Abstract
Scholars from around the world have been attempting to simplify and cheapen the synthetic method for the promising high-energy compound CL-20 for decades. The lack of understanding of the formation mechanisms of hexaazaisowurtzitane derivatives―CL-20 precursors―is a barrier to solving the said problems. Here, we report the results from an in-depth study into the acid-catalyzed condensation between benzamide and glyoxal in a molar ratio of 2:1 in polar protic and aprotic solvents. Sixteen compounds were isolated and identified, of which eight were synthesized for the first time. A geminal diol, N,N’-(2,2-dihydroxyethane-1,1-diyl)dibenzamide, was synthesized. Two isomers of 1,2-bis(benzoylamino)-1,2-ethanediol were isolated and identified. N,N’-(1-oxoethane-1,2-diyl)dibenzamide and 2-oxo-2-[(phenylcarbonyl)amino]ethyl benzoate were produced that were likely formed due to the 1,2-hydride shift. N-polysubstituted 1,4-dioxane-2,3,5,6-tetramine was synthesized for the first time, whose structure may be of interest as a scaffold for new explosives. DMSO, THF and HCOOH were found to be able to engage in a reaction with benzamide, or condensation products thereof, and glyoxal under acid-catalyzed conditions.
1. Introduction
The evolution of defense technology has a direct association with developing new high-energy materials that are superior in their energy-mass and performance characteristics to the existing ones.
Polyheterocyclic caged nitramines are viewed as the most promising among the high-energy density compounds. These compounds structurally contain strained moieties and have compact rigid molecules, which enhances their energy-mass characteristics. The predictions demonstrate that caged nitramines are much more attractive in seeking high-energy materials because they feature enhanced energetic characteristics and reduced sensitivity [1,2,3,4,5,6,7,8,9,10]. The density of nitramines increases with increasing molecular rigidity [11]. One notable example is hexanitro-2,4,6,8,10,12-hexaazatetracyclo[5.5.0.03,11.05,9]dodecane (hexanitrohexaazaisowurtzitane, CL-20) (Figure 1), which exhibits one of the highest detonation velocities (V0D = 9.36 (ε) km/s) among all of the explosives, and the highest density among the known nitranmines (ρ = 2.044 g/cm3) [12,13,14,15], as well as a positive enthalpy of formation (ΔHf = 454 kJ/mol), optimal oxygen balance (−11.0) and detonation pressure (420 kbar) [16,17,18,19,20,21]. CL-20 excels compared to the other high-energy explosive materials such as HMX, RDX, PETN, etc. CL-20 is viewed as a potential component of solid propellants [22,23,24,25,26,27] and composite explosives [28,29,30,31,32,33,34,35,36,37,38,39,40,41,42,43]. Despite the merits of CL-20, its wide application is hindered by its high manufacturing cost.
Figure 1.
The molecular structures and atomic numbering for compounds 6, 8, 13 and 16–19 (40% thermal ellipsoids are shown).
In industry, CL-20 is produced by the multistage transfunctionalization of 2,4,6,8,10,12-hexabenzyl-2,4,6,8,10,12-hexaazatetracyclo[5.5.0.03,11.05,9]dodecane (HB), which in turn is prepared by the condensation of benzylamine with glyoxal with about 80–90% yield [44,45] (Scheme 1).
Scheme 1.
Synthesis of CL-20 via transfunctionalization of HB.
Benzylamine, its derivatives, and similar amines bearing an aromatic moiety linked via a methylene bridge to the amino group are the only compounds that have been established to be capable of furnishing hexaazaisowurtzitane derivatives with an acceptable yield [44,45,46,47,48,49,50,51,52,53].
Despite benzylic substitution being possible [54], the direct nitration of HB to CL-20 fails.
Extensive research focused on upgrading the existing synthetic technologies for CL-20 and on finding alternative methods for obtaining the same has been pursued, dating back decades. The most promising direction is to develop a synthetic method for hexaazaisowurtzitane derivatives by direct condensation, which are nitratable to CL-20 [16,44,45,46,47,48,49,50,51,52,53,55,56,57,58,59,60,61,62,63,64].
At this point, the formation mechanism of the hexaazaisowurtzitane cage is understudied. The reasons behind it having such a high selectivity towards the structure of ammonia derivatives are unknown. It is therefore of no doubt that the most important step in designing alternative synthetic routes to CL-20 is an in-depth study into that process in order to identify new formation mechanisms of the hexaazaisowurtzitane cage, in particular the relationship between the structure/properties of the starting ammonia derivatives and their capability of being condensed with glyoxal to form hexaazaisowurtzitane derivatives.
Here, we investigated in detail the condensation between benzamide (1) and glyoxal in a molar ratio of 2:1 in polar protic and aprotic solvents to synthesize hexaazaisowurtzitane derivatives and establish new reaction regularities. X-ray diffraction analysis of an array of the resultant compounds was performed.
2. Results and Discussion
2.1. Study into Condensation of Benzamide with Glyoxal
We have previously explored the condensation between substituted sulfonamides (methanesulfonamide, benzenesulfonamide, 4-dimethylaminobenzenesulfonamide or isopropylsulfonamide) and glyoxal, whereby a series of new oxaazaisowurtzitane derivatives were obtained, some polyheterocyclic caged systems were discovered and new condensation regularities were established [62,63,64]. More specifically, the increased basicity of the amido group in the sulfonamide molecule was found to facilitate the incorporation of aza groups into the oxaazaisowurtzitane cage. Unlike benzenesulfonamide, 4-dimethylaminobenzenesulfonamide is condensable with glyoxal to yield an oxaazaisowurtzitane derivative bearing three aza groups. In addition, the condensation of 4-dimethylaminobenzenesulfonamide entails a byproduct that may be suggestive of the formation of a dioxatetraazaisowurtzitane derivative [64]. Gottlieb et al. proposed a probable formation pathway of a similar compound in their study [65].
In the case of the sulfonamides, limitations in the quantity of aza groups being inserted into the oxaazaisowurtzitane cage, and the low yield of the caged compounds, appear to be associated with an insufficient basicity of amido groups and steric hindrances occurring in the condensation.
Given the findings obtained earlier, we chose a compound from the class of carboxamides, namely benzamide (1), as the substrate for the study. The amido group in caboxamide molecules exhibits a higher basicity and steric accessibility than that in sulfonamide molecules.
One of the factors that influenced the choice of the phenyl moiety as a substituent in the molecule of carboxamide under study was the ability of the aromatic system to absorb UV light, which considerably simplifies the analysis and separation of the reaction products. In addition, the structural affinity of benzamide to benzylamine can probably have a positive effect on the formation process of hexaazaisowurtzitane derivatives. The highest yield of a hexaazaisowurtzitane derivative was achieved by the condensation between benzylamine and glyoxal [44,45].
The increased polarity of a solvent favors the progress of acid-catalyzed condensation, and therefore the condensation between benzamide and glyoxal (40%) was examined in polar protic and aprotic solvents. In all cases, the amide to glyoxal ratio was taken equal to 2:1, leading to the formation of the respective hexaazaisowurtzitane derivative. The acid catalysts used were mineral (hydrochloric (HCl) and sulphuric (H2SO4) acids) or organic (formic (HCOOH), acetic (AcOH), trifluoroacetic (TFA) and p-toluenesulfonic (PTSA)) acids. Individual compounds were isolated from the mixture by using preparative chromatography and different solubility of the resultant compounds.
First, the condensation in polar protic solvents, namely water, methyl (CH3OH), ethyl (CH3CH2OH) and isopropyl ((CH3)2CHOH) alcohols, was examined.
When benzamide was condensed with glyoxal in water at room temperature over the HCl catalyst, the major reaction products were two isomeric 1,2-bis(benzoylamino)-1,2-ethanediols (2) and (3), N,N’,N’’-(2-hydroxyethane-1,1,2-triyl)tribenzamide (4), N,N’,N’’,N’’’-(1,4-dioxane-2,3,5,6-tetrayl)tetrabenzamide (5), N,N’-(2,2-dihydroxyethane-1,1-diyl)dibenzamide (6), benzoic acid (7) (as the benzamide hydrolysis product), and N,N’-(2-oxoethane-1,1-diyl)dibenzamide (8) (Scheme 2, Scheme 3 and Scheme 4).
Scheme 2.
The formation of compounds 2, 3 and 4.
Scheme 3.
The formation of tetrabenzamide 5.
Scheme 4.
A presumed formation pathway of dibenzamides 6 and 8.
Because the exact structures of dibenzamides 2 and 3 were not of much interest in the present study, their identification was not performed. Isomers 2 and 3 could be separated through the means of different solubility and retention times as per HPLC. The NMR spectra of these compounds were alike. However, in contrast to compound 3, the 1H spectrum of 2 showed stronger spin-spin coupling between hydroxyl hydrogens and the ethane moiety (NMR spectra are included in Supplementary Materials).
The synthesis of compounds comprising the heterocyclic structure of 1,4-dioxane-2,3,5,6-tetramine has not been reported before. The high melting point (304–305 °C (dec.)) of tetrabenzamide 5 and the low solubility in protic and aprotic solvents bear mentioning. The compound is limitedly soluble in boiling dimethylsulfoxide (DMSO).
Compound 6 was probably generated by the condensation of two benzamide molecules with glyoxal, accompanied by steric hindrances. Compound 8 was likely formed by the dehydration of compound 6. In addition, the pinacol rearrangement of diol 2 could take place (or a similar process accompanied by the 1,2-migration) to yield compound 8, which was further hydrated to compound 6. However, this process is unlikely. The benzoic group is less liable to the 1,2-migration. The compound bearing a 2,2-diaminoethane-1,1-diol moiety was synthesized for the first time. The structures of compounds 6 and 8 were resolved by X-ray diffraction analysis (Sub. 2.2. and Supplementary Materials). The possible pathways for the formation of dibenzamides 6 and 8 are displayed in Scheme 4.
