Investigation of the Anticancer Effect of α-Aminophosphonates and Arylidine Derivatives of 3-Acetyl-1-aminoquinolin-2(1H)-one on the DMBA Model of Breast Cancer in Albino Rats with In Silico Prediction of Their Thymidylate Synthase Inhibitory Effect
Abstract
:1. Introduction
2. Materials and Methods
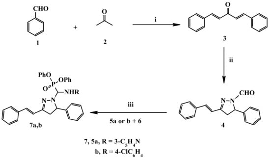
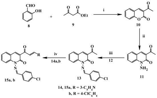
2.1. Chemistry
2.2. Experimental Anticancer Activity
2.2.1. Biochemical Evaluation of CA15-3
2.2.2. Gene Expression
RNA Extraction
cDNA Synthesis
Semi-Quantitative PCR Analysis
2.2.3. Histopathological Assessment and Immunohistochemical Assessment of Bcl2 Expression in Breast Tissue
2.3. Statistical Analysis
2.4. Computational Study
2.4.1. The Proteins’ Structure Selection
2.4.2. MOE Stepwise Docking Method
3. Results and Discussion
3.1. Chemistry
3.2. Anticancer Activity
3.2.1. Results
Results of Gene Expression
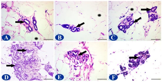
Histopathological Assessment
Immunohistochemical Assessment of Bcl2
3.2.2. Results of Analysis of CA 15-3
3.3. Docking Studies
In Silico Pharmacokinetic Profile
4. Discussion
4.1. Docking Studies
In Silico Pharmacokinetic Profile
5. Conclusions
Supplementary Materials
Author Contributions
Funding
Institutional Review Board Statement
Informed Consent Statement
Data Availability Statement
Acknowledgments
Conflicts of Interest
Sample Availability
References
- El Sayed, I.E.T.; Fathy, G.; Ahmed, A.A.S. Synthesis and Antibacterial Activity of Novel Cyclic α-Aminophsophonates. Biomed. J. Sci. Tech. Res. 2019, 234, 17609–17614. [Google Scholar]
- Shaikh, S.; Dhavan, P.; Pavale, G.; Ramana, M.M.V.; Jadhav, B.L. Design, synthesis and evaluation of pyrazole bearing α-aminophosphonate derivatives as potential acetylcholinesterase inhibitors against Alzheimer’s disease. Bioorg. Chem. 2020, 96, 103589. [Google Scholar] [CrossRef]
- Liu, J.; Liao, P.; Hu, J.; Zhu, H.; Wang, Y.; Li, Y.; Li, Y.; He, B. Synthesis and Antitumor Activities of Chiral Dipeptide Thioureas Containing an Alpha-Aminophosphonate Moiety. Molecules 2017, 222, 238. [Google Scholar] [CrossRef] [Green Version]
- Abdel-Megeed, M.F.; Badr, B.E.; Azaam, M.M.; El-Hiti, G.A. Synthesis, antimicrobial and anticancer activities of a novel series of diphenyl 1-(pyridin-3-yl) ethylphosphonates. Bioorg. Med. Chem. 2012, 207, 2252–2258. [Google Scholar] [CrossRef]
- Moradov, D.; Shifrin, H.; Harel, E.; Nadler-Milbauer, M.; Weinstock, M.; Srebnik, M.; Rubinstein, A. The anti-inflammatory activity of a novel fused-cyclopentenone phosphonate and its potential in the local treatment of experimental colitis. Gastroenterol. Res. Pract. 2015, 2015, 939483. [Google Scholar] [CrossRef] [PubMed] [Green Version]
- Abdel-Megeed, M.F.; Badr, B.E.; Azaam, M.M.; El–Hiti, G.A. Antimicrobial Activities of a Series of Diphenyl (4′-(Aryldiazenyl) Biphenyl-4-Ylamino)(Pyridin-3-YL) Methylphosphonates. Phosphorus Sulfur Silicon Relat. Elem. 2012, 18710, 1202–1207. [Google Scholar] [CrossRef]
