New Aspects of the Reaction of Thioacetamide and N-Substituted Maleimides
Abstract
1. Introduction
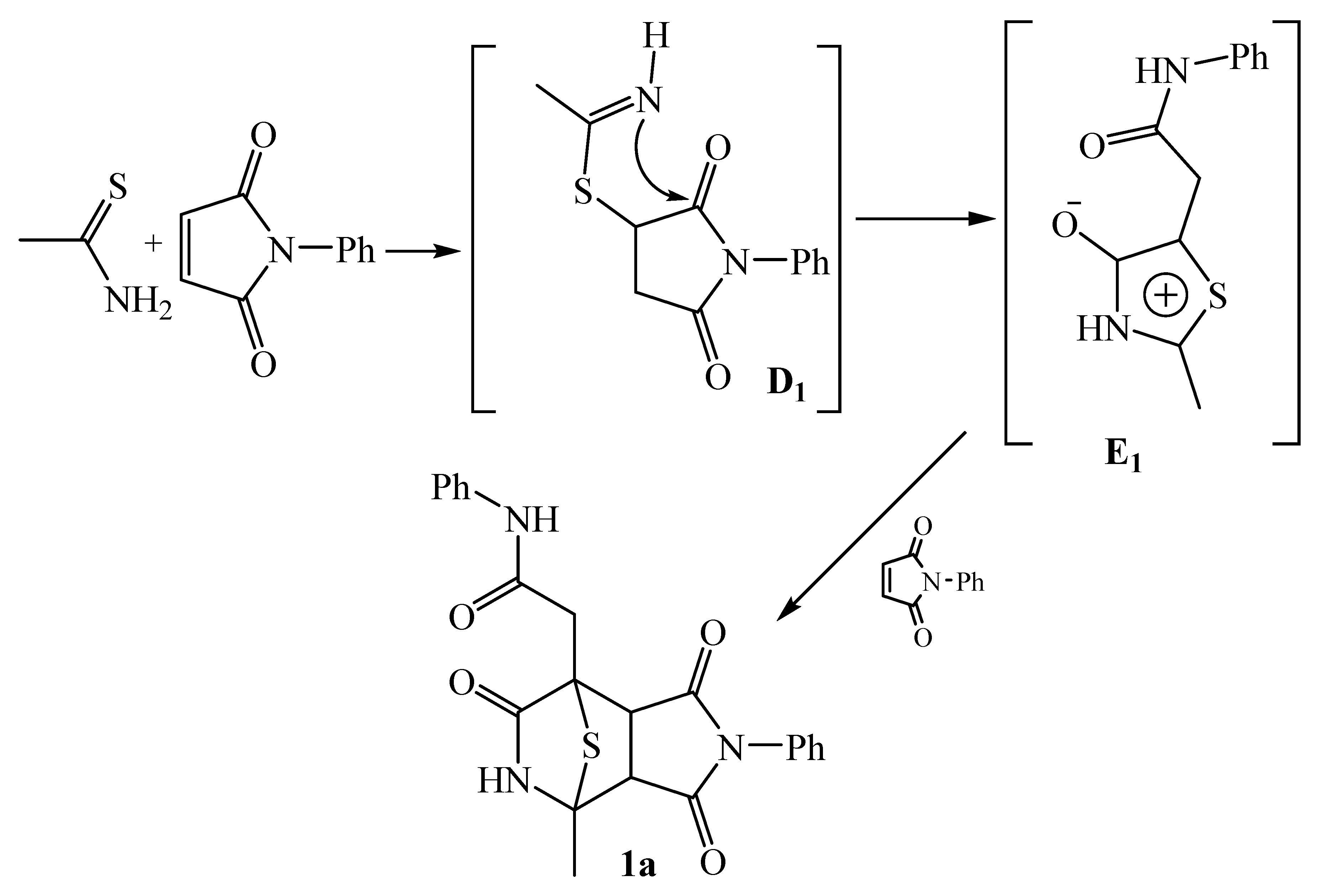
2. Results and Discussion
3. Materials and Methods
3.1. General
3.2. X-ray Analysis
3.3. General Procedure for the Preparation of 2-(2-Aryl-4-methyl-1,3,6-trioxooctahydro-7H-4,7-epithiopyrrolo[3,4-c]pyridin-7-yl)-N-arylacetamides (1a–e)
3.3.1. 2-(4-Methyl-1,3,6-trioxo-2-phenyloctahydro-1H-4,7-epithiopyrrolo[3,4-c]pyridin-7-yl)-N-phenylacetamide (1a)
3.3.2. 2-(4-Methyl-1,3,6-trioxo-2-(p-tolyl)octahydro-1H-4,7-epithiopyrrolo[3,4-c]pyridin-7-yl)-N-(p-tolyl)acetamide (1b)
3.3.3. 2-(4-Methyl-2-(2-methyl-4-nitrophenyl)-1,3,6-trioxooctahydro-1H-4,7-epithiopyrrolo[3,4-c]pyridin-7-yl)-N-(2-methyl-4-nitrophenyl)acetamide (1c)
3.3.4. N-(4-Fluorophenyl)-2-(2-(4-fluorophenyl)-4-methyl-1,3,6-trioxooctahydro-1H-4,7-epithiopyrrolo[3,4-c]pyridin-7-yl)acetamide (1d)
3.3.5. N-(4-Iodophenyl)-2-(2-(4-iodophenyl)-4-methyl-1,3,6-trioxooctahydro-1H-4,7-epithiopyrrolo[3,4-c]pyridin-7-yl)acetamide (1e)
3.4. General Procedure for the Preparation of 2-(4-Methyl-1,3,6-trioxo-2-aryl-2,3,5,6-tetrahydro-1H-pyrrolo[3,4-c]pyridin-7-yl)-N-arylacetamides (2a–f)
3.4.1. 2-(4-Methyl-1,3,6-trioxo-2-phenyl-2,3,5,6-tetrahydro-1H-pyrrolo[3,4-c]pyridin-7-yl)-N-phenylacetamide (2a)
3.4.2. 2-(4-Methyl-1,3,6-trioxo-2-(p-tolyl)-2,3,5,6-tetrahydro-1H-pyrrolo[3,4-c]pyridin-7-yl)-N-(p-tolyl)acetamide (2b)
