The Current Directions of Searching for Antiparasitic Drugs
Abstract
:1. Introduction
2. Analogs of Popular Drugs
2.1. Linezolid Analogs
2.2. Amiodarone Analogs
2.3. Ergotamine Analogs
2.4. Auranofin
2.5. New Activity of Promethazine
3. Currently Used Drugs with Newly Discovered Antiparasitic Properties
3.1. Ivermectin
3.2. Diethylcarbamazine
3.3. Moxidectin and Selamectin
3.4. Flubendazole
3.5. Oxfendazole
3.6. Emodepside
3.7. Triclabendazole
4. New Compounds with Potential Antiparasitic Activity
4.1. Analogs of Bisnaphthalimidopropyl (BNIP)
4.2. Analogs of Trifluoromethylated Hybrids of Pyrazole
4.3. Derivatives of Aurone
4.4. Analogs of Naphthoquinone
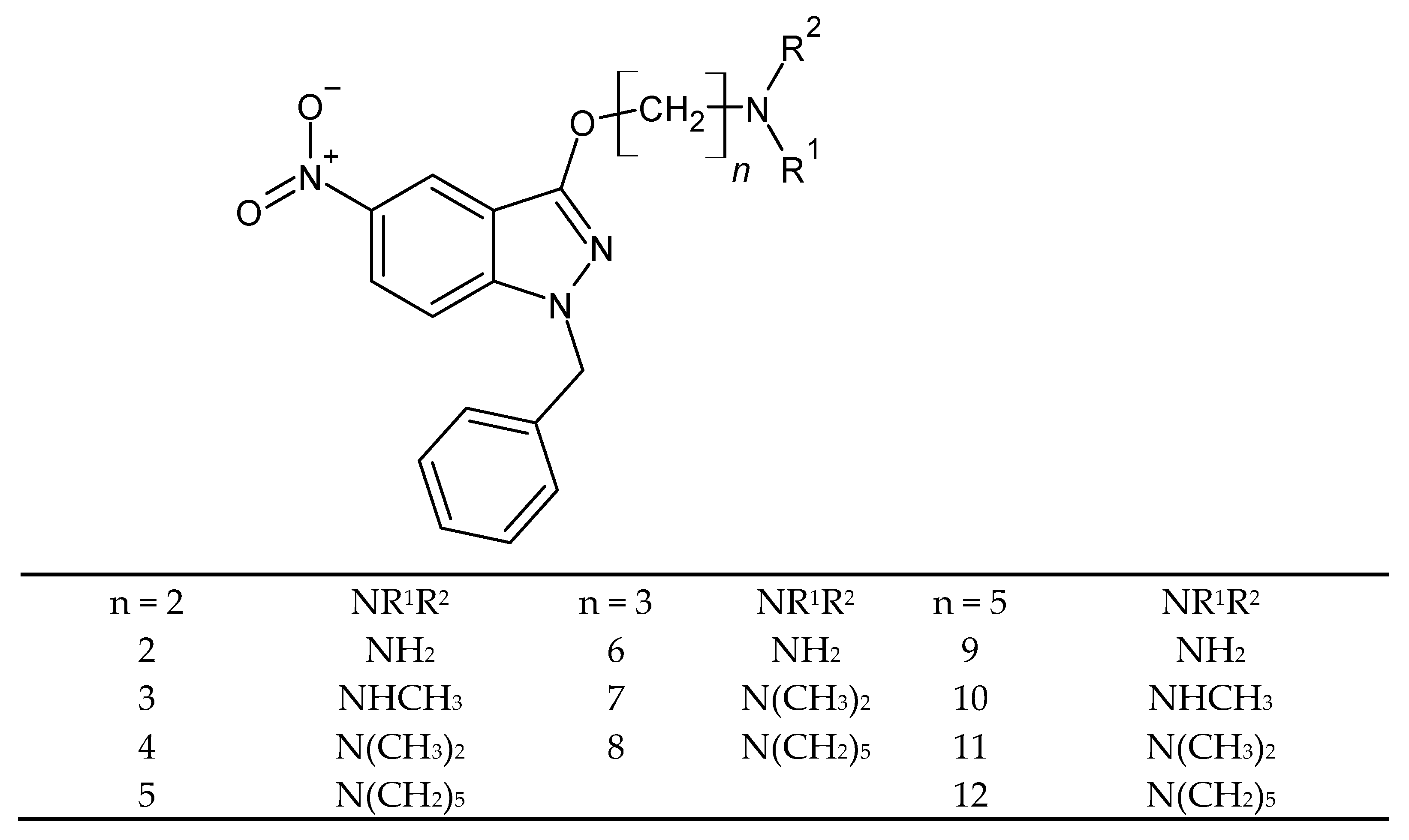
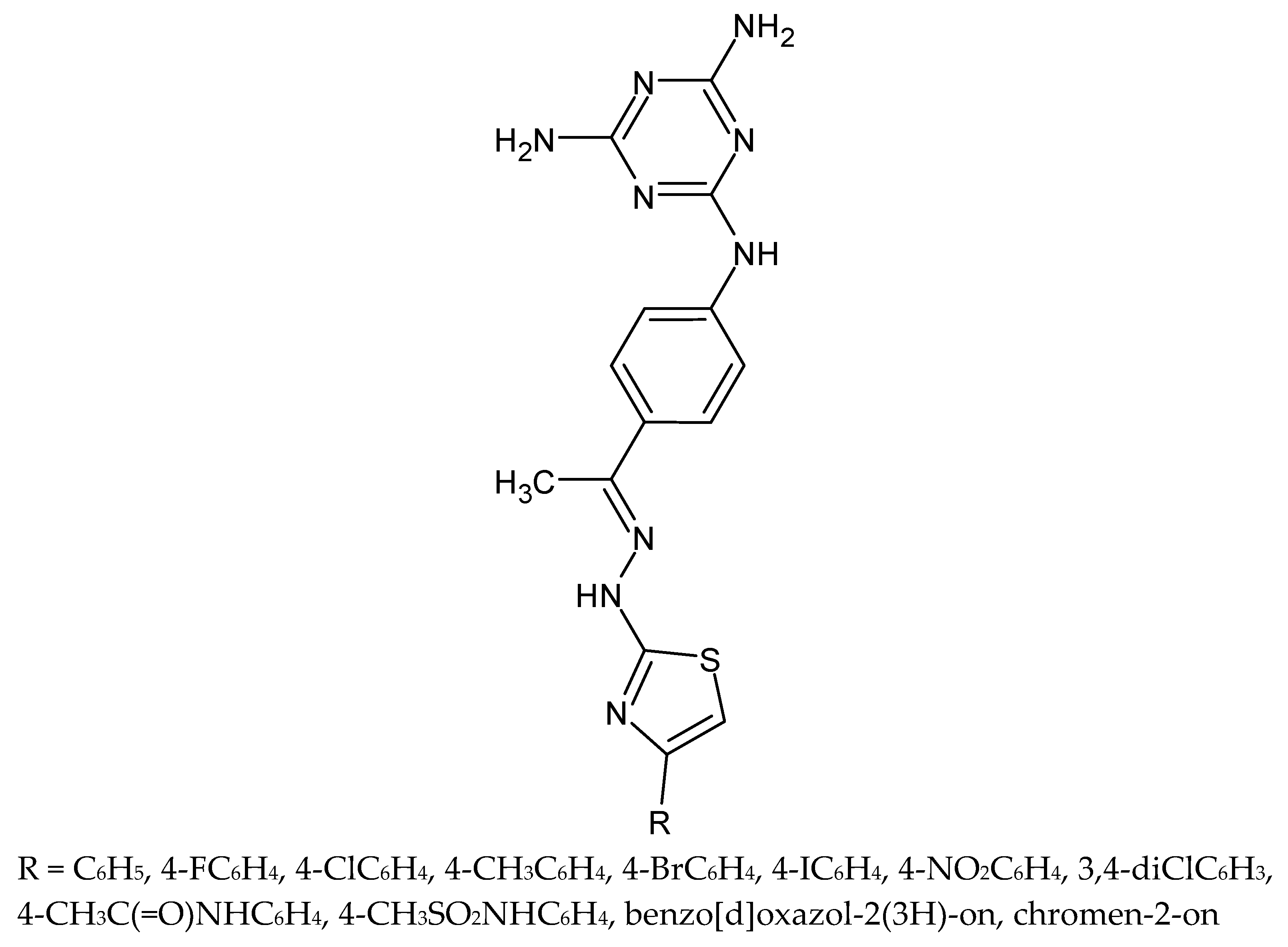
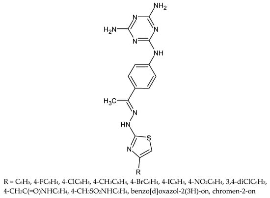
4.5. 3-(ω-aminoalkoxy)-1-benzyl-5-nitroindazoles and Furanyl-N-acylhydrazone Derivatives (PFUR)
4.6. New Analogs of Thiazolidin-4-One
4.7. Conjugates of Carbohydrates and Naphthalene Diimide
4.8. Omega-3 Fatty Acids
4.9. Miltefosine and Other Metacaspase Activators and Inhibitors
4.10. 1,3,4-Thiadiazole Derivatives
4.11. Thiazole Derivatives
4.12. Thiosemicarbazide Derivatives
5. Conclusions
Author Contributions
Funding
Institutional Review Board Statement
Informed Consent Statement
Data Availability Statement
Conflicts of Interest
References
- Available online: https://www.who.int/news-room/fact-sheets/detail/soil-transmitted-helminth-infections (accessed on 12 December 2021).
- Deksne, G.; Davidson, R.; Buchmann, K.; Karssin, A.; Kirjusina, M.; Gavarane, I.; Jokelainen, P. Parasites in the changing world–ten timely examples from the Nordic-Baltic region. Parasite Epidemiol. Control. 2020, 10, e00150. [Google Scholar] [CrossRef] [PubMed]
- Available online: www.mcgill.ca/chpi/centre/diseases (accessed on 17 February 2022).
