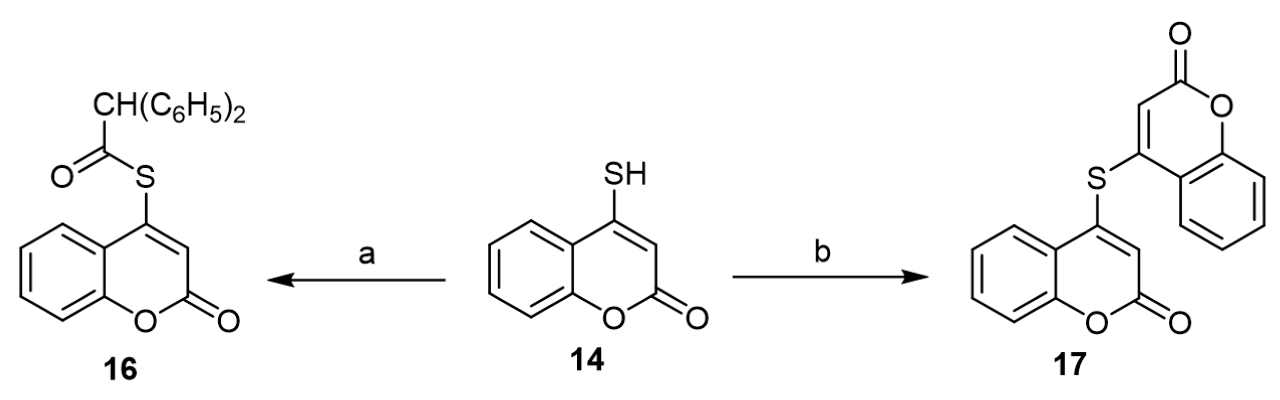
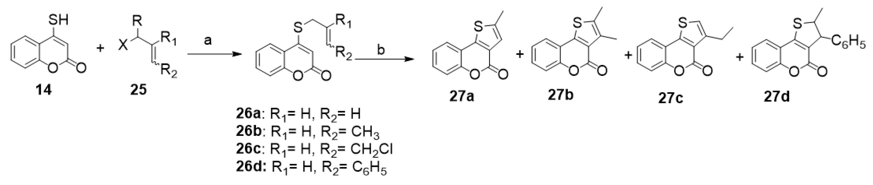
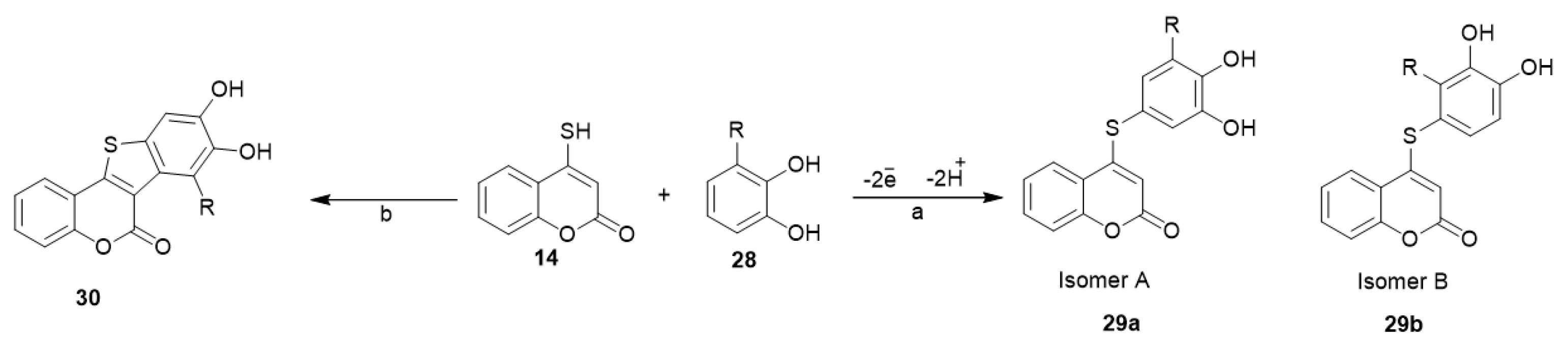
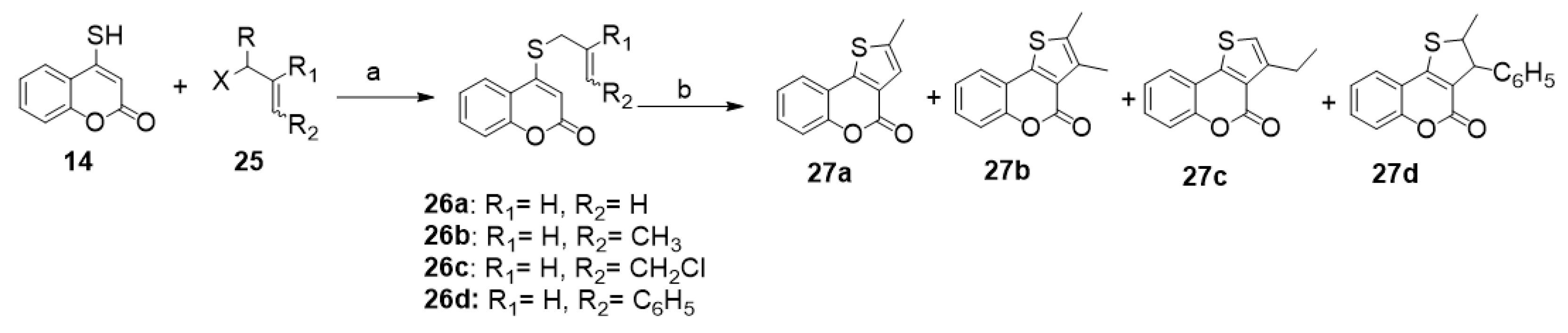
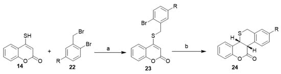
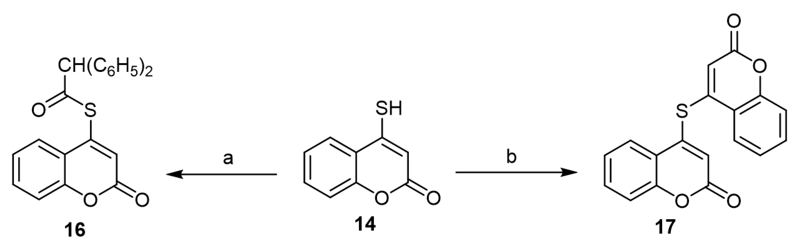
4. 4-Mercapto-Coumarin
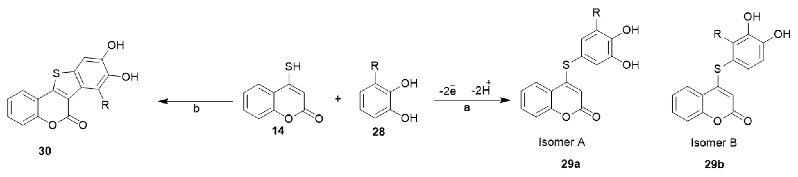
5. Reactivity of 4-Mercapto-Coumarin
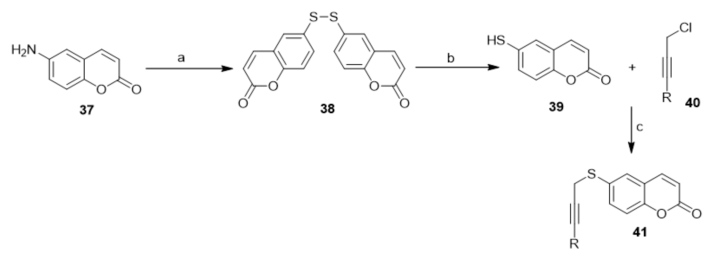
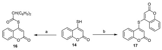
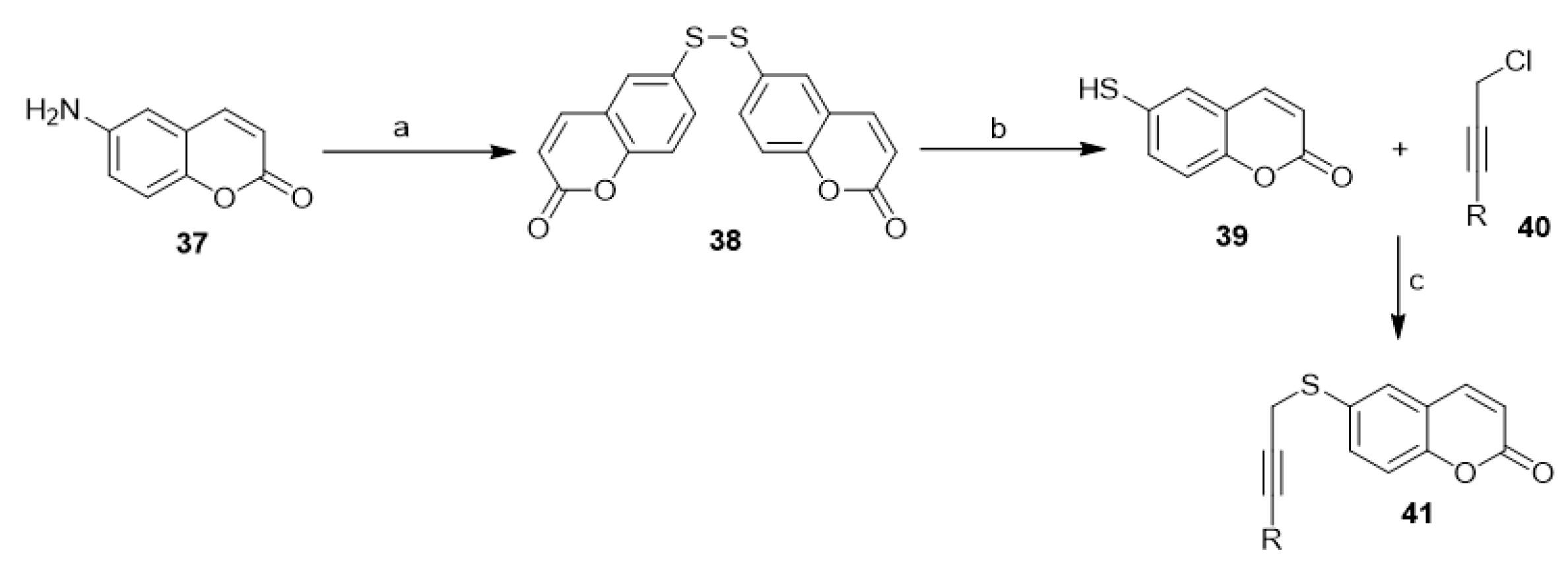
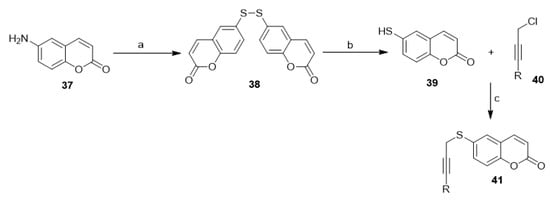
6. 6-Mercapto-Coumarin
7. 7-Mercapto-Coumarin
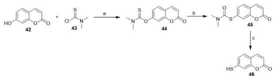
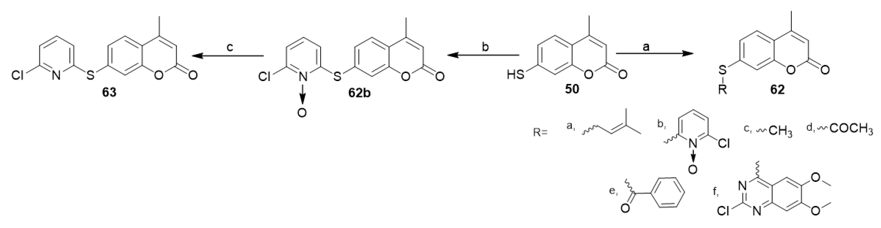
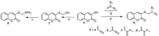