3.4.3. N-(3,4-Dimethylphenyl)-2-(2-(3,4-dimethylphenyl)-4-methyl-1,3,6-trioxo-2,3,5,6-tetrahydro-1H-pyrrolo[3,4-c]pyridin-7-yl)acetamide (2c)
3.4.4. N-(4-Ethylphenyl)-2-(2-(4-ethylphenyl)-4-methyl-1,3,6-trioxo-2,3,5,6-tetrahydro-1H-pyrrolo[3,4-c]pyridin-7-yl)acetamide (2d)
3.4.5. N-(4-Chlorophenyl)-2-(2-(4-chlorophenyl)-4-methyl-1,3,6-trioxo-2,3,5,6-tetrahydro-1H-pyrrolo[3,4-c]pyridin-7-yl)acetamide (2e)
3.4.6. N-(3-Chloro-4-fluorophenyl)-2-(2-(3-chloro-4-fluorophenyl)-4-methyl-1,3,6-trioxo-2,3,5,6-tetrahydro-1H-pyrrolo[3,4-c]pyridin-7-yl)acetamide (2f)
3.5. General Procedure for the Preparation of 3,3′-Thiobis(1-arylpyrrolidine-2,5-diones) (3a–e)
3.5.1. 3,3′-Thiobis(1-phenylpyrrolidine-2,5-dione) (3a)
3.5.2. 3,3′-Thiobis(1-(p-tolyl)pyrrolidine-2,5-dione) (3b)
3.5.3. 3,3′-Thiobis(1-(3,4-dimethylphenyl)pyrrolidine-2,5-dione) (3c)
3.5.4. 3,3′-Thiobis(1-(4-ethylphenyl)pyrrolidine-2,5-dione) (3d)
3.5.5. 3,3′-Thiobis(1-(2,5-dichlorophenyl)pyrrolidine-2,5-dione) (3e)
3.6. General Procedure for the Preparation of 3,3′-Thiobis(1-alkylpyrrolidine-2,5-diones) (3f–h)
3.6.1. 3,3′-Thiobis(1-methyl)pyrrolidine-2,5-dione) (3f)
3.6.2. 3,3′-Thiobis(1-phenethylpyrrolidine-2,5-dione) (3g)
3.6.3. 3,3′-Thiobis(1-(4-methoxyphenethyl)pyrrolidine-2,5-dione) (3h)
4. Conclusions
- We established that the reaction of thioacetamide and N-arylmaleimides proceeded with the formation of three different products depending on the process conditions.