- Lun, Z.R.; Burri, C.; Menzinger, M.; Kaminsky, R. Antiparasitic activity of diallyl trisulfide (Dasuansu) on human and animal pathogenic protozoa (Trypanosoma sp., Entamoeba histolytica and Giardia lamblia) in vitro. Ann. Soc. Belg. Med. Trop. 1994, 74, 51–59. [Google Scholar] [PubMed]
- Zenner, L.; Callait, M.P.; Granier, C.; Chauve, C. In Vitro effect of essential oils from Cinnamomum aromaticum, Citrus limon, and Allium sativum on two intestinal flagellates of poultry, Tetratrichomonas gallinarum and Histomonas melegridis. Parasite 2003, 10, 153–157. [Google Scholar] [CrossRef] [PubMed] [Green Version]
- Force, M.; Sparks, W.S.; Ronzio, R.A. Inhibition of enteric parasites by emulsified oil of Oregano in vivo. Phytother. Res. 2000, 14, 213–214. [Google Scholar] [CrossRef]
- Benoit-Vical, F.; Valentin, A.; Mallié, M.; Bastide, J.M.; Bessière, J.M. In Vitro antimalarial activity and cytotoxicity of Cochlospermum tinctorium and C. planchonii leaf extracts and essential oils. Planta Med. 1999, 65, 378–381. [Google Scholar] [CrossRef] [PubMed]
- Benoit-Vical, F.; Valentin, A.; Da, B.; Dakuyo, Z.; Descamps, L.; Mallié, M. N’Dribala (Cochlospermum planchonii) versus chloroquine for treatment of uncomplicated Plasmodium falciparum malaria. J. Ethnopharmacol. 2003, 89, 111–114. [Google Scholar] [CrossRef]
- Mikus, J.; Harkenthal, M.; Steverding, D.; Reichling, J. In Vitro effect of essential oils and isolated mono and sesquiterpenes on Leishmania major and Trypanosoma brucei. Planta Med. 2000, 66, 366–368. [Google Scholar] [CrossRef]
- Mahmoud, M.R.; El-Abhar, H.S.; Saleh, S. The effect of Nigella sativa oil against the liver damage induced by Schistosoma mansoni infection in mice. J. Ethnopharmacol. 2002, 79, 1–11. [Google Scholar] [CrossRef]
- Čulenová, M.; Sychrová, A.; Hassan, S.T.; Berchová-Bímová, K.; Svobodová, P.; Helclová, A.; Michnová, H.; Hošek, J.; Vasilev, H.; Suchý, P.; et al. Multiple In vitro biological effects of phenolic compounds from Morus alba root bark. J. Ethnopharmacol. 2020, 248, 112296. [Google Scholar] [CrossRef]
- Wei-Chiang Chan, E.; Lye, P.-Y.; Wong, S.-K. Phytochemistry, pharmacology, and clinical trials of Morus alba. Chin. J. Nat. Med. 2016, 14, 17–30. [Google Scholar]
- Ahmed, O.; Elmesallamy, G.E.-S.; Eassa, S. Comparative study of the hepatotoxic, genotoxic and carcinogenic effects of praziquantel distocide and the natural myrrh extract Mirazid on adult male albino rats. J. Egypt. Soc. Parasitol. 2005, 35, 313–329. [Google Scholar]
- Alcántar-Zavala, E.; Hernández-Guevara, E.; Ochoa-Terán, A.; Montes-Ávila, J.; Estrada-Zavala, E.A.; Salazar-Medina, A.J.; Alday, E.; Cabrera, A.; Aguirre, G.; Miranda-Soto, V.; et al. Novel Linezolid analogues with antiparasitic activity against Hymenolepis nana. Bioorg. Chem. 2020, 105, 104359. [Google Scholar] [CrossRef] [PubMed]
- Soeiro, M.N.C.; de Castro, S.L. Trypanosoma cruzi targets for new chemotherapeutic approaches. Expert Opin. Ther. Targets 2009, 13, 105–121. [Google Scholar] [CrossRef] [PubMed]
- Morillo, C.A.; Marin-Neto, J.A.; Avezum, A.; Sosa-Estani, S.; Rassi, A.; Rosas, F.; Villena, E.; Quiroz, R.; Bonilla, R.; Britto, C.; et al. Randomized trial of benznidazole for chronic Chagas’ cardiomyopathy. N. Engl. J. Med. 2015, 373, 1295–1306. [Google Scholar] [CrossRef] [Green Version]
- Bakunov, S.A.; Bakunova, S.M.; Bridges, A.S.; Wenzler, T.; Barszcz, T.; Werbovetz, K.A.; Brun, R.; Tidwell, R.R. Synthesis and antiprotozoal properties of pentamidine congeners bearing the benzofuran motif. J. Med. Chem. 2009, 52, 5763–5767. [Google Scholar] [CrossRef]
- Serrano-Martín, X.; Payares, G.; De Lucca, M.; Martinez, J.C.; Mendoza-León, A.; Benaim, G. Amiodarone and miltefosine act synergistically against Leishmania mexicana and can induce parasitological cure in a murine model of cutaneous leishmaniasis. Antimicrob. Agents Chemother. 2009, 53, 5108–5113. [Google Scholar] [CrossRef] [Green Version]