The condensation in alcohols (CH3OH, CH3CH2OH or (CH3)2CH2OH), as in water, was slow and required a high acidity. The resultant products from the reaction between the alcohols and diol 2 were N,N’-(1,2-dimethoxyethane-1,2-diyl)dibenzamide (9), N,N’-(1,2-diethoxyethane-1,2-diyl)dibenzamide (10) or N,N’-(1,2-diisopropoxyethane-1,2-diyl) dibenzamide (11) (Scheme 5). The reaction mixture was recorded by HPLC analysis to contain a small quantity of diol 2. Compounds 9 and 10 were previously produced by condensation of diol 2 with the corresponding alcohol over little HCl or p-toluenesulfonic acid [66]. Compound 11 was previously synthesized by the reaction between N,N’-dibenzoyl-1,2-(diaminodibromo)ethane with isopropyl alcohol [67].
Scheme 5.
The formation of dibenzamides 9–11.
Because the nucleophilic substitution rate is particularly dependent on the electronegativity of an electrophilic atom (in this case, the oxygen atom in the alcohol molecule), compound 11 was formed the quickest. All dibenzamides 9–11 were poorly soluble in the reaction medium and precipitated during the reaction.
Table 1 summarizes the composition of the principal reaction products of the acid-catalyzed condensation between benzamide and glyoxal over the HCl catalyst of different concentrations. The syntheses were effected for 20 h.
Table 1.
Condensation products of benzamide with glyoxal in HCl of varied concentrations.
It is seen from the data presented in Table 1 that the condensation was the most vigorous when the HCL content in the mixture was 20%, in which case the major reaction products were 2, 4, 6 and 8. A considerable portion of the initial benzamide remained in the reaction mixture.
The condensation between benzamide and glyoxal in polar aprotic solvents (acetone (CH3C(O)CH3), acetonitrile (CH3CN), tetrahydrofuran (THF) or DMSO) proceeded to furnish a complex mixture of products. In most cases, a mixture was formed that comprised more than 30 compounds. We isolated and identified most of the principal reaction products (with contents of more than 2% in the mixture, as per HPLC), namely compounds 2–6 and 8, and a novel compound, N,N’,N’’,N’’’-(ethane-1,1,2,2-tetrayl)tetrabenzamide (12) (Scheme 6). A sample of compound 12 was obtained separately in boiling toluene over the PTSA catalyst.
Scheme 6.
The formation of compound 12.
The acid-catalyzed condensation between benzamide and glyoxal in THF resulted in the formation of N-(tetrahydrofuran-2-yl)benzamide (13) (Scheme 7). This compound was most likely formed by the reaction of benzamide with the oxidized tetrahydrofuran—tetrahydrofuran-2-ol (14). As the process took a long time upon heating and in the light, a small amount of THF could be oxidized to 1,2-dioxane, which was transformed into compound 14 by the intramolecular transposition accompanied by the O-O bond breakage (Scheme 7). Compound 13 (5% in the mixture, as per HPLC) was formed most of all when trifluoroacetic acid was used as the acid catalyst.
Scheme 7.
A presumed mechanism for the formation of compound 13.
A small amount of N,N’-methanediyldibenzamide (15) was detected to be formed by the TFA-catalyzed reaction in DMSO (Scheme 8, Table 2, Entry 7).
Scheme 8.
A presumed pathway for the formation of dibenzamide 15.
Table 2.
Acid-catalyzed condensation products of benzamide and glyoxal in polar aprotic solvents.
Because this compound was only generated in DMSO, it could be hypothesized that it was the solvent that acted as a donor of the methylene moiety in this case. The synthesis of compound 15 by the reaction of benzaldehyde, hydroxylamine, hydrochloride and DMSO has been reported. The reaction was effected in water at an elevated temperature and in the presence of alkali [68]. The authors [68] speculated that compound 15 was formed by the reaction between the methyl(methylidene)sulfonium cation and benzamide, accompanied by the formation of methanethiol (MeSH). The cation was generated in that case by the reaction of benzaldoxime with DMSO via the double bond. It can be hypothesized that a similar process accompanied by the nucleophilic attack by DMSO took place under our conditions used. After the experiment was completed, the reaction mixture had a pronounced unpleasant odor, apparently suggestive of the methanethiol formed.
Table 2 lists HPLC data for the acid-catalyzed condensation reaction between benzamide and glyoxal in polar aprotic solvents over the TFA or PTSA catalysts. These acids exhibited a high catalytic activity at an elevated synthesis temperature but did not favor intensive hydrolysis of the amide due to the lack or a small content of water (PTSA was employed as a crystallohydrate). As the condensation process was slow at room temperature, the syntheses were run at an elevated temperature (60 °C) for 4 h.
The major reaction products in CH3C(O)CH3, CH3CN or THF over the PTSA catalyst included compounds 4–6 and 8 (Table 2, Entries 1, 2 and 4). These compounds were poorly soluble in CH3C(O)CH3 and CH3CN and precipitated. In DMSO over the PTSA catalyst, and in CH3C(O)CH3, DMSO or THF over the TFA catalyst, compounds 2 and 3 were chiefly formed (Table 2, Entries 3, 5, 7 and 8). In CH3C(O)CH3 and THF, some of these products precipitated. In CH3CN over the TFA catalyst, the principal reaction products were 3, 4, 6 and 8 (Table 2, Entry 6). In all of the experiments, except that with DMSO, the TFA-catalyzed condensation produced a small amount of compound 12 (Table 2, Entries 1–6 and 8). In addition, minimum hydrolysis of benzamide to benzoic acid was observed in DMSO (Table 2, Entries 3 and 7). Upon completion of the syntheses, the reaction mixtures contained benzamide, and the further holding did not lead to a considerable decrement in the benzamide content, suggestive of complete glyoxal usage.
The condensation between benzamide and glyoxal was examined in strong mineral acids at reduced and room temperatures, and in organic acids at an elevated temperature. The syntheses in concentrated HCl or H2SO4 at reduced and room temperatures resulted in no formation of condensation products; instead, benzamide was observed to extensively decompose to ammonium salts. When HCl was utilized, ammonium chloride precipitated from the reaction mass. A small quantity of a new compound, 2-oxo-2-[(phenylcarbonyl)amino]ethyl benzoate (16), was formed in boiling HCOOH (Scheme 9). In hot TFA (60 °C), small amounts of compounds 4, 16 and new N,N’-(1-oxoethane-1,2-diyl)dibenzamide (17) were generated (Scheme 10). In boiling AcOH, a complex mixture of compounds 2, 3, 4, 16 and 17 originated in a small yield.
Scheme 9.
A presumed pathway for the formation of dibenzamide 16.
Scheme 10.
A presumed mechanism for the formation of dibenzamide 17.
In our opinion, the synthesis of compound 17 occurred due to the acid-catalyzed transposition in the molecule of diol 2, accompanied by the 1,2-hydride shift (Scheme 9).
Compound 16 was likely generated by the esterification reaction of the hydrolysis product of compound 17 with acid 7 (Scheme 9).
The condensation of diol 2 was explored in pure organic acids (HCOOH, TFA or AcOH) and separately in CH3CN or DMSO over TFA, HCl or H2SO4 catalyst (Table 3). As the reaction took place slowly at reduced and room temperatures, the syntheses were effected at an elevated temperature. Of particular interest is the ability of diol 2 to be dehydrated to the respective diimine under the acid-catalyzed condensation conditions. The formation mechanism of hexaazaisowurtzitane derivatives through the trimerization of diimines was introduced by Nielsen in 1990 [49].
Table 3.
Transformation products of diol 2 in acidified polar aprotic solvents or organic acids.
A small amount of N-formylbenzamide (18) was found to be formed in boiling HCOOH, whose formation was likely due to the formylation of benzamide (Scheme 11). Since it is well-known that anhydrous HCOOH is not amenable to tautomerism (no substitution of the deuterium atom for the hydrogen atom occurs), it can be hypothesized that in this case, there was a nucleophilic attack against the carbon atom of HCOOH by the benzamide nitrogen atom, followed by dehydration of the condensation product.
Scheme 11.
A presumed pathway for the formation of dibenzamide 18.
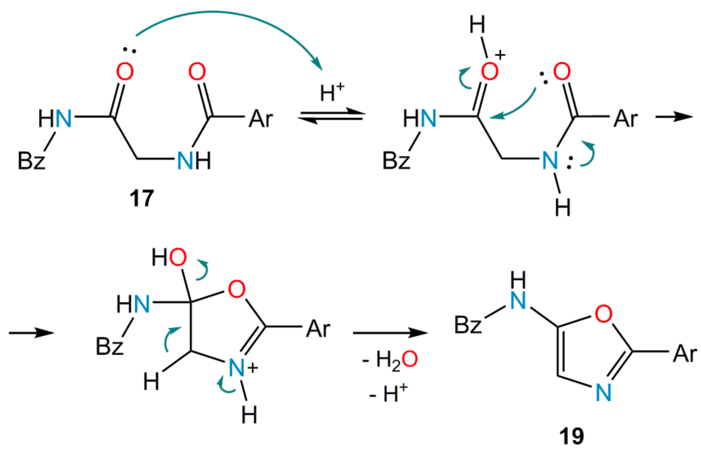
A novel heterocyclic compound, N-(2-phenyl-1,3-oxazol-5-yl)benzamide (19), was synthesized in boiling TFA in a 22% yield. To our minds, this compound originated from the intramolecular cyclization of compound 17. Compound 17 was also present in the reaction mixture (Scheme 12).
