Process Optimization of Phytoantioxidant and Photoprotective Compounds from Carob Pods (Ceratonia siliqua L.) Using Ultrasonic Assisted Extraction Method
Abstract
1. Introduction
2. Results and Discussion
2.1. Selection of Efficient Extraction Process
2.2. Effect of Process Variables on Total Phenolic Compounds (TPC)
2.3. Effect of Process Variables on Antioxidant Activities (DPPH and TAC)
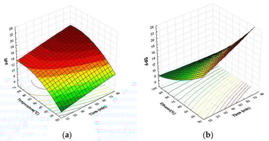
2.4. Effect of Process Variables on Photoprotective Activity (SPF)
2.5. Optimization by RSM
3. Materials and Methods
3.1. Raw Material and Chemicals
3.2. Preliminary Assays
3.3. Ultrasound-Assisted Extraction Process Optimization
3.4. Experimental Design and Statistical Analysis
3.5. Determination of Total Phenolic Content (TPC)
3.6. Total Antioxidant Capacity (TAC)
3.7. Scavenging Activity of DPPH Radical
3.8. Photoprotective Activity (Measurement of SPF)
3.9. Statistical Analysis
4. Conclusions
Supplementary Materials
Author Contributions
Funding
Institutional Review Board Statement
Informed Consent Statement
Data Availability Statement
Acknowledgments
Conflicts of Interest
References
- Lee, S.H.; Jeong, S.K.; Ahn, S.K. An update of the defensive barrier function of skin. Yonsei Med. J. 2006, 47, 293–306. [Google Scholar] [CrossRef] [PubMed]
- Matsumura, Y.; Ananthaswamy, H.N. Toxic effects of ultraviolet radiation on the skin. Toxicol. Appl. Pharmacol. 2004, 195, 298–308. [Google Scholar] [CrossRef] [PubMed]
- Young, A.R.; Claveau, J.; Rossi, A.B. Ultraviolet radiation and the skin: Photobiology and sunscreen photoprotection. J. Am. Acad. Dermatol. 2017, 76, S100–S109. [Google Scholar] [CrossRef] [PubMed]
- Chen, L.; Hu, J.Y.; Wang, S.Q. The role of antioxidants in photoprotection: A critical review. J. Am. Acad. Dermatol. 2012, 67, 1013–1024. [Google Scholar] [CrossRef] [PubMed]
- Yeager, D.G.; Lim, H.W. What’s new in photoprotection: A review of new concepts and controversies. Dermatol. Clin. 2019, 37, 149–157. [Google Scholar] [CrossRef] [PubMed]
- Geoffrey, K.; Mwangi, A.; Maru, S. Sunscreen products: Rationale for use, formulation development and regulatory considerations. Saudi Pharm. J. 2019, 27, 1009–1018. [Google Scholar] [CrossRef]
- Ma, Y.; Yoo, J. History of sunscreen: An updated view. J. Cosmet. Dermatol. 2021, 20, 1044–1049. [Google Scholar] [CrossRef]
- Jesus, A.; Sousa, E.; Cruz, M.T.; Cidade, H.; Lobo, J.M.S.; Almeida, I.F. UV Filters: Challenges and Prospects. Pharmaceuticals 2022, 15, 263. [Google Scholar] [CrossRef] [PubMed]
- Hu, S.; Zhang, X.; Chen, F.; Wang, M. Dietary polyphenols as photoprotective agents against UV radiation. J. Funct. Foods. 2017, 30, 108–118. [Google Scholar] [CrossRef]
- Leccia, M.T.; Lebbe, C.; Claudel, J.P.; Narda, M.; Basset-Seguinn, N. New vision in photoprotection and photorepair. Dermatol. Ther. 2019, 9, 103–115. [Google Scholar] [CrossRef]
- Ngoc, L.T.N.; Tran, V.V.; Moon, J.Y.; Chae, M.; Park, D.; Lee, Y.C. Recent trends of sunscreen cosmetic: An update review. Cosmetics 2019, 6, 64. [Google Scholar] [CrossRef]
- Krutmann, J.; Passeron, T.; Gilaberte, Y.; Granger, C.; Leone, G.; Narda, M.; Schalka, S.; Trullas, C.; Masson, P.; Lim, H.W. Photoprotection of the future: Challenges and opportunities. J. Eur. Acad. Dermatol. Venereol. 2020, 34, 447–454. [Google Scholar] [CrossRef]
- De Lima Cherubim, D.J.; Buzanello Martins, C.V.; Oliveira de Fariña, L.; da Silva de Lucca, R.A. Polyphenols as natural antioxidants in cosmetics applications. J. Cosmet. Dermatol. 2020, 19, 33–37. [Google Scholar] [CrossRef] [PubMed]