- Benaim, G.; Garcia, C.R.S. Targeting calcium homeostasis as the therapy of Chagas’ disease and leishmaniasis-a review. Trop. Biomed. 2011, 28, 471–481. [Google Scholar]
- Pinto-Martinez, A.; Hernández-Rodríguez, V.; Rodríguez-Durán, J.; Hejchman, E.; Benaim, G. Anti-Trypanosoma cruzi action of a new benzofuran derivative based on amiodarone structure. Exp. Parasitol. 2018, 189, 8–15. [Google Scholar] [CrossRef] [Green Version]
- Chan, J.D.; Day, T.A.; Marchant, J.S. Coalescing beneficial host and deleterious antiparasitic actions as an antischistosomal strategy. Elife 2018, 7, e35755. [Google Scholar] [CrossRef]
- Sannella, A.R.; Casini, A.; Gabbiani, C.; Messori, L.; Bilia, A.R.; Vincieri, F.F.; Majori, G.; Severini, C. New uses for old drugs. Auranofin, a clinically established antiarthritic metallodrug, exhibits potent antimalarial effects in vitro: Mechanistic and pharmacological implications. FEBS Lett. 2008, 582, 844–847. [Google Scholar]
- Bonilla, M.; Denicola, A.; Novoselov, S.V.; Turanov, A.A.; Protasio, A.; Izmendi, D.; Gladyshev, V.N.; Salinas, G. Platyhelminth mitochondrial and cytosolic redox homeostasis is controlled by a single thioredoxin glutathione reductase and dependent on selenium and glutathione. J. Biol. Chem. 2008, 283, 17898–17907. [Google Scholar] [CrossRef] [Green Version]
- Song, L.; Li, J.; Xie, S.; Qian, C.; Wang, J.; Zhang, W.; Yin, X.; Hua, Z.; Yu, C. Thioredoxin glutathione reductase as a novel drug target: Evidence from Schistosoma japonicum. PLoS ONE 2012, 7, e31456. [Google Scholar] [CrossRef] [PubMed] [Green Version]
- Martinez-Gonzalez, J.J.; Guevara-Flores, A.; Alvarez, G.; Rendon-Gomez, J.L.; Del Arenal, I.P. In vitro killing action of auranofin on Taenia crassiceps metacestode (cysticerci) and inactivation of thioredoxin-glutathione reductase (TGR). Parasitol. Res. 2010, 107, 227–231. [Google Scholar] [CrossRef] [PubMed]
- Sharlow, E.R.; Leimgruber, S.; Murray, S.; Lira, A.; Sciotti, R.J.; Hickman, M.; Hudson, T.; Leed, S.; Caridha, D.; Barrios, A.M.; et al. Auranofin is an apoptosis-simulating agent with in vitro and in vivo anti-leishmanial activity. ACS Chem. Biol. 2014, 9, 663–672. [Google Scholar] [CrossRef] [PubMed]
- Lobanov, A.V.; Gromer, S.; Salinas, G.; Gladyshev, V.N. Selenium metabolism in Trypanosoma: Characterization of selenoproteomes and identification of a Kinetoplastida-specific selenoprotein. Nucleic Acids Res. 2006, 34, 4012–4024. [Google Scholar] [CrossRef]
- Debnath, A.; Ndao, M.; Reed, S.L. Reprofiled drug targets ancient protozoans: Drug discovery for parasitic diarrheal diseases. Gut Microbes 2013, 4, 66–71. [Google Scholar] [CrossRef] [Green Version]
- Andrade, R.M.; Chaparro, J.D.; Capparelli, E.; Reed, S.L. Auranofin is highly efficacious against Toxoplasma gondii in vitro and in an in vivo experimental model of acute toxoplasmosis. PLoS Negl. Trop. Dis. 2012, 8, e2973. [Google Scholar] [CrossRef]
- Bulman, C.A.; Bidlow, C.M.; Lustigman, S.; Cho-Ngwa, F.; Williams, D.; Rascon, A.A., Jr.; Tricoche, N.; Samje, M.; Bell, A.; Suzuki, B.; et al. Repurposing auranofin as a lead candidate for treatment of lymphatic filariasis and onchocerciasis. PLoS Negl. Trop. Dis. 2015, 9, e0003534. [Google Scholar] [CrossRef]
- Roquini, D.B.; Cogo, R.M.; Mengarda, A.C.; Mazloum, S.F.; Morais, C.S.; Xavier, R.P.; Salvadori, M.C.; Teixeira, F.S.; Ferreira, L.E.; Pinto, P.L.; et al. Promethazine exhibits antiparasitic properties in vitro and reduces worm burden, egg production, hepatomegaly, and splenomegaly in a schistosomiasis animal model. Antimicrob. Agents Chemother. 2019, 63, e01208. [Google Scholar] [CrossRef]
- Nana-Djeunga, H.C.; Lenou-Nanga, C.G.; Donfo-Azafack, C.; Djune-Yemeli, L.; Fossuo-Thotchum, F.; Domche, A.; Litchou-Tchuinang, A.V.; Bopda, J.; Mbickmen-Tchana, S.; Nkoa, T.; et al. Collateral Impact of community-directed treatment with Ivermectin (CDTI) for Onchocerciasis on parasitological indicators of Loa loa infection. Pathogens 2020, 9, 1043. [Google Scholar] [CrossRef]