7.1. Synthesis of 7-Mercapto-4-Methyl Coumarin (MMC)
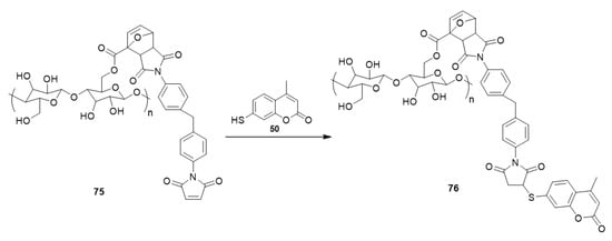
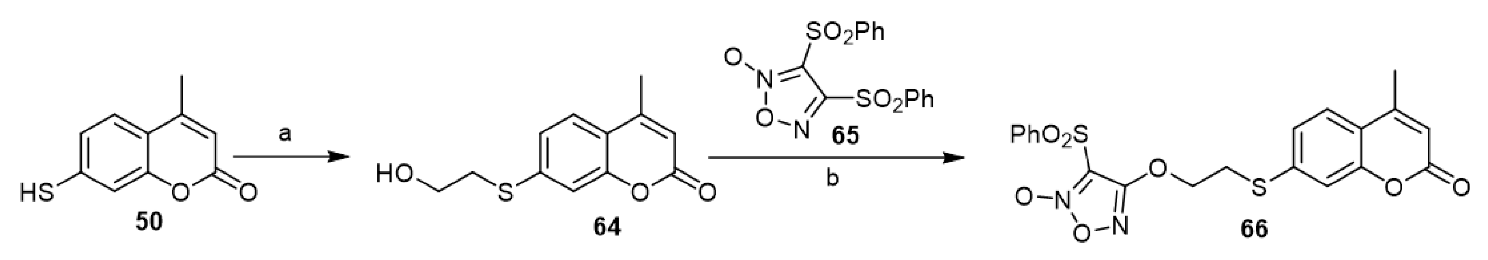
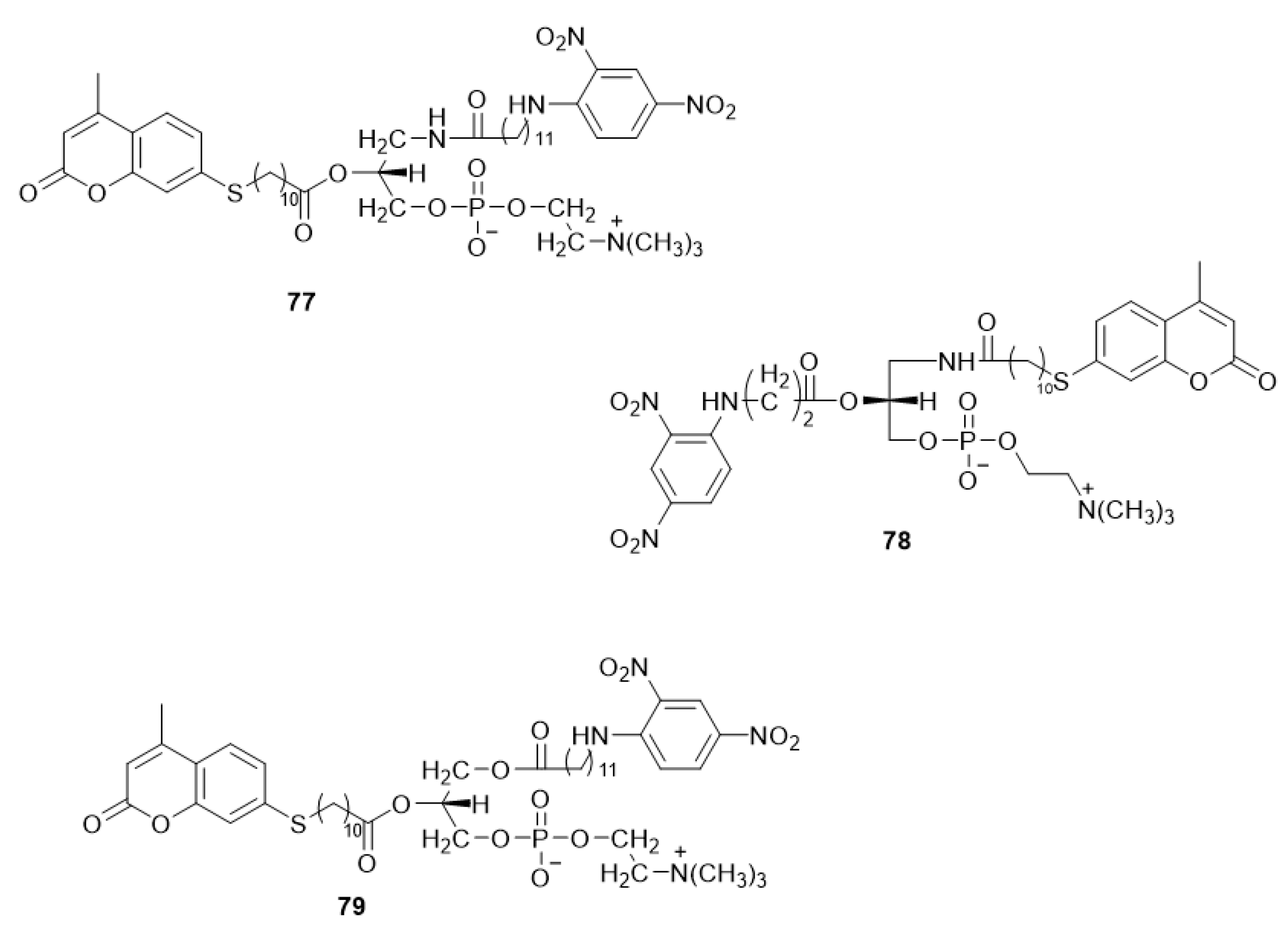
7.2. Reactivity of 7-Mercapto-4-Methyl Coumarin (MMC)
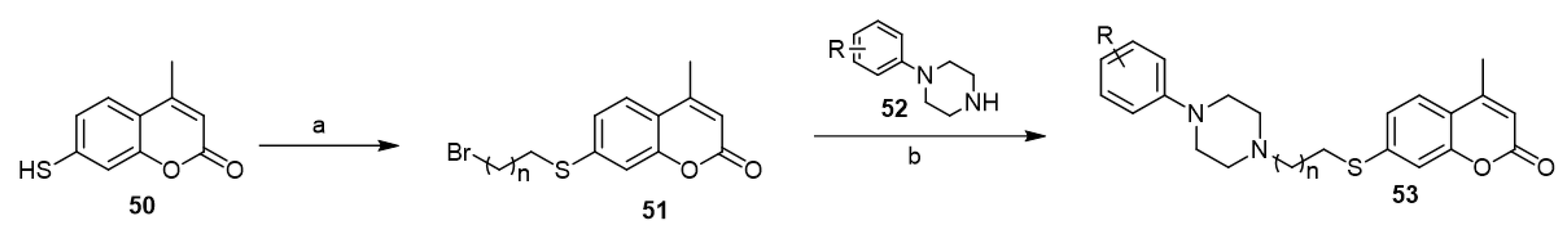
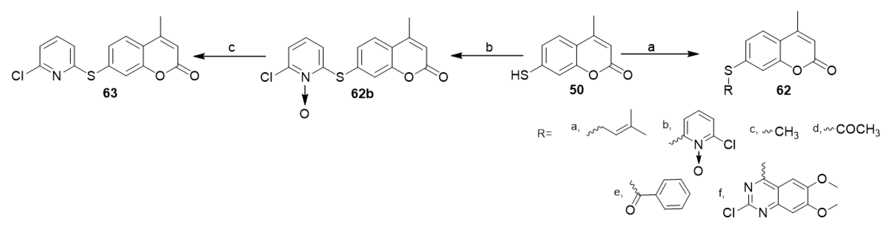
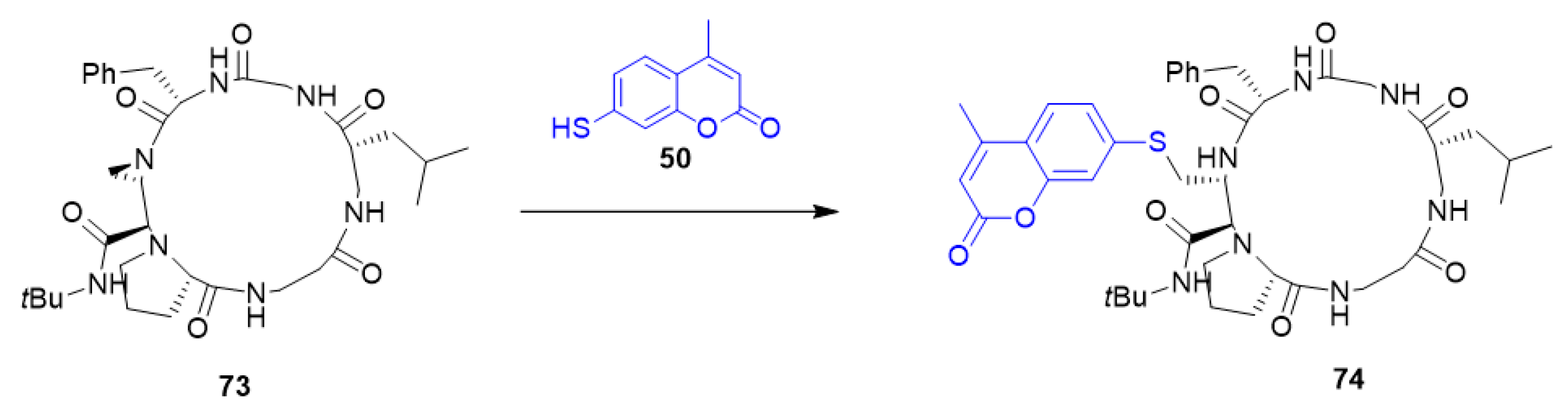
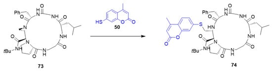
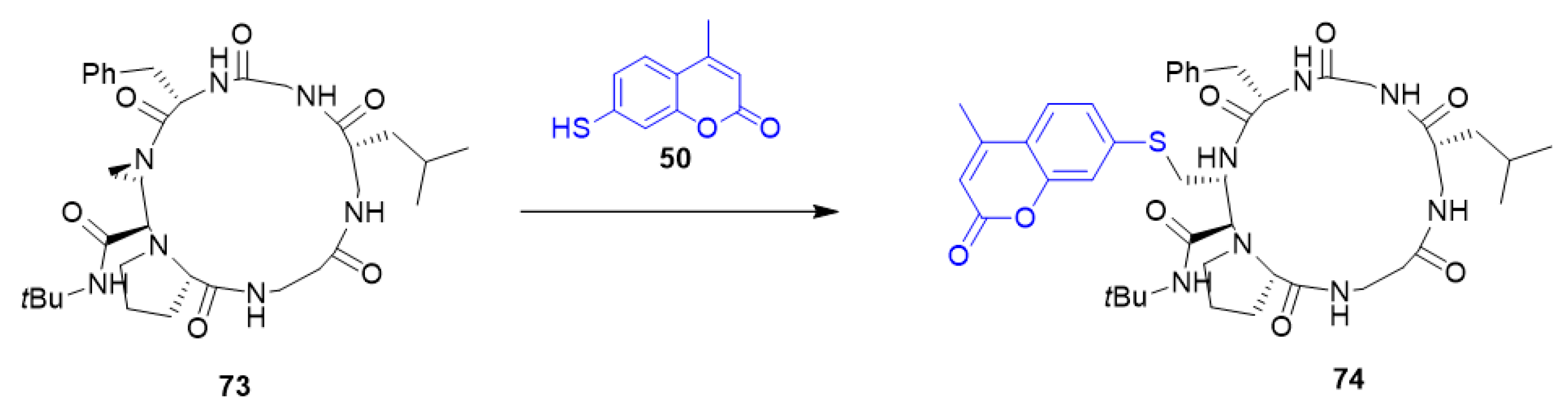
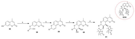
7.2.1. Utilization of 7-Mercapto-4-Methyl Coumarin in the Synthesis of Bioactive Compounds
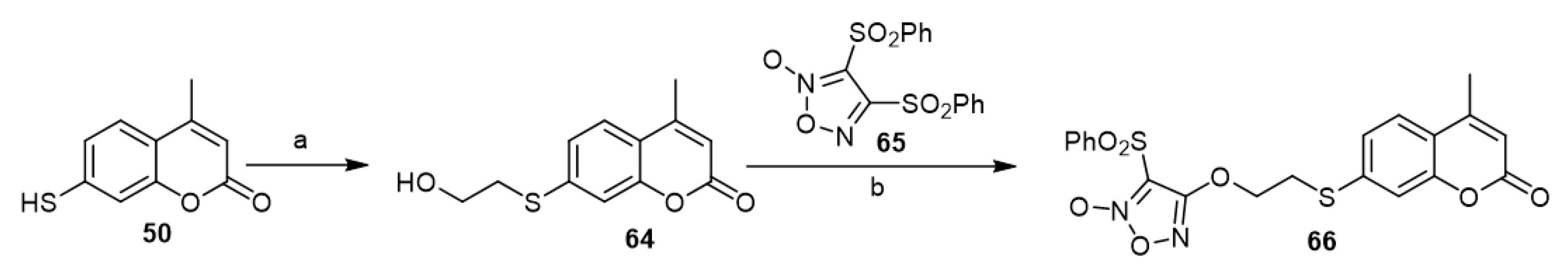
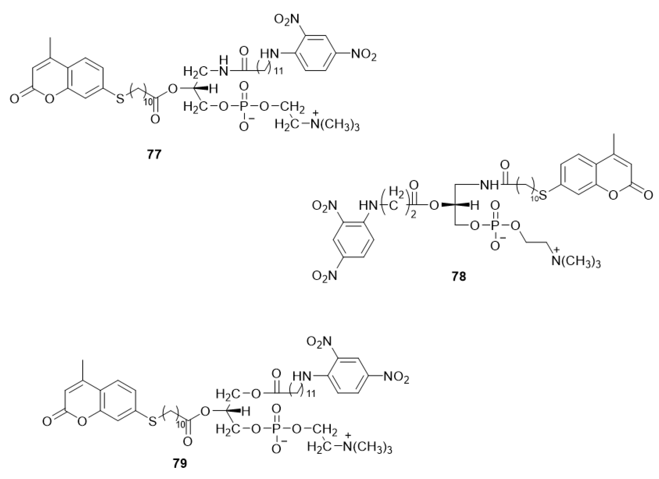
