Alkaloids and Colon Cancer: Molecular Mechanisms and Therapeutic Implications for Cell Cycle Arrest
Abstract
1. Introduction
2. Cancer Treatment—Alkaloids
3. Cell Cycle Arrest in Cancer Treatment
3.1. G1-Phase Arrest
3.2. G2-Phase Arrest
4. Activity of Alkaloids against Colon Cancer
| Plant Species | Alkaloids with Structure and Potency | Reference |
|---|---|---|
| Evodia rutaecarpa | ![]() 1 (IC70: 10 µg/mL) | [86] |
| Strychnos usambarensis | ![]() 2 (IC50: 7.0–15 µM) | [87] |
| Chaetomium sp. | ![]() 3 (IC50: 28.0 nM) | [88] |
| Centauramontana | ![]() 4 (IC50: 43.9 µM) | [89] |
![]() 5 (IC50: 81.0 µM) | ||
| Solanum aculeastrum | ![]() | [83] |
| Sanguinaria canadensis | ![]() 8 (IC78.5: 1 mM) | [84] |
| Corydalis ternate | ![]() ![]() | [90] |
| Menispermum dauricum | ![]() 23 (IC80: 10 µM) | [91] |
| Evodia rutaecarpa | ![]() | [92] |
| Cynanchum paniculatum | ![]() 41 (IC50: 4.7–10.8 nM) | [93] |
| Zanthoxylum capense | ![]() | [94] |
| Acorus gramineus | ![]() | [95] |
| Tabernaemontana corymbosa | ![]() | [96] |
| Piper nigrum | ![]() | [97,98] |
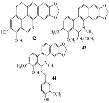
| Tabernaemontana elegansvobasinyl−ibogaAlkaloids | ![]() | [99] |
| Melodinus henryi | ![]() 54 (IC50: 4.9 µM) | [100] |
| Argemone mexicana | ![]() 55 (200 µg/mL: 24–28% reduction) 56 (200 µg/mL: 24–28% reduction) ![]() 57 (200 µg/mL: 100% reduction) 58(200 µg/mL: 48% reduction) ![]() 59 (200 µg/mL: 100% reduction) 60 (200 µg/mL: 78% reduction) | [101] |
| Murraya koenigii | ![]() | [102] |
| Goniothalamus lanceolatus | ![]() 63 (IC50 = 5.32 µM) | [103] |
5. Activity of Synthetic Derivatives against Colon Cancer
| Sources | Derivatives | Reference | ||
|---|---|---|---|---|
| exatecan mesylate | ![]() 64 = (IC50 = 0.5–7.5 ng/mL) | [104] | ||
| Nortopsentin Analogues | ![]() 65 (IC50 = 4.58–19.0 µM) | [106] | ||
![]() 66 (IC50 = 1.71–3.82 µM) | ||||
| Harmine analogue | ![]() 67 (IC50: 6.6–19.0 µM) | [107] | ||
| amide alkaloid derivatives | ![]() | [108] | ||
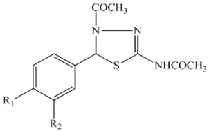
| 5-Phenyl-4,5-dihydro-1,3,4-thiadiazole Analogues | ![]() | [109] | ||
| R1 | R2 | |||
| 70 (IC50: 10.25 µg/mL) | H | H | ||
| 71(IC50: 10.25 µg/mL) | CH3 | H | ||
| 72 (IC50: 10.25 µg/mL) | NO2 | H | ||
| 73 (IC50: 10.25 µg/mL) | H | NO2 | ||
| 74 (IC50: 10.25 µg/mL) | NCH2 | H | ||
| 75 (IC50: 10.25 µg/mL) | Cl | H | ||
| 76 (IC50: 10.25 µg/mL) | Br | H | ||
| 77 (IC50: 10.25 µg/mL) | OH | H | ||
| 78 (IC50: 10.25 µg/mL) | OCH3 | H | ||
| 79 (IC50: 10.25 µg/mL) | OH | OCH3 | ||
| Berberine Chloride | ![]() 80 (IC50: 31.97–36.63 µM) 81 (IC50: 10 µM) ![]() 82 (IC50: 10 µM) 83 (IC70: 10 µM) | [110] | ||
| Berberine chloride | ![]() | [111] | ||
| Dregamine and Tabernaemontamine | ![]() 89 (IC95: 25 µM) 90 (IC95: 25 µM) ![]() 91 (IC95: 50 µM) | [112] | ||
| Phenanthroindolizidine | ![]() | [113] | ||
6. Effect of Alkaloids on Cell Cycle Arrest and Other Anticancer Pathways
7. Effects on Chemoresistance
8. Conclusions and Future Prospects
Funding
Acknowledgments
Conflicts of Interest
Abbreviations
| AchE | Acetylcholinesterase |
| ATM | Ataxia-telangiectasia mutated |
| BBR | Berberine |
| CHK1 | Checkpoint kinase |
| COVID-19 | Coronavirus disease 2019 |
| EC50 IC50 ROS | Half maximal effective concentration Half maximal inhibitory concentrationReactive oxygen species |
| TNF-α | Tumor necrosis factor-alpha |
| WHO | World Health Organization |
References
- Habli, Z.; Toumieh, G.; Fatfat, M.; Rahal, O.N.; Gali-Muhtasib, H. Emerging cytotoxic alkaloids in the battle against cancer: Overview of molecular mechanisms. Molecules 2017, 22, 250. [Google Scholar] [CrossRef] [PubMed]
- Siegel, R.L.; Miller, K.D.; Jemal, A. Cancer statistics, 2017. CA Cancer J. Clin. 2017, 67, 7–30. [Google Scholar] [CrossRef] [PubMed]
- Siegel, R.L.; Miller, K.D.; Fuchs, H.E.; Jemal, A. Cancer statistics, 2021. CA Cancer J. Clin. 2021, 71, 7–33. [Google Scholar] [CrossRef]
- Nolen, S.C.; Evans, M.A.; Fischer, A.; Corrada, M.M.; Kawas, C.H.; Bota, D.A. Cancer—Incidence, prevalence and mortality in the oldest-old. A comprehensive review. Mech. Ageing Dev. 2017, 164, 113–126. [Google Scholar] [CrossRef] [PubMed]
- Hurt, B.; Schulick, R.; Edil, B.; El Kasmi, K.C.; Barnett, C. Cancer-promoting mechanisms of tumor-associated neutrophils. Am. J. Surg. 2017, 214, 938–944. [Google Scholar] [CrossRef]
- Siegel, R.L.; Miller, K.D.; Fedewa, S.A.; Ahnen, D.J.; Meester, R.G.S.; Barzi, A.; Jemal, A. Colorectal cancer statistics, 2017. CA Cancer J. Clin. 2017, 67, 177–193. [Google Scholar] [CrossRef]
- Alyabsi, M.; Alhumaid, A.; Allah-Bakhsh, H.; Alkelya, M.; Aziz, M.A. Colorectal cancer in Saudi Arabia as the proof-of-principle model for implementing strategies of predictive, preventive, and personalized medicine in healthcare. EPMA J. 2020, 11, 119–131. [Google Scholar] [CrossRef]