Scheme 12.
A presumed mechanism for the formation of benzamide 19.
Compound 17 was formed in all of the chosen media, except HCl-acidified DMSO (Table 3, Entries 1–5 and 7). Compound 16 was one of the principal reaction products in AcOH, HCOOH and TFA acids, as well as in CH3CN over the TFA catalyst (Table 3, Entries 1, 3 and 4). Apart from compounds 16 and 17, a small amount of compound 18 was generated in HCOOH (Table 3, Entry 1). The principal reaction product in TFA was benzamide 19 (Table 3, Entry 2). The major reaction product in DMSO acidified with strong mineral acids was byproduct 15 (up to a 50% content in the mixture) (Table 3, Entries 6 and 7).
Table 3 presents data on the transformation of diol 2 in organic acids and acidified polar aprotic solvents at an elevated temperature.
2.2. X-ray Diffraction Analysis
XRD data were collected on a Bruker Kappa Apex II CCD diffractometer using φ,ω-scans of narrow (0.5°) frames with MoKα radiation (λ = 0.71073 Å) and a graphite monochromator at room temperature. The structures were resolved by direct methods in SHELXL97 [69] and refined by a full matrix least-squares anisotropic-isotropic (for H atoms) procedure using SHELXL-2014/7 software package [70]. Absorption corrections were applied using the empirical multiscan method with the SADABS program [71]. The positions of the hydrogen atoms were calculated with the riding model. The hydrogen atom positions for NH groups were located from the difference Fourier map.
CCDCs 2108741 (for 6), 2108742 (for 8), 2108743 (for 13), 2108744 (for 16), 2108745 (for 17), 2108746 (for 18) and 2108747 (for 19) contain supplementary crystallographic data for this paper. These data can be obtained free of charge from the Cambridge Crystallographic Data Center at http://www.ccdc.cam.ac.uk/data_request/cif. (accessed on 28 January 2022).
The molecular structures of compounds 6, 8, 13 and 16–19 are illustrated in Figure 1. The obtained crystal structures were analyzed for the geometrical parameters and short contacts between non-bonded atoms using the PLATON [72,73] and MERCURY programs [74]. The geometric parameters for all the compounds agreed within 3σ of the corresponding mean statistical values [75].
The structure of compound 8 is made up of two crystalographically independent molecules. Crystal packings of molecules 6, 8, 13 and 16–19 are very close. The 1D infinite chains of the molecules were formed in crystals 8, 13, 16 and 19 through intermolecular H-bonding: N-H…O or N-H…N types. The 1D infinite ribbons were formed in crystal packings of 6 and 17 by their two infinite chains connected in pairs through intermolecular H-bonding: N-H…O or O-H…O types. Dimers were formed in compound 18 by intermolecular H-bonding.
The detailed parameters of intermolecular H-bonding are given in Table 4.
Table 4.
H-bonding parameters for compounds 6, 8, 13 and 16–19.
For example, the dimer in crystal packings of 18, the chain of 8 and the ribbon of 17 are presented in Figure 2, Figure 3 and Figure 4.
Figure 2.
An example of the dimer in crystal packings of compound 18.
Figure 3.
Examples of the chain of compound 8.
Figure 4.
Examples of the chain of compound 17.
Figure 2, Figure 3 and Figure 4 display examples of a dimer in crystal packings of 18, a chain of 8, and a ribbon of 17.
The crystallographic data and details of the refinements are given in the Supplementary Materials.
3. Materials and Methods
The reagents were purchased from commercial sources and were used as received, unless mentioned otherwise. Commercially available compounds were used without further purification, unless stated otherwise. Melting points were determined on a Stuart SMP30 melting point apparatus (Bibby Scientific Ltd., Staffodshire, UK). Infrared (IR) spectra were recorded on a Simex FT-801 Fourier transform infrared spectrometer in KBr pellets or in a liquid film. 1H and 13C NMR spectra were recorded on a Bruker AV-400 instrument (Bruker Corporation, Billerica, MA, USA) at 400 and 100 MHz. Chemical shifts are expressed in ppm (δ). Elemental analysis was performed on a ThermoFisher FlashEA 1112 elemental analyzer (ThermoFisher, Waltham, MA, USA). For preparative chromatography, silica gel Kieselgel 60 (0.063–0.2 mm, Macherey-Nagel GmbH & Co. KG, Dueren, Germany) was used. HPLC analysis was performed on an Agilent 1200 chromatograph with a diode array detector. The separation was carried out on a Zorbax SB-C18 (150 × 2.1 mm, a 5 µm mesh) column with a Zorbax SB-C18 pre-column (12.5 × 2.1 mm, a 5 µm mesh). Mixed solvents A (37.5 мM ammonium acetate solution, pH = 4.4 (acetic acid)) and B (acetonitrile) were used as the mobile phase. The mobile phase composition was varied in the gradient mode: the concentration of solvent B was linearly raised from 15 to 25% for 10 min, and then the concentration of solvent B was raised from 25 to 70% for 15 min and maintained at this level for another 10 min. The flowrate of the eluent was 0.25 mL/min, the column temperature was 40 °C, detection was run at a 235 nm wavelength, and the sample volume was 2 µL. The column conditioning time between successive injections was 15 min, and the total time of analysis was 50 min.
4. Experimental
4.1. Synthesis of 1,2-Bis(benzoylamino)-1,2-ethanediol (2) (Isomer 1)
Into a mixture of 1 (77.5 g, 0.640 mol), glyoxal (46.4 g, 40%, 0.320 mol) and DMSO (542.5 mL) was poured HCl (387.5 mL, 36%) for 3–5 min with stirring and cooling. During the portionwise addition, the reaction mixture temperature must not exceed 30 °C. After the portionwise addition was completed, the mixture was stirred at room temperature for 72 h, and afterwards it was filtered. The filter cake was washed thrice with water and dried at room temperature to a constant weight to furnish diol 2 as a white crystalline powder.
Yield: 46.5 g (96.5% assay (HPLC)), 0.149 mol (46.7% calculated as compound 1). Mp = 178–179 °C (dec.). IR (KBr): ν = 3339, 3267, 3085, 3059, 3033, 2961, 2827, 2697, 1649, 1604, 1581, 1556, 1492, 1421, 1349, 1291, 1241, 1190, 1158, 1074, 1034, 1021, 923, 883, 800, 702, 685 cm−1. 1H NMR (DMSO-d6): δ = 5.50–5.55 (m, 2H), 5.95 (d, J = 4.5 Hz, 2H), 7.48 (t, J = 7.4 Hz, 3H), 7.54 (t, J = 7.2 Hz, 3H), 7.92 (d, J = 7.2 Hz, 4H), 8.69 (d, J = 7.8 Hz, 2H) ppm. 13C{1H} NMR (DMSO-d6): δ = 75.3, 127.9, 128.7, 131.8, 134.9, 166.6 ppm. Elemental analysis, calcd (%) for C16H16N2O4 (300.31): C, 63.99; H, 5.37; N, 9.33; found: C, 63.82; H, 5.44; N, 9.21.
4.2. Synthesis of N,N’,N’’-(2-Hydroxyethane-1,1,2-triyl)tribenzamide (4)
A mixture of 1 (3 g, 24.76 mmol), glyoxal (1.8 g, 40%, 12.40 mmol) and formic acid (25 mL) was stirred at reflux for 16 h, whereupon HCOOH was withdrawn from the reaction mass in a rotary evaporator at reduced pressure. The residue was muddled in acetone (30 mL) for 1 h and then collected by filtration. The resulting precipitate was recrystallized thrice from 3:1 v/v mixed acetone and water to furnish compound 4 as a white crystalline powder.
Yield: 0.17 g (97.1% assay (HPLC)), 0.41 mmol (5% calculated as compound 1). Mp = 190–192 °C (dec.). IR (KBr): ν = 3298, 3112, 3087, 3063, 3030, 2919, 1653, 1603, 1579, 1558, 1527, 1487, 1351, 1278, 1156, 1075, 1060, 1040, 1013, 948, 926, 885, 802, 694, 673 cm−1. 1H NMR (DMSO-d6): δ = 5.82–5.86 (m, 1H), 6.10 (q, J1 = 13.0 Hz, J2 = 7.4 Hz, 1H), 6.37 (d, J = 4.2 Hz, 1H), 7.46–7.55 (m, 9H), 7.86 (d, J = 7.0 Hz, 6H), 8,57 (t, J = 7.9 Hz, 2H), 8.89 (d, J = 8.7 Hz, 1H) ppm. 13C{1H} NMR (DMSO-d6): δ = 60.3, 74.1, 127.8, 127.9, 128.73, 128.79, 131.9, 132.0, 134.7, 134.9, 166.3, 166.7, 166.9 ppm. Elemental analysis, calcd (%) for C23H21N3O4 (403.43): C, 68.47; H, 5.25; N, 10.42; found: C, 68.59; H, 5.28; N, 10.31.
4.3. Synthesis of N,N’,N’’,N’’’-(1,4-Dioxane-2,3,5,6-tetrayl)tetrabenzamide (5)
A mixture of 1 (10 g, 82.55 mmol), glyoxal (6 g, 40%, 41.35 mmol), THF (100 mL) and PTSA monohydrate (5 g) was stirred vigorously at 60 °C for 4 h. Upon completion, the mixture was filtered and the filter cake washed with THF. The residue was transferred into a beaker and successively washed thrice with hot aqueous acetone (50%) and twice with hot DMF and once with acetone for 20 min with stirring. The solvents were decanted each time. After being washed, the residue was air-dried to a constant weight to give compound 5 as a white crystalline powder.