- Gwee, A.; Duffull, S.; Zhu, X.; Tong, S.Y.C.; Cranswick, N.; McWhinney, B.; Ungerer, J.; Francis, J.; Steer, A. Population pharmacokinetics of ivermectin for the treatment of scabies in Indigenous Australian children. PLoS Negl. Trop. Dis. 2020, 14, e0008886. [Google Scholar] [CrossRef] [PubMed]
- Menozzi, A.; Bertini, S.; Turin, L.; Serventi, P.; Kramer, L.; Bazzocchi, C. Doxycycline levels and anti-Wolbachia antibodies in sera from dogs experimentally infected with Dirofilaria immitis and treated with a combination of ivermectin/doxycycline. Vet. Parasitol. 2015, 209, 281–284. [Google Scholar] [CrossRef] [PubMed]
- Geary, T.G. A step toward eradication of human filariases in areas where Loa is endemic. mBio 2016, 7, e00456. [Google Scholar] [CrossRef] [PubMed] [Green Version]
- Hadlett, M.; Nagi, S.C.; Sarkar, M.; Paine, M.J.I.; Weetman, D. High concentrations of membrane-fed ivermectin are required for substantial lethal and sublethal impacts on Aedes aegypti. Parasit. Vectors 2021, 14, 9. [Google Scholar] [CrossRef]
- McGarry, H.F.; Plant, L.D.; Taylor, M.J. Diethylcarbamazine activity against Brugia malayi microfilariae is dependent on inducible nitric-oxide synthase and the cyclooxygenase pathway. Filaria J. 2005, 2, 4. [Google Scholar] [CrossRef] [Green Version]
- Geary, T.G.; Woo, K.; McCarthy, J.S.; Mackenzie, C.D.; Horton, J.; Prichard, R.K.; de Silva, N.R.; Olliaro, P.L.; Lazdins-Helds, J.K.; Engels, D.A.; et al. Unresolved issues in anthelmintic pharmacology for helminthiases of humans. Int. J. Parasitol. 2010, 40, 1–13. [Google Scholar] [CrossRef]
- Taman, A.; Azab, M. Present-day anthelmintics and perspectives on future new targets. Parasitol. Res. 2014, 113, 2425–2433. [Google Scholar] [CrossRef]
- Bowman, D.D.; McTier, T.L.; Mahabir, S.P.; Woods, D.J.; Adams, E.L.; Login, J.A.; Bidgood, T. Evaluation of the efficacy of ProHeart® 6 (moxidectin) against a resistant isolate of Dirofilaria immitis (JYD-34) in dogs. Parasit. Vectors 2017, 10, 502. [Google Scholar] [CrossRef] [Green Version]
- Ceballos, L.; Mackenzie, C.; Geary, T.; Alvarez, L.; Lanusse, C. Exploring the potential of flubendazole in filariasis control: Evaluation of the systemic exposure for different pharmaceutical preparations. PLoS Negl. Trop. Dis. 2014, 8, e2838. [Google Scholar] [CrossRef] [Green Version]
- Zhang, Y.; Zhou, H.; Ding, C.; Plattner, J.; Freund, Y. Boron-Containing Small Molecules as Antihelminth. Agents. Patent WO/2011/063293, 26 May 2011. [Google Scholar]
- Bach, T.; Galbiati, S.; Kennedy, J.; Deye, G.; Nomicos, E.; Codd, E.; Garcia, H.; Horton, J.; Gilman, R.; Gonzalez, A.; et al. Pharmacokinetics, safety, and tolerability of Oxfendazole in healthy adults in an open-label phase 1 multiple ascending dose and food effect study. Antimicrob. Agents Chemother. 2020, 64, e01018. [Google Scholar] [CrossRef]
- Hübner, M.P.; Martin, C.; Specht, S.; Koschel, M.; Dubben, B.; Frohberger, S.J.; Ehrens, A.; Fendler, M.; Struever, D.; Vallarino-Lhermitte, N.; et al. Oxfendazole treatment has a macrofilaricidal efficacy against the filarial nematode Litomosoides sigmodontis in vivo and inhibits Onchocerca gutturosa adult worm motility in vitro. Am. J. Trop. Hyg. 2018, 99, 656–657. [Google Scholar]
- Crisford, A.; Ndukwe, K.; O’Connor, V.; Walker, R.J.; Holden-Dye, L.; Ebbinghaus-Kintscher, U.; Schoenhense, E.; Raming, K.; Harder, A.; O’Kelly, I. The cyclooctadepsipeptide anthelmintic emodepside differentially modulates Nematode, insect and human calcium-activated potassium (SLO) channel alpha subunits. PLoS Negl. Trop. Dis. 2015, 9, e0004062. [Google Scholar] [CrossRef] [PubMed]
- Cabada, M.M.; White, A.C., Jr. New developments in epidemiology, diagnosis, and treatment of fascioliasis. Curr. Opin. Infect. Dis. 2012, 25, 518–522. [Google Scholar] [CrossRef] [PubMed]
- Available online: https://www.euro.who.int/__data/assets/pdf_file/0006/341970/MANUAL-ON-CASE-MANAGEMENT_FINAL_with-cover-and-ISBN.pdf (accessed on 12 December 2021).