- Resende, D.I.; Jesus, A.; Sousa Lobo, J.M.; Sousa, E.; Cruz, M.T.; Cidade, H.; Almeida, I.F. Up-to-Date Overview of the Use of Natural Ingredients in Sunscreens. Pharmaceuticals 2022, 15, 372. [Google Scholar] [CrossRef] [PubMed]
- Nichols, J.A.; Katiyar, S.K. Skin photoprotection by natural polyphenols: Anti-inflammatory, antioxidant and DNA repair mechanisms. Arch. Dermatol. Res. 2010, 302, 71–83. [Google Scholar] [CrossRef]
- Radice, M.; Manfredini, S.; Ziosi, P.; Dissette, V.; Buso, P.; Fallacara, A.; Vertuani, S. Herbal extracts, lichens and biomolecules as natural photo-protection alternatives to synthetic UV filters. A systematic review. Fitoterapia 2016, 114, 144–162. [Google Scholar] [CrossRef] [PubMed]
- Sharma, T.; Tyagi, V.; Bansal, M. Determination of sun protection factor of vegetable and fruit extracts using UV–Visible spectroscopy: A green approach. Sustain. Chem. Pharm. 2020, 18, 100347. [Google Scholar] [CrossRef]
- Ben-Othman, S.; Jõudu, I.; Bhat, R. Bioactives from agri-food wastes: Present insights and future challenges. Molecules 2020, 25, 510. [Google Scholar] [CrossRef]
- Osorio, L.L.D.R.; Flórez-López, E.; Grande-Tovar, C.D. The potential of selected agri-food loss and waste to contribute to a circular economy: Applications in the food, cosmetic and pharmaceutical industries. Molecules 2021, 26, 515. [Google Scholar] [CrossRef]
- Oliveira, H.; Correia, P.; Pereira, A.R.; Araújo, P.; Mateus, N.; de Freitas, V.; Oliveira, J.; Fernandes, I. Exploring the applications of the photoprotective properties of anthocyanins in biological systems. Int. J. Mol. Sci. 2020, 21, 7464. [Google Scholar] [CrossRef]
- Ma, E.Z.; Khachemoune, A. Flavonoids and their therapeutic applications in skin diseases. Arch. Dermatol. Res. 2022. [CrossRef]
- Wang, T.; Zhao, J.; Yang, Z.; Xiong, L.; Li, L.; Gu, Z.; Li, Y. Polyphenolic sunscreens for photoprotection. Green Chem. 2022, 24, 3605–3622. [Google Scholar] [CrossRef]
- Shahbaz, M.U.; Arshad, M.; Mukhtar, K.; Nabi, B.G.; Goksen, G.; Starowicz, M.; Nawaz, A.; Ahmad, I.; Walayat, N.; Manzoor, M.F.; et al. Natural Plant Extracts: An Update about Novel Spraying as an Alternative of Chemical Pesticides to Extend the Postharvest Shelf Life of Fruits and Vegetables. Molecules 2022, 27, 5152. [Google Scholar] [CrossRef] [PubMed]
- Amberg, N.; Fogarassy, C. Green consumer behavior in the cosmetics market. Resources 2019, 8, 137. [Google Scholar] [CrossRef]
- Pawlowski, S.; Petersen-Thiery, M. Sustainable sunscreens: A challenge between performance, animal testing ban, and human and environmental safety. Sunscreens Coast. Ecosyst. 2020, 94, 185–207. [Google Scholar]
- Pawlowski, S.; Herzog, B.; Sohn, M.; Petersen-Thiery, M.; Acker, S. EcoSun Pass: A tool to evaluate the ecofriendliness of UV filters used in sunscreen products. Int. J. Cosmet. Sci. 2021, 43, 201–210. [Google Scholar] [CrossRef]
- Adeel, S.; Habiba, M.; Kiran, S.; Iqbal, S.; Abrar, S.; Hassan, C.M. Utilization of Colored Extracts for the Formulation of Ecological Friendly Plant-Based Green Products. Sustainability 2022, 14, 11758. [Google Scholar] [CrossRef]
- Azmir, J.; Zaidul, I.S.M.; Rahman, M.M.; Sharif, K.M.; Mohamed, A.; Sahena, F.; Jahurul, M.H.A.; Ghafoor, K.; Norulaini, N.A.N.; Omar, A.K.M. Techniques for extraction of bioactive compounds from plant materials: A review. J. Food Eng. 2013, 117, 426–436. [Google Scholar] [CrossRef]