- Khan, H.; Patel, S.; A Kamal, M. Pharmacological and toxicological profile of harmane-β-Carboline alkaloid: Friend or foe. Curr. Drug Metab. 2017, 18, 853–857. [Google Scholar] [CrossRef]
- Loren, A.W.; Mangu, P.B.; Beck, L.N.; Brennan, L.; Magdalinski, A.J.; Partridge, A.H.; Quinn, G.; Wallace, W.H.; Oktay, K. Fertility preservation for patients with cancer: American Society of Clinical Oncology clinical practice guideline update. J. Clin. Oncol. 2013, 31, 2500–2510. [Google Scholar] [CrossRef]
- Andersen, B.L.; DeRubeis, R.J.; Berman, B.S.; Gruman, J.; Champion, V.L.; Massie, M.J.; Holland, J.C.; Partridge, A.H.; Bak, K.; Somerfield, M.R. Screening, assessment, and care of anxiety and depressive symptoms in adults with cancer: An American Society of Clinical Oncology guideline adaptation. J. Clin. Oncol. 2014, 32, 1605–1619. [Google Scholar] [CrossRef]
- Kuppusamy, P.; Govindan, N.; Yusoff, M.M.; Ichwan, S.J.A. Proteins are potent biomarkers to detect colon cancer progression. Saudi J. Biol. Sci. 2017, 24, 1212–1221. [Google Scholar] [CrossRef] [PubMed]
- Sato, K.; Tanaka, T.; Sato, J.; Shibata, E.; Nagai, Y.; Murono, K.; Yasuda, K.; Otani, K.; Nishikawa, T.; Tanaka, J.; et al. Usefulness of preoperative CT colonography for colon cancer. Asian J. Surg. 2017, 40, 438–443. [Google Scholar] [CrossRef] [PubMed]
- Iqbal, A.; George, T.J. Randomized clinical trials in colon and rectal cancer. Surg. Oncol. Clin. N. Am. 2017, 26, 689–704. [Google Scholar] [CrossRef] [PubMed]
- El-Shami, K.; Oeffinger, K.C.; Erb, N.L.; Willis, A.; Bretsch, J.K.; Pratt-Chapman, M.L.; Cannady, R.S.; Wong, S.L.; Rose, J.; Barbour, A.L.; et al. American Cancer Society Colorectal Cancer Survivorship Care Guidelines. CA Cancer J. Clin. 2015, 65, 427–455. [Google Scholar] [CrossRef] [PubMed]
- Al-Otaibi, J.S.; El Gogary, T.M. Synthesis of novel anthraquinones: Molecular structure, molecular chemical reactivity descriptors and interactions with DNA as antibiotic and anti-cancer drugs. J. Mol. Struct. 2017, 1130, 799–809. [Google Scholar] [CrossRef]
- Arioka, M.; Takahashi-Yanaga, F.; Kubo, M.; Igawa, K.; Tomooka, K.; Sasaguri, T. Anti-tumor effects of differentiation-inducing factor-1 in malignant melanoma: GSK-3-mediated inhibition of cell proliferation and GSK-3-independent suppression of cell migration and invasion. Biochem. Pharmacol. 2017, 138, 31–48. [Google Scholar] [CrossRef] [PubMed]
- Rock, C.L.; Doyle, C.; Demark-Wahnefried, W.; Meyerhardt, J.; Courneya, K.S.; Schwartz, A.L.; Bandera, E.V.; Hamilton, K.K.; Grant, B.; McCullough, M.; et al. Nutrition and physical activity guidelines for cancer survivors. CA Cancer J. Clin. 2012, 62, 242–274. [Google Scholar] [CrossRef] [PubMed]
- Fan, B.-Y.; Li, Z.-R.; Ma, T.; Gu, Y.-C.; Zhao, H.-J.; Luo, J.-G.; Kong, L.-Y. Further screening of the resin glycosides in the edible water spinach and characterisation on their mechanism of anticancer potential. J. Funct. Foods 2015, 19 Pt A, 141–154. [Google Scholar] [CrossRef]
- Farinha, P.; Pinho, J.O.; Matias, M.; Gaspar, M.M. Nanomedicines in the treatment of colon cancer: A focus on metallodrugs. Drug Deliv. Transl. Res. 2021, 12, 49–66. [Google Scholar] [CrossRef] [PubMed]
- Amin, S.; Khan, H. Revival of natural products: Utilization of modern technologies. Curr. Bioact. Compd. 2016, 12, 103–106. [Google Scholar] [CrossRef]
- Khan, H. Medicinal plants in light of history recognized therapeutic modality. J. Evid. Based Complementary Altern. Med. 2014, 19, 216–219. [Google Scholar] [CrossRef]
- Khan, H. Brilliant future of phytomedicines in the light of latest technological developments. J. Phytopharm. 2015, 4, 58–60. [Google Scholar]
- Khan, H.; Rengasamy, K.R.R.; Pervaiz, A.; Nabavi, S.M.; Atanasov, A.G.; Kamal, M.A. Plant-derived mPGES-1 inhibitors or suppressors: A new emerging trend in the search for small molecules to combat inflammation. Eur. J. Med. Chem. 2017, 153, 2–28. [Google Scholar] [CrossRef] [PubMed]
- Khan, H.; Marya; Amin, S.; Kamal, M.A.; Patel, S. Flavonoids as acetylcholinesterase inhibitors: Current therapeutic standing and future prospects. Biomed. Pharmacother. 2018, 101, 860–870. [Google Scholar] [CrossRef] [PubMed]
- Pervez, S.; Saeed, M.; Ali, M.S.; Fatima, I.; Khan, H. Antimicrobial and anti-oxidant potential of berberisinol, a new flavone from Berberis baluchistanica. Chem. Nat. Compd. 2018, accepted. [Google Scholar]
- Nabavi, S.F.; Khan, H.; D’Onofrio, G.; Šamec, D.; Shirooie, S.; Dehpour, A.R.; Argüelles, S.; Habtemariam, S.; Sobarzo-Sanchez, E. Apigenin as neuroprotective agent: Of mice and men. Pharmacol. Res. 2018, 128, 359–365. [Google Scholar] [CrossRef]