Yield: 0.87 g (98.7% assay (HPLC)), 1.52 mmol (7.4% calculated as compound 1). Mp = 304–305 °C (dec.). IR (KBr): ν = 3302, 3059, 2927, 1657, 1603, 1581, 1529, 1491, 1325, 1283, 1248, 1183, 1159, 1126, 1071, 1028, 1001, 927, 881, 854, 802, 692, 649 cm−1. 1H NMR (DMSO-d6): δ = 5.71 (d, J = 6.1 Hz, 4H), 7.45 (t, J = 7.2 Hz, 8H), 7.53 (t, J = 7.0 Hz, 4H), 7.84 (d, J = 7.5 Hz, 8H), 9.30 (s, 4H) ppm. 13C{1H} NMR (DMSO-d6): δ = 77.5, 128.0, 128.7, 132.2, 134.3, 167.1 ppm. Elemental analysis, calcd (%) for C32H28N4O6 (564.59): C, 68.07; H, 5.00; N, 9.92; found: C, 69.71; H, 5.08; N, 9.89.
4.4. Synthesis of Mixed N,N’-(2,2-Dihydroxyethane-1,1-diyl)dibenzamide (6) and N,N’-(2-Oxoethane-1,1-diyl)dibenzamide (8)
A mixture of 1 (8 g, 66.04 mmol), glyoxal (4.8 g, 40%, 33.08 mmol), water (16 mL) and HCl (16 mL, 36%) was stirred at room temperature for 70 h and then filtered. The stock solution when stirred was diluted with water (500 mL), held at 3–5 °C for 16 h and then filtered. The resultant precipitate (containing 70% mixed compounds 6 and 8, as per HPLC) were recrystallized thrice from mixed acetone/water in a ratio of 4:1 v/v to furnish mixed compounds 6 and 8 as a white crystalline powder.
Yield: 0.39 g (the content of 6 and 8 in the precipitate was 93% (HPLC)); the contents of compounds 6 and 8 in the mixture were 36% and 64%, respectively (as per 1H NMR).
The crystals of compounds 6 and 8 for X-ray diffraction were derived by multiple fractional crystallization in acetonitrile (Sub. 2.2. and Supplementary Materials).
4.5. A General Synthetic Procedure for N,N’-(1,2-Dimethoxyethane-1,2-diyl)dibenzamide (9), N,N’-(1,2-Diethoxyethane-1,2-diyl)dibenzamide (10) and N,N’-(1,2-Diisopropoxyethane-1,2-diyl)dibenzamide (11)
A mixture of 1 (3 g, 24.76 mmol), glyoxal (1.8 g, 40%, 12.40 mmol), alcohol (CH3OH, CH3CH2OH or (CH3)2CH2OH) (30 mL) and HCl (5 mL, 36%) was stirred at room temperature for 120 h. Upon completion, the mixture was filtered, and the filter cake was washed thrice with water and dried at room temperature to a constant weight to yield compounds 9, 10 or 11, respectively, as white crystalline powders.
Yield of 9: 0.03 g (95% assay (HPLC)), 0.087 mmol (0.7% calculated as compound 1). Mp = 233–234 °C (dec.). IR (KBr): ν = 3335, 3061, 2985, 2950, 2934, 2835, 1645, 1603, 1520, 1489, 1462, 1450, 1353, 1327, 1302, 1249, 1189, 1150, 1099, 1074, 1046, 1002, 941, 881, 802, 718, 689, 606 cm−1. 1H NMR (DMSO-d6): δ = 3.27 (s, 6H), 5.46 (d, J = 6.8 Hz, 2H), 7.51 (t, J = 7.3 Hz, 4H), 7.58 (t, J = 7.0 Hz, 2H), 7.96 (d, J = 7.4 Hz, 4H), 8.94 (d, J = 6.7 Hz, 2H) ppm. 13C{1H} NMR (DMSO-d6): δ = 55.5, 81.2, 128.0, 128.8, 132.0, 134.4, 167.5 ppm. Elemental analysis, calcd (%) for C18H20N2O4 (328.36): C, 65.84; H, 6.14; N, 8.53; found: C, 65.69; H, 6.13; N, 8.50.
Yield of 10: 0.2 g (93% assay (HPLC)), 0.52 mmol (4.2% calculated as compound 1). Mp = 239–240 °C (dec.) (DMF). IR (KBr): ν = 3332, 3062, 3031, 2990, 2971, 2929, 2899, 2890, 1644, 1603, 1580, 1520, 1489, 1345, 1317, 1244, 1180, 1150, 1092, 1041, 1001, 922, 858, 802, 719, 691, 659, 619, 606 cm−1. 1H NMR (DMSO-d6): δ = 1.05 (t, J = 6.9 Hz, 6H), 3.49–3.64 (m, 4H), 5.52 (d, J = 6.9 Hz, 2H), 7.50 (t, J = 7.4 Hz, 4H), 7.56 (t, J = 7.1 Hz, 2H), 7.94 (d, J = 7.7 Hz, 4H), 8.94 (d, J = 7.0 Hz, 2H) ppm. 13C{1H} NMR (DMSO-d6): δ = 15.6, 63.3, 80.1, 127.9, 128.8, 131.9, 134.6, 167.4 ppm. Elemental analysis, calcd (%) for C20H24N2O4 (356.41): C, 67.40; H, 6.79; N, 7.86; found: C, 67.34; H, 6.82; N, 7.83.
Yield of 11: 1.0 g (86% assay (HPLC)), 2.24 mmol (18.1% calculated as compound 1). Mp = 246–247 °C (dec.) (DMF). IR (KBr): ν = 3331, 3062, 2972, 2929, 2900, 2873, 1644, 1602, 1580, 1524, 1491, 1456, 1378, 1365, 1343, 1311, 1245, 1179, 1152, 1135, 1120, 1089, 1042, 923, 881, 818, 799, 720, 693, 662, 622 cm−1. 1H NMR (DMSO-d6): δ = 1.05 (dd, J1 = 18.9 Hz, J2 = 6.0 Hz, 12H), 3.79–3.88 (m, 2H), 5.53 (d, J = 7.0 Hz, 2H), 7.49 (t, J = 7.4 Hz, 4H), 7.55 (t, J = 7.0 Hz, 2H), 7.94 (d, J = 7.7 Hz, 4H), 8.95 (d, J = 7.3 Hz, 2H) ppm. 13C{1H} NMR (DMSO-d6): δ = 22.4, 23.6, 69.8, 79.2, 127.9, 128.8, 131.9, 134.7, 166.9 ppm. Elemental analysis, calcd (%) for C22H28N2O4 (384.47): C, 68.73; H, 7.34; N, 7.29; found: C, 68.65; H, 7.37; N, 7.26.
4.6. Synthesis of N,N’,N’’,N’’’-(Ethane-1,1,2,2-tetrayl)tetrabenzamide (12)
A mixture of 1 (2 g, 16.51 mmol), glyoxal (1.2 g, 40%, 8.27 mmol), toluene (25 mL) and PTSA monohydrate (0.15 g) was refluxed with vigorous stirring in a round-bottom flask fitted with a Dean–Stark trap for 7.5 h. Upon completion, the whole mixture was filtered, and the filter cake was transferred into a beaker and muddled in ethanol (30 mL, 96%) for 1 h. The mixture was then filtered and the filter cake was washed with acetone. The resultant residue was recrystallized twice from a little DMSO to deliver compound 12 as a white crystalline powder.
Yield: 0.33 g (97.1% assay (HPLC)), 0.63 mmol (15.3% calculated as compound 1). Mp = 325–327 °C. IR (KBr): ν = 3286, 3103, 3061, 3028, 2925, 2855, 1655, 1603, 1580, 1546, 1516, 1488, 1446, 1358, 1333, 1294, 1277, 1154, 1075, 1057, 1038, 1025, 1001, 925, 889, 880, 800, 704, 693, 673, 615 cm−1. 1H NMR (DMSO-d6): δ = 6.34–6.40 (m, 2H), 7.48 (t, J = 7.3 Hz, 8H), 7.55 (t, J = 7.0 Hz, 4H), 7.77 (d, J = 7.5 Hz, 8H), 8.63 (d, J = 6.6 Hz, 4H) ppm. 13C{1H} NMR (DMSO-d6): δ = 59.8, 127.5, 129.0, 132.1, 134.4, 166.6 ppm. Elemental analysis, calcd (%) for C30H26N4O4 (506.55): C, 71.13; H, 5.17; N, 11.06; found: C, 70.85; H, 5.15; N, 11.00.
4.7. Synthesis of N,N’-Methanediyldibenzamide (15)
A mixture of diol 2 (1.5 g, 4.99 mmol), DMSO (50 mL) and HCl (1 mL, 36%) was stirred at 115–118 °C for 7 h. Upon completion, the whole mixture was diluted with water (450 mL) with stirring, held for 16 h at 3–5 °C and filtered. The resultant precipitate was dissolved in chloroform and collected by filtration through a paper filter. The filter cake was washed with chloroform. The stock solution and wash chloroform were combined and evaporated to dryness in a rotary evaporator at reduced pressure. The residue was recrystallized from chloroform to deliver compound 15 as a white crystalline powder.