- We demonstrated that tricyclic bridged compounds—2-(4-methyl-1,3,6-trioxo-2-aryloctahydro-1H-4,7-epithiopyrrolo[3,4-c]pyridin-7-yl)-N-arylacetamides 1 were formed by keeping a mixture of starting compounds of thioacetamide and N-arylmaleimide at a molar ratio of 1:2 at 50 °C in dioxane for 10–12 h. The reaction proceeded stereoselectively with the formation of exoisomers.
- When the reaction was performed heated in dioxane, 2-(4-methyl-1,3,6-trioxo-2-aryl-2,3,5,6-tetrahydro-1H-pyrrolo[3,4-c]pyridin-7-yl)-N-arylacetamides 2 were formed as a result of the elimination of a hydrogen sulfide molecule from compounds 1. Moreover, the batch addition of N-arylmaleimide to a hot solution of thioacetamide in dioxane was optimal.
- 2-(4-Methyl-1,3,6-trioxo-2-aryl-2,3,5,6-tetrahydro-1H-pyrrolo[3,4-c]pyridin-7-yl)-N-arylacetamides 2 could be obtained by refluxing 2-(4-methyl-1,3,6-trioxo-2-aryloctahydro-1H-4,7-epithiopyrrolo[3,4-c]pyridin-7-yl)-N-arylacetamides 1 in dioxane, in acetic acid or in methanol in the presence of sodium methoxide, which is a new method for the synthesis of a condensed pyrrolo[3,4-c]pyridine system.
- When N-substituted maleimide was added in portions to a hot solution of thioacetamide in acetic acid 3,3′-thiobis(1-arylpyrrolidine-2,5-diones) 3a–e and 3,3′-thiobis(1-alkylpyrrolidine-2,5-diones) 3f–h were formed. This is a new method for obtaining such compounds. In the case of N-arylmaleimides and N-methylmaleimide, the reaction proceeded stereoselectively with the formation of a mixture of R,R- and S,S-enantiomers.