- Zhang, B.; Hu, X.-T.; Zhou, K.-M.; Yang, Y.-S.; Zhu, H.-L. Discovery of novel aminophosphonate derivatives containing pyrazole moiety as potential selective COX-2 inhibitors. Bioorg. Chem. 2020, 102, 104096. [Google Scholar] [CrossRef]
- Koca, İ.; Özgür, A.; Coşkun, K.A.; Tutar, Y. Synthesis and anticancer activity of acyl thioureas bearing pyrazole moiety. Bioorg. Med. Chem. 2013, 2113, 3859–3865. [Google Scholar] [CrossRef]
- Singh, P.; Negi, J.S.; Nee Pant, G.J.; Rawat, M.S.M.; Budakoti, A. Synthesis and characterization of a novel 2-pyrazoline. Molbank 2009, 20093, M614. [Google Scholar] [CrossRef] [Green Version]
- Siddiqui, N.; Arshad, M.F.; Khan, S.A. Synthesis of some new coumarin incorporated thiazolyl semicarbazones as anticonvulsants. Acta Pol. Pharm. Drug Res. 2009, 66, 161–167. [Google Scholar]
- Nassan, M.A.; Soliman, M.M.; Ismail, S.A.; El-Shazly, S. Effect of Taraxacum officinale extract on PI3K/Akt pathway in DMBA-induced breast cancer in albino rats. Biosci. Rep. 2018, 38, BSR20180334. [Google Scholar] [CrossRef] [Green Version]
- Frisch, M.; Trucks, G.W.; Schlegel, H.B.; Scuseria, G.E.; Robb, M.A.; Cheeseman, J.R.; Scalmani, G.; Barone, V.; Mennucci, B.; Petersson, G. Gaussian 09, Revision d. 01, Gaussian; Stewart Computational Chemistry Inc.: Wallingford, CT, USA, 2016. [Google Scholar]
- Soga, S.; Shirai, H.; Kobori, M.; Hirayama, N. Use of amino acid composition to predict ligand-binding sites. J. Chem. Inf. Modeling 2007, 472, 400–406. [Google Scholar] [CrossRef]
- Chemical Computing Group Inc. Molecular Operating Environment (MOE); Chemical Computing Group Inc.: Montreal, QC, Canada, 2016. [Google Scholar]
- Pozzi, C.; Ferrari, S.; Luciani, R.; Tassone, G.; Costi, M.P.; Mangani, S. Structural comparison of enterococcus faecalis and human thymidylate synthase complexes with the substrate dUMP and its analogue FdUMP provides hints about enzyme conformational variabilities. Molecules 2019, 247, 1257. [Google Scholar] [CrossRef] [Green Version]
- Lipinski, C.A.; Lombardo, F.; Dominy, B.W.; Feeney, P.J. Experimental and computational approaches to estimate solubility and permeability in drug discovery and development settings. Adv. Drug Deliv. Rev. 1997, 23, 3–25. [Google Scholar] [CrossRef]
- Zhao, Y.H.; Abraham, M.H.; Le, J.; Hersey, A.; Luscombe, C.N.; Beck, G.; Sherborne, B.; Cooper, I. Rate-limited steps of human oral absorption and QSAR studies. Pharm. Res. 2002, 1910, 1446–1457. [Google Scholar] [CrossRef]
- Clark, D.E.; Pickett, S.D. Computational methods for the prediction of ‘drug-likeness’. Drug Discov. Today 2000, 52, 49–58. [Google Scholar] [CrossRef]
- Stewart, J.J.P. Optimization of parameters for semiempirical methods VI. More modifications to the NDDO approximations and re-optimization of parameters. J. Mol. Modeling 2013, 191, 1–32. [Google Scholar] [CrossRef] [Green Version]
- Siegel, R.; Ma, J.; Zou, Z.; Jemal, A. Cancer statistics, 2014. CA Cancer J. Clin. 2014, 64, 9–29. [Google Scholar] [CrossRef] [Green Version]