Yield: 0.42 g (97.6% assay (HPLC)), 1.61 mmol (32.3% calculated as compound 1). Mp = 221–223 °C. IR (KBr): ν = 3306, 3059, 2967, 1634, 1578, 1527, 1488, 1389, 1326, 1304, 1288, 1151, 1111, 1032, 728, 694, 672 cm−1. 1H NMR (DMSO-d6): δ = 4.88 (t, J = 5.6 Hz, 2H), 7.46 (t, J = 7.4 Hz, 4H), 7.53 (t, J = 7.2 Hz, 2H), 7.92 (d, J = 7.4 Hz, 4H), 9.08 (t, J = 5.3 Hz, 2H) ppm. 13C{1H} NMR (DMSO-d6): δ = 45.6, 127.9, 128.7, 131.9, 134.4, 166.9 ppm. Elemental analysis, calcd (%) for C23H21N3O4 (403.43): C, 68.47; H, 5.25; N, 10.42; found: C, 68.59; H, 5.28; N, 10.31.
4.8. Synthesis of 2-Oxo-2-[(phenylcarbonyl)amino]ethyl benzoate (16) and N,N’-(1-Oxoethane-1,2-diyl)dibenzamide (17)
A mixture of diol 2 (9 g, 29.97 mmol) and HCOOH (90 mL) was refluxed for 1 h. Upon completion, the whole was diluted with water (810 mL) upon stirring, held for 16 h at 3–5 °C and filtered. The resulting precipitate was dissolved in chloroform and collected by filtration through a paper filter. The filter cake was washed with chloroform. The stock solution and wash chloroform were combined and evaporated to dryness in a rotary evaporator at reduced pressure. The residue was muddled in a little acetone and collected by filtration. The filter cake was washed with acetone. The resulting precipitate was composed mainly of compound 16. The stock solution was evaporated in a rotary evaporator at reduced pressure and the residue was subjected to preparative chromatography. Mixed chloroform, acetonitrile, heptane and acetic acid in a ratio of 6:1:0.5:0.1 v/v were used as the eluent. The fractions containing compounds 16 and 17 were collected, for which Rfs were 0.69 and 0.31, respectively. The solvents were removed separately from the fractions containing the compounds. The precipitate that had earlier been obtained containing compound 16 was combined with the residue obtained after removal of the solvents from the fraction with Rf = 0.69 and recrystallized twice from chloroform. The residue after removal of the solvents from the fraction with Rf = 0.31 was recrystallized twice from acetone.
The result was compound 16 as a white crystalline powder. Yield: 0.71 g (91.7% assay (HPLC)), 2.30 mmol (7.7% calculated as compound 2). Mp = 174–176 °C (CH3C(O)CH3). IR (KBr): ν = 3300, 3061, 3013, 2968, 1713, 1693, 1600, 1583, 1508, 1468, 1454, 1404, 1390, 1318, 1291, 1234, 1180, 1115, 1071,1030, 936, 915, 833, 813, 802, 715, 706, 679, 642 cm−1. 1H NMR (DMSO-d6): δ = 5.39 (s, 2H), 7.53–7.60 (m, 4H), 7.64–7.73 (m, 2H), 8.03 (dd, J1 = 17.7 Hz, J2 = 7.4 Hz, 4H), 11.57 (s, 1H) ppm. 13C{1H} NMR (DMSO-d6): δ = 65.4, 129.0, 129.3, 129.7, 129.8, 132.7, 133.6, 134.1, 165.8, 167.3, 170.5 ppm. The structure of the compound was validated by X-ray diffraction (Sub. 2.2. and Supplementary Materials).
The result was compound 17 as a white crystalline powder. Yield: 0.14 g (98.2% assay (HPLC)), 0.49 mmol (1.6% calculated as compound 2). Mp = 177–179 °C (CH3C(O)CH3). IR (KBr): ν = 3304, 3170, 3067, 2954, 1716, 1697, 1640, 1602, 1580, 1544, 1503, 1476, 1407, 1389, 1253, 1234, 1217, 1182, 1163, 1074, 1027, 990, 921, 800, 716, 693, 646 cm−1. 1H NMR (DMSO-d6): δ = 4.45 (d, J = 5.6 Hz, 2H), 7.48–7.58 (m, 5H), 7.65 (t, J = 7.2 Hz, 1H), 7.94 (dd, J1 = 23.7 Hz, J2 = 7.7 Hz, 4H), 8.81 (t, J = 5.2 Hz, 1H), 11.3 (s, 1H) ppm. 13C{1H} NMR (DMSO-d6): δ = 45.3, 127.7, 128.8, 128.9, 129.0, 131.9, 133.3, 134.3, 167.0, 167.1, 172.0 ppm. The structure of the compound was validated by X-ray diffraction (Sub. 2.2. and Supplementary Materials).
4.9. Synthesis of N-Formylbenzamide (18), N-(Tetrahydrofuran-2-yl)benzamide (13), and 1,2-Bis(benzoylamino)-1,2-ethanediol (3) (Isomer 2)
A mixture of 1 (10 g, 82.55 mmol), glyoxal (6 g, 40%, 41.35 mmol), THF (100 mL) and HCOOH (3 mL) was refluxed with vigorous stirring in a round-bottom flask equipped with a reflux condenser for 16 h. A half of the solvent was withdrawn from the reaction mixture in a rotary evaporator at reduced pressure, and the whole mixture was held at room temperature for 3 days. After that, the suspension was filtered and the filter cake was washed with THF. The stock solution after the filtration and THF after the residue washing were combined and evaporated to dryness at reduced pressure in a rotary evaporator. The remaining resin was subjected to preparative chromatography. Mixed chloroform, acetonitrile, heptane and acetic acid in a ratio of 6:1:0.5:0.1 by volume were used as the eluent. The fractions containing compounds 13 and 18 (Rf 0.48 and 0.24, respectively) were collected separately. The solvents of the collected fractions were evaporated separately to dryness at reduced pressure in a rotary evaporator. The resultant residues were recrystallized individually from mixed diethyl ether/chloroform at ratios of 5:1 and 1:1 by volume, respectively.
The eluent was further replaced by 1:1 v/v mixed chloroform/acetone, and the compounds left in the column (preparative chromatography) were eluted. The fractions were collected fractionally under HPLC control. The first to come out of the column was amide 1 followed by mixed compounds, among which was compound 3. The fraction containing 3 was collected and evaporated to dryness in a rotary evaporator at reduced pressure. The residue was muddled in chloroform for 20 min, combined by filtration and washed with chloroform. The filter cake was extracted with a great excess of boiling acetone with stirring and then filtered. The procedure was repeated until all of compound 3 was extracted from the residue (HPLC). The extracts were combined and evaporated to dryness at reduced pressure in a rotary evaporator. The residue was extracted many-fold with a great volume of THF until most of compound 3 was extracted. The combined extracts were crystallized fractionally (slowly evaporating the solvent at room temperature). The precipitates composed of pure compound 3 (HPLC) were combined.
The result was compound 3 as a white crystalline powder. Yield: 0.31 g (96.4% assay (HPLC)), 0.99 mmol (2.4% calculated as compound 1). Mp = 167–168 °C (dec.). IR (KBr): ν = 3294, 3060, 2928, 1645, 1603, 1581, 1525, 1490, 1397, 1351, 1288, 1221, 1151, 1080, 1041, 1001, 926, 883, 845, 803, 694, 634 cm−1. 1H NMR (DMSO-d6): δ = 5.51 (s, 2H), 6.03 (s, 2H), 7.45–7.55 (m, 6H), 7.84 (d, J = 7.5 Hz, 4H), 8.68 (d, J = 7.7 Hz, 4H) ppm. 13C{1H} NMR (DMSO-d6): δ = 75.0, 127.9, 128.7, 131.8, 135.1, 167.0 ppm. Elemental analysis, calcd (%) for C16H16N2O4 (300.31): C, 63.99; H, 5.37; N, 9.33; found: C, 63.03; H, 5.32; N, 9.21.
The result was compound 13 as a white crystalline powder. Yield: 0.20 g (95.2% assay (HPLC)), 1.00 mmol (1.2% calculated as compound 1). Mp = 137–138 °C (CH3CN). IR (KBr): ν = 3313, 3057, 2971, 2882, 1643, 1600, 1578, 1531, 1488, 1449, 1356, 1313, 1295, 1262, 1195, 1138, 1124, 1061, 1041, 1025, 985, 956, 939, 920, 880, 804, 716, 695, 647 cm−1. 1H NMR (DMSO-d6): δ = 1.76–1.95 (m, 2H), 1.98–2.13 (m, 2H), 3.68–3.84 (m, 2H), 5.76 (q, J1 = 12.2 Hz, J2 = 6.9 Hz, 1H), 7.47 (t, J = 7.3 Hz, 2H), 7.54 (t, J = 7.1 Hz, 1H), 7.86 (d, J = 7.5 Hz, 2H), 8.79 (d, J = 8.0 Hz, 1H) ppm. 13C{1H} NMR (DMSO-d6): δ = 25.0, 30.9, 66.8, 80.9, 127.9, 128.7, 131.8, 134.7, 166.9 ppm. The structure of the compound was validated by X-ray diffraction (Sub. 2.2. and Supplementary Materials).
The result was compound 18 as a white crystalline powder. Yield: 0.26 g (98.0% assay (HPLC)), 1.71 mmol (2.1% calculated as compound 1). Mp = 103–104 °C (diethyl ether: CHCl3, 5: 1). IR (KBr): ν = 3272, 3172, 3070, 2928, 1726, 1691, 1672, 1599, 1581, 1503, 1461, 1365, 1352, 1250, 1239, 1210, 1157, 1077, 1061, 1029, 1001, 933, 886, 804, 748, 701, 674 cm−1. 1H NMR (DMSO-d6): δ = 7.55 (t, J = 7.4 Hz, 2H), 7.68 (t, J = 7.3 Hz, 1H), 8.02 (d, J = 7.8 Hz, 2H), 9.27 (s, 1H), 11.74 (s, 1H) ppm. 13C{1H} NMR (DMSO-d6): δ = 128.9, 129.1, 132.0, 133.9, 164.9, 168.0 ppm. The structure of the compound was validated by X-ray diffraction (Sub. 2.2. and Supplementary Materials).