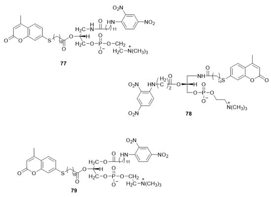
7.2.2. 7-Mercapto-4-Methyl Coumarin as a Fluorophore Probe
7.2.3. 7-Mercapto-4-Methyl Coumarin as Photodimerizable and Healable Reactant
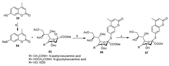
7.2.4. 7-Mercapto-4-Methyl Coumarin for Thioglycosylation Reaction
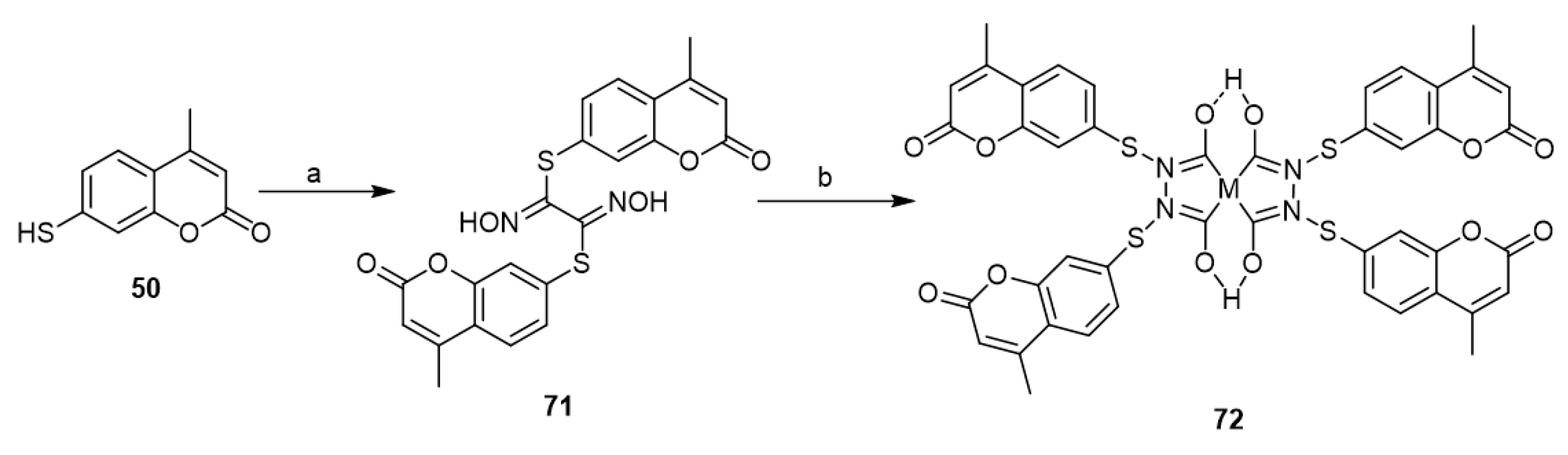
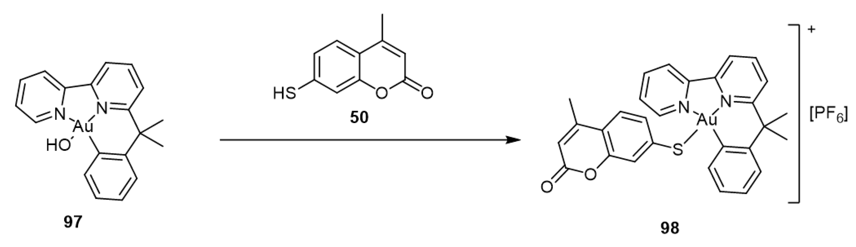
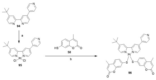
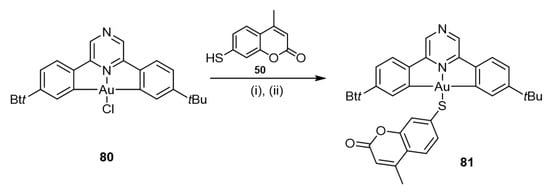
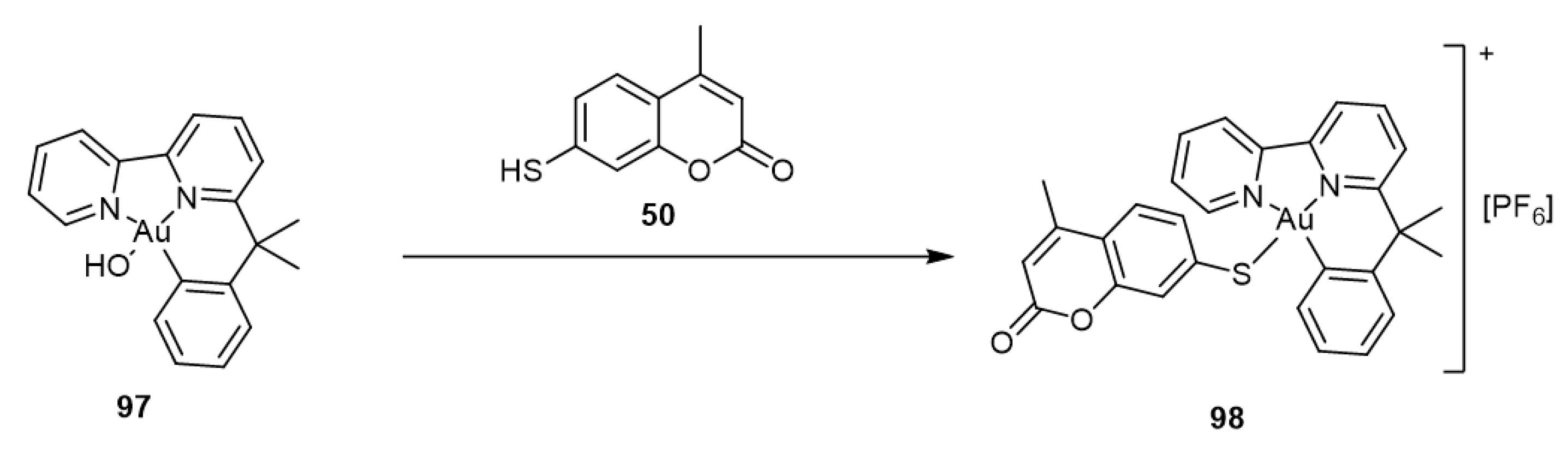
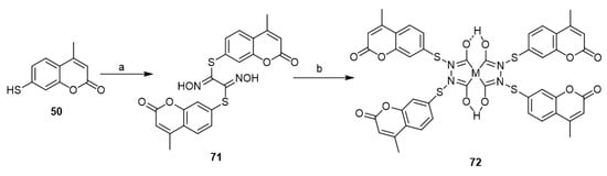
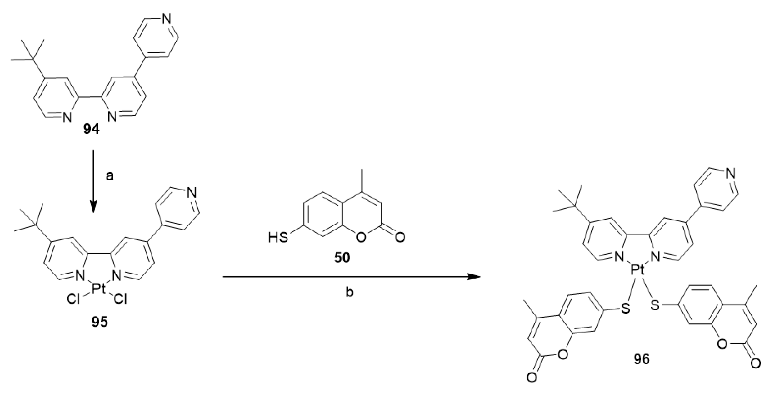
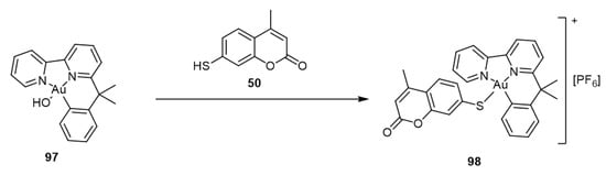
7.2.5. 7-Mercapto-4-Methyl Coumarin as Metal Chelator (Complex Formation)
8. Conclusions
Author Contributions
Funding
Conflicts of Interest
Sample Availability
References
- Lončar, M.; Jakovljević, M.; Šubarić, D.; Pavlić, M.; Buzjak Služek, V.; Cindrić, I.; Molnar, M. Coumarins in Food and Methods of Their Determination. Foods 2020, 9, 645. [Google Scholar] [CrossRef] [PubMed]
- Ballin, N.Z.; Sørensen, A.T. Coumarin Content in Cinnamon Containing Food Products on the Danish Market. Food Control 2014, 38, 198–203. [Google Scholar] [CrossRef]
- Coumarin Perfume Ingredient, Coumarin Fragrance and Essential Oils Benzopyrone. Available online: https://www.fragrantica.com/notes/Coumarin-259.html (accessed on 25 February 2022).