- Zhang, W.Q.; Lin, G.L.; Ye, C.W. Techniques for extraction and isolation of natural products: A comprehensive review. Chin. Med. 2018, 13, 1–26. [Google Scholar] [CrossRef]
- Kumari, B.; Tiwari, B.K.; Hossain, M.B.; Brunton, N.P.; Rai, D.K. Recent advances on application of ultrasound and pulsed electric field technologies in the extraction of bioactives from agro-industrial by-products. Food Bioprocess. Technol. 2018, 11, 223–241. [Google Scholar] [CrossRef]
- Arruda, H.S.; Silva, E.K.; Peixoto Araujo, N.M.; Pereira, G.A.; Pastore, G.M.; Marostica Junior, M.R. Anthocyanins recovered from agri-food by-products using innovative processes: Trends, challenges, and perspectives for their application in food systems. Molecules 2021, 26, 2632. [Google Scholar] [CrossRef] [PubMed]
- Chemat, F.; Abert Vian, M.; Ravi, H.K.; Khadhraoui, B.; Hilali, S.; Perino, S.; Fabiano Tixier, A.-S. Review of Alternative Solvents for Green Extraction of Food and Natural Products: Panorama, Principles, Applications and Prospects. Molecules 2019, 24, 3007. [Google Scholar] [CrossRef] [PubMed]
- Zhou, Y.; Zheng, J.; Gan, R.-Y.; Zhou, T.; Xu, D.-P.; Li, H.-B. Optimization of ultrasound-assisted extraction of antioxidants from the mung bean coat. Molecules 2017, 22, 638. [Google Scholar] [CrossRef] [PubMed]
- Ameer, K.; Shahbaz, H.M.; Kwon, J.H. Green extraction methods for polyphenols from plant matrices and their byproducts: A review. Compr. Rev. Food Sci. Food Saf. 2017, 16, 295–315. [Google Scholar] [CrossRef] [PubMed]
- Bian, C.; Wang, Z.; Shi, J. Extraction Optimization, Structural Characterization, and Anticoagulant Activity of Acidic Polysaccharides from Auricularia auricula-judae. Molecules 2020, 25, 710. [Google Scholar] [CrossRef] [PubMed]
- Khadhraoui, B.; Turk, M.; Fabiano-tixier, A.S.; Petitcolas, E.; Robinet, P.; Imbert, R.; El Maataoui, M.; Chemat, F. Histo-cytochemistry and scanning electron microscopy for studying spatial and temporal extraction of metabolites induced by ultrasound. Towards chain detexturation mechanism. Ultrason. Sonochem. 2018, 42, 482–492. [Google Scholar] [CrossRef]
- Yara-Varon, E.; Li, Y.; Balcells, M.; Canela-Garayoa, R.; Fabiano-tixier, A.S.; Chemat, F. Vegetable Oils as Alternative Solvents for Green Oleo-Extraction, Purification and Formulation of Food and Natural Products. Molecules 2017, 22, 1474. [Google Scholar] [CrossRef]
- Boublenza, I.; Boublenza, I.; Boublenza, A.; Madji, S.; Fabiano Tixier, A.S.; Chemat, F. Carob as Source for Sustainable Ingredients and Products. In Plant Based “Green Chemistry 2.0”; Springer: Berlin/Heidelberg, Germany, 2019; pp. 257–275. [Google Scholar]
- Rico, D.; Martín-Diana, A.B.; Martínez-Villaluenga, C.; Aguirre, L.; Silvan, J.M.; Duenas, M.; De Luis, D.A.; Lasa, A. In vitro approach for evaluation of carob by-products as source bioactive ingredients with potential to attenuate metabolic syndrome (MetS). Heliyon 2019, 5, 01175. [Google Scholar] [CrossRef]
- Rodríguez-Solana, R.; Romano, A.; Moreno-Rojas, J.M. Carob pulp: A nutritional and functional by-product worldwide spread in the formulation of different food products and beverages: A Review. Processes 2021, 9, 1146. [Google Scholar] [CrossRef]
- Santonocito, D.; Granata, G.; Geraci, C.; Panico, A.; Siciliano, E.A.; Raciti, G.; Puglia, C. Carob seeds: Food waste or source of bioactive compounds? Pharmaceutics 2020, 12, 1090. [Google Scholar] [CrossRef]