- Barros, A.C.S.D.; Muranaka, E.N.K.; Mori, L.J.; Pelizon, C.H.T.; Iriya, K.; Giocondo, G.; Pinotti, J.A. Induction of experimental mammary carcinogenesis in rats with 7,12-dimethylbenz(a)anthracene. Rev. Do Hosp. Das Clínicas 2004, 595, 257–261. [Google Scholar] [CrossRef]
- Tatar, O.; Ilhan, N.; Ilhan, N.; Susam, S.; Ozercan, I.H. Is there any potential anticancer effect of raloxifene and fluoxetine on DMBA-induced rat breast cancer? J. Biochem. Mol. Toxicol. 2019, 339, e22371. [Google Scholar] [CrossRef] [PubMed]
- Lin, Y.; Yao, Y.; Liu, S.; Wang, L.; Moorthy, B.; Xiong, D.; Cheng, T.; Ding, X.; Gu, J. Role of mammary epithelial and stromal P450 enzymes in the clearance and metabolic activation of 7,12-dimethylbenz(a)anthracene in mice. Toxicol. Lett. 2012, 2122, 97–105. [Google Scholar] [CrossRef] [PubMed] [Green Version]
- Lai, H.; Singh, N.P. Oral artemisinin prevents and delays the development of 7,12-dimethylbenz[a]anthracene (DMBA)-induced breast cancer in the rat. Cancer Lett. 2006, 2311, 43–48. [Google Scholar] [CrossRef] [PubMed]
- Krishnamoorthy, D.; Sankaran, M. Modulatory effect of Pleurotus ostreatus on oxidant/antioxidant status in 7,12-dimethylbenz(a)anthracene induced mammary carcinoma in experimental rats-A dose-response study. J. Cancer Res. Ther. 2016, 121, 386. [Google Scholar]
- Dey, N.; Aske, J.; De, P. Targeted Neoadjuvant Therapies in HR+/HER2− Breast Cancers: Challenges for Improving pCR. Cancers 2021, 133, 458. [Google Scholar] [CrossRef]
- Lok, S.W.; Whittle, J.R.; Vaillant, F.; Teh, C.E.; Lo, L.L.; Policheni, A.N.; Bergin, A.R.T.; Desai, J.; Ftouni, S.; Gandolfo, L.C. A phase Ib dose-escalation and expansion study of the BCL2 inhibitor venetoclax combined with tamoxifen in ER and BCL2–positive metastatic breast cancer. Cancer Discov. 2019, 93, 354–369. [Google Scholar] [CrossRef]
- Lucantoni, F.; Düssmann, H.; Llorente-Folch, I.; Prehn, J.H.M. BCL2 and BCL (X) L selective inhibitors decrease mitochondrial ATP production in breast cancer cells and are synthetically lethal when combined with 2-deoxy-D-glucose. Oncotarget 2018, 940, 26046. [Google Scholar] [CrossRef] [Green Version]
- Greenblatt, M.S.; Bennett, W.P.; Hollstein, M.; Harris, C.C. Mutations in the p53 tumor suppressor gene: Clues to cancer etiology and molecular pathogenesis. Cancer Res. 1994, 5418, 4855–4878. [Google Scholar]
- Hollstein, M.; Sidransky, D.; Vogelstein, B.; Harris, C.C. p53 mutations in human cancers. Science 1991, 253, 49–53. [Google Scholar] [CrossRef] [Green Version]
- Lu, Q.-L.; Abel, P.; Foster, C.S.; Lalani, E.-N. Bcl-2: Role in epithelial differentiation and oncogenesis. Hum. Pathol. 1996, 272, 102–110. [Google Scholar] [CrossRef]
- Tukenmez, U.; Aktas, B.; Aslim, B.; Yavuz, S. The relationship between the structural characteristics of lactobacilli-EPS and its ability to induce apoptosis in colon cancer cells in vitro. Sci. Rep. 2019, 91, 1–14. [Google Scholar] [CrossRef] [Green Version]
- Rajoka, M.S.R.; Zhao, H.; Lu, Y.; Lian, Z.; Li, N.; Hussain, N.; Shao, D.; Jin, M.; Li, Q.; Shi, J. Anticancer potential against cervix cancer (HeLa) cell line of probiotic Lactobacillus casei and Lactobacillus paracasei strains isolated from human breast milk. Food Funct. 2018, 95, 2705–2715. [Google Scholar] [CrossRef] [PubMed]
