Efficient Estimation of Permeate Flux of Asymmetric Ceramic Membranes for Vacuum Membrane Distillation
Abstract
:1. Introduction
2. Results and Discussion
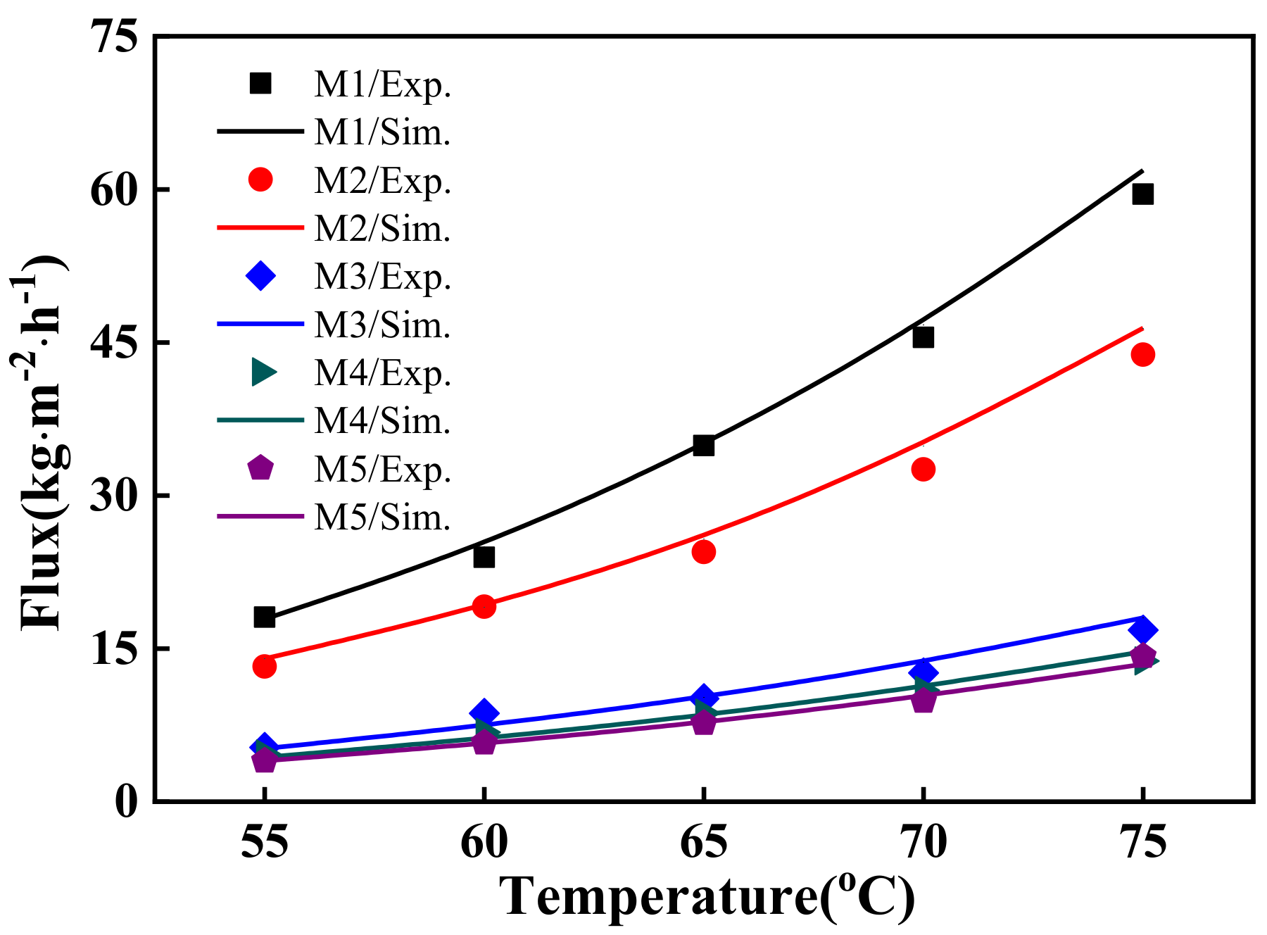
2.1. Validation of the Modeling Approach
2.2. Effects of Several Key Parameters on Permeate Flux
2.3. Simplified Diffusion Correlation
3. Materials and Methods
3.1. Mass and Heat Transfer for VMD
3.2. Nmerical Solution
3.3. Materials
3.4. Preparation and Characterization of the Hydrophobic Membrane
3.5. Vacuum Membrane Distillation Experiment
4. Conclusions
Author Contributions
Funding
Institutional Review Board Statement
Informed Consent Statement
Data Availability Statement
Conflicts of Interest
Sample Availability
References
- Drioli, E.; Ali, A.; Macedonio, F. Membrane distillation: Recent developments and perspectives. Desalination 2015, 356, 56–84. [Google Scholar] [CrossRef]
- Ramlow, H.; Ferreira, R.K.M.; Marangoni, C.; Machado, R.A.F. Ceramic membranes applied to membrane distillation: A comprehensive review. Int. J. Appl. Ceram. Technol. 2019, 16, 2161–2172. [Google Scholar] [CrossRef]
- Kim, S.; Scholes, C.A.; Heath, D.E.; Kentish, S.E. Gas-liquid membrane contactors for carbon dioxide separation: A review. Chem. Eng. J. 2021, 411, 128468.wq3z. [Google Scholar] [CrossRef]
- Vadillo, J.M.; Gomez-Coma, L.; Garea, A.; Irabien, A. Hollow fiber membrane contactors in CO2 desorption: A review. Energy Fuel 2021, 35, 111–136. [Google Scholar] [CrossRef]
- Abu-Zeid, M.A.; Zhang, Y.Q.; Dong, H.; Zhang, L.; Chen, H.L.; Hou, L. A comprehensive review of vacuum membrane distillation technique. Desalination 2015, 356, 1–14. [Google Scholar] [CrossRef]
- Chen, X.; Chen, T.; Li, J.; Qiu, M.; Fu, K.; Cui, Z.; Fan, Y.; Drioli, E. Ceramic nanofiltration and membrane distillation hybrid membrane processes for the purification and recycling of boric acid from simulative radioactive waste water. J. Membr. Sci. 2019, 579, 294–301. [Google Scholar] [CrossRef]
- Lin, Y.S. Inorganic membranes for process intensification: Challenges and perspective. Ind. Eng. Chem. Res. 2019, 58, 5787–5796. [Google Scholar] [CrossRef]
- Qiu, M.H.; Kong, X.L.; Fu, K.Y.; Han, S.X.; Gao, X.Y.; Chen, X.F.; Fan, Y.Q. Optimization of microstructure and geometry of hydrophobic ceramic membrane for SO2 absorption from ship exhaust. AlChE J. 2019, 65, 409–420. [Google Scholar] [CrossRef] [Green Version]
- Lee, H.J.; Park, J.H. Effect of hydrophobic modification on carbon dioxide absorption using porous alumina (Al2O3) hollow fiber membrane contactor. J. Membr. Sci. 2016, 518, 79–87. [Google Scholar] [CrossRef]