- Papaefstathiou, E.; Agapiou, A.; Giannopoulos, S.; Kokkinofta, R. Nutritional characterization of carobs and traditional carob products. Food Sci. Nutr. 2018, 6, 2151–2161. [Google Scholar] [CrossRef]
- Stavrou, I.J.; Christou, A.; Kapnissi-Christodoulou, C.P. Polyphenols in carobs: A review on their composition, antioxidant capacity and cytotoxic effects, and health impact. Food Chem. 2018, 269, 355–374. [Google Scholar] [CrossRef]
- Goulas, V.; Georgiou, E. Utilization of carob fruit as sources of phenolic compounds with antioxidant potential: Extraction optimization and application in food models. Foods 2019, 9, 20. [Google Scholar] [CrossRef] [PubMed]
- Ayache, S.B.; Reis, F.S.; Dias, M.I.; Pereira, C.; Glamočlija, J.; Soković, M.; Saafi, E.B.; Ferreira, I.C.F.R.; Barros, L.; Achour, L. Chemical characterization of carob seeds (Ceratonia siliqua L.) and use of different extraction techniques to promote its bioactivity. Food Chem. 2021, 351, 129263. [Google Scholar] [CrossRef] [PubMed]
- Issaoui, M.; Flamini, G.; Delgado, A. Sustainability Opportunities for Mediterranean Food Products through New Formulations Based on Carob Flour (Ceratonia siliqua L.). Sustainability 2021, 13, 8026. [Google Scholar] [CrossRef]
- Gioxari, A.; Amerikanou, C.; Nestoridi, I.; Gourgari, E.; Pratsinis, H.; Kalogeropoulos, N.; Andrikopoulos, N.K.; Kaliora, A.C. Carob: A Sustainable Opportunity for Metabolic Health. Foods 2022, 11, 2154. [Google Scholar] [CrossRef] [PubMed]
- Lucarini, M.; Durazzo, A.; Bernini, R.; Campo, M.; Vita, C.; Souto, E.B.; Lombardi-Boccia, G.; Ramadan, M.F.; Santini, A.; Romani, A. Fruit Wastes as a Valuable Source of Value-Added Compounds: A Collaborative Perspective. Molecules 2021, 26, 6338. [Google Scholar] [CrossRef] [PubMed]
- Claux, O.; Santerre, C.; Abert-Vian, M.; Touboul, D.; Vallet, N.; Chemat, F. Alternative and sustainable solvents for green analytical chemistry. Curr. Opin. Green Sustain. Chem. 2021, 31, 100510. [Google Scholar] [CrossRef]
- Jovanović, A.A.; Đorđević, V.B.; Zdunić, G.M.; Pljevljakušić, D.S.; Šavikin, K.P.; Gođevac, D.M.; Bugarski, B.M. Optimization of the extraction process of polyphenols from Thymus serpyllum L. herb using maceration, heat- and ultrasound-assisted techniques. Sep. Purif. Technol. 2017, 179, 369–380. [Google Scholar] [CrossRef]
- Mokrani, A.; Madani, K. Effect of solvent, time and temperature on the extraction of phenolic compounds and antioxidant capacity of peach (Prunus persica L.) fruit. Sep. Purif. Technol. 2016, 162, 68–76. [Google Scholar] [CrossRef]
- Lazar, L.; Talmaciu, A.I.; Volf, I.; Valentin, I. Kinetic modeling of the ultrasound-assisted extraction of polyphenols from Picea abies bark. Ultrason. Sonochem. 2016, 32, 191–197. [Google Scholar] [CrossRef] [PubMed]
- Chemat, F.; Rombaut, N.; Sicaire, A.G.; Meullemiestre, A.; Fabiano-Tixier, A.S.; Abert-Vian, M. Ultrasound assisted extraction of food and natural products. Mechanisms, techniques, combinations, protocols and applications. A review. Ultrason. Sonochem. 2017, 34, 540–560. [Google Scholar] [CrossRef] [PubMed]
- Philippi, K.; Tsamandouras, N.; Grigorakis, S.; Makris, D.P. Ultrasound-assisted green extraction of eggplant peel (Solanum melongena) polyphenols using aqueous mixtures of glycerol and ethanol: Optimisation and kinetics. Environ. Process. 2016, 3, 369–386. [Google Scholar] [CrossRef]