- Stiefel, C.; Schubert, T.; Morlock, G.E. Bioprofiling of Cosmetics with Focus on Streamlined Coumarin Analysis. ACS Omega 2017, 2, 5242–5250. [Google Scholar] [CrossRef] [PubMed]
- Agić, D.; Karnaš, M.; Šubarić, D.; Lončarić, M.; Tomić, S.; Karačić, Z.; Bešlo, D.; Rastija, V.; Molnar, M.; Popović, B.M.; et al. Coumarin Derivatives Act as Novel Inhibitors of Human Dipeptidyl Peptidase III: Combined In Vitro and In Silico Study. Pharmaceuticals 2021, 14, 540. [Google Scholar] [CrossRef]
- Patil, S.; Jalde, S.; Patil, G. Medicinal Significance of Novel Coumarins: A Review. Int. J. Curr. Pharm. Res. 2021, 13, 1–5. [Google Scholar] [CrossRef]
- Zhang, G.; Zheng, H.; Guo, M.; Du, L.; Liu, G.; Wang, P. Synthesis of Polymeric Fluorescent Brightener Based on Coumarin and Its Performances on Paper as Light Stabilizer, Fluorescent Brightener and Surface Sizing Agent. Appl. Surf. Sci. 2016, 367, 167–173. [Google Scholar] [CrossRef]
- Davis, A.B.; Ihde, M.H.; Busenlehner, A.M.; Davis, D.L.; Mia, R.; Panella, J.; Fronczek, F.R.; Bonizzoni, M.; Wallace, K.J. Structural Features of a Family of Coumarin–Enamine Fluorescent Chemodosimeters for Ion Pairs. Inorg. Chem. 2021, 60, 14238–14252. [Google Scholar] [CrossRef]
- Sun, X.; Liu, T.; Sun, J.; Wang, X. Synthesis and Application of Coumarin Fluorescence Probes. RSC Adv. 2020, 10, 10826–10847. [Google Scholar] [CrossRef]
- Oliveira, E.; Bértolo, E.; Núñez, C.; Pilla, V.; Santos, H.M.; Fernández-Lodeiro, J.; Fernández-Lodeiro, A.; Djafari, J.; Capelo, J.L.; Lodeiro, C. Green and Red Fluorescent Dyes for Translational Applications in Imaging and Sensing Analytes: A Dual-Color Flag. ChemistryOpen 2017, 7, 3. [Google Scholar] [CrossRef]
- Bakhtiari, G.; Dehaghi, S.; Soltanali, S. A Novel Method for the Synthesis of Coumarin Laser Dyes Derived from 3-(1H-Benzoimidazol-2-Yl) Coumarin-2-One under Microwave Irradiation. Arab. J. Chem. 2011, 7, 972–975. [Google Scholar] [CrossRef]
- Pereira, T.M.; Franco, D.P.; Vitorio, F.; Kummerle, A.E. Coumarin Compounds in Medicinal Chemistry: Some Important Examples from the Last Years. Curr. Top. Med. Chem. 2018, 18, 124–148. [Google Scholar] [CrossRef] [PubMed]
- Arya, C.G.; Gondru, R.; Li, Y.; Banothu, J. Coumarin–Benzimidazole Hybrids: A Review of Developments in Medicinal Chemistry. Eur. J. Med. Chem. 2022, 227, 113921. [Google Scholar] [CrossRef]
- Qiao, Z.; Jiang, X. Recent Developments in Sulfur–Carbon Bond Formation Reaction Involving Thiosulfates. Org. Biomol. Chem. 2017, 15, 1942–1946. [Google Scholar] [CrossRef] [PubMed]
- Wimmer, A.; König, B. Photocatalytic Formation of Carbon–Sulfur Bonds. Beilstein J. Org. Chem. 2018, 14, 54–83. [Google Scholar] [CrossRef] [PubMed]
- Yang, D.; Yan, Q.; Zhu, E.; Lv, J.; He, W.-M. Carbon–Sulfur Bond Formation via Photochemical Strategies: An Efficient Method for the Synthesis of Sulfur-Containing Compounds. Chin. Chem. Lett. 2021, in press. [Google Scholar] [CrossRef]
- Shen, C.; Zhang, P.; Sun, Q.; Bai, S.; Hor, T.S.A.; Liu, X. Recent Advances in C–S Bond Formation via C–H Bond Functionalization and Decarboxylation. Chem. Soc. Rev. 2014, 44, 291–314. [Google Scholar] [CrossRef]
- Qiyi, X.; Wenjiang, W.; Dayan, H. 3-Thiolcoumarin and Its Derivatives. Acta Chim. Sin. 1987, 45, 344. [Google Scholar]
- Ghosh, S.K. Studies on Thio-Claisen Rearrangement of Propargyl Vinyl Sulphide Moiety in Presence of Aryl Propargyl Ether Segment to Give 4-Aryloxymethyl-2H- Thiopyrano[3,2-c][1]Benzopyran-5(2H)-Ones. IOSR J. Appl. Chem. (IOSR-JAC) 2015, 8, 55–59. [Google Scholar]
- van Rensburg, C.J.; Robinson, R.S. Synthesis of Oxo- and Thio-Analogues of 2-Oxo-2H-Chromen-7-Yl Dimethylcarbamates: Research Article. S. Afr. J. Chem. 2009, 62, 143–148. [Google Scholar] [CrossRef]
- Chen, Y.; Zhang, Q.; Zhang, B.; Xia, P.; Xia, Y.; Yang, Z.-Y.; Kilgore, N.; Wild, C.; Morris-Natschke, S.L.; Lee, K.-H. Anti-AIDS Agents. Part 56: Synthesis and Anti-HIV Activity of 7-Thia-Di-O-(−)-Camphanoyl-(+)-Cis-Khellactone (7-Thia-DCK) Analogs. Bioorg. Med. Chem. 2004, 12, 6383–6387. [Google Scholar] [CrossRef]
- Yadav, L.D.S.; Singh, S.; Rai, V.K. Catalyst-Free, Step and Pot Economic, Efficient Mercaptoacetylative Cyclisation in H2O: Synthesis of 3-Mercaptocoumarins. Green Chem. 2009, 11, 878–882. [Google Scholar] [CrossRef]
- Da-Yan, H.; Qi-Yi, X.; Sheng, J.; Mu-Jian, L. Kinetic Study of The Mannich Reaction of 3-Thiolcoumarin With Diphenylamine. Acta Phys. Chim. Sin. 1990, 6, 699–705. [Google Scholar] [CrossRef]
- Fan, B.; Gao, W.; Lv, X.; Tao, M.; Chen, Y.; Li, G. Process for the Preparation of Benzothiophene-2-Carboxylic Acid from 3-Mercaptocoumarin. 2016. Available online: https://patents.google.com/patent/CN105254611A/nl (accessed on 1 March 2022).