- Faria, S.C.; Sagebiel, T.; Patnana, M.; Cox, V.; Viswanathan, C.; Lall, C.; Qayyum, A.; Bhosale, P.R. Tumor markers: Myths and facts unfolded. Abdom. Radiol. 2019, 444, 1575–1600. [Google Scholar] [CrossRef] [PubMed]
- Duffy, M.J. Tumor markers in clinical practice: A review focusing on common solid cancers. Med. Princ. Pract. 2013, 221, 4–11. [Google Scholar] [CrossRef] [PubMed]
- Choi, J.W.; Moon, B.I.; Lee, J.W.; Kim, H.J.; Jin, Y.; Kim, H.J. Use of CA15-3 for screening breast cancer: An antibody-lectin sandwich assay for detecting glycosylation of CA15-3 in sera. Oncol. Rep. 2018, 401, 145–154. [Google Scholar] [CrossRef] [PubMed] [Green Version]
- Terävä, J.; Tiainen, L.; Lamminmäki, U.; Kellokumpu-Lehtinen, P.-L.; Pettersson, K.; Gidwani, K. Lectin nanoparticle assays for detecting breast cancer-associated glycovariants of cancer antigen 15–3 (CA15–3) in human plasma. PLoS ONE 2019, 147, e0219480. [Google Scholar] [CrossRef] [PubMed] [Green Version]
- Marchesi, M.C.; Manuali, E.; Pacifico, E.; Ferri, C.; Romagnoli, M.; Mangili, V.; Fruganti, G. Cancer antigen 15/3: Possible diagnostic use in veterinary clinical oncology. Preliminary study. Vet. Res. Commun. 2010, 341, 103–106. [Google Scholar] [CrossRef]
- Alghamdi, Y.S.; Soliman, M.M.; Nassan, M.A. Impact of Lesinurad and allopurinol on experimental Hyperuricemia in mice: Biochemical, molecular and Immunohistochemical study. BMC Pharmacol. Toxicol. 2020, 211, 1–12. [Google Scholar] [CrossRef] [Green Version]
- Bellamy, C.O.C.; Harrison, D.J. Evaluation of glutathione S-transferase Pi in non-invasive ductal carcinoma of breast. Br. J. Cancer 1994, 691, 183–185. [Google Scholar] [CrossRef] [Green Version]
- Feng, J.; Yang, G.; Liu, Y.; Gao, Y.; Zhao, M.; Bu, Y.; Yuan, H.; Yuan, Y.; Yun, H.; Sun, M. LncRNA PCNAP1 modulates hepatitis B virus replication and enhances tumor growth of liver cancer. Theranostics 2019, 918, 5227. [Google Scholar] [CrossRef]
- Park, S.Y.; Jeong, M.S.; Han, C.W.; Yu, H.S.; Jang, S.B. Structural and functional insight into proliferating cell nuclear antigen. J. Microbiol. Biotechnol. 2016, 264, 637–647. [Google Scholar] [CrossRef]
- Wang, J.; Qian, Y.; Gao, M. Overexpression of PDK4 is associated with cell proliferation, drug resistance and poor prognosis in ovarian cancer. Cancer Manag. Res. 2019, 11, 251. [Google Scholar] [CrossRef] [PubMed] [Green Version]
- Jeoung, N.H. Pyruvate dehydrogenase kinases: Therapeutic targets for diabetes and cancers. Diabetes Metab. J. 2015, 393, 188–197. [Google Scholar] [CrossRef] [PubMed]
- Guda, M.R.; Asuthkar, S.; Labak, C.M.; Tsung, A.J.; Alexandrov, I.; Mackenzie, M.J.; Prasad, D.V.R.; Velpula, K.K. Targeting PDK4 inhibits breast cancer metabolism. Am. J. Cancer Res. 2018, 89, 1725. [Google Scholar]
- Du, J.; Yang, M.; Chen, S.; Li, D.; Chang, Z.; Dong, Z. PDK1 promotes tumor growth and metastasis in a spontaneous breast cancer model. Oncogene 2016, 3525, 3314–3323. [Google Scholar] [CrossRef] [PubMed]