- Khan, H.; Amin, S.; Patel, S. Targeting BDNF modulation by plant glycosides as a novel therapeutic strategy in the treatment of depression. Life Sci. 2018, 196, 18–27. [Google Scholar] [CrossRef] [PubMed]
- Amirkia, V.; Heinrich, M. Alkaloids as drug leads—A predictive structural and biodiversity-based analysis. Phytochem. Lett. 2014, 10, xlviii–liii. [Google Scholar] [CrossRef]
- Qiu, S.; Sun, H.; Zhang, A.-H.; Xu, H.-Y.; Yan, G.-L.; Han, Y.; Wang, X.-J. Natural alkaloids: Basic aspects, biological roles, and future perspectives. Chin. J. Nat. Med. 2014, 12, 401–406. [Google Scholar] [CrossRef]
- Khan, H.; Nabavi, S.M.; Sureda, A.; Mehterov, N.; Gulei, D.; Berindan-Neagoe, I.; Taniguchi, H.; Atanasov, A.G. Therapeutic potential of songorine, a diterpenoid alkaloid of the genus Aconitum. Eur. J. Med. Chem. 2017, accepted. [Google Scholar] [CrossRef] [PubMed]
- Aniszewski, T. Chapter 3—Biology of alkaloids. In Alkaloids, 2nd ed.; Elsevier: Boston, MA, USA, 2015; pp. 195–258. [Google Scholar] [CrossRef]
- Ain, Q.; Khan, H.; Mubarak, M.; Pervaiz, A. Plant alkaloids as antiplatelet agent: Drugs of future in the light of recent development. Front. Pharmacol. 2016, 7, 292. [Google Scholar] [CrossRef] [PubMed]
- Kaleem, W.A.; Muhammad, N.; Khan, H.; Rauf, A.; Zia-ul-Haq, M.; Qayum, M.; Khan, A.Z.; Nisar, M.; Obaidullah. Antioxidant potential of cyclopeptide alkaloids isolated from Zizyphus oxyphylla. J. Chem. Soc. Pak. 2015, 36, 474–478. [Google Scholar]
- Rehman, S.; Khan, H. Advances in antioxidant potential of natural alkaloids. Curr. Bioact. Compd. 2017, 13, 101–108. [Google Scholar] [CrossRef]
- Kaleem, W.A.; Muhammad, N.; Qayum, M.; Khan, H.; Khan, A.; Aliberti, L.; De Feo, V. Antinociceptive activity of cyclopeptide alkaloids isolated from Ziziphus oxyphylla Edgew (Rhamnaceae). Fitoterapia 2013, 91, 154–158. [Google Scholar] [CrossRef] [PubMed]
- Alakshmi, V.; Chandiran, R.; Velraj, M.; Hemalatha, S.; Jayakumari, S. Anti-anaphylactic and anti-inflammatory activities of a bioactive alkaloid from the root bark of Plumeria acutifolia Poir. Iran. J. Pharm. Res. IJPR 2011, 10, 525–533. [Google Scholar] [PubMed]
- Khan, H. Alkaloids: Potential therapeuty modality in the management of asthma. J. Ayurvedic Herb. Med. 2015, 1, 3. [Google Scholar]
- Khattak, S.; Khan, H. Anti-cancer potential of phyto-alkaloids: A prospective review Curr. Cancer Ther. Rev. 2016, 12, 66–75. [Google Scholar] [CrossRef]
- Pervaiz, A.; Khan, R.; Anwar, F.; Kamal, M.A.; Mushtaq, G.; Khan, H. Alkaloids: An emerging antibacterial modality against Methicillin Resistant Staphylococcus aureus. Curr. Pharm. Des. 2016, 22, 4420–4429. [Google Scholar] [CrossRef] [PubMed]
- Khan, H.; Amin, S. ACE inhibition of plant alkaloids. Targeted approach for selective inhibition. Mini-Rev. Org. Chem. 2017, 14, 85–89. [Google Scholar] [CrossRef]
- Burger, T.; Mokoka, T.; Fouché, G.; Steenkamp, P.; Steenkamp, V.; Cordier, W. Solamargine, a bioactive steroidal alkaloid isolated from Solanum aculeastrum induces non-selective cytotoxicity and P-glycoprotein inhibition. BMC Complementary Altern. Med. 2018, 18, 137. [Google Scholar] [CrossRef]
- Tauchen, J.; Huml, L.; Bortl, L.; Doskocil, I.; Jarosova, V.; Marsik, P.; Frankova, A.; Clavo Peralta, Z.M.; Chuspe Zans, M.-E.; Havlik, J. Screening of medicinal plants traditionally used in Peruvian Amazon for in vitro antioxidant and anticancer potential. Nat. Prod. Res. 2018, 1–4, accepted. [Google Scholar] [CrossRef] [PubMed]
- Millimouno, F.M.; Dong, J.; Yang, L.; Li, J.; Li, X. Targeting apoptosis pathways in cancer and perspectives with natural compounds from mother nature. Cancer Prev. Res. 2014, 7, 1081–1107. [Google Scholar] [CrossRef] [PubMed]
- Lu, J.-J.; Bao, J.-L.; Chen, X.-P.; Huang, M.; Wang, Y.-T. Alkaloids isolated from natural herbs as the anticancer agents. Evid. -Based Complementary Altern. Med. Ecam 2012, 2012, 485042. [Google Scholar] [CrossRef]
- Nelson, R.L. The comparative clinical pharmacology and pharmacokinetics of vindesine, vincristine, and vinblastine in human patients with cancer. Pediatric Blood Cancer 1982, 10, 115–127. [Google Scholar] [CrossRef]
- Glade, R.S.; Vinson, K.; Becton, D.; Bhutta, S.; Buckmiller, L.M. Management of complicated hemangiomas with vincristine/vinblastine: Quantitative response to therapy using MRI. Int. J. Pediatric Otorhinolaryngol. 2010, 74, 1221–1225. [Google Scholar] [CrossRef] [PubMed]
- Mok, T.S.; Wu, Y.-L.; Thongprasert, S.; Yang, C.-H.; Chu, D.-T.; Saijo, N.; Sunpaweravong, P.; Han, B.; Margono, B.; Ichinose, Y. Gefitinib or carboplatin–paclitaxel in pulmonary adenocarcinoma. N. Engl. J. Med. 2009, 361, 947–957. [Google Scholar] [CrossRef] [PubMed]