- Huwer, T.; Altmann, H.J.; Grunow, W.; Lenhardt, S.; Przybylski, M.; Eisenbrand, G. Coumarin Mercapturic Acid Isolated from Rat Urine Indicates Metabolic Formation of Coumarin 3,4-Epoxide. Chem. Res. Toxicol. 1991, 4, 586–590. [Google Scholar] [CrossRef] [PubMed]
- Eisenbrand, G.; Otteneder, M.; Tang, W. Synthesis of N-Acetyl-S-(3-Coumarinyl)-Cysteine Methyl Ester and HPLC Analysis of Urinary Coumarin Metabolites. Toxicology 2003, 190, 249–258. [Google Scholar] [CrossRef]
- Peinhardt, G.; Reppel, L. Contributions to the Knowledge of the Coumarins. Communication: Representation of 4-Mercaptocoumarin and the Thioethers Derived from It. Pharmazie 1970, 25, 68–69. [Google Scholar] [PubMed]
- Majumdar, K.C.; Ghosh, S.K. Studies of Bioactive Heterocycles: Facile Thio-Claisen Rearrangement of Propargylthio[1]Benzopyran-2-Ones. Tetrahedron Lett. 2002, 43, 2115–2117. [Google Scholar] [CrossRef]
- Ghosh, S.K. Thio-Claisen Rearrangement: An Expedient Avenue for the Synthesis of 2H-Thiopyrano [3,2-c][1]Benzopyran-5-Ones. IOSR J. Appl. Chem. (IOSR-JAC) 2015, 8, 60–63. [Google Scholar]
- Majumdar, K.C.; Kundu, U.K.; Ghosh, S.K. Studies in Sigmatropic Rearrangement: Synthesis of a [6,6]Pyranothiopyran Ring System by Sequential Claisen Rearrangement and Pyridine Hydrotribromide Mediated Regioselective “6-Endo” Cyclization. Org. Lett. 2002, 4, 2629–2631. [Google Scholar] [CrossRef]
- Eiden, F.; Zimmermann, E. The reaction of 4-hydroxycoumarin, 4-hydroxy-1-thiocoumarin and 4-mercaptocoumarin with diphenylketene. Arch. Pharm. 1976, 309, 619–624. [Google Scholar] [CrossRef]
- Majumdar, K.C.; Biswas, A.; Mukhopadhyay, P. Carbon-Carbon Bond Formation by Radical Cyclisation: Regioselective Synthesis of Coumarin-Annulated Sulfur Heterocycles. Synthesis 2003, 15, 2385–2389. [Google Scholar] [CrossRef]
- Majumdar, K.C.; Biswas, A. Regioselective Synthesis of Thieno[3,2-c][1]Benzopyran-4-Ones by Thio-Claisen Rearrangement. Mon. Chem. 2004, 135, 1001–1007. [Google Scholar] [CrossRef]
- Nematollahi, D.; Azizian, J.; Sargordan-Arani, M.; Hesari, M.; Jameh-Bozorghi, S.; Alizadeh, A.; Fotouhi, L.; Mirza, B. Electrochemical Synthesis of 4-(Dihydroxyphenylthio)-2H-Chromen-2-One Derivatives. Chem. Pharm. Bull. 2008, 56, 1562–1566. [Google Scholar] [CrossRef]
- Nematollahi, D.; Azizian, J.; Arani, M.; Hesari, M.; Mirza, B. A Facile Method for the Synthesis of Thiocoumestan Derivatives. J. Heterocycl. Chem. 2009, 46, 1000–1002. [Google Scholar] [CrossRef]
- Subramaniam, R.; Rao, G.K.; Pai, S.; Ranjan, A. Design, Synthesis, Antibacterial and Invitro Antioxidant Activity of Substituted 2hbenzopyran-2-One Derivatives. Int. J. ChemTech Res. 2011, 3, 555–559. [Google Scholar]
- Majumdar, K.C.; Biswas, P. Synthesis of Bioactive Heterocycles One Pot Regioselective Synthesis of Pyrano Benzo Thiophene Derivatives. Tetrahedron 1999, 55, 1449–1456. [Google Scholar] [CrossRef]
- Ibis, C.; Ayla, S.S.; Bahar, H.; Stasevych, M.V.; Komarovska-Porokhnyavets, O.; Novikov, V. Synthesis, Characterization, and Biological Properties of Novel Piperidinolyl-, Piperidinyl-, and Piperazinyl-Substituted Naphthoquinone Compounds and Their Reactions with Some Thiols. Phosphorus Sulfur Silicon Relat. Elem. 2015, 190, 1422–1433. [Google Scholar] [CrossRef]
- Ibis, C.; Ayla, S.S.; Ozkok, F.; Bahar, H. Synthesis of New Piperazinyl and Piperidinolyl Substituted P-Chloranil Derivatives and Their Reactions with Thiols. Phosphorus Sulfur Silicon Relat. Elem. 2015, 190, 2273–2282. [Google Scholar] [CrossRef]
- Feng, C.-H.; Lu, C.-Y. A New Matrix for Analyzing Low Molecular Mass Compounds and Its Application for Determination of Carcinogenic Areca Alkaloids by Matrix-Assisted Laser Desorption Ionization Time-of-Flight Mass Spectrometry. Anal. Chim. Acta 2009, 649, 230–235. [Google Scholar] [CrossRef]
- Koktan, J.; Královec, K.; Havelek, R.; Kuličková, J.; Řezanka, P.; Kaman, O. Magnetic Oxide Particles with Gold Nanoshells: Synthesis, Properties and Cytotoxic Effects. Colloids Surf. A Physicochem. Eng. Asp. 2017, 520, 922–932. [Google Scholar] [CrossRef]
- González-Béjar, M.; Frenette, M.; Jorge, L.; Scaiano, J.C. 7-Mercapto-4-Methylcoumarin as a Reporter of Thiol Binding to the CdSe Quantum Dot Surface. Chem. Commun. 2009, 3202–3204. [Google Scholar] [CrossRef]
- Galardon, E.; Tomas, A.; Roussel, P.; Artaud, I. New Fluorescent Zinc Complexes: Towards Specific Sensors for Hydrogen Sulfide in Solution. Dalton Trans. 2009, 9126–9130. [Google Scholar] [CrossRef]
- Ge, C.; Wang, H.; Zhang, B.; Yao, J.; Li, X.; Feng, W.; Zhou, P.; Wang, Y.; Fang, J. A Thiol–Thiosulfonate Reaction Providing a Novel Strategy for Turn-on Thiol Sensing. Chem. Commun. 2015, 51, 14913–14916. [Google Scholar] [CrossRef] [PubMed]
- Varandas, P.A.M.M.; Cobb, A.J.A.; Segundo, M.A.; Silva, E.M.P. Emergent Glycerophospholipid Fluorescent Probes: Synthesis and Applications. Bioconjug. Chem. 2020, 31, 417–435. [Google Scholar] [CrossRef] [PubMed]
- Chiu, H.-H.; Shen, M.-Y.; Liu, Y.-T.; Fu, Y.-L.; Chiu, Y.-A.; Chen, Y.-H.; Huang, C.-P.; Li, Y.-K. Diversity of Sugar Acceptor of Glycosyltransferase 1 from Bacillus Cereus and Its Application for Glucoside Synthesis. Appl. Microbiol. Biotechnol. 2016, 100, 4459–4471. [Google Scholar] [CrossRef]
- Kamil Reza, K.; Wang, J.; Vaidyanathan, R.; Dey, S.; Wang, Y.; Trau, M. Electrohydrodynamic-Induced SERS Immunoassay for Extensive Multiplexed Biomarker Sensing. Small 2017, 13, 1602902. [Google Scholar] [CrossRef]
- Cara, E.; Mandrile, L.; Ferrarese Lupi, F.; Giovannozzi, A.M.; Dialameh, M.; Portesi, C.; Sparnacci, K.; De Leo, N.; Rossi, A.M.; Boarino, L. Influence of the Long-Range Ordering of Gold-Coated Si Nanowires on SERS. Sci. Rep. 2018, 8, 11305. [Google Scholar] [CrossRef]
- Sacco, A.; Imbraguglio, D.; Giovannozzi, A.M.; Portesi, C.; Rossi, A.M. Development of a Candidate Reference Sample for the Characterization of Tip-Enhanced Raman Spectroscopy Spatial Resolution. RSC Adv. 2018, 8, 27863–27869. [Google Scholar] [CrossRef]
- Reza, K.K.; Dey, S.; Wuethrich, A.; Sina, A.A.I.; Korbie, D.; Wang, Y.; Trau, M. Parallel Profiling of Cancer Cells and Proteins Using a Graphene Oxide Functionalized Ac-EHD SERS Immunoassay. Nanoscale 2018, 10, 18482–18491. [Google Scholar] [CrossRef]