- Liu, Y.; Wang, J.; Wu, M.; Wan, W.; Sun, R.; Yang, D.; Sun, X.; Ma, D.; Ying, G.; Zhang, N. Down-regulation of 3-phosphoinositide–dependent protein Kinase-1 levels inhibits migration and experimental metastasis of human breast Cancer cells. Mol. Cancer Res. 2009, 76, 944–954. [Google Scholar] [CrossRef] [Green Version]
- Zeng, X.; Xu, H.; Glazer, R.I. Transformation of mammary epithelial cells by 3-phosphoinositide-dependent protein kinase-1 (PDK1) is associated with the induction of protein kinase Cα. Cancer Res. 2002, 6212, 3538–3543. [Google Scholar]
- Arsenic, R. Immunohistochemical analysis of PDK1 expression in breast cancer. Diagn. Pathol. 2014, 91, 1–3. [Google Scholar] [CrossRef] [Green Version]
- Armaghani, A.J.; Han, H.S. Alpelisib in the Treatment of Breast Cancer: A Short Review on the Emerging Clinical Data. Breast Cancer Targets Ther. 2020, 12, 251. [Google Scholar] [CrossRef]
- Hu, H.; Zhu, J.; Zhong, Y.; Geng, R.; Ji, Y.; Guan, Q.; Hong, C.; Wei, Y.; Min, N.; Qi, A. PIK3CA mutation confers resistance to chemotherapy in triple-negative breast cancer by inhibiting apoptosis and activating the PI3K/AKT/mTOR signaling pathway. Ann. Transl. Med. 2021, 9, 410. [Google Scholar] [CrossRef]
- Miller, T.W.; Rexer, B.N.; Garrett, J.T.; Arteaga, C.L. Mutations in the phosphatidylinositol 3-kinase pathway: Role in tumor progression and therapeutic implications in breast cancer. Breast Cancer Res. 2011, 136, 224. [Google Scholar] [CrossRef] [Green Version]
- Chalhoub, N.; Baker, S.J. PTEN and the PI3-kinase pathway in cancer. Annu. Rev. Pathol. Mech. Dis. 2009, 4, 127–150. [Google Scholar] [CrossRef] [PubMed] [Green Version]
- Miricescu, D.; Totan, A.; Stanescu-Spinu, I.-I.; Badoiu, S.C.; Stefani, C.; Greabu, M. PI3K/AKT/mTOR signaling pathway in breast cancer: From molecular landscape to clinical aspects. Int. J. Mol. Sci. 2021, 221, 173. [Google Scholar] [CrossRef] [PubMed]
- Taniguchi, C.M.; Winnay, J.; Kondo, T.; Bronson, R.T.; Guimaraes, A.R.; Alemán, J.O.; Luo, J.; Stephanopoulos, G.; Weissleder, R.; Cantley, L.C. The phosphoinositide 3-kinase regulatory subunit p85α can exert tumor suppressor properties through negative regulation of growth factor signaling. Cancer Res. 2010, 7013, 5305–5315. [Google Scholar] [CrossRef] [PubMed] [Green Version]
- Cizkova, M.; Vacher, S.; Meseure, D.; Trassard, M.; Susini, A.; Mlcuchova, D.; Callens, C.; Rouleau, E.; Spyratos, F.; Lidereau, R. PIK3R1 underexpression is an independent prognostic marker in breast cancer. BMC Cancer 2013, 131, 545. [Google Scholar] [CrossRef] [PubMed] [Green Version]
- Thorpe, L.M.; Spangle, J.M.; Ohlson, C.E.; Cheng, H.; Roberts, T.M.; Cantley, L.C.; Zhao, J.J. PI3K-p110α mediates the oncogenic activity induced by loss of the novel tumor suppressor PI3K-p85α. Proc. Natl. Acad. Sci. USA 2017, 11427, 7095–7100. [Google Scholar] [CrossRef] [Green Version]