- Gao, X.; Qiu, M.; Fu, K.; Xu, P.; Kong, X.; Chen, X.; Fan, Y. Feasibility analysis of SO2 absorption using a hydrophilic ceramic membrane contactor. Chin. J. Chem. Eng. 2018, 26, 2139–2147. [Google Scholar] [CrossRef]
- Dong, X.; Lin, Y.S. Catalyst-free ceramic-carbonate dual phase membrane reactor for hydrogen production from gasifier syngas. J. Membr. Sci. 2016, 520, 907–913. [Google Scholar] [CrossRef] [Green Version]
- Chen, X.F.; Gao, X.Y.; Fu, K.Y.; Qiu, M.H.; Xiong, F.; Ding, D.; Cui, Z.L.; Wang, Z.H.; Fan, Y.Q.; Drioli, E. Tubular hydrophobic ceramic membrane with asymmetric structure for water desalination via vacuum membrane distillation process. Desalination 2018, 443, 212–220. [Google Scholar] [CrossRef]
- Qiu, M.; Chen, X.; Fan, Y.; Xing, W. 1.11 Ceramic Membranes. In Comprehensive Membrane Science and Engineering, 2nd ed.; Drioli, E., Giorno, L., Fontananova, E., Eds.; Elsevier: Oxford, UK, 2017; pp. 270–297. [Google Scholar]
- Yang, Y.H.; Liu, Q.Q.; Wang, H.Z.; Ding, F.S.; Jin, G.S.; Li, C.X.; Meng, H. Superhydrophobic modification of ceramic membranes for vacuum membrane distillation. Chin. J. Chem. Eng. 2017, 25, 1395–1401. [Google Scholar] [CrossRef]
- Burganos, V.N. 1.03—Modeling and Simulation of Membrane Structure and Transport Properties. In Comprehensive Membrane Science and Engineering; Drioli, E., Giorno, L., Eds.; Elsevier: Oxford, UK, 2010; pp. 29–74. [Google Scholar]
- Zuo, G.Z.; Guan, G.Q.; Wang, R. Numerical modeling and optimization of vacuum membrane distillation module for low-cost water production. Desalination 2014, 339, 1–9. [Google Scholar] [CrossRef]
- Hitsov, I.; Maere, T.; De Sitter, K.; Dotremont, C.; Nopens, I. Modelling approaches in membrane distillation: A critical review. Sep. Purif. Technol. 2015, 142, 48–64. [Google Scholar] [CrossRef]
- Franken, A.C.M.; Nolten, J.A.M.; Mulder, M.H.V.; Bargeman, D.; Smolders, C.A. Wetting criteria for the applicability of membrane distillation. J. Membr. Sci. 1987, 33, 315–328. [Google Scholar] [CrossRef] [Green Version]
- Chamani, H.; Woloszyn, J.; Matsuura, T.; Rana, D.; Lan, C.Q. Pore wetting in membrane distillation: A comprehensive review. Prog. Mater. Sci. 2021, 122, 100843. [Google Scholar] [CrossRef]
- Alkhudhiri, A.; Darwish, N.; Hilal, N. Membrane distillation: A comprehensive review. Desalination 2012, 287, 2–18. [Google Scholar] [CrossRef]
- Khayet, M. Membranes and theoretical modeling of membrane distillation: A review. Adv. Colloid Interface Sci. 2011, 164, 56–88. [Google Scholar] [CrossRef]
- Henis, J.M.S.; Tripodi, M.K. Composite hollow fiber membranes for gas separation: The resistance model approach. J. Membr. Sci. 1981, 8, 233–246. [Google Scholar] [CrossRef]