Supplementary Materials
Author Contributions
Funding
Data Availability Statement
Acknowledgments
Conflicts of Interest
Sample Availability
References
- Vandyshev, D.Y.; Shikhaliev, K.S. Recyclization of Maleimides by Binucleophiles as a General Approach for Building Hydrogenated Heterocyclic Systems. Molecules 2022, 27, 5268. [Google Scholar] [CrossRef] [PubMed]
- Havrylyuk, D.; Zimenkovsky, B.; Lesyk, R. Synthesis and Anticancer Activity of Novel Nonfused Bicyclic Thiazolidinone Derivatives. Phosphorus Sulfur Silicon Relat. Elem. 2009, 184, 638–650. [Google Scholar] [CrossRef]
- Salhi, L.; Achouche-Bouzroura, S.; Nechak, R.; Nedjar-Kolli, B.; Rabia, C.; Merazig, H.; Dunach, E. Synthesis of functionalized dihydroimidazo[1,2-a]pyridines and 4-thiazolidinone derivatives from maleimide, as new class of antimicrobial agents. Synth. Commun. 2020, 50, 412–422. [Google Scholar] [CrossRef]
- Havrylyuk, D.; Zimenkovsky, B.; Vasylenko, O.; Lesyk, R. Synthesis and Anticancer and Antiviral Activities of New 2-Pyrazoline Substituted 4-Thiazolidinones. J. Heterocycl. Chem. 2013, 50, E55–E62. [Google Scholar] [CrossRef]
- Lesyk, R.; Vladzimirska, O.; Holota, S.; Zaprutko, L.; Gzella, A. New 5-substituted thiazolo[3,2-b][1,2,4]triazol-6-ones: Synthesis and anticancer evaluation. Eur. J. Med. Chem. 2007, 42, 641–648. [Google Scholar] [CrossRef] [PubMed]
- Holota, S.; Derkach, H.; Antoniv, O.; Slyvka, N.; Kutsyk, R.; Gzella, A.; Lesyk, R. Study of 1,2,4-triazole-3(5)-thiol Behavior in Reactions with 1-phenyl-1H-pyrrole-2,5-dione Derivatives and 3-bromodihydrofuran-2(3H)-one and Antimicrobial Activity of Products. Chem. Proc. 2021, 3, 68. [Google Scholar] [CrossRef]
- Kang-Chien, L.; Ji-Wang, C. Synthesis and Antihypertensive Activity of Some Fused Quinazoline Derivatives. Heterocycles 1984, 21, 503. [Google Scholar] [CrossRef]
- Galkin, K.I.; Sandulenko, I.V.; Polezhaev, A.V. Diels–Alder Cycloadditions of Bio-Derived Furans with Maleimides as a Sustainable «Click» Approach towards Molecular, Macromolecular and Hybrid Systems. Processes 2022, 10, 30. [Google Scholar] [CrossRef]
- St. Amant, A.H.; Lemen, D.; Florinas, S.; Mao, S.; Fazenbaker, C.; Zhong, H.; Read de Alaniz, J. Tuning the Diels–Alder Reaction for Bioconjugation to Maleimide Drug-Linkers. Bioconjug. Chem. 2018, 29, 2406–2414. [Google Scholar] [CrossRef]
- Elduque, X.; Sánchez, A.; Sharma, K.; Pedroso, E.; Grandas, A. Protected Maleimide Building Blocks for the Decoration of Peptides, Peptoids, and Peptide Nucleic Acids. Bioconjug. Chem. 2013, 24, 832–839. [Google Scholar] [CrossRef]
- Anslow, A.S.; Harwood, L.M.; Phillips, H.; Watkin, D. Development of a chiral stabilised azomethine ylid. A chiral relay system. Tetrahedron Asymmetry 1991, 2, 169–172. [Google Scholar] [CrossRef]
- Tsuge, O.; Takata, T.; Noguchi, M. The Thieno[3,4-c]-1,2,5-oxadiazole System, a Nonclassical 10π-Electron Heterocycle. Heterocycles 1977, 6, 1173–1178. [Google Scholar] [CrossRef]
- Augustin, M.; Muller, W. Synthese von N-Maleoyl-aminosäuren und-peptiden. J. Prakt. Chem. 1985, 327, 789–798. [Google Scholar] [CrossRef]