- Camargo, J.D.N.A.; Pianoski, K.E.; Dos Santos, M.G.; Lazarin-Bidóia, D.; Volpato, H.; Moura, S.; Nakamura, C.V.; Rosa, F.A. Antiparasitic behavior of trifluoromethylated pyrazole 2-amino-1,3,4-thiadiazole hybrids and their analogues: Synthesis and structure-activity relationship. Front. Pharmacol. 2020, 11, 591570. [Google Scholar] [CrossRef] [PubMed]
- Keskin, E.; Ucisik, M.H.; Sucu, B.O.; Guzel, M. Novel Synthetic Approaches for Bisnaphthalimidopropyl (BNIP) Derivatives as potential anti-parasitic agents for the treatment of Leishmaniasis. Molecules 2019, 24, 4607. [Google Scholar] [CrossRef] [PubMed] [Green Version]
- Bekhit, A.A.; Hassan, A.M.; Abd El Razik, H.A.; El-Miligy, M.M.; Elagroudy, E.J.; Bekhit, A.D. New heterocyclic hybrids of pyrazole and its bioisosteres: Design, synthesis and biological evaluation as dual acting antimalarial antileishmanial agents. Eur. J. Med. Chem. 2015, 94, 30–44. [Google Scholar] [CrossRef] [PubMed]
- Monteiro, M.E.; Lechuga, G.; Lara, L.S.; Souto, B.A.; Viganó, M.G.; Bourguignon, S.C.; Calvet, C.M.; Oliveira, F.O.R., Jr.; Alves, C.R.; Souza-Silva, F.; et al. Synthesis, structure-activity relationship and trypanocidal activity of pyrazole-imidazoline and new pyrazole-tetrahydropyrimidine hybrids as promising chemotherapeutic agents for Chagas disease. Eur. J. Med. Chem. 2019, 182, 111610. [Google Scholar] [CrossRef] [PubMed]
- de Brito, M.G.; Mengarda, A.C.; Oliveira, G.L.; Cirino, M.E.; Silva, T.C.; de Oliveira, R.N.; Allegretti, S.M.; de Moraes, J. Therapeutic effect of diminazene aceturate on parasitic blood fluke Schistosoma mansoni infection. Antimicrob. Agents Chemother. 2020, 64, e01372. [Google Scholar] [CrossRef]
- Pereira, V.; Silveira, L.; Mengarda, A.; Júnior, I.; Silva, O.; Miguel, F.; Silva, M.; Almeida, A.; Torres, D.; Pinto, P.; et al. Antischistosomal properties of aurone derivatives against juvenile and adult worms of Schistosoma mansoni. Acta. Trop. 2021, 213, 105741. [Google Scholar] [CrossRef]
- Al Nasr, I.S.; Jentzsch, J.; Shaikh, A.; Shuveksh, P.S.; Koko, W.S.; Khan, T.A.; Ahmed, K.; Schobert, R.; Ersfeld, K.; Biersack, B. New pyrano-4H-benzo[g]chromene-5,10-diones with antiparasitic and antioxidant activities. Chem. Biodivers. 2021, 18, e2000839. [Google Scholar] [CrossRef]
- Thacker, S.G.; McWilliams, I.L.; Bonnet, B.; Halie, L.; Beaucage, S.; Rachuri, S.; Dey, R.; Duncan, R.; Modabber, F.; Robinson, S.; et al. CpG ODN D35 improves the response to abbreviated low-dose pentavalent antimonial treatment in non-human primate model of cutaneous leishmaniasis. PLoS Negl. Trop. Dis. 2020, 14, e0008050. [Google Scholar] [CrossRef] [PubMed] [Green Version]
- Al Nasr, I.S.; Jentzsch, J.; Winter, I.; Schobert, R.; Ersfeld, K.; Koko, W.S.; Mujawah, A.A.H.; Khan, T.A.; Biersack, B. Antiparasitic activity of new Lawson Mannich bases. Arch. Pharm. 2019, 352, e1900128. [Google Scholar] [CrossRef]
- Meites, E.; Gaydos, C.A.; Hobbs, M.M.; Kissinger, P.; Nyirjesy, P.; Schwebke, J.R.; Secor, W.E.; Sobel, J.D.; Workowski, K.A. A Review of evidence-based care of symptomatic Trichomoniasis and asymptomatic Trichomonas vaginalis infections. Clin. Infect. Dis. 2015, 61, 837–848. [Google Scholar] [CrossRef] [PubMed] [Green Version]
- Sherrard, J.; Ison, C.; Moody, J.; Wainwright, E.; Wilson, J.; Sullivan, A. United Kingdom National Guideline on the Management of Trichomonas vaginalis. Int. J. STD AIDS 2014, 25, 541–549. [Google Scholar] [CrossRef] [PubMed]
- Ibáñez-Escribano, A.; Reviriego, F.; Vela, N.; Fonseca-Berzal, C.; Nogal-Ruiz, J.; Arán, V.; Escario, J.; Gómez-Barrio, A. Promising hit compounds against resistant trichomoniasis: Synthesis and antiparasitic activity of 3-(ω-aminoalkoxy)-1-benzyl-5-nitroindazoles. Bioorg. Med. Chem. Lett. 2021, 37, 127843. [Google Scholar] [CrossRef]
- Alves, M.S.D.; das Neves, R.N.; Sena-Lopes, Â.; Domingues, M.; Casaril, A.M.; Segatto, N.V.; Nogueira, T.C.M.; de Souza, M.V.N.; Savegnago, L.; Seixas, F.K.; et al. Antiparasitic activity of furanyl N-acylhydrazone derivatives against Trichomonas vaginalis: In vitro and in silico analyses. Parasit. Vectors 2020, 13, 59. [Google Scholar] [CrossRef] [Green Version]
- Dos Santos Filho, J.M.; de Queiroz e Silva, D.M.A.; Macedo, T.S.; Teixeira, H.M.P.; Moreira, D.R.M.; Challal, S.; Wolfender, J.L.; Queiroz, E.F.; Soares, M.B.P. Conjugation of N-acylhydrazone and 1,2,4-oxadiazole leads to the identification of active antimalarial agents. Bioorg. Med. Chem. 2016, 24, 5693–5701. [Google Scholar] [CrossRef]