- Kumar, V.; Kukkar, D.; Hashemi, B.; Kim, K.-H.; Deep, A. Advanced Functional Structure-Based Sensing and Imaging Strategies for Cancer Detection: Possibilities, Opportunities, Challenges, and Prospects. Adv. Funct. Mater. 2019, 29, 1807859. [Google Scholar] [CrossRef]
- Sacco, A.; Mangino, S.; Portesi, C.; Vittone, E.; Rossi, A.M. Novel Approaches in Tip-Enhanced Raman Spectroscopy: Accurate Measurement of Enhancement Factors and Pesticide Detection in Tip Dimer Configuration. J. Phys. Chem. C 2019, 123, 24723–24730. [Google Scholar] [CrossRef]
- Mandrile, L.; Giovannozzi, A.M.; Sacco, A.; Martra, G.; Rossi, A.M. Flexible and Transparent Substrates Based on Gold Nanoparticles and TiO2 for in Situ Bioanalysis by Surface-Enhanced Raman Spectroscopy. Biosensors 2019, 9, 145. [Google Scholar] [CrossRef] [PubMed]
- Stepula, E.; König, M.; Wang, X.-P.; Levermann, J.; Schimming, T.; Kasimir-Bauer, S.; Schilling, B.; Schlücker, S. Localization of PD-L1 on Single Cancer Cells by ISERS Microscopy with Au/Au Core/Satellite Nanoparticles. J. Biophotonics 2020, 13, e201960034. [Google Scholar] [CrossRef] [PubMed]
- D’Agostino, A.; Giovannozzi, A.M.; Mandrile, L.; Sacco, A.; Rossi, A.M.; Taglietti, A. In Situ Seed-Growth Synthesis of Silver Nanoplates on Glass for the Detection of Food Contaminants by Surface Enhanced Raman Scattering. Talanta 2020, 216, 120936. [Google Scholar] [CrossRef] [PubMed]
- Fu, K.; Wang, X.; Yuan, X.; Wang, D.; Mi, X.; Tan, X.; Zhang, Y. Size-Dependent Penetration of Gold Nanoprobes into Fixed Cells. ACS Omega 2021, 6, 3791–3799. [Google Scholar] [CrossRef]
- Bard, A.; Rondon, R.; Marquez, D.T.; Lanterna, A.E.; Scaiano, J.C. How Fast Can Thiols Bind to the Gold Nanoparticle Surface? Photochem. Photobiol. 2018, 94, 1109–1115. [Google Scholar] [CrossRef]
- Reddy, K.R.; El-Zein, A.; Airey, D.W.; Alonso-Marroquin, F.; Schubel, P.; Manalo, A. Self-Healing Polymers: Synthesis Methods and Applications. Nano-Struct. Nano-Objects 2020, 23, 100500. [Google Scholar] [CrossRef]
- Gulyuz, S.; Bayram, D.; Ozkose, U.U.; Bolat, Z.B.; Kocak, P.; Saka, O.M.; Devrim, B.; Parlak Khalily, M.; Telci, D.; Sahin, F.; et al. Synthesis, Biocompatibility and Gene Encapsulation of Poly(2-Ethyl 2-Oxazoline)-Dioleoyl Phosphatidylethanolamine (PEtOx-DOPE) and Post-Modifications with Peptides and Fluorescent Dye Coumarin. Int. J. Polym. Mater. Polym. Biomater. 2021, 70, 981–993. [Google Scholar] [CrossRef]
- Gospodova, T.; Rashkova, J.; Ivanova, D.; Viteva, L.; Duprat, C.; Marie-Rose, M.; Bakalova, S.; Kaneti, J. Synthetic Potentials of Heptamethine Merocyanine Dyes Containing an Active Chlorine Atom: Reactivity towards Nucleophiles. Eur. J. Org. Chem. 2009, 2009, 5063–5071. [Google Scholar] [CrossRef]
- Cara, E.; Mandrile, L.; Sacco, A.; Giovannozzi, A.M.; Rossi, A.M.; Celegato, F.; Leo, N.D.; Hönicke, P.; Kayser, Y.; Beckhoff, B.; et al. Towards a Traceable Enhancement Factor in Surface-Enhanced Raman Spectroscopy. J. Mater. Chem. C 2020, 8, 16513–16519. [Google Scholar] [CrossRef]
- Chen, Y.; Zhou, J.; Wang, H.; Xia, Y.; Yang, Z.Y.; Xia, P. Synthesis and Anti-HBV Activity of S-Substituted 7-Mercapto-4-Methylcoumarin Analogs. Chin. Chem. Lett. 2008, 19, 925–927. [Google Scholar] [CrossRef]
- Newman, M.S.; Karnes, H.A. The Conversion of Phenols to Thiophenols via Dialkylthiocarbamates. J. Org. Chem. 1966, 12, 3980–3984. [Google Scholar] [CrossRef]
- Xu, S.-Q.; Yan, X.; Chen, Y.; Xia, P.; Qian, K.; Yu, D.; Xia, Y.; Yang, Z.-Y.; Morris-Natschke, S.L.; Lee, K.-H. Anti-AIDS Agents 84. Synthesis and Anti-Human Immunodeficiency Virus (HIV) Activity of 2′-Monomethyl-4-Methyl- and 1′-Thia-4-Methyl-(3′R,4′R)-3′,4′-Di-O-(S)-Camphanoyl-(+)-Cis-Khellactone (DCK) Analogs. Bioorg. Med. Chem. 2010, 18, 7203–7211. [Google Scholar] [CrossRef] [PubMed][Green Version]
- Xie, S.-S.; Wang, X.-B.; Li, J.-Y.; Kong, L.-Y. Design, Synthesis and Biological Evaluation of Novel 7-Mercaptocoumarin Derivatives as A1-Adrenoceptor Antagonists. Chem. Pharm. Bull. 2013, 61, 16–24. [Google Scholar] [CrossRef]
- Rodighiero, P.; Pastorini, G.; Chilin, A.; Marotto, A. Synthesis of Methyl Derivatives of Linear and Angular Thienocoumarins and Thiopyranocoumarins. J. Heterocycl. Chem. 1998, 35, 847–852. [Google Scholar] [CrossRef]
- Boehm, H.-J.; Boehringer, M.; Bur, D.; Gmuender, H.; Huber, W.; Klaus, W.; Kostrewa, D.; Kuehne, H.; Luebbers, T.; Meunier-Keller, N.; et al. Novel Inhibitors of DNA Gyrase: 3D Structure Based Biased Needle Screening, Hit Validation by Biophysical Methods, and 3D Guided Optimization. A Promising Alternative to Random Screening. J. Med. Chem. 2000, 43, 2664–2674. [Google Scholar] [CrossRef] [PubMed]
- Chen, Y.; Liu, H.-R.; Liu, H.-S.; Cheng, M.; Xia, P.; Qian, K.; Wu, P.-C.; Lai, C.-Y.; Xia, Y.; Yang, Z.-Y.; et al. Antitumor Agents 292. Design, Synthesis and Pharmacological Study of S- and O-Substituted 7-Mercapto- or Hydroxy-Coumarins and Chromones as Potent Cytotoxic Agents. Eur. J. Med. Chem. 2012, 49, 74–85. [Google Scholar] [CrossRef] [PubMed]
- Liu, M.-M.; Chen, X.-Y.; Huang, Y.-Q.; Feng, P.; Guo, Y.-L.; Yang, G.; Chen, Y. Hybrids of Phenylsulfonylfuroxan and Coumarin as Potent Antitumor Agents. J. Med. Chem. 2014, 57, 9343–9356. [Google Scholar] [CrossRef] [PubMed]
- Guo, W.; Tan, W.; Zhao, M.; Zheng, L.; Tao, K.; Chen, D.; Fan, X. Direct Photocatalytic S-H Bond Cyanation with Green “CN” Source. J. Org. Chem. 2018, 83, 6580–6588. [Google Scholar] [CrossRef]
- Lanterna, A.E.; González-Béjar, M.; Frenette, M.; Scaiano, J.C. Photophysics of 7-Mercapto-4-Methylcoumarin and Derivatives: Complementary Fluorescence Behaviour to 7-Hydroxycoumarins. Photochem. Photobiol. Sci. 2017, 16, 1284–1289. [Google Scholar] [CrossRef]
- Bae, J.; Choi, J.; Park, T.J.; Chang, S.-K. Reaction-Based Colorimetric and Fluorogenic Signaling of Hydrogen Sulfide Using a 7-Nitro-2,1,3-Benzoxadiazole–Coumarin Conjugate. Tetrahedron Lett. 2014, 55, 1171–1174. [Google Scholar] [CrossRef]