4.10. Synthesis of N-(2-Phenyl-1,3-oxazol-5-yl)benzamide (19)
A mixture of diol 2 (3 g, 10 mmol) and TFA (75 mL) was refluxed with stirring for 4 h. Upon completion, the whole was evaporated to dryness in a rotary evaporator at reduced pressure. The residue was diluted with water and extracted with ethyl acetate. The extract was washed twice with water, then dried over Na2SO4, and evaporated to dryness in a rotary evaporator at reduced pressure. The residue after solvent removal was subjected to preparative chromatography. Mixed chloroform/acetonitrile in a ratio of 6:1 v/v were used as the eluent. The solvents were evacuated from the collected fraction with Rf = 0.56 in a rotary evaporator at reduced pressure. The residue after solvent removal was recrystallized twice from acetone to give compound 19 as a white crystalline powder.
Yield: 0.30 g (96.0% assay (HPLC)), 1.09 mmol (10.9% calculated as compound 2). Mp = 176–178 °C (CH3C(O)CH3). IR (KBr): ν = 2956, 2925, 2853, 2787, 1685, 1616, 1599, 1581, 1561, 1547, 1486, 1447, 1340, 1307, 1282, 1251, 1110, 1067, 1022, 1005, 887, 804, 774, 714, 706, 691, 654 cm−1. 1H NMR (DMSO-d6): δ = 7.27 (s, 1H), 7.49–7.58 (m, 5H), 7.64 (t, J = 7.2 Hz, 1H), 7.99 (dd, J1 = 39.0 Hz, J2 = 7.2 Hz, 4H), 11.71 (s, 1H) ppm. 13C{1H} NMR (DMSO-d6): δ = 114.1, 125.7, 127.3, 128.4, 129.1, 129.7, 130.5, 132.8, 133.0, 146.5, 154.4, 164.4 ppm. The structure of the compound was validated by X-ray diffraction (Sub. 2.2. and Supplementary Materials).
5. Conclusions
Here, we investigated in detail an acid-catalyzed condensation between benzamide and glyoxal in a molar ratio of 2:1 in polar protic and aprotic solvents. Under the conditions used, benzamide was low-activity over a wide range of acidities and temperatures and reacted slowly with glyoxal, in which case it underwent hydrolysis to benzoic acid. At the same time, glyoxal was involved in cascade side reactions and was removed from the reaction mixture. In most cases, the condensation ended before benzamide was exhausted. The general picture showed that similar processes were observed to take place in polar aprotic and protic solvents, which resulted in a great number of compounds. In the course of the study, we isolated and identified 16 compounds. Of these, seven condensation products of benzamide and glyoxal and 1 reaction product of benzamide and glyoxal in THF were first synthesized in this study. In particular, a geminal diol, N,N’-(2,2-dihydroxyethane-1,1-diyl)dibenzamide, was synthesized and identified. Two isomeric 1,2-bis(benzoylamino)-1,2-ethanediols were isolated and identified. N,N’-(1-oxoethane-1,2-diyl)dibenzamide and 2-oxo-2-[(phenylcarbonyl)amino]ethyl benzoate were synthesized that appeared to ensue from the 1,2-hydride shift. N-polysubstituted 1,4-dioxane-2,3,5,6-tetramine was obtained for the first time, whose structure can be of interest as a scaffold for novel explosives. This compound features a high melting point and a low solubility. It was discovered that DMSO, THF and HCOOH could engage in a reaction with benzamide or condensation products thereof and glyoxal under acid-catalyzed conditions. This aspect should be borne in mind when exploring the condensation between ammonia derivatives and glyoxal in those solvents. The formation of the diimine by the condensation between benzamide and glyoxal or by transformation of 1,2-bis(benzoylamino)-1,2-ethanediol was not established.
This study allows for the conclusion that the main factors impeding the acid-catalyzed cascade condensation of benzamide (probably all carbamides) with glyoxal to polyheterocyclic caged compounds are the low resistance of the carbamide group to hydrolysis and the tendency of the condensation products towards intramolecular transpositions.
Supplementary Materials
NMR spectra for all the compounds and X-ray diffraction data for new compounds are available.
Author Contributions
Conceptualization, A.P.; methodology, A.P. and I.S.; validation, A.P., I.S., A.R., I.B. and D.P.; investigation, A.P.; resources, A.P., I.S., I.B., A.R. and D.P.; writing—original draft preparation, A.P. and I.B.; writing—review and editing, A.P.; visualization, A.P. and I.B.; supervision, A.P. and I.B. All authors have read and agreed to the published version of the manuscript.
Funding
This research was supported by the Ministry of Science and Higher Education of the Russian Federation (agreement No. 075-15-2020-803 with the Zelinsky Institute of Organic Chemistry of the RAS).
Institutional Review Board Statement
Not applicable.
Informed Consent Statement
Not applicable.
Data Availability Statement
Not applicable.
Acknowledgments
The work was done using instruments provided by the Biysk Regional Center for Shared Use of Scientific Equipment of the SB RAS (IPCET SB RAS, Biysk). The authors would like to acknowledge the Multi-Access Chemical Research Center of the SB RAS for spectral and analytical measurements.
Conflicts of Interest
The authors declare no conflict of interest.
Sample Availability
Samples of the compounds are not available from the authors.
References
- Paromov, A.E.; Sysolyatin, S.V. Oxaazatetracyclo [5.5.0.03,11.05,9] dodecanes—A promising foundation for the design of thermally stable, high-density energetic compounds. Chem. Heterocycl. Compd. 2017, 53, 630–637. [Google Scholar] [CrossRef]
- Karaghiosoff, K.; Klapotke, T.M.; Michailovski, A.; Holl, G. 4,10-Dinitro-2,6,8,12-tetraoxa-4,10-diazawurtzitane (TEX): A nitramine with an exceptionally high density. Acta Crystallographica 2002, 58, 580–581. [Google Scholar] [CrossRef]
- Koch, E.C. TEX—4,10-Dinitro-2,6,8,12-tetraoxa-4,10-diazatetracyclo [5.5.0.05,9.03,11] dodecane—Review of a promising high density insensitive energetic material. Propellants Explos. Pyrotech. 2015, 40, 374–387. [Google Scholar] [CrossRef]
- Gatilov, Y.V.; Rybalova, T.V.; Efimov, O.A.; Lobanova, A.A. Molecular and crystal structure of polycyclic nitramines. J. Struct. Chem. 2005, 46, 566–571. [Google Scholar] [CrossRef]
- Bircher, H.R.; Maeder, P.; Mathieu, J. Properties of CL-20 based high explosives. In Proceedings of the 29th International Annual Conference of ICT, Karlsruhe, Germany, 30 June–3 July 1998. [Google Scholar]
- Vagenknecht, J.; Marecek, P.; Trzcinski, W.A. Sensitivity and performance properties of tex explosives. J. Energ. Mater. 2002, 20, 245–253. [Google Scholar] [CrossRef]
- Kozyrev, N.V.; Sysolyatin, S.V.; Sakovich, G.V. Synthesis of ultrafine diamonds from alloys of TNT with polycyclic nitramines. Combust. Explos. Shock Waves 2006, 42, 486–489. [Google Scholar] [CrossRef]
- Zeman, S.; Atalar, T. A new view of relationships of the N–N bond dissociation energies of cyclic nitramines. Part III. Relationship with detonation velocity. J. Energ. Mater. 2009, 27, 217–229. [Google Scholar] [CrossRef]
- Yang, J.; Wang, G.; Gong, X.; Zhang, J.; Wang, Y. High-energy nitramine explosives: A design strategy from linear to cyclic to caged molecules. ACS Omega 2018, 3, 9739–9745. [Google Scholar] [CrossRef]
- Cumming, A.S. New trends in advanced high energy materials. J. Aerosp. Technol. Manag. 2009, 1, 161–166. [Google Scholar] [CrossRef]
- Tian, M.; Chi, W.J.; Li, Q.S.; Li, Z.S. Theoretical design of highly energetic poly-nitro cage compounds. RSC Adv. 2016, 6, 47607–47615. [Google Scholar] [CrossRef]