- do Amaral, D.N.; Cavalcanti, B.C.; Bezerra, D.P.; Ferreira, P.M.P.; De Castro, R.P.; Sabino, J.R.; Chammas, R.; Pessoa, C.; Carlos, M.R.S.A.; Barreiro, E.J.; et al. Docking, synthesis and antiproliferative activity of N-acylhydrazone derivatives designed as combretastatin A4 analogues. PLoS ONE 2014, 9, e85380. [Google Scholar] [CrossRef] [Green Version]
- Cachiba, T.H.; Carvalho, B.D.; Carvalho, D.T.; Cusinato, M.; Prado, G.C.; Dias, A.L.T. Síntese e avaliação preliminar da atividade antibacteriana e antifúngica de derivados N-acilidrazônicos. Quim Nova 2012, 35, 1566–1569. [Google Scholar] [CrossRef]
- Zhang, H.; Kunadia, A.; Lin, Y.; Fondell, J.D.; Seidel, D.; Fan, H. Identification of a strong and specific antichlamydial N-acylhydrazone. PLoS ONE 2017, 12, e0185783. [Google Scholar]
- Banerjee, R.; Kumar, H.K.S.; Banerjee, M. Medicinal significance of furan derivatives: A review. Int. J. Rev. Life Sci. 2012, 2, 7–16. [Google Scholar]
- Kaminskyy, D.; Kryshchyshyn, A.; Lesyk, R. 5-Ene-4-thiazolidinones—An efficient tool in medicinal chemistry. Eur. J. Med. Chem. 2017, 140, 542–594. [Google Scholar] [CrossRef] [PubMed]
- Havrylyuk, D.; Roman, O.; Lesyk, R. Synthetic approaches, structure activity relationship and biological applications for pharmacologically attractive pyrazole/pyrazoline-thiazolidine-based hybrids. Eur. J. Med. Chem. 2016, 113, 145–166. [Google Scholar] [CrossRef] [PubMed]
- Chadna, N.; Bahia, M.S.; Kaur, M.; Silakari, O. Thiazolidine-2,4-dione derivatives: Programmed chemical weapons for key protein targets of various pathological conditions. Bioorg. Med. Chem. 2015, 23, 2953–2974. [Google Scholar] [CrossRef]
- Tripathi, A.C.; Gupta, S.J.; Fatima, G.N.; Sonar, P.K.; Verma, A.; Saraf, S.K. 4-Thiazolidinones: The advances continue. Eur. J. Med. Chem. 2014, 72, 52–77. [Google Scholar] [CrossRef] [PubMed]
- Jain, V.S.; Vora, D.K.; Ramaa, C.S. Thiazolidine-2,4-diones: Progress towards multifarious applications. Bioorg. Med. Chem. 2013, 21, 1599–1620. [Google Scholar] [CrossRef]
- Trotsko, N.; Bekier, A.; Paneth, A.; Wujec, M.; Dzitko, K. Synthesis and in vitro anti-Toxoplasma gondii activity of novel thiazolidin-4-one derivatives. Molecules 2019, 24, 3029. [Google Scholar] [CrossRef] [Green Version]
- Zuffo, M.; Stucchi, A.; Campos-Salinas, J.; Cabello-Donayre, M.; Martínez-García, M.; Belmonte-Reche, E.; Pérez-Victoria, J.; Mergny, J.; Freccero, M.; Morales, J.; et al. Carbohydrate-naphthalene diimide conjugates as potential antiparasitic drugs: Synthesis, evaluation and structure-activity studies. Eur. J. Med. Chem. 2019, 163, 54–66. [Google Scholar] [CrossRef]
- Belmonte-Reche, E.; Martínez-García, M.; Guédin, A.; Zuffo, M.; Arévalo-Ruiz, M.; Doria, F.; Campos-Salinas, J.; Maynadier, M.; López-Rubio, J.J.; Freccero, M.; et al. G-quadruplex identification in the genome of Protozoan parasites points to naphthalene diimide ligands as new antiparasitic agents. J. Med. Chem. 2018, 61, 1231–1240. [Google Scholar] [CrossRef] [Green Version]
- Choi, J.W.; Lee, J.; Lee, J.-H.; Park, B.-J.; Lee, E.J.; Shin, S.; Cha, G.-H.; Lee, Y.-H.; Lim, K.; Yuk, J.-M. Omega-3 polyunsaturated fatty acids prevent Toxoplasma gondii infection by inducing autophagy via AMPK activation. Nutrients 2019, 11, 2137. [Google Scholar] [CrossRef] [Green Version]
- Uren, A.G.; O’Rourke, K.; Aravind, L.; Pisabarro, M.T.; Seshagiri, S.; Koonin, E.V.; Dixit, V.M. Identification of paracaspases and metacaspases: Two ancient families of caspase-like proteins, one of which plays a key role in MALT lymphoma. Mol. Cell 2000, 6, 961–967. [Google Scholar] [CrossRef]
- Klemenčič, M.; Funk, C. Evolution and structural diversity of metacaspases. J. Exp. Bot. 2019, 70, 2039–2047. [Google Scholar] [CrossRef] [PubMed]
- Meslin, B.; Zalila, H.; Fasel, N.; Picot, S.; Bienvenu, A.L. Are protozoan metacaspases potential parasite killers? Parasit. Vectors 2011, 4, 26. [Google Scholar] [CrossRef] [PubMed] [Green Version]
- Peña, M.S.; Cabral, G.C.; Fotoran, W.L.; Perez, K.R.; Stolf, B.S. Metacaspase-binding peptide inhibits heat shock-induced death in Leishmania (L). amazonensis. Cell Death Dis. 2017, 8, e2645. [Google Scholar] [CrossRef] [Green Version]
- Kumar, A.; Pandey, S.C.; Samant, M. Slow pace of antileishmanial drug development. Parasitol. Open 2018, 4, E4. [Google Scholar] [CrossRef] [Green Version]