- Sandler, A.; Gray, R.; Perry, M.C.; Brahmer, J.; Schiller, J.H.; Dowlati, A.; Lilenbaum, R.; Johnson, D.H. Paclitaxel–carboplatin alone or with bevacizumab for non–small-cell lung cancer. N. Engl. J. Med. 2006, 355, 2542–2550. [Google Scholar] [CrossRef]
- Parmar, M.; Ledermann, J.; Colombo, N.; Du Bois, A.; Delaloye, J.; Kristensen, G.; Wheeler, S.; Swart, A.; Qian, W.; Torri, V. Paclitaxel plus platinum-based chemotherapy versus conventional platinum-based chemotherapy in women with relapsed ovarian cancer: The ICON4/AGO-OVAR-2.2 trial. Lancet 2003, 361, 2099–2106. [Google Scholar]
- Samadi, P.; Sarvarian, P.; Gholipour, E.; Asenjan, K.S.; Aghebati-Maleki, L.; Motavalli, R.; Hojjat-Farsangi, M.; Yousefi, M. Berberine: A novel therapeutic strategy for cancer. Iubmb Life 2020, 72, 2065–2079. [Google Scholar] [CrossRef]
- Wang, W.-g.; Sun, W.-x.; Gao, B.-s.; Lian, X.; Zhou, H.-l. Cell cycle arrest as a therapeutic target of acute kidney injury. Curr. Protein Pept. Sci. 2017, 18, 1224–1231. [Google Scholar] [CrossRef]
- Hicks, S.D.; Middleton, F.A.; Miller, M.W. Ethanol-induced methylation of cell cycle genes in neural stem cells. J. Neurochem. 2010, 114, 1767–1780. [Google Scholar] [CrossRef] [PubMed]
- Komaki, S.; Schnittger, A. The spindle assembly checkpoint in arabidopsis is rapidly shut off during severe stress. Dev. Cell 2017, 43, 172–185.e175. [Google Scholar] [CrossRef] [PubMed]
- DiPaola, R.S. To arrest or not to G2-M cell-cycle arrest. Clin. Cancer Res. 2002, 8, 3311–3314. [Google Scholar] [PubMed]
- Bouwman, P.; Jonkers, J. The effects of deregulated DNA damage signalling on cancer chemotherapy response and resistance. Nat. Rev. Cancer 2012, 12, 587–598. [Google Scholar] [CrossRef] [PubMed]
- Luo, L.; Gao, W.; Wang, J.; Wang, D.; Peng, X.; Jia, Z.; Jiang, Y.; Li, G.; Tang, D.; Wang, Y. Study on the mechanism of cell cycle checkpoint kinase 2 (CHEK2) gene dysfunction in chemotherapeutic drug resistance of triple negative breast cancer cells. Med. Sci. Monit. 2018, 15, 3176–3183. [Google Scholar] [CrossRef] [PubMed]
- Lam, M.H.; Liu, Q.; Elledge, S.J.; Rosen, J.M. Chk1 is haploinsufficient for multiple functions critical to tumor suppression. Cancer Cell 2004, 6, 45–59. [Google Scholar] [CrossRef] [PubMed]
- Zhou, J.; Chan, J.; Lambelé, M.; Yusufzai, T.; Stumpff, J.; Opresko, P.L.; Thali, M.; Wallace, S.S. NEIL3 repairs telomere damage during S phase to secure chromosome segregation at mitosis. Cell Rep. 2017, 20, 2044–2056. [Google Scholar] [CrossRef]
- Wang, J.Y.J. Cell responses to DNA damage. In Reference Module in Biomedical Sciences; Elsevier: Amsterdam, The Netherlands, 2017. [Google Scholar] [CrossRef]
- Guleria, A.; Chandna, S. ATM kinase: Much more than a DNA damage responsive protein. DNA Repair 2016, 39, 1–20. [Google Scholar] [CrossRef]
- Chen, H.; Tang, X.; Zhou, B.; Xu, N.; Zhou, Z.; Fang, K.; Wang, Y. BDE-47 and BDE-209 inhibit proliferation of Neuro-2a cells via inducing G1-phase arrest. Environ. Toxicol. Pharmacol. 2017, 50, 76–82. [Google Scholar] [CrossRef]
- Xu, H.; Wang, Z.; Jin, S.; Hao, H.; Zheng, L.; Zhou, B.; Zhang, W.; Lv, H.; Yuan, Y. Dux4 induces cell cycle arrest at G1 phase through upregulation of p21 expression. Biochem. Biophys. Res. Commun. 2014, 446, 235–240. [Google Scholar] [CrossRef]
- García, M.A.; Fueyo, R.; Martínez-Balbás, M.A. Chapter 10—Lysine Demethylases: Structure, Function, and Disfunction A2—Binda, Olivier. In Chromatin Signaling and Diseases; Fernandez-Zapico, M.E., Ed.; Academic Press: Boston, MA, USA, 2016; pp. 179–194. [Google Scholar] [CrossRef]
- Ahlander, J.; Bosco, G. The RB/E2F pathway and regulation of RNA processing. Biochem. Biophys. Res. Commun. 2009, 384, 280–283. [Google Scholar] [CrossRef] [PubMed][Green Version]
- Bertoli, C.; Skotheim, J.M.; de Bruin, R.A.M. Control of cell cycle transcription during G1 and S phases. Nat. Rev. Mol. Cell Biol. 2013, 14, 518–528. [Google Scholar] [CrossRef] [PubMed]
- Chong, J.-L.; Wenzel, P.L.; Sáenz-Robles, M.T.; Nair, V.; Ferrey, A.; Hagan, J.P.; Gomez, Y.M.; Sharma, N.; Chen, H.-Z.; Ouseph, M. E2f1–3 switch from activators in progenitor cells to repressors in differentiating cells. Nature 2009, 462, 930–934. [Google Scholar] [CrossRef]
- Weijts, B.G.; Bakker, W.J.; Cornelissen, P.W.; Liang, K.H.; Schaftenaar, F.H.; Westendorp, B.; De Wolf, C.A.; Paciejewska, M.; Scheele, C.L.; Kent, L. E2F7 and E2F8 promote angiogenesis through transcriptional activation of VEGFA in cooperation with HIF1. EMBO J. 2012, 31, 3871–3884. [Google Scholar] [CrossRef] [PubMed]
- Pauwels, B.; Wouters, A.; Peeters, M.; Vermorken, J.B.; Lardon, F. Role of cell cycle perturbations in the combination therapy of chemotherapeutic agents and radiation. Future Oncol. 2010, 6, 1485–1496. [Google Scholar] [CrossRef] [PubMed]