- Nielsen, A.T.; Chaen, A.P.; Christian, S.L.; Moore, D.W.; Nadler, M.P.; Nissan, R.A.; Vanderah, D.J. Synthesis of polyazapolycyclic caged polynitramines. Tetrahedron 1998, 54, 11793–11812. [Google Scholar] [CrossRef]
- Sakovich, G.V.; Sysolyatin, S.V.; Kozyrev, N.V.; Makarovets, N.A. Explosive Composition. RU Patent 2,252,925; IPCET SB RAS, 28 May 2005. [Google Scholar]
- Nielsen, A.T. Caged Polynitramine Compound. U.S. Patent 5,693,794, 2 December 1997. [Google Scholar]
- Viswanath, D.S.; Ghosh, T.K.; Boddu, V.M. Hexanitrohexaazaisowurtzitane (HNIW, CL-20). In Emerging Energetic Materials: Synthesis, Physicochemical, and Detonation Properties; Viswanath, D.S., Ghosh, T.K., Boddu, V.M., Eds.; Springer: Berlin/Heidelberg, Germany, 2018; pp. 59–100. [Google Scholar]
- Venkata Viswanath, J.; Venugopal, K.J.; Srinivasa Rao, N.V.; Venkataraman, A. An overview on importance, synthetic strategies and studies of 2,4,6,8,10,12-hexanitro-2,4,6,8,10,12-hexaazaisowurtzitane (HNIW). Def. Technol. 2016, 12, 401–418. [Google Scholar] [CrossRef]
- Nair, U.R.; Sivabalan, R.; Gore, G.M.; Geetha, M.; Asthana, S.N.; Singh, H. Hexanitrohexaazaisowurtzitane (CL-20) and CL-20-based formulations (review). Combust. Explos. Shock Waves 2005, 41, 121–132. [Google Scholar] [CrossRef]
- Bumpus, J.A. A theoretical investigation of the ring strain energy, destabilization energy, and heat of formation of CL-20. Adv. Phys. Chem. 2012, 2012, 175146. [Google Scholar] [CrossRef][Green Version]
- Krause, H.H. New Energetic Materials. Energetic Materials: Particle Processing and Characterization; Teipel, U., Ed.; Wiley—VCH: Weinheim, Germany, 2005; pp. 1–25. [Google Scholar]
- Mandal, A.K.; Pant, C.S.; Kasar, S.M.; Soman, T. Process optimization for synthesis of CL-20. J. Energ. Mater. 2009, 27, 231–246. [Google Scholar] [CrossRef]
- Talawar, M.B.; Sivabalan, R.; Anniyappan, M.; Gore, G.M.; Asthana, S.N.; Gandhe, B.R. Emerging trends in advanced high energy materials. Combust. Explos. Shock Waves 2007, 43, 62–72. [Google Scholar] [CrossRef]
- Singh, H. Survey of New Energetic and Eco-Friendly. Materials for Propulsion of Space Vehicles. Chemical Rocket Propulsion. A Comprehensive Survey of Energetic Materials; De Luca, L.T., Shimada, T., Sinditskii, V.P., Calabro, M., Eds.; Springer: Berlin/Heidelberg, Germany, 2017; pp. 127–138. [Google Scholar]
- Aldoshin, S.M.; Lempert, D.B.; Goncharov, T.K.; Kazakov, A.I.; Soglasnova, S.I.; Dorofeenko, E.M.; Plishkin, N.A. Energetic potential of solid composite propellants based on CL-20-containing bimolecular crystals. Russ. Chem. Bull. 2016, 65, 2018–2024. [Google Scholar] [CrossRef]
- Wu, Z.; Liu, N.; Zheng, W.; Chen, J.; Song, X.; Wang, J.; Cui, C.; Zhang, D.; Zhao, F. Application and properties of CL-20/HMX cocrystal in composite modified double base propellants. Propellants Explos. Pyrotech. 2020, 45, 92–100. [Google Scholar] [CrossRef]
- Wang, J.; Yang, L.; Zheng, W.; Zhang, J. Study on comparative performance of CL-20/RDX-based CMDB propellants. Propellants Explos. Pyrotech. 2019, 44, 1175–1182. [Google Scholar] [CrossRef]
- Sergienko, A.V.; Popenko, E.M.; Slyusarsky, K.V.; Larionov, K.B.; Dzidziguri, E.L.; Kondratyeva, E.S.; Gromov, A.A. Burning characteristics of the HMX/CL-20/AP/polyvinyltetrazole binder/al solid propellants loaded with nanometals. Propellants Explos. Pyrotech. 2019, 44, 217–223. [Google Scholar] [CrossRef]
- Sinditskii, V.P.; Chernyi, A.N.; Egorshev, V.Y.; Dashko, D.V.; Goncharov, T.K.; Shisho, N.I. Combustion of CL-20 cocrystals. Combust. Flame 2019, 207, 51–62. [Google Scholar] [CrossRef]
- Shi, Y.; Bai, L.; Gong, J.; Ju, X. Theoretical calculation into the structures, stability, sensitivity, and mechanical properties of 2,4,6,8,10,12-hexanitro-2,4,6,8,10,12 hexaazai-sowurtzitane (CL-20)/1-amino-3-methyl-1,2,3-triazoliumnitrate (1-AMTN) cocrystal and its mixture. Struct. Chem. 2020, 31, 647–655. [Google Scholar] [CrossRef]
- Zhu, Y.; Luo, J.; Lu, Y.; Li, H.; Gao, B.; Wang, D.; Zhang, X.; Guo, C. Emulsion synthesis of CL-20/DNA composite with excellent superfine spherical improved sensitivity performance via a combined ultrasonic–microwave irradiation approach. J. Mater. Sci. 2018, 53, 14231–14240. [Google Scholar] [CrossRef]
- Chen, T.; Zhang, Y.; Guo, S.-F.; Zhao, L.-M.; Chen, W.; Hao, G.-Z.; Xiao, L.; Ke, X.; Jiang, W. Preparation and property of CL-20/BAMO-THF energetic nanocomposites. Def. Technol. 2019, 15, 306–312. [Google Scholar] [CrossRef]
- Chapman, C.J.; Groven, L.J. Evaluation of a CL-20/TATB energetic co-crystal. Propellants Explos. Pyrotech. 2019, 44, 293–300. [Google Scholar] [CrossRef]
- Liu, N.; Duan, B.; Lu, X.; Mo, H.; Xu, M.; Zhanga, Q.; Wang, B. Preparation of CL-20/DNDAP cocrystals by a rapid and continuous spray drying method: An alternative to cocrystal formation. CrystEngComm 2018, 20, 2060–2067. [Google Scholar] [CrossRef]
- Herrmannsdorfer, D.; Gerber, P.; Heintz, T.; Herrmann, M.J.; Klapotke, T.M. Investigation of crystallisation conditions to produce CL-20/HMX cocrystal for polymer-bonded explosives. Propellants Explos. Pyrotech. 2019, 44, 668–678. [Google Scholar] [CrossRef]
- Tan, Y.; Yang, Z.; Wang, H.; Li, H.; Nie, F.; Liu, Y.; Yu, Y. High energy explosive with low sensitivity: A new energetic cocrystal based on CL-20 and 1,4-DNI. Cryst. Growth Des. 2019, 19, 4476–4482. [Google Scholar] [CrossRef]
- Li, P.; Liu, K.; Ao, D.; Liu, X.; Xu, H.; Duan, X.; Pei, C. A low-sensitivity nanocomposite of CL-20 and TATB. Cryst. Res. Technol. 2018, 53, 1800189. [Google Scholar] [CrossRef]
- Wu, C.-L.; Zhang, S.-H.; Gou, R.-J.; Ren, F.-D; Han, G.; Zhu, S.-F. Theoretical insight into the effect of solvent polarity on the formation and morphology of 2,4,6,8,10,12-hexanitrohexaazaisowurtzitane (CL-20)/2,4,6-trinitro-toluene (TNT) cocrystal explosive. Comput. Theor. Chem. 2018, 1127, 22–30. [Google Scholar] [CrossRef]
- Vuppuluri, V.S.; Samuels, P.J.; Caflin, K.C.; Gunduz, I.E.; Son, S.F. Detonation performance characterization of a novel CL-20 cocrystal using microwave interferometry. Propellants Explos. Pyrotech. 2018, 43, 38–47. [Google Scholar] [CrossRef]
- Hai, L.; Yi, L.; Zhaoxia, M.; Zhixuan, Z.; Junling, L.; Yuanhang, H. Study on the initial decomposition mechanism of energetic co-crystal 2,4,6,8,10,12-hexanitro-2,4,6,8,10,12-hexaazaisowurtzitane (cl-20)/1,3,5,7-tetranitro-1,3,5,7-tetrazacyclooctane (hmx) under a steady shock wave. Acta Physico Chimica Sinica 2019, 35, 858–867. [Google Scholar] [CrossRef]
- Sun, S.; Zhang, H.; Xu, J.; Wang, H.; Wang, S.; Yu, Z.; Zhua, C.; Suna, J. Design, preparation, characterization and formation mechanism of a novel kinetic CL-20-based cocrystal. Acta Crystallographica 2019, 75, 310–317. [Google Scholar] [CrossRef] [PubMed]
- Liu, Y.; Gou, R.-j.; Zhang, S.-h.; Chen, Y.-H.; Chen, M.-H.; Liu, Y.-B. Effect of solvent mixture on the formation of CL-20/HMX cocrystal explosives. J. Mol. Model. 2020, 26, 8. [Google Scholar] [CrossRef] [PubMed]
- Liu, N.; Duan, B.; Lu, X.; Zhang, Q.; Xu, M.; Moa, H.; Wang, B. Preparation of CL-20/TFAZ cocrystals under aqueous conditions: Balancing high performance and low sensitivity. CrystEngComm 2019, 21, 7271–7279. [Google Scholar] [CrossRef]
- Viswanath, J.V.; Shanigaram, B.; Vijayadarshan, P.; Chowadary, T.V.; Gupta, A.; Bhanuprakash, K.; Niranjana, S.R.; Venkataraman, A. Studies and theoretical optimization of CL-20: RDX cocrystal. Propellants Explos. Pyrotech. 2019, 44, 1570–1582. [Google Scholar] [CrossRef]