- Dixit, R.; Tiwari, R.; Katyal, A.; Pandey, K.C. Metacaspases: Potential Drug Target Against Protozoan Parasites. Front. Pharmacol. 2019, 10, 790. [Google Scholar]
- Weglinska, L.; Bekier, A.; Dzitko, K.; Pacholczyk-Siennicka, B.; Albrecht, Ł.; Plech, T.; Paneth, P.; Paneth, A. 1,3,4-Thiadiazoles effectively inhibit proliferation of Toxoplasma gonidii. Cells 2021, 10, 1053. [Google Scholar] [CrossRef]
- Łączkowski, K.Z.; Konklewska, N.; Biernasiuk, A.; Malm, A.; Sałat, K.; Furgała, A.; Dzitko, K.; Bekier, A.; Baranowska-Łączkowska, A.; Paneth, A. Thiazoles with cyclopropyl fragment as antifungal, anticonvulsant, and anti-Toxoplasma gondii agents: Synthesis, toxicity evaluation, and molecular docking study. Med. Chem. Res. 2018, 27, 2125–2140. [Google Scholar] [CrossRef] [Green Version]
- Łączkowski, K.Z.; Anusiak, J.; Świtalska, M.; Dzitko, K.; Cytarska, J.; Baranowska-Łączkowska, A.; Plech, T.; Paneth, A.; Wietrzyk, J.; Białczyk, J. Synthesis, molecular docking, ctDNA interaction, DFT calculation and evaluation of antiproliferative and anti-Toxoplasma gondii activities of 2,4-diaminotriazine-thiazole derivatives. Med. Chem. Res. 2018, 27, 1131–1148. [Google Scholar] [CrossRef] [Green Version]
- Paneth, A.; Weglinska, L.; Bekier, A.; Stefaniszyn, E.; Wujec, M.; Trostsko, N.; Dzitko, K. Systematic identification of thiosemicarbazides for inhibition of toxoplasma gondii growth in vitro. Molecules 2019, 24, 614. [Google Scholar] [CrossRef] [Green Version]
- Paneth, A.; Weglinska, L.; Bekier, A.; Stefaniszyn, E.; Wujec, M.; Trostsko, N.; Hawrył, A.; Hawrył, M.; Dzitko, K. Discovery of potent and selective halogen-substituted imidazole-thiosemicarbazides for inhibition of Toxoplasma gondii growth in vitro via structure-based design. Molecules 2019, 24, 1618. [Google Scholar] [CrossRef] [PubMed] [Green Version]
- Dziduch, K.; Kołodziej, P.; Paneth, A.; Bogucka-Kocka, A.; Wujec, M. Synthesis and anthelmintic activity of new thiosemicarbazide derivatives-a preliminary study. Molecules 2020, 25, 2770. [Google Scholar] [CrossRef] [PubMed]
- Bekier, A.; Weglinska, L.; Paneth, A.; Paneth, P.; Dzitko, K. 4-Arylthiosemicarbazide derivatives as a new class of tyrosinase inhibitors and anti-Toxoplasma gondii agents. J. Enzyme Inhib. Med. Chem. 2021, 36, 1145–1164. [Google Scholar] [CrossRef] [PubMed]





















| Linezolid | ![]() ![]() | ||
| 4 isomer S | ![]() | 5 isomer R | ![]() |
| 6 isomer S | ![]() | 7 isomer R | ![]() |
| 8 isomer S | ![]() | 9 isomer R | ![]() |
![]() | ||
| R | R1 | |
| 2a–f | 4-nitrophenyl (a); 4-fluorophenyl (b); 4-chlorophenyl (c); 4-bromophenyl (d); phenyl (e); 4-methoxyphenyl (f) | ![]() |
| 3a–f | 4-nitrophenyl (a); 4-fluorophenyl (b); 4-chlorophenyl (c); 4-bromophenyl (d); phenyl (e); 4-methoxyphenyl (f) | ![]() |
| 4a–f | 4-nitrophenyl (a); 4-fluorophenyl (b); 4-chlorophenyl (c); 4-bromophenyl (d); phenyl (e); 4-methoxyphenyl (f) | ![]() |
| Symbol of Compound | Chemical Structure | Disease |
|---|---|---|
| Zy-19480 | ![]() | Malaria |
| SJ733 | ![]() | Malaria |
| KAE609 | ![]() | Malaria |
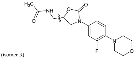
| AWZ1066S | ![]() | Filarial diseases |
| ABBV-4083 | ![]() | Filarial diseases |
Publisher’s Note: MDPI stays neutral with regard to jurisdictional claims in published maps and institutional affiliations. |
© 2022 by the authors. Licensee MDPI, Basel, Switzerland. This article is an open access article distributed under the terms and conditions of the Creative Commons Attribution (CC BY) license (https://creativecommons.org/licenses/by/4.0/).
Share and Cite
Dziduch, K.; Greniuk, D.; Wujec, M. The Current Directions of Searching for Antiparasitic Drugs. Molecules 2022, 27, 1534. https://doi.org/10.3390/molecules27051534
Dziduch K, Greniuk D, Wujec M. The Current Directions of Searching for Antiparasitic Drugs. Molecules. 2022; 27(5):1534. https://doi.org/10.3390/molecules27051534
Chicago/Turabian StyleDziduch, Katarzyna, Dominika Greniuk, and Monika Wujec. 2022. "The Current Directions of Searching for Antiparasitic Drugs" Molecules 27, no. 5: 1534. https://doi.org/10.3390/molecules27051534
APA StyleDziduch, K., Greniuk, D., & Wujec, M. (2022). The Current Directions of Searching for Antiparasitic Drugs. Molecules, 27(5), 1534. https://doi.org/10.3390/molecules27051534


