- Tyson, J.J.; Novák, B. Chapter 14—Irreversible transitions, bistability and checkpoint controls in the eukaryotic cell cycle: A systems-level understanding A2-walhout. In Handbook of Systems Biology; Marian, A.J., Vidal, M., Dekker, J., Eds.; Academic Press: San Diego, CA, USA, 2013; pp. 265–285. [Google Scholar] [CrossRef]
- Velez, A.M.A.; Howard, M.S. Tumor-suppressor genes, cell cycle regulatory checkpoints, and the skin. N. Am. J. Med. Sci. 2015, 7, 176–188. [Google Scholar] [CrossRef]
- Brown, A.; Pospiech, J.; Eiwen, K.; Baker, D.J.; Moehrle, B.; Sakk, V.; Nattamai, K.; Vogel, M.; Grigoryan, A.; Geiger, H. The spindle assembly checkpoint is required for hematopoietic progenitor cell engraftment. Stem Cell Rep. 2017, 9, 1359–1368. [Google Scholar] [CrossRef] [PubMed]
- Choi, H.J.; Zhu, B.T. Critical role of cyclin B1/Cdc2 up-regulation in the induction of mitotic prometaphase arrest in human breast cancer cells treated with 2-methoxyestradiol. Biochim. Biophys. Acta (BBA) Mol. Cell Res. 2012, 1823, 1306–1315. [Google Scholar] [CrossRef]
- Trunnell, N.B.; Poon, A.C.; Kim, S.Y.; Ferrell, J.E. Ultrasensitivity in the Regulation of Cdc25C by Cdk1. Mol. Cell 2011, 41, 263–274. [Google Scholar] [CrossRef]
- Vermeulen, K.; Van Bockstaele, D.R.; Berneman, Z.N. The cell cycle: A review of regulation, deregulation and therapeutic targets in cancer. Cell Prolif. 2003, 36, 131–149. [Google Scholar] [CrossRef]
- McDonald, E.; El-Deiry, W.S. Cell cycle control as a basis for cancer drug development. Int. J. Oncol. 2000, 16, 871–957. [Google Scholar] [CrossRef]
- Townson, J.L.; Chambers, A.F. Dormancy of solitary metastatic cells. Cell Cycle 2006, 5, 1744–1750. [Google Scholar] [CrossRef] [PubMed]
- Orford, K.W.; Scadden, D.T. Deconstructing stem cell self-renewal: Genetic insights into cell-cycle regulation. Nat. Rev. Genet. 2008, 9, 115–128. [Google Scholar] [CrossRef] [PubMed]
- Brandmaier, A.; Hou, S.-Q.; Shen, W.H. Cell Cycle Control by PTEN. J. Mol. Biol. 2017, 429, 2265–2277. [Google Scholar] [CrossRef]
- Zhang, Y.; Chen, S.; Wei, C.; Rankin, G.O.; Ye, X.; Chen, Y.C. Flavonoids from Chinese bayberry leaves induced apoptosis and G1 cell cycle arrest via Erk pathway in ovarian cancer cells. Eur. J. Med. Chem. 2018, 147, 218–226. [Google Scholar] [CrossRef] [PubMed]
- Xu, W.; Wang, B.; Yang, M.; Zhang, Y.; Xu, Z.; Yang, Y.; Cao, H.; Tao, L. Tebufenozide induces G1/S cell cycle arrest and apoptosis in human cells. Environ. Toxicol. Pharmacol. 2017, 49, 89–96. [Google Scholar] [CrossRef] [PubMed]
- Whittaker, S.R.; Mallinger, A.; Workman, P.; Clarke, P.A. Inhibitors of cyclin-dependent kinases as cancer therapeutics. Pharmacol. Ther. 2017, 173, 83–105. [Google Scholar] [CrossRef]
- Sánchez-Martínez, C.; Gelbert, L.M.; Lallena, M.J.; de Dios, A. Cyclin dependent kinase (CDK) inhibitors as anticancer drugs. Bioorganic Med. Chem. Lett. 2015, 25, 3420–3435. [Google Scholar] [CrossRef]
- Koduru, S.; Grierson, D.; Van de Venter, M.; Afolayan, A. Anticancer activity of steroid alkaloids isolated from Solanum aculeastrum. Pharm. Biol. 2007, 45, 613–618. [Google Scholar] [CrossRef]
- Matkar, S.S.; Wrischnik, L.A.; Hellmann-Blumberg, U. Sanguinarine causes DNA damage and p53-independent cell death in human colon cancer cell lines. Chem. Biol. Interact. 2008, 172, 63–71. [Google Scholar] [CrossRef]
- Lee, J.S.; Jung, W.-K.; Jeong, M.H.; Yoon, T.R.; Kim, H.K. Sanguinarine induces apoptosis of HT-29 human colon cancer cells via the regulation of Bax/Bcl-2 ratio and caspase-9-dependent pathway. Int. J. Toxicol. 2012, 31, 70–77. [Google Scholar] [CrossRef] [PubMed]
- Ogasawara, M.; Matsubara, T.; Suzuki, H. Inhibitory effects of evodiamine on in vitro invasion and experimental lung metastasis of murine colon cancer cells. Biol. Pharm. Bull. 2001, 24, 917–920. [Google Scholar] [CrossRef]
- Frédérich, M.; Tits, M.; Goffin, E.; Philippe, G.; Grellier, P.; De Mol, P.; Hayette, M.-P.; Angenot, L. In vitro and in vivo antimalarial properties of isostrychnopentamine, an indolomonoterpenic alkaloid from Strychnos usambarensis. Planta Med. 2004, 70, 520–525. [Google Scholar] [CrossRef] [PubMed]
- Jiao, R.H.; Xu, S.; Liu, J.Y.; Ge, H.M.; Ding, H.; Xu, C.; Zhu, H.L.; Tan, R.X. Chaetominine, a cytotoxic alkaloid produced by endophytic Chaetomium sp. IFB-E015. Org. Lett. 2006, 8, 5709–5712. [Google Scholar] [CrossRef] [PubMed]
- Shoeb, M.; MacManus, S.M.; Jaspars, M.; Trevidu, J.; Nahar, L.; Kong-Thoo-Lin, P.; Sarker, S.D. Montamine, a unique dimeric indole alkaloid, from the seeds of Centaurea montana (Asteraceae), and its in vitro cytotoxic activity against the CaCo2 colon cancer cells. Tetrahedron 2006, 62, 11172–11177. [Google Scholar] [CrossRef]