- Wang, D.; Li, K.; Teo, W.K. Effects of temperature and pressure on gas permselection properties in asymmetric membranes. J. Membr. Sci. 1995, 105, 89–101. [Google Scholar] [CrossRef]
- Lovineh, S.G.; Asghari, M.; Rajaei, B. Numerical simulation and theoretical study on simultaneous effects of operating parameters in vacuum membrane distillation. Desalination 2013, 314, 59–66. [Google Scholar] [CrossRef]
- Zhang, J.H.; Li, J.D.; Duke, M.; Hoang, M.; Xie, Z.L.; Groth, A.; Tun, C.; Gray, S. Modelling of vacuum membrane distillation. J. Membr. Sci. 2013, 434, 1–9. [Google Scholar] [CrossRef] [Green Version]
- Gray, D.D.; Giorgini, A. The validity of the boussinesq approximation for liquids and gases. Int. J. Heat Mass Transf. 1976, 19, 545–551. [Google Scholar] [CrossRef]
- Kanani Aghkand, Z.; Jalali Dil, E.; Ajji, A.; Dubois, C. Simulation of heat transfer in heat sealing of multilayer polymeric films: Effect of process parameters and material properties. Ind. Eng. Chem. Res. 2018, 57, 14571–14582. [Google Scholar] [CrossRef]
- Donaubauer, P.J.; Hinrichsen, O. Evaluation of effectiveness factors for multicomponent diffusion models inside 3D catalyst shapes. Ind. Eng. Chem. Res. 2019, 58, 110–119. [Google Scholar] [CrossRef]
- Fu, K.; Wang, S.; Gu, Z.; Liu, Y.; Zai, T.; Li, S.; Chen, X.; Qiu, M.; Fan, Y. Geometry effect on membrane absorption for CO2 capture. Part I: A hybrid modeling approach. AlChE J. 2020, 68, e17471. [Google Scholar]
- Guo, Y.; Qi, W.; Fu, K.; Chen, X.; Qiu, M.; Fan, Y. Permeability and stability of hydrophobic tubular ceramic membrane contactor for CO2 desorption from MEA solution. Membranes 2022, 12, 8. [Google Scholar] [CrossRef]
- Zou, D.; Chen, X.; Drioli, E.; Qiu, M.; Fan, Y. Facile Mixing Process To Fabricate Fly-Ash-Enhanced Alumina-Based Membrane Supports for Industrial Microfiltration Applications. Ind. Eng. Chem. Res. 2019, 58, 8712–8723. [Google Scholar] [CrossRef]
- Li, L.; Sirkar, K.K. Influence of microporous membrane properties on the desalination performance in direct contact membrane distillation. J. Membr. Sci. 2016, 513, 280–293. [Google Scholar] [CrossRef]
- Meth, S.; Sukenik, C.N. Siloxane-anchored thin films on silicon dioxide-modified stainless steel. Thin Solid Film. 2003, 425, 49–58. [Google Scholar] [CrossRef]








| Specifications | Value |
|---|---|
| Membrane characteristics | |
| Tube inner diameter, Rt_in (mm) | 4 ~ 8 |
| Overall membrane thickness, δoverall (mm) | 1 ~ 2 |
| Thickness of top layer, δtop (mm) | 0.02 ~ 0.5 for two-layer membranes; 0.005 ~ 0.05 for three-layer membranes; |
| Thickness of transition layer, δtran (mm) | 0 for two-layer membrane; 0.01 ~ 0.2 for three-layer membrane; |