- Stepanov, V.; Patel, R.B.; Mudryy, R.; Qiu, H. Investigation of nitramine-based amorphous energetics. Propellants Explos. Pyrotech. 2016, 41, 142–147. [Google Scholar] [CrossRef]
- Cagnon, G.; Eck, G.; Herve, G.; Jacob, G. Process for the Synthesis of Hexanitrohexaazaisowurtzitane in 2 Steps from a Primary Amine. EP Patent 1479683 A1, 24 November 2004. [Google Scholar]
- Azizkhani, V.; Montazeri, F.; Molashahi, E.; Ramazani, A. Magnetically recyclable CuFe2O4 nanoparticles as an efficient and reusable catalyst for the green synthesis of 2,4,6,8,10,12-hexabenzyl-2,4,6,8,10,12-hexaazaisowurtzitane as CL-20 explosive precursor. J. Energ. Mater. 2017, 35, 314–320. [Google Scholar] [CrossRef]
- Klapotke, T.M.; Krumm, B.; Piotrowski, H.; Polborn, K.; Holl, G. Synthesis and structures of trifluoromethyl-, fluoro-, and azido-substituted hexabenzylhexaazaisowurtzitanes and isolation of a novel hexaazaisowurtzitane-based polycycle. Chem. Eur. J. 2003, 9, 687–694. [Google Scholar] [CrossRef]
- Kerscher, T.; Klapotke, T.M.; Krumm, B.; Polborn, K.; Scherr, M. Polyfluorinated hexabenzyl hexaazaisowurtzitanes. J. Fluor. Chem. 2006, 127, 1030–1035. [Google Scholar] [CrossRef]
- Norris, W.P.; Nielsen, A.T. Catalytic synthesis of caged polynitramine compounds. U.S. Patent 8017768 B1, 02 December 1997. [Google Scholar]
- Nielsen, A.T.; Nissan, R.A.; Vanderah, D.J. Polyazapolycyclics by condensation of aldehydes with amines. 2. Formation of 2,4,6,8,10,12-hexabenzyl-2,4,6,8,10,12-hexaazatetracyclo [5.5.0.05.9.03,11] dodecanes from glyoxal and benzylamines. J. Org. Chem. 1990, 55, 1459–1466. [Google Scholar] [CrossRef]
- Crampton, M.R.; Hamid, J.; Millar, R.; Ferguson, G. Studies of the synthesis, protonation and decomposition of 2,4,6,8,10,12-hexabenzyl-2,4,6,8,10,12-hexaazatetracyclo [5.5.0.05,9.03,11] dodecane (HBIW). J. Chem. Soc. Perkin Trans. 1993, 2, 923–929. [Google Scholar] [CrossRef]
- Batsanov, A.; Cole, J.C.; Crampton, M.R.; Hamid, J.; Howard, J.A.K.; Millar, R. Condensation products from the reactions of glyoxal with 2-substituted benzylamines. The formation and crystal structures of 2,2′-bi(1,2,3,4-tetrahydroquinazoline), and 2,4,6,8,10,12-hexakis(2-methylbenzyl)-2,4,6,8,10,12-hexaazaisowurtzitane. J. Chem. Soc. Perkin Trans. 1994, 2, 421–424. [Google Scholar] [CrossRef]
- Adamiak, J.; Maksimowski, P. Optimization of the synthesis of 2,4,6,8,10,12-hexaallyl-2,4,6,8,10,12-hexaazaisowurtzitane. Propellants Explos. Pyrotech. 2009, 34, 315–320. [Google Scholar] [CrossRef]
- Chapman, R.D.; Hollins, R.A. Benzylamine-free, heavy-metal-free synthesis of cl-20 via hexa(1-propenyl)hexaazaisowurtzitanes. J. Energ. Mater. 2008, 26, 246–273. [Google Scholar] [CrossRef]
- Escoubet, S.; Gastaldi, S.; Bertrand, M. Methods for the cleavage of allylic and propargylic C–N bonds in amines and amides—Selected alternative applications of the 1,3-hydrogen shift. Eur. J. Org. Chem. 2005, 18, 3855–3873. [Google Scholar] [CrossRef]
- Shuang, L.; Fei, J.; Xiaoyu, L.; Xiaoli, P.; Shuyuan, C.; Xuefei, W.; Yanhua, Z.; Yong, M. Stick-like mesoporous titania loaded Pd as highly active and cost effective catalysts for hydrodebenzylation of hexabenzylhexaazaisowurtzitane (HBIW). Mol. Catal. 2019, 477, 110556. [Google Scholar] [CrossRef]
- Fardood, S.T.; Ramazani, A.; Golfar, Z.; Joo, S.W. Green synthesis using tragacanth gum and characterization of Ni–Cu–Zn ferrite nanoparticles as a magnetically separable catalyst for the synthesis of hexabenzylhexaazaisowurtzitane under ultrasonic irradiation. J. Struct. Chem. 2018, 59, 1730–1736. [Google Scholar] [CrossRef]
- Qiu, W.-G.; Chen, S.-S.; Yu, Y.-Z. Oxidation of hexabenzylhexaazaisowurtzitane. Chin. J. Chem. 1999, 17, 554–556. [Google Scholar] [CrossRef]
- Lou, D.; Wang, H.; Liu, S.; Li, L.; Zhao, W.; Chen, X.; Wang, J.; Li, X.; Wu, P.; Yang, J. PdFe bimetallic catalysts for debenzylation of hexabenzylhexaazaisowurtzitane (HBIW) and tetraacetyldibenzylhexaazaisowurtzitane (TADBIW). Catal. Commun. 2018, 109, 28–32. [Google Scholar] [CrossRef]
- Mannathusamy, G.; Sandhirakasu, V.; Dhanavel, S.; Vaidyanathan, V. Process for Preparing Hexaacylhexaazaisowurtzitane and Hexanitrohexaazaisowurtzitane. IN Patent 201611002576 A, 25 January 2011. [Google Scholar]
- Wright, M.E. Three-Step Synthesis of CL-20. U.S. Patent 9056868 B1, 16 June 2015. [Google Scholar]
- Olivier, B.; Joel, R.; Sylvain, M.; Alphonse, T. Process for the Synthesis of Hexanitrohexaazaisowurtzitane from Hexaallylhexaazaisowurtzitane; Intermediate. FR Patent 2997697, 17 June 2016. [Google Scholar]
- Paromov, A.E.; Sysolyatin, S.V.; Gatilov, Y.V. An acid-catalyzed cascade synthesis of oxaazatetracyclo [5.5.0.03,11.05,9] dodecane Derivatives. J. Energ. Mater. 2017, 35, 363–373. [Google Scholar] [CrossRef]
- Paromov, A.E.; Sysolyatin, S.V. Synthesis of new N-polysubstituted oxaazaisowurtzitanes by acid-catalyzed condensation of sulfonamides with glyoxal. Russ. J. Org. Chem. 2017, 53, 1717–1725. [Google Scholar] [CrossRef]
- Paromov, A.E.; Sysolyatin, S.V.; Shchurova, I.A.; Rogova, A.I.; Malykhin, V.V.; Gatilov, Y.V. Synthesis of oxaazaisowurtzitanes by condensation of 4-dimethylaminobenzenesulfonamide with glyoxal. Tetrahedron 2020, 76, 131298. [Google Scholar] [CrossRef]
- Gottlieb, H.E.; Cohen, S.; Gottlieb, L. Rearrangement of hexabenzylhexaazaisowurtzitane. Chem. Eur. J. 2010, 16, 5568–5571. [Google Scholar] [CrossRef]
- Tanimoto, S.; Imazu, Y.; Imuta, M.; Okano, M. Syntheses of some derivatives of 1,4-dioxane and 1,3-dioxolane. Bull. Inst. Chem. Res. 1972, 50, 368–374. [Google Scholar]
- Paul, R.; Roger, R.; Ernst, H. Über benzoylderivate des diamino-äthylens und ihre umwandlung in imidazolone. (I. mitteilung über imidazol-spaltungsprodukte). Helvetica Chimica Acta 1929, 12, 332–351. [Google Scholar] [CrossRef]
- Mohammadi, B.; Khorrami, B.R. A simple and one-pot multi-component reaction to the synthesis of methylenebisamides. Monatshefte Chemie 2018, 149, 1089–1092. [Google Scholar] [CrossRef]
- Sheldrick, G.M. SHELX-97—Programs for Crystal Structure Analysis (Release 97-2); University of Göttingen: Göttingen, Germany, 1997. [Google Scholar]
- Sheldrick, G.M. Crystal structure refinement with SHELXL. Acta Crystallographica 2015, 71, 3–8. [Google Scholar] [CrossRef] [PubMed]
- SADABS, version 2008-1; Bruker AXS: Madison, WI, USA, 2008.
- Spek, A.L. PLATON, A Multipurpose Crystallographic Tool, version 10M; Utrecht University: Utrecht, The Netherlands, 2003. [Google Scholar]
- Spek, A.L. Single-crystal structure validation with the program PLATON. J. Appl. Crystallogr. 2003, 36, 7–13. [Google Scholar] [CrossRef]
- Macrae, C.F.; Edgington, P.R.; McCabe, P.; Pidcock, E.; Shields, G.P.; Taylor, R.; Towler, M.; van de Stree, J. Mercury: Visualization and analysis of crystal structures. J. Appl. Crystallogr. 2006, 39, 453–457. [Google Scholar] [CrossRef]
- Allen, F.H.; Kenard, O.; Watson, D.G.; Bramer, L.; Orpen, A.G.; Taylor, R. Tables of bond lengths determined by X-ray and neutron diffraction. Part 1. Bond lengths in organic compounds. J. Chem. Soc. Perkin Trans. 1987, 12, S1–S19. [Google Scholar] [CrossRef]
Publisher’s Note: MDPI stays neutral with regard to jurisdictional claims in published maps and institutional affiliations. |
© 2022 by the authors. Licensee MDPI, Basel, Switzerland. This article is an open access article distributed under the terms and conditions of the Creative Commons Attribution (CC BY) license (https://creativecommons.org/licenses/by/4.0/).