- Kim, K.H.; Lee, I.K.; Piao, C.J.; Choi, S.U.; Lee, J.H.; Kim, Y.S.; Lee, K.R. Benzylisoquinoline alkaloids from the tubers of Corydalis ternata and their cytotoxicity. Bioorganic Med. Chem. Lett. 2010, 20, 4487–4490. [Google Scholar] [CrossRef]
- Yang, Z.; Xiao, H.; Jin, H.; Koo, P.T.; Tsang, D.J.; Yang, C.S. Synergistic actions of atorvastatin with γ-tocotrienol and celecoxib against human colon cancer HT29 and HCT116 cells. Int. J. Cancer 2010, 126, 852–863. [Google Scholar] [CrossRef]
- Huang, X.; Li, W.; Yang, X.-W. New cytotoxic quinolone alkaloids from fruits of Evodia rutaecarpa. Fitoterapia 2012, 83, 709–714. [Google Scholar] [CrossRef]
- Weon, J.B.; Kim, C.Y.; Yang, H.J.; Ma, C.J. Neuroprotective compounds isolated from Cynanchum paniculatum. Arch. Pharmacal Res. 2012, 35, 617–621. [Google Scholar] [CrossRef]
- Mansoor, T.A.; Borralho, P.M.; Luo, X.; Mulhovo, S.; Rodrigues, C.M.P.; Ferreira, M.-J.U. Apoptosis inducing activity of benzophenanthridine-type alkaloids and 2-arylbenzofuran neolignans in HCT116 colon carcinoma cells. Phytomedicine 2013, 20, 923–929. [Google Scholar] [CrossRef]
- Kim, K.H.; Moon, E.; Kang, K.S.; Kim, S.Y.; Choi, S.U.; Lee, K.R. Alkaloids from Acorus gramineus rhizomes and their biological activity. J. Braz. Chem. Soc. 2015, 26, 3–8. [Google Scholar]
- Zhang, Y.; Guo, L.; Yang, G.; Guo, F.; Di, Y.; Li, S.; Chen, D.; Hao, X. New vobasinyl-ibogan type bisindole alkaloids from Tabernaemontana corymbosa. Fitoterapia 2015, 100, 150–155. [Google Scholar] [CrossRef] [PubMed]
- Yaffe, P.B.; Power Coombs, M.R.; Doucette, C.D.; Walsh, M.; Hoskin, D.W. Piperine, an alkaloid from black pepper, inhibits growth of human colon cancer cells via G1 arrest and apoptosis triggered by endoplasmic reticulum stress. Mol. Carcinog. 2015, 54, 1070–1085. [Google Scholar] [CrossRef] [PubMed]
- Madhavi, B.B.; Nath, A.R.; Banji, D.; Madhu, M.N.; Ramalingam, R.; Swetha, D. Extraction, identification, formulation and evaluation of piperine in alginate beads. Int. J. Pharm. Pharm. Sci. 2009, 1, 156–161. [Google Scholar]
- Paterna, A.; Gomes, S.E.; Borralho, P.M.; Mulhovo, S.; Rodrigues, C.M.; Ferreira, M.-J.U. Vobasinyl–Iboga Alkaloids from Tabernaemontana elegans: Cell Cycle Arrest and Apoptosis-Inducing Activity in HCT116 Colon Cancer Cells. J. Nat. Prod. 2016, 79, 2624–2634. [Google Scholar] [CrossRef]
- Liu, Y.-P.; Yue, G.G.-L.; Lee, J.K.-M.; Feng, T.; Zhao, Y.-L.; Li, Y.; Lau, C.B.-S.; Luo, X.-D. Melodinine V, an antitumor bisindole alkaloid with selective cytotoxicity from Melodinus henryi. Bioorganic Med. Chem. Lett. 2016, 26, 4895–4898. [Google Scholar] [CrossRef] [PubMed]
- Singh, S.; Verma, M.; Malhotra, M.; Prakash, S.; Singh, T.D. Cytotoxicity of alkaloids isolated from Argemone mexicana on SW480 human colon cancer cell line. Pharm. Biol. 2016, 54, 740–745. [Google Scholar] [CrossRef]
- Arun, A.; Patel, O.P.S.; Saini, D.; Yadav, P.P.; Konwar, R. Anti-colon cancer activity of Murraya koenigii leaves is due to constituent murrayazoline and O-methylmurrayamine A induced mTOR/AKT downregulation and mitochondrial apoptosis. Biomed. Pharmacother. 2017, 93, 510–521. [Google Scholar] [CrossRef]
- Rasol, N.E.; Ahmad, F.B.; Lim, X.-Y.; Chung, F.F.-L.; Leong, C.-O.; Mai, C.-W.; Bihud, N.V.; Zaki, H.M.; Ismail, N.H. Cytotoxic lactam and naphthoquinone alkaloids from roots of Goniothalamus lanceolatus Miq. Phytochem. Lett. 2018, 24, 51–55. [Google Scholar] [CrossRef]
- Van Hattum, A.H.; Pinedo, H.M.; Schlüper, H.M.; Erkelens, C.A.; Tohgo, A.; Boven, E. The activity profile of the hexacyclic camptothecin derivative DX-8951f in experimental human colon cancer and ovarian cancer. Biochem. Pharmacol. 2002, 64, 1267–1277. [Google Scholar] [CrossRef]
- Sunassee, S.N.; Ransom, T.; Henrich, C.J.; Beutler, J.A.; Covell, D.G.; McMahon, J.B.; Gustafson, K.R. Steroidal alkaloids from the marine sponge Corticium niger that inhibit growth of human colon carcinoma cells. J. Nat. Prod. 2014, 77, 2475–2480. [Google Scholar] [CrossRef] [PubMed]
- Diana, P.; Carbone, A.; Barraja, P.; Montalbano, A.; Martorana, A.; Dattolo, G.; Gia, O.; Dalla Via, L.; Cirrincione, G. Synthesis and antitumor properties of 2, 5-bis (3′-indolyl) thiophenes: Analogues of marine alkaloid nortopsentin. Bioorganic Med. Chem. Lett. 2007, 17, 2342–2346. [Google Scholar] [CrossRef] [PubMed]
- Luo, W.; Liu, J.; Li, J.; Zhang, D.; Liu, M.; Addo, J.K.; Patil, S.; Zhang, L.; Yu, J.; Buolamwini, J.K. Anti-cancer effects of JKA97 are associated with its induction of cell apoptosis via a Bax-dependent and p53-independent pathway. J. Biol. Chem. 2008, 283, 8624–8633. [Google Scholar] [CrossRef] [PubMed]