- Pan, X.; Hong, X.; Lai, J.; Cheng, L.; Cheng, Y.; Yao, M.; Wang, R.; Hu, N. Exosomal microrna-221-3p confers adriamycin resistance in breast cancer cells by targeting PIK3R1. Front. Oncol. 2020, 10, 441. [Google Scholar] [CrossRef]









| Primer | Forward | Reverse |
|---|---|---|
| G3PDH | AGATCCACAACGGATACATT | TCCCTCAAGATTGTCAGCAA |
| BAX | ACCAAGCTGAGCGAGTGTC | ACAAAGATGGTCACGGTCTGCC |
| GST-P | GCTGGAGTGGAGTTTGAAGAA | GTCCTGACCACGTCAACATAG |
| PCNA | ACCTCGCTCCCCTTACAGT | GTCCCGGCATATACGTGCAA |
| PDK1 | AAATGCGAAATCACCAGGAC | ATATGGGCAATCCGTAACCA |
| PIK3CA | GAATTGGGAGAACCCAGACA | TGTCTTTCAGCCACTGATGC |
| PIK3R1 | CCCTCAGTGGACTTGGATGT | GCTGCTGGGAATCTGAAAAG |
| Immunohistochemical Scoring of Bcl2 | CNT | 7b | 14b | DMBA | DMBA + 7b | DMBA + 14b |
|---|---|---|---|---|---|---|
| 4 | 4 | 4 | 4 | 3 | 4 | |
| Staining intensity | +++ | +++ | +++ | +++ | + | ++ |
| Parameter | CA 15-3 (U/mL) | |
|---|---|---|
| Group | ||
| Negative control | 14.9 ± 0.8 | |
| PH | 15.1 ± 0.7 | |
| CO | 16.02 ± 0.8 | |
| DMBA | 37.1 ± 0.3 * | |
| D + PH | 25.1 ± 0.1 # | |
| D + CO | 29.8 ± 0.7 # | |
| mol | ΔE | Rmsd | E_Conf | E_Place | E.Int. | E ele |
|---|---|---|---|---|---|---|
| 7a | −6.34715 | 1.363464 | 108.423 | −34.696 | −8.82087 | −45.806 |
| 7b | −6.20573 | 1.476241 | 146.434 | −39.0312 | −8.42001 | −45.7953 |
| 15a | −5.79989 | 2.56106 | 73.59413 | −23.9119 | −10.1267 | −42.805 |
| 15b | −5.53233 | 3.908997 | 59.74263 | −25.485 | −9.13702 | −45.6665 |
| Classification ADMET Predicted Profile --- | 7a | 7b | 15a | 15b | |
|---|---|---|---|---|---|
| Absorption | |||||
| Blood-Brain Barrier | BBB+ | 0.9591 | 0.943 | 0.986 | 0.988 |
| Human Intestinal Absorption | HIA+ | 1 | 1 | 0.997 | 1 |
| Caco-2 Permeability | Caco2- | 0.5337 | 0.539 | 0.509 | 0.512 |
| P-glycoprotein Substrate | Non-substrate | 0.6866 | 0.656 | 0.778 | 0.773 |
| P-glycoprotein Inhibitor | Inhibitor | 0.5 | 0.5 | 0.556 | 0.590 |
| Inhibitor | 0.6809 | 0.668 | 0.543 | 0.588 | |
| Renal Organic Cation Transporter | Non-inhibitor | 0.6674 | 0.655 | 0.774 | 0.765 |
| Aqueous solubility | −3.559 | −4.648 | −4.317 | −4.371 | |
| Distribution | |||||
| Subcellular localization | Mitochondria | 0.6239 | 0.667 | 0.656 | 0.660 |
| Metabolism | |||||
| CYP450 2C9 Substrate | Non-substrate | 0.6135 | 0.593 | 0.725 | 0.702 |
| CYP450 2D6 Substrate | Non-substrate | 0.82 | 0.821 | 0.835 | 0.832 |
| CYP450 3A4 Substrate | Substrate | 0.5505 | 0.600 | 0.606 | 0.616 |
| CYP450 1A2 Inhibitor | Inhibitor | 0.5866 | 0.67 | 0.781 | 0.809 |
| CYP450 2C9 Inhibitor | Inhibitor | 0.5993 | 0.744 | 0.566 | 0.538 |
| CYP450 2D6 Inhibitor | Non-inhibitor | 08602 | 0.836 | 0.854 | 0.839 |
| CYP450 2C19 Inhibitor | Inhibitor | 0.6166 | 0.724 | 0.712 | 0.749 |
| CYP450 3A4 Inhibitor | Inhibitor | 0.6568 | 0.793 | 0.757 | 0.714 |
| CYP Inhibitory Promiscuity | High CYP Inhibitory Promiscuity | 0.7742 | 0.924 | 0.800 | 0.846 |
| Excretion | |||||
| Human Ether-a-go-go-Related Gene Inhibition | Weak inhibitor | 0.6256 | 0.557 | 0.905 | 0.895 |
| AMES Toxicity | Non-inhibitor | 0.8571 | 0.801 | 0.881 | 0.867 |
| AMES toxic | 0.5235 | 0.541 | 0.616 | 0.583 | |