- Marrian, D.H. The condensation of N-substituted maleimides with thioureas. J. Chem. Soc. 1949, 384, 1797–1799. [Google Scholar] [CrossRef]
- Metwally, M.A.; Farahat, A.A.; Abdel-Wahab, B.F. 2-Amino-4-thiazolidones: Synthesis and reactions. J. Sulfur Chem. 2010, 31, 315–349. [Google Scholar] [CrossRef]
- Pankova, A.S.; Golubev, P.R.; Khlebnikov, A.F.; Ivanov, A.Y.; Kuznetsov, M.A. Thiazol-4-one derivatives from the reaction of monosubstituted thioureas with maleimides: Structures and factors determining the selectivity and tautomeric equilibrium in solution. Beilstein J. Org. Chem. 2016, 12, 2563–2569. [Google Scholar] [CrossRef]
- Pankova, A.S.; Samartsev, M.A.; Shulgin, I.A.; Golubev, P.R.; Avdontceva, M.S.; Kuznetsov, M.A. Synthesis of thiazolidines via regioselective addition of unsymmetric thioureas to maleic acid derivatives. RSC Adv. 2014, 4, 51780–51786. [Google Scholar] [CrossRef]
- Rudenko, R.V.; Komykhov, S.A.; Desenko, S.M. New direction in the reaction of thiocarboxamides with N-substituted maleimides. Chem. Heterocycl. Comp. 2009, 45, 1017. [Google Scholar] [CrossRef]
- Shimo, T.; Matsuda, Y.; Iwanaga, T.; Shinmyozu, T.; Somekawa, K. Efficient 2-amino-2-thiazolin-4-ones or 2-iminothiazoli-din-4-ones formation from thioureas and maleimides under solvent-free conditions. Heterocycles 2007, 71, 1053–1058. [Google Scholar] [CrossRef]
- Hahn, H.G.; Nam, K.D.; Mah, H. A simple construction of 2-phenylimino-1,3-thiazolidin-4-ones. Heterocycles 2001, 7, 1283–1289. [Google Scholar] [CrossRef]
- Zorina, A.V.; Stolpovskaya, N.V.; Shikhaliev, K.S.; Peregudova, A.S.; Ivonin, V.A. Recyclization Reactions of N-Arylmaleimides with Polynucleophilic Compounds. Chem. Heterocycl. Comp. 2015, 50, 1541–1546. [Google Scholar] [CrossRef]
- Abdel-Galil, F.M.; Sallam, M.M.; Sherif, S.M.; Elnagdi, M.H. Nitriles in heterocyclic synthesis: Novel synthesis of pyrrole and pyridine derivatives. Heterocycles 1986, 24, 3341–3346. [Google Scholar] [CrossRef]
- Takido, T.; Tamura, S.; Sato, K.; Kamijo, H.; Nakazawa, T.; Hata, T.; Seno, M. The synthesis of hexahydrooxoepithiopyridinedicarboximides by the reaction of thioamides with N-substituted maleimides. J. Heterocycl. Chem. 1998, 35, 437–443. [Google Scholar] [CrossRef]
- Paris, C.; Brun, O.; Pedroso, E.; Grandas, A. Exploiting Protected Maleimides to Modify Oligonucleotides, Peptides and Peptide Nucleic Acids. Molecules 2015, 20, 6389–6408. [Google Scholar] [CrossRef] [PubMed]
- Nair, D.P.; Podgórski, M.; Chatani, S.; Gong, T.; Xi, W.; Fenoli, C.R.; Bowman, C.N. The Thiol-Michael Addition Click Reaction: A Powerful and Widely Used Tool in Materials Chemistry. Chem. Mater. 2014, 26, 724–744. [Google Scholar] [CrossRef]
- Baldwin, A.D.; Kiick, K.L. Tunable Degradation of Maleimide-Thiol Adducts in Reducing Environments. Bioconjug. Chem. 2011, 22, 1946–1953. [Google Scholar] [CrossRef]