- Ferarsa, S.; Zhang, W.; Moulai-Mostefa, N.; Ding, L.; Jaffrin, M.Y.; Grimi, N. Recovery of anthocyanins and other phenolic compounds from purple eggplant peels and pulps using ultrasonic-assisted extraction. Food Bioprod. Process. 2018, 109, 19–28. [Google Scholar] [CrossRef]
- Chemat, F.; Abert-Vian, M.; Fabiano-Tixier, A.S.; Strube, J.; Uhlenbrock, L.; Gunjevic, V.; Cravotto, G. Green extraction of natural products. Origins, current status, and future challenges. TrAC Trends Anal. Chem. 2019, 118, 248–263. [Google Scholar] [CrossRef]
- Avallone, R.; Plessi, M.; Baraldi, M.; Monzani, A. Determination of chemical composition of carob (Ceratonia siliqua): Protein, fat, carbohydrates, and tannins. J. Food Compos. Anal. 1997, 10, 166–172. [Google Scholar] [CrossRef]
- Roseiro, L.B.; Duarte, L.C.; Oliveira, D.L.; Roque, R.; Bernardo-Gil, G.M.; Martins, A.I.; Sepúlveda, C.; Almeida, J.; Meireles, M.; Gírio, F.M.; et al. Supercritical, ultrasound and conventional extracts from carob (Ceratonia siliqua L.) biomass: Effect on the phenolic profile and antiproliferative activity. Ind. Crops Prod. 2013, 47, 132–138. [Google Scholar] [CrossRef]
- Mansouri, F.E.; Silva, J.C.G.E.; Cacciola, F.; Asraoui, F.; Tayeq, H.; Ben Amar, Y.M.; Lovillo, M.P.; Chouaibi, N.; Brigui, J. Evaluation of Different Extraction Methods on the Phenolic Profile and the Antioxidant Potential of Ceratonia siliqua L. Pods Extracts. Molecules 2022, 27, 6163. [Google Scholar] [CrossRef]
- Amrani, A.; Bouakline, H.; Elkabous, M.; Brahmi, M.; Karzazi, Y.; El Bachiri, A.; Tahani, A. Ceratonia siliqua L. seeds extract: Experimental analysis and simulation study. Mater. Today Proc. 2022; in press. [Google Scholar]
- Almanasrah, M.; Roseiro, L.B.; Bogel-Lukasik, R.; Carvalheiro, F.; Brazinha, C.; Crespo, J.; Kallioinen, M.; Mänttäri, M.; Duarte, L.C. Selective recovery of phenolic compounds and carbohydrates from carob kibbles using water-based extraction. Ind. Crops Prod. 2015, 70, 443–450. [Google Scholar] [CrossRef]
- Roseiro, L.B.; Tavares, C.S.; Roseiro, J.C.; Rauter, A.P. Antioxidants from aqueous decoction of carob pods biomass (Ceretonia siliqua L.): Optimisation using response surface methodology and phenolic profile by capillary electrophoresis. Ind. Crops Prod. 2013, 44, 119–126. [Google Scholar] [CrossRef]
- Huma, Z.E.; Jayasena, V.; Nasar-Abbas, S.M.; Imran, M.; Khan, M.K. Process optimization of polyphenol extraction from carob (Ceratonia siliqua) kibbles using microwave-assisted technique. J. Food Process. Preserv. 2018, 42, 13450. [Google Scholar] [CrossRef]
- Quiles-Carrillo, L.; Mellinas, C.; Garrigos, M.D.C.; Balart, R.; Torres-Giner, S. Optimization of microwave-assisted extraction of phenolic compounds with antioxidant activity from carob pods. Food Anal. Methods 2019, 12, 2480–2490. [Google Scholar] [CrossRef]
- Christou, A.; Stavrou, I.J.; Kapnissi-Christodoulou, C.P. Continuous and pulsed ultrasound-assisted extraction of carob’s antioxidants: Processing parameters optimization and identification of polyphenolic composition. Ultrason. Sonochem. 2021, 76, 105630. [Google Scholar] [CrossRef] [PubMed]
- Ben Ayache, S.; Behija Saafi, E.; Emhemmed, F.; Flamini, G.; Achour, L.; Muller, C.D. Biological activities of aqueous extracts from carob plant (Ceratonia siliqua L.) by antioxidant, analgesic and proapoptotic properties evaluation. Molecules 2020, 25, 3120. [Google Scholar] [CrossRef] [PubMed]