- Srinivas, C.; Kumar, C.N.S.P.; Raju, B.C.; Rao, V.J.; Naidu, V.; Ramakrishna, S.; Diwan, P.V. First stereoselective total synthesis and anticancer activity of new amide alkaloids of roots of pepper. Bioorganic Med. Chem. Lett. 2009, 19, 5915–5918. [Google Scholar] [CrossRef] [PubMed]
- Alam, M.S.; Liu, L.; Lee, D.U. Cytotoxicity of new 5-phenyl-4,5-dihydro-1,3,4-thiadiazole analogues. Chem. Pharm. Bull. 2011, 59, 1413–1416. [Google Scholar] [CrossRef] [PubMed]
- Guaman Ortiz, L.M.; Tillhon, M.; Parks, M.; Dutto, I.; Prosperi, E.; Savio, M.; Arcamone, A.G.; Buzzetti, F.; Lombardi, P.; Scovassi, A.I. Multiple effects of berberine derivatives on colon cancer cells. BioMed Res. Int. 2014, 2014, 924585. [Google Scholar] [CrossRef]
- Guamán Ortiz, L.M.; Croce, A.L.; Aredia, F.; Sapienza, S.; Fiorillo, G.; Syeda, T.M.; Buzzetti, F.; Lombardi, P.; Scovassi, A.I. Effect of new berberine derivatives on colon cancer cells. Acta Biochim. Et Biophys. Sin. 2015, 47, 824–833. [Google Scholar] [CrossRef]
- Paterna, A.; Borralho, P.M.; Gomes, S.E.; Mulhovo, S.; Rodrigues, C.M.; Ferreira, M.-J.U. Monoterpene indole alkaloid hydrazone derivatives with apoptosis inducing activity in human HCT116 colon and HepG2 liver carcinoma cells. Bioorganic Med. Chem. Lett. 2015, 25, 3556–3559. [Google Scholar] [CrossRef]
- Liu, J.; He, Y.; Zhang, D.; Cai, Y.; Zhang, C.; Zhang, P.; Zhu, H.; Xu, N.; Liang, S. In vitro anticancer effects of two novel phenanthroindolizidine alkaloid compounds on human colon and liver cancer cells. Mol. Med. Rep. 2017, 16, 2595–2603. [Google Scholar] [CrossRef]
- Tillhon, M.; Guamán-Ortiz, L.; Lombardi, P.; Scovassi, A. Berberine: New perspectives for old remedies. Biochem. Pharmacol. 2012, 84, 1260–1267. [Google Scholar] [CrossRef]
- Malumbres, M.; Sotillo, R.o.; Santamaría, D.; Galán, J.; Cerezo, A.; Ortega, S.; Dubus, P.; Barbacid, M. Mammalian cells cycle without the D-type cyclin-dependent kinases Cdk4 and Cdk6. Cell 2004, 118, 493–504. [Google Scholar] [CrossRef] [PubMed]
- Mushtaq, M.; Gaza, H.V.; Kashuba, E.V. Role of the RB-Interacting Proteins in Stem Cell Biology. Adv. Cancer Res. 2016, 131, 133–157. [Google Scholar] [CrossRef] [PubMed]
- Lee, J.-J.; Lee, J.-H.; Gu, M.J.; Han, J.-H.; Cho, W.-K.; Ma, J.Y. Agastache rugosa Kuntze extract, containing the active component rosmarinic acid, prevents atherosclerosis through up-regulation of the cyclin-dependent kinase inhibitors p21WAF1/CIP1 and p27KIP1. J. Funct. Foods 2017, 30, 30–38. [Google Scholar] [CrossRef]
- Huang, S.; Chen, C.S.; Ingber, D.E. Control of cyclin D1, p27Kip1, and cell cycle progression in human capillary endothelial cells by cell shape and cytoskeletal tension. Mol. Biol. Cell 1998, 9, 3179–3193. [Google Scholar] [CrossRef] [PubMed]
- Wang, H.; Wang, L.; Xie, Z.; Zhou, S.; Li, Y.; Zhou, Y.; Sun, M. Nitric oxide (NO) and NO synthases (NOS)-based targeted therapy for colon cancer. Cancers 2020, 12, 1881. [Google Scholar] [CrossRef]
- Friedman, M. Chemistry and anticarcinogenic mechanisms of glycoalkaloids produced by eggplants, potatoes, and tomatoes. J. Agric. Food Chem. 2015, 63, 3323–3337. [Google Scholar] [CrossRef] [PubMed]
- Zou, J.; Ran, Z.H.; Xu, Q.; Xiao, S.D. Experimental study of the killing effects of oxymatrine on human colon cancer cell line SW1116. Chin. J. Dig. Dis. 2005, 6, 15–20. [Google Scholar] [CrossRef]
- Aung, T.N.; Qu, Z.; Kortschak, R.D.; Adelson, D.L. Understanding the effectiveness of natural compound mixtures in cancer through their molecular mode of action. Int. J. Mol. Sci. 2017, 18, 656. [Google Scholar] [CrossRef]
- Zhitomirsky, B.; Assaraf, Y.G. Lysosomes as mediators of drug resistance in cancer Drug Resist. Updates 2016, 24, 23–33. [Google Scholar]
- Gonen, N.; Assaraf, Y. Antifolates in cancer therapy: Structure, activity and mechanisms of drug resistance. Drug Resist. Update 2012, 15, 183–210. [Google Scholar] [CrossRef]
- Gottesman, M.; Lavi, O.; Hall, M.; Gillet, J. Toward a better understanding of the complexity of cancer drug resistance. Annu. Rev. Pharm. Toxicolgy 2016, 56, 85–102. [Google Scholar] [CrossRef] [PubMed]
- Wijdeven, R.; Pang, B.; Assaraf, Y.; Neefjes, J. Old drugs, novel ways out: Drug resistance toward cytotoxic chemotherapeutics. Drug Resist. Updates 2016, 28, 65–81. [Google Scholar] [CrossRef] [PubMed]
- Santoro, R.; Carbone, C.; Piro, G.; Chiao, P.J.; Melisi, D. TAK-ing aim at chemoresistance: The emerging role of MAP3K7 as a target for cancer therapy. Drug Resist. Updates 2017, 33–35, 36–42. [Google Scholar] [CrossRef] [PubMed]
- Soengas, M.S.; Lowe, S.W. Apoptosis and melanoma chemoresistance. Oncogene 2003, 22, 3138–3151. [Google Scholar] [CrossRef]