- Niño-Ramírez, V.A.; Insuasty-Cepeda, D.S.; Rivera-Monroy, Z.J.; Maldonado, M. Evidence of Isomerization in the Michael-Type Thiol-Maleimide Addition: Click Reaction between L-Cysteine and 6-Maleimidehexanoic Acid. Molecules 2022, 27, 5064. [Google Scholar] [CrossRef]
- Salgado-Petinal, C.; Alzaga, R.; García-Jares, C.; Llompart, M.; Bayona, J.M. Low Part per Trillion Determination of Reactive Alkanethiols in Wastewater by in Situ Derivatization-Solid-Phase Microextraction Followed by GC/MS. Anal. Chem. 2005, 77, 6012–6018. [Google Scholar] [CrossRef]
- Frerot, E.; Bagnoud, A.; Cicchetti, E. Quantification of Hydrogen Sulfide and Methanethiol and the Study of Their Scavenging by Biocides of the Isothiazolone Family. ChemPlusChem 2014, 79, 77–82. [Google Scholar] [CrossRef]
- Crivello, J.V. Polyimidothioethers. J. Polym. Sci. Polym. Chem. Ed. 1976, 14, 159–182. [Google Scholar] [CrossRef]
- Breugst, M.; Reissig, H.-U. The Huisgen Reaction: Milestones of the 1,3-Dipolar Cycloaddition. Angew. Chem. Int. Ed. 2020, 59, 12293–12307. [Google Scholar] [CrossRef] [PubMed]
- Padwa, A. Intermolecular 1,3-Dipolar Cycloadditions. In Comprehensive Organic Synthesis: Additions to and Substitutions at C-C π-Bonds, 2nd ed.; Trost, B.M., Fleming, I., Semmelhack, M.F., Eds.; Pergamon Press (Elsevier): Oxford, UK, 1991; Volume 4, pp. 1069–1109. [Google Scholar]
- Wójcicka, A.; Redzicka, A. An Overview of the Biological Activity of Pyrrolo[3,4-c]pyridine Derivatives. Pharmaceuticals 2021, 14, 354. [Google Scholar] [CrossRef]
- Zhao, X.Z.; Maddali, K.; Metifiot, M.; Smith, S.J.; Vu, B.C.; Marchand, C.; Hughes, S.H.; Pommier, Y.; Burke, T.R. Development of Tricyclic Hydroxy-1H-Pyrrolopyridine-Trione Containing HIV-1 Integrase Inhibitors. Bioorg. Med. Chem. Lett. 2011, 21, 2986–2990. [Google Scholar] [CrossRef]
- Zhao, X.Z.; Maddali, K.; Metifiot, M.; Smith, S.J.; Vu, B.C.; Marchand, C.; Hughes, S.H.; Pommier, Y.; Burke, T.R. Bicyclic Hydroxy-1H-Pyrrolopyridine-Trione Containing HIV-1 Integrase Inhibitors. Chem. Biol. Drug Des. 2012, 79, 157–165. [Google Scholar] [CrossRef] [PubMed]
- Yamashita, T.; Nara, H.; Takizawa, M.; Yoshimura, K. Thiol Compounds, Their Production and Use. Patent No. US 2003/0078253 A1, 24 April 2003. [Google Scholar]
- Bruker. APEX-III; Bruker AXS Inc.: Madison, WI, USA, 2019. [Google Scholar]
- Krause, L.; Herbst-Irmer, R.; Sheldrick, G.M.; Stalke, D. Comparison of silver and molybdenum microfocus X-ray sources for single-crystal structure determination. J. Appl. Cryst. 2015, 48, 3–10. [Google Scholar] [CrossRef] [PubMed]
- Sheldrick, G.M. SHELXT—Integrated space-group and crystal-structure determination. Acta Cryst. 2015, A71, 3–8. [Google Scholar] [CrossRef] [PubMed]
- Sheldrick, G.M. Crystal structure refinement with SHELXL. Acta Cryst. 2015, C71, 3–8. [Google Scholar] [CrossRef]








| Solvent | Time, h | Temperature | Products, % *** | |||
|---|---|---|---|---|---|---|
| 1a | 2a | 3a | Unidentified and Starting Compounds | |||
| CHCl3 | 5 | reflux | Low conversion of starting compounds | |||
| CH3OH | 5 | reflux | ||||
| (CH3)2CHOH | 3 | reflux | 36 | 14 | 5 | 45 |
| 6 | reflux * | 69 | 5 | 6 | 20 | |