- Brogan, A.P.; Widger, W.R.; Kohn, H. Bicyclomycin Fluorescent Probes: Synthesis and Biochemical, Biophysical, and Biological Properties. J. Org. Chem. 2003, 68, 5575–5587. [Google Scholar] [CrossRef] [PubMed]
- Mukherjee, S.; Brooks, W.L.A.; Dai, Y.; Sumerlin, B.S. Doubly-Dynamic-Covalent Polymers Composed of Oxime and Oxanorbornene Links. Polym. Chem. 2016, 7, 1971–1978. [Google Scholar] [CrossRef]
- Liu, X.; Wei, H.; Yan, M.; Hai, G.; Li, Q.; Yan, R.; Zhao, S.; Zhao, X.; Sun, X.; Zhang, T. The Two-Steps Reaction Fluorescent Probe for the Selective Detection of Cysteine and Its Applications. Chem. Biodivers. 2021, 19, e202100862. [Google Scholar] [CrossRef] [PubMed]
- Özer, M.; Kandaz, M.; Ozkaya, A.; Bulut, M.; Güney, O. Fluorescent Vic-Dioxime-Type Ligand and Its Mono- and Dinuclear Complexes: The Preparation, Spectroscopy, and Electrochemistry of Its Various Complexes. Dye. Pigment. 2008, 76, 125–132. [Google Scholar] [CrossRef]
- Hili, R.; Rai, V.; Yudin, A.K. Macrocyclization of Linear Peptides Enabled by Amphoteric Molecules. J. Am. Chem. Soc. 2010, 132, 2889–2891. [Google Scholar] [CrossRef]
- Navarro, J.R.G.; Conzatti, G.; Yu, Y.; Fall, A.B.; Mathew, R.; Edén, M.; Bergström, L. Multicolor Fluorescent Labeling of Cellulose Nanofibrils by Click Chemistry. Biomacromolecules 2015, 16, 1293–1300. [Google Scholar] [CrossRef]
- Keshavarz, A.; Zelaya, L.; Singh, J.; Ranganathan, R.; Hajdu, J. Activity-Based Targeting of Secretory Phospholipase A2 Enzymes: A Fatty-Acid-Binding-Protein Assisted Approach. Chem. Phys. Lipids 2017, 202, 38–48. [Google Scholar] [CrossRef][Green Version]
- Currie, L.; Fernandez-Cestau, J.; Rocchigiani, L.; Bertrand, B.; Lancaster, S.J.; Hughes, D.L.; Duckworth, H.; Jones, S.T.E.; Credgington, D.; Penfold, T.J.; et al. Luminescent Gold(III) Thiolates: Supramolecular Interactions Trigger and Control Switchable Photoemissions from Bimolecular Excited States. Chem. Eur. J. 2017, 23, 105–113. [Google Scholar] [CrossRef]
- Reddy, T.S.; Hwang, J.; Choi, M. Aggregation Induced Emission Properties of Naphthalimide–Coumarin Conjugates with Various Intermolecular Linkages. Dyes Pigment. 2018, 158, 412–419. [Google Scholar] [CrossRef]
- Zhao, Y.H.; Vuluga, D.; Lecamp, L.; Burel, F. Photoinitiated Thiol–Epoxy Addition for the Preparation of Photoinduced Self-Healing Fatty Coatings. RSC Adv. 2016, 6, 32098–32105. [Google Scholar] [CrossRef]
- Stubbs, K.A.; Macauley, M.S.; Vocadlo, D.J. A Highly Concise Preparation of O-Deacetylated Arylthioglycosides of N-Acetyl-D-Glucosamine from 2-Acetamido-3,4,6-Tri-O-Acetyl-2-Deoxy-Alpha-D-Glucopyranosyl Chloride and Aryl Thiols or Disulfides. Carbohydr. Res. 2006, 341, 1764–1769. [Google Scholar] [CrossRef] [PubMed]
- Rodrigue, J.; Ganne, G.; Blanchard, B.; Saucier, C.; Giguère, D.; Shiao, T.C.; Varrot, A.; Imberty, A.; Roy, R. Aromatic Thioglycoside Inhibitors against the Virulence Factor LecA from Pseudomonas Aeruginosa. Org. Biomol. Chem. 2013, 11, 6906–6918. [Google Scholar] [CrossRef]
- Tanaka, M.; Kai, T.; Sun, X.-L.; Takayanagi, H.; Uda, Y.; Furuhata, K. Synthesis of Fluorescent 4-Methyl-7-Thiocoumaryl S-Glycosides of Sialic Acid. Chem. Pharm. Bull. 1995, 43, 1844–1848. [Google Scholar] [CrossRef]
- Kurdziel, M.; Kopeć, M.; Pâris, A.; Lewiński, K.; Lafite, P.; Daniellou, R. Thioglycoligation of Aromatic Thiols Using a Natural Glucuronide Donor. Org. Biomol. Chem. 2020, 18, 5582–5585. [Google Scholar] [CrossRef] [PubMed]
- Yoshida, N.; Fujieda, T.; Kobayashi, A.; Ishihara, M.; Noguchi, M.; Shoda, S. Direct Introduction of Detachable Fluorescent Tag into Oligosaccharides. Chem. Lett. 2013, 42, 1038–1039. [Google Scholar] [CrossRef]
- Rank, M.; Zabel, M.; Winter, R.F. Pyridine vs. Bipyridine Coordination in PtCl2 Complexes of 4-TButyl-4’-(4-Pyridinyl)-2, 2’-Bipyridine. Z. Anorg. Allg. Chem. 2013, 639, 2565–2574. [Google Scholar] [CrossRef]
- Giannini, F.; Paul, L.E.H.; Furrer, J.; Therrien, B.; Süss-Fink, G. Highly Cytotoxic Diruthenium Trithiolato Complexes of the Type [(H6-p-MeC6H4Pri)2Ru2(Μ2-SR)3]+: Synthesis, Characterization, Molecular Structure and in Vitro Anticancer Activity. New J. Chem. 2013, 37, 3503–3511. [Google Scholar] [CrossRef]
- Mebi, C.; Trujillo, J.; Bhuiyan, A. Diironcarbonyl-Coumarin Complex: Preparation, Intramolecular Electron Transfer, and Electro-Generation of Hydrogen. Open Chem. 2012, 10, 1218–1222. [Google Scholar] [CrossRef]
- Carboni, S.; Zucca, A.; Stoccoro, S.; Maiore, L.; Arca, M.; Ortu, F.; Artner, C.; Keppler, B.K.; Meier-Menches, S.M.; Casini, A.; et al. New Variations on the Theme of Gold(III) C∧N∧N Cyclometalated Complexes as Anticancer Agents: Synthesis and Biological Characterization. Inorg. Chem. 2018, 57, 14852–14865. [Google Scholar] [CrossRef]
- Aslı Esenpınar, A.; Bulut, M. Synthesis and Characterization of Metal-Free and Metallo-Phthalocyanines with Four Pendant Coumarinthio/Oxy-Substituents. Dye. Pigment. 2008, 76, 249–255. [Google Scholar] [CrossRef]
- der Versuche, B. 4,7-Dimethyl-Coumarin-6-Sulfonsaure. Krueger Chem. Ber. 1923, 56, 481–488. [Google Scholar]






































Publisher’s Note: MDPI stays neutral with regard to jurisdictional claims in published maps and institutional affiliations. |
© 2022 by the authors. Licensee MDPI, Basel, Switzerland. This article is an open access article distributed under the terms and conditions of the Creative Commons Attribution (CC BY) license (https://creativecommons.org/licenses/by/4.0/).
Share and Cite
El-Sawy, E.R.; Abdelwahab, A.B.; Kirsch, G. Insight on Mercapto-Coumarins: Synthesis and Reactivity. Molecules 2022, 27, 2150. https://doi.org/10.3390/molecules27072150
El-Sawy ER, Abdelwahab AB, Kirsch G. Insight on Mercapto-Coumarins: Synthesis and Reactivity. Molecules. 2022; 27(7):2150. https://doi.org/10.3390/molecules27072150
Chicago/Turabian StyleEl-Sawy, Eslam Reda, Ahmed Bakr Abdelwahab, and Gilbert Kirsch. 2022. "Insight on Mercapto-Coumarins: Synthesis and Reactivity" Molecules 27, no. 7: 2150. https://doi.org/10.3390/molecules27072150
APA StyleEl-Sawy, E. R., Abdelwahab, A. B., & Kirsch, G. (2022). Insight on Mercapto-Coumarins: Synthesis and Reactivity. Molecules, 27(7), 2150. https://doi.org/10.3390/molecules27072150