- Abdullah, L.N.; Chow, E.K.-H. Mechanisms of chemoresistance in cancer stem cells. Clin. Transl. Med. 2013, 2, 3–12. [Google Scholar] [CrossRef]
- Sakthivel, K.M.; Hariharan, S. Regulatory players of DNA damage repair mechanisms: Role in cancer chemoresistance. Biomed. Pharmacother. 2017, 93, 1238–1245. [Google Scholar] [CrossRef]
- Fodale, V.; Pierobon, M.; Liotta, L.; Petricoin, E. Mechanism of cell adaptation: When and how do cancer cells develop chemoresistance? Cancer J. 2011, 17, 89–95. [Google Scholar] [CrossRef]
- Frosina, G. DNA repair and resistance of gliomas to chemotherapy and radiotherapy. Mol. Cancer Res. 2009, 7, 989–999. [Google Scholar] [CrossRef]
- Ashwell, S.; Zabludoff, S. DNA damage detection and repair pathways—Recent advances with inhibitors of checkpoint kinases in cancer therapy. Clin. Cancer Res. 2008, 14, 4032–4037. [Google Scholar] [CrossRef]
- Eyler, C.E.; Rich, J.N. Survival of the fittest: Cancer stem cells in therapeutic resistance and angiogenesis. J. Clin. Oncol. 2008, 26, 2839–2845. [Google Scholar] [CrossRef]
- Friedberg, E.C.; Walker, G.C.; Siede, W.; Wood, R.D. DNA Repair and Mutagenesis; American Society for Microbiology Press: Washington, DC, USA, 2005. [Google Scholar]
- Akasaka, T.; Tsujii, M.; Kondo, J.; Hayashi, Y.; Ying, J.; Lu, Y.; Kato, M.; Yamada, T.; Yamamoto, S.; Inoue, T. 5-FU resistance abrogates the amplified cytotoxic effects induced by inhibiting checkpoint kinase 1 in p53-mutated colon cancer cells. Int. J. Oncol. 2015, 46, 63–70. [Google Scholar] [CrossRef] [PubMed][Green Version]
- Oren, M.; Damalas, A.; Gottlieb, T.; Michael, D.; Taplick, J.; LEAL, J.F.; Maya, R.; Moas, M.; Seger, R.; Taya, Y. Regulation of p53. Ann. N. Y. Acad. Sci. 2002, 973, 374–383. [Google Scholar] [CrossRef] [PubMed]
- Matsuoka, S.; Ballif, B.A.; Smogorzewska, A.; McDonald, E.R.; Hurov, K.E.; Luo, J.; Bakalarski, C.E.; Zhao, Z.; Solimini, N.; Lerenthal, Y. ATM and ATR substrate analysis reveals extensive protein networks responsive to DNA damage. Science 2007, 316, 1160–1166. [Google Scholar] [CrossRef] [PubMed]
- Jazayeri, A.; Falck, J.; Lukas, C.; Bartek, J.; Smith, G.C.; Lukas, J.; Jackson, S.P. ATM-and cell cycle-dependent regulation of ATR in response to DNA double-strand breaks. Nat. Cell Biol. 2006, 8, 37–45. [Google Scholar] [CrossRef] [PubMed]
- Manic, G.; Obrist, F.; Sistigu, A.; Vitale, I. Trial Watch: Targeting ATM–CHK2 and ATR–CHK1 pathways for anticancer therapy. Mol. Cell. Oncol. 2015, 2, e1012976. [Google Scholar] [CrossRef] [PubMed]
- Taylor, B.F.; McNeely, S.C.; Miller, H.L.; Lehmann, G.M.; McCabe, M.J. p53 suppression of arsenite-induced mitotic catastrophe is mediated by p21CIP1/WAF1. J. Pharmacol. Exp. Ther. 2006, 318, 142–151. [Google Scholar] [CrossRef] [PubMed]
- Vousden, K.H.; Prives, C. Blinded by the light: The growing complexity of p53. Cell 2009, 137, 413–431. [Google Scholar] [CrossRef] [PubMed]
- Schmitt, C.A. Cellular senescence and cancer treatment. Biochim. Biophys. Acta (BBA) Rev. Cancer 2007, 1775, 5–20. [Google Scholar] [CrossRef]
- Bharti, A.C.; Vishnoi, K.; Singh, S.M.; Aggarwal, B.B. Chapter 1—Pathways linked to cancer chemoresistance and their targeting by nutraceuticals. In Role of Nutraceuticals in Cancer Chemosensitization; Elsevier: Amsterdam, The Netherlands, 2018; Volume 2, pp. 1–30. [Google Scholar]


Publisher’s Note: MDPI stays neutral with regard to jurisdictional claims in published maps and institutional affiliations. |
© 2022 by the authors. Licensee MDPI, Basel, Switzerland. This article is an open access article distributed under the terms and conditions of the Creative Commons Attribution (CC BY) license (https://creativecommons.org/licenses/by/4.0/).
Share and Cite
Khan, H.; Alam, W.; Alsharif, K.F.; Aschner, M.; Pervez, S.; Saso, L. Alkaloids and Colon Cancer: Molecular Mechanisms and Therapeutic Implications for Cell Cycle Arrest. Molecules 2022, 27, 920. https://doi.org/10.3390/molecules27030920
Khan H, Alam W, Alsharif KF, Aschner M, Pervez S, Saso L. Alkaloids and Colon Cancer: Molecular Mechanisms and Therapeutic Implications for Cell Cycle Arrest. Molecules. 2022; 27(3):920. https://doi.org/10.3390/molecules27030920
Chicago/Turabian StyleKhan, Haroon, Waqas Alam, Khalaf F. Alsharif, Michael Aschner, Samreen Pervez, and Luciano Saso. 2022. "Alkaloids and Colon Cancer: Molecular Mechanisms and Therapeutic Implications for Cell Cycle Arrest" Molecules 27, no. 3: 920. https://doi.org/10.3390/molecules27030920
APA StyleKhan, H., Alam, W., Alsharif, K. F., Aschner, M., Pervez, S., & Saso, L. (2022). Alkaloids and Colon Cancer: Molecular Mechanisms and Therapeutic Implications for Cell Cycle Arrest. Molecules, 27(3), 920. https://doi.org/10.3390/molecules27030920




