| dioxane | 5 | r.t. | Low conversion of starting compounds | |||
| 1 | reflux | 10 | 18 | 1 | 71 | |
| 3 | reflux | 20 | 38 | 2 | 40 | |
| 6 | reflux * | 5 | 85 | 2 | 8 | |
| 12 | 50 °C | 87 | - | - | 13 | |
| dioxane + AcOH | 5 | reflux | - | 80 | 15 | 5 |
| AcOH | 3 | reflux | - | 17 | 45 | 38 |
| 7 | reflux * | - | 12 | 73 | 15 | |
| THF | 9 | r.t. | 25 | - | - | 75 |
| CH3COOC2H5 | 8–9 | r.t. | 24 | - | - | 76 |
| CH3CN | 12 | r.t. | 20 | 8 | 6 | 76 |
| C2H5OH | 4 | reflux ** | - | 25 | - | 75 |
| Empirical Formula | C22H20N2O4S·C2H6OS |
|---|---|
| Formula weight | 486.59 |
| Temperature, K | 100(2) |
| Wavelength, Å | 0.71073 |
| Crystal system | Triclinic |
| Space group | P![]() |
| Unit cell dimensions | |
| a, Å | 5.6417(2) |
| b, Å | 13.7700(5) |
| c, Å | 15.1459(6) |
| α, ° | 92.2380(10) |
| β, ° | 95.0400(10) |
| γ, ° | 95.8090(10) |
| Volume, Å3 | 1164.69(8) |
| Z | 2 |
| Density (calcd.), g•cm−3 | 1.387 |
| Absorption coefficient, mm−1 | 0.268 |
| F(000) | 512 |
| Crystal size, mm | 0.53 × 0.38 × 0.30 |
| θ range for data collection, ° | 2.058–34.981 |
| Index ranges | −9 <= h <= 9 |
| −22 <= k <= 22 | |
| −24 <= l <= 24 | |
| Reflections | |
| Collected | 60,803 |
| Independent [Rint] | 10230 [0.1044] |
| Observed (with I > 2σ(I)) | 6257 |
| Completeness to θmax/θfull | 0.999/0.999 |
| Data/restraints/parameters | 10230/0/302 |
| Goodness-of-fit on F2 | 1.026 |
| R1/wR2 indices for I > 2σ(I) | 0.0683/0.1208 |
| R1/wR2 indices (all data) | 0.1329/0.1463 |
| Δρ(ē)max/Δρ(ē)min, ē•Å−3 | 0.501/−0.674 |
Publisher’s Note: MDPI stays neutral with regard to jurisdictional claims in published maps and institutional affiliations. |
© 2022 by the authors. Licensee MDPI, Basel, Switzerland. This article is an open access article distributed under the terms and conditions of the Creative Commons Attribution (CC BY) license (https://creativecommons.org/licenses/by/4.0/).
Share and Cite
Aseeva, Y.V.; Stolpovskaya, N.V.; Vandyshev, D.Y.; Sulimov, V.B.; Prezent, M.A.; Minyaev, M.E.; Shikhaliev, K.S. New Aspects of the Reaction of Thioacetamide and N-Substituted Maleimides. Molecules 2022, 27, 8800. https://doi.org/10.3390/molecules27248800
Aseeva YV, Stolpovskaya NV, Vandyshev DY, Sulimov VB, Prezent MA, Minyaev ME, Shikhaliev KS. New Aspects of the Reaction of Thioacetamide and N-Substituted Maleimides. Molecules. 2022; 27(24):8800. https://doi.org/10.3390/molecules27248800
Chicago/Turabian StyleAseeva, Yulia V., Nadezhda V. Stolpovskaya, Dmitriy Y. Vandyshev, Vladimir B. Sulimov, Mikhail A. Prezent, Mikhail E. Minyaev, and Khidmet S. Shikhaliev. 2022. "New Aspects of the Reaction of Thioacetamide and N-Substituted Maleimides" Molecules 27, no. 24: 8800. https://doi.org/10.3390/molecules27248800
APA StyleAseeva, Y. V., Stolpovskaya, N. V., Vandyshev, D. Y., Sulimov, V. B., Prezent, M. A., Minyaev, M. E., & Shikhaliev, K. S. (2022). New Aspects of the Reaction of Thioacetamide and N-Substituted Maleimides. Molecules, 27(24), 8800. https://doi.org/10.3390/molecules27248800