| Thickness of support layer, δsup (mm) | δoverall–δtop–δtran–δsup |
| Pore size of top layer, dtop (nm) | 50 ~ 500 for two-layer membrane; 5 ~ 20 for three-layer membrane; |
| Pore size of transition layer, dtran (nm) | 0 for two-layer membrane; 100 for three-layer membrane; |
| Pore size of support layer, dsup (nm) | 500 ~ 5000 |
| Porosity | 0.4 |
| Tortuosity | 2.5 |
| Operational conditions | |
| Temperature, T (K) | 333 ~ 373 |
| Permeate side pressure, P (KPa) | 10 ~ 50 |
| Schematic | Codes | The Top Layer | The Support Layer | |||||||
|---|---|---|---|---|---|---|---|---|---|---|
| dI (nm) | δI (μm) | εI | τI | dII (μm) | δII (mm) | εII | τII | |||
![]() | M1 | 480 | 20 | 0.36 | 2.8 | 3.2 | 2.0 | 0.33 | 3.0 | |
| M2 | 150 | 20 | 0.36 | 2.8 | 3.2 | 2.0 | 0.33 | 3.0 | ||
| M3 | 150 | 20 | 0.36 | 2.8 | 1.1 | 2.0 | 0.38 | 2.6 | ||
![]() | Top layer | M4 | 150 | 60 | 0.36 | 2.8 | 1.1 | 2.0 | 0.38 | 2.6 |
![]() | Support layer | M5 | 100 | 40 | 0.36 | 2.8 | 1.0 | 2.0 | 0.4 | 2.5 |
| Parameters | Values |
|---|---|
| Module inner diameter (mm) | 18 |
| The outer and inner diameters of the Membranes (mm) | 12/8 |
| Effective length of the membrane (mm) | 110 |
| Feed temperature (K) | 328–348 |
| Water feed flow rate (L/h) | 150 |
| Permeate side pressure (kPa) | 50 |
Publisher’s Note: MDPI stays neutral with regard to jurisdictional claims in published maps and institutional affiliations. |
© 2022 by the authors. Licensee MDPI, Basel, Switzerland. This article is an open access article distributed under the terms and conditions of the Creative Commons Attribution (CC BY) license (https://creativecommons.org/licenses/by/4.0/).
Share and Cite
Fu, K.; Guo, Y.; Qi, W.; Chen, X.; Qiu, M.; Fan, Y. Efficient Estimation of Permeate Flux of Asymmetric Ceramic Membranes for Vacuum Membrane Distillation. Molecules 2022, 27, 1057. https://doi.org/10.3390/molecules27031057
Fu K, Guo Y, Qi W, Chen X, Qiu M, Fan Y. Efficient Estimation of Permeate Flux of Asymmetric Ceramic Membranes for Vacuum Membrane Distillation. Molecules. 2022; 27(3):1057. https://doi.org/10.3390/molecules27031057
Chicago/Turabian StyleFu, Kaiyun, Yunzhao Guo, Wenbo Qi, Xianfu Chen, Minghui Qiu, and Yiqun Fan. 2022. "Efficient Estimation of Permeate Flux of Asymmetric Ceramic Membranes for Vacuum Membrane Distillation" Molecules 27, no. 3: 1057. https://doi.org/10.3390/molecules27031057
APA StyleFu, K., Guo, Y., Qi, W., Chen, X., Qiu, M., & Fan, Y. (2022). Efficient Estimation of Permeate Flux of Asymmetric Ceramic Membranes for Vacuum Membrane Distillation. Molecules, 27(3), 1057. https://doi.org/10.3390/molecules27031057