| Carcinogens | Non-carcinogens | 0.835 | 0.702 | 0.808 | 0.790 |
| Fish Toxicity | High FHMT | 0.9906 | 0.999 | 0.987 | 0.990 |
| Tetrahymena Pyriformis Toxicity | High TPT | 0.9484 | 0.994 | 0.983 | 0.983 |
| Honey Bee Toxicity | Low HBT | 0.6835 | 0.703 | 0.857 | 0.851 |
| Biodegradation | Not ready biodegradable | 0.9943 | 1 | 1 | 0.997 |
| Acute Oral Toxicity III | 0.5863 | 0.576 | 0.650 | 0.649 | |
| Carcinogenicity (Three-class) | Non-required | 0.4183 | 0.440 | 0.550 | 0.5292 |
| Toxicity | |||||
| Rat Acute Toxicity | LD50, mol/kg | C | 2.358 | 2.324 | 2.5503 |
| Fish Toxicity | pLC50, mg/L | 1.0580 | 0.898 | 0.772 | 1.0693 |
| Tetrahymena Pyriformis Toxicity | pIGC50, ug/L | 0.7246 | 1.290 | 1.313 | 0.7074 |
| Pharmacokinetic | |||||
| Lipinski’s acceptor | 7 | 6 | 5 | 4 | |
| Lipinski’s donor | 1 | 1 | 0 | 0 | |
| Lipinski’s druglike | 0 | 0 | 1 | 1 | |
| Lipinski’s violation | 2 | 2 | 0 | 1 | |
| Topological surface area | 76.05 | 63.16 | 62.63 | 49.74 | |
Publisher’s Note: MDPI stays neutral with regard to jurisdictional claims in published maps and institutional affiliations. |
© 2022 by the authors. Licensee MDPI, Basel, Switzerland. This article is an open access article distributed under the terms and conditions of the Creative Commons Attribution (CC BY) license (https://creativecommons.org/licenses/by/4.0/).
Share and Cite
Nassan, M.A.; Aldhahrani, A.; Amer, H.H.; Elhenawy, A.; Swelum, A.A.; Ali, O.M.; Zaki, Y.H. Investigation of the Anticancer Effect of α-Aminophosphonates and Arylidine Derivatives of 3-Acetyl-1-aminoquinolin-2(1H)-one on the DMBA Model of Breast Cancer in Albino Rats with In Silico Prediction of Their Thymidylate Synthase Inhibitory Effect. Molecules 2022, 27, 756. https://doi.org/10.3390/molecules27030756
Nassan MA, Aldhahrani A, Amer HH, Elhenawy A, Swelum AA, Ali OM, Zaki YH. Investigation of the Anticancer Effect of α-Aminophosphonates and Arylidine Derivatives of 3-Acetyl-1-aminoquinolin-2(1H)-one on the DMBA Model of Breast Cancer in Albino Rats with In Silico Prediction of Their Thymidylate Synthase Inhibitory Effect. Molecules. 2022; 27(3):756. https://doi.org/10.3390/molecules27030756
Chicago/Turabian StyleNassan, Mohamed A., Adil Aldhahrani, Hamada H. Amer, Ahmed Elhenawy, Ayman A. Swelum, Omar M. Ali, and Yasser H. Zaki. 2022. "Investigation of the Anticancer Effect of α-Aminophosphonates and Arylidine Derivatives of 3-Acetyl-1-aminoquinolin-2(1H)-one on the DMBA Model of Breast Cancer in Albino Rats with In Silico Prediction of Their Thymidylate Synthase Inhibitory Effect" Molecules 27, no. 3: 756. https://doi.org/10.3390/molecules27030756
APA StyleNassan, M. A., Aldhahrani, A., Amer, H. H., Elhenawy, A., Swelum, A. A., Ali, O. M., & Zaki, Y. H. (2022). Investigation of the Anticancer Effect of α-Aminophosphonates and Arylidine Derivatives of 3-Acetyl-1-aminoquinolin-2(1H)-one on the DMBA Model of Breast Cancer in Albino Rats with In Silico Prediction of Their Thymidylate Synthase Inhibitory Effect. Molecules, 27(3), 756. https://doi.org/10.3390/molecules27030756