- Kaur, C.D.; Saraf, S. In vitro sun protection factor determination of herbal oils used in cosmetics. Pharmacogn. Res. 2010, 2, 22. [Google Scholar]
- Silva, R.V.; Costa, S.C.C.; Branco, C.R.C.; Branco, A. In vitro photoprotective activity of the Spondias purpurea L. peel crude extract and its incorporation in a pharmaceutical formulation. Ind. Crops Prod. 2016, 83, 509–514. [Google Scholar] [CrossRef]
- Caballero-Gallardo, K.; Quintero-Rincón, P.; Stashenko, E.E.; Olivero-Verbel, J. Photoprotective agents obtained from aromatic plants grown in Colombia: Total phenolic content, antioxidant activity, and assessment of cytotoxic potential in cancer cell lines of Cymbopogon flexuosus L. and Tagetes lucida Cav. essential oils. Plants 2022, 11, 1693. [Google Scholar] [CrossRef]
- Martić, N.; Zahorec, J.; Stilinović, N.; Andrejić-Višnjić, B.; Pavlić, B.; Kladar, N.; Šoronja-Simović, D.; Šereš, Z.; Vujčić, M.; Horvat, O.; et al. Hepatoprotective Effect of Carob Pulp Flour (Ceratonia siliqua L.) Extract Obtained by Optimized Microwave-Assisted Extraction. Pharmaceutics 2022, 14, 657. [Google Scholar] [CrossRef]
- Clodoveo, M.L.; Crupi, P.; Muraglia, M.; Corbo, F. Ultrasound assisted extraction of polyphenols from ripe carob pods (Ceratonia siliqua L.): Combined designs for screening and optimizing the processing parameters. Foods 2022, 11, 284. [Google Scholar] [CrossRef]
- Bezerra, M.A.; Santelli, R.E.; Oliveira, E.P.; Villar, L.S.; Escaleira, L.A. Response surface methodology (RSM) as a tool for optimization in analytical chemistry. Talanta 2008, 76, 965–977. [Google Scholar] [CrossRef]
- Singleton, V.L.; Rossi, J.A. Colorimetry of total phenolics with phosphomolybdic-phosphotungstic acid reagents. Am. J. Enol. Vitic. 1965, 16, 144–158. [Google Scholar]
- Prieto, P.; Pineda, M.; Aguilar, M. Spectrophotometric quantitation of antioxidant capacity through the formation of a phosphomolybdenum complex: Specific application to the determination of vitamin E. Anal. Biochem. 1999, 269, 337–341. [Google Scholar] [CrossRef] [PubMed]
- Brand-Williams, W.; Cuvelier, M.E.; Berset, C. Use of a free radical method to evaluate antioxidant activity. LWT-Food Sci. Technol. 1995, 28, 25–30. [Google Scholar] [CrossRef]
- Martínez, L.; Ros, G.; Nieto, G. Effect of natural extracts obtained from food industry by-products on nutritional quality and shelf life of chicken nuggets enriched with organic Zn and Se provided in broiler diet. Poult. Sci. 2020, 99, 1491–1501. [Google Scholar] [CrossRef] [PubMed]
- Martínez, L.; Ros, G.; Nieto, G. Fe, Zn and Se Bioavailability in Chicken Meat Emulsions Enriched with Minerals, Hydroxytyrosol and Extra Virgin Olive Oil as Measured by Caco-2 Cell Model. Nutrients 2018, 10, 969. [Google Scholar] [CrossRef] [PubMed]
- Nieto, G.; Martínez, L.; Castillo, J.; Ros, G. Hydroxytyrosol extracts, olive oil and walnuts as functional components in chicken sausages. J. Sci. Food Agric. 2017, 97, 3761–3771. [Google Scholar] [CrossRef]
- Martínez, L.; Jongberg, S.; Ros, G.; Skibsted, L.H.; Nieto, G. Plant derived ingredients rich in nitrates or phenolics for protectionof pork against protein oxidation. Food Res. Int. 2020, 129, 108789. [Google Scholar] [CrossRef]
- Nieto Martínez, G. Incorporation of by-products of rosemary and thyme in the diet of ewes: Effect on the fatty acid profile of lamb. Eur. Food Res. Technol. 2013, 236, 379–389. [Google Scholar] [CrossRef]
- Nieto, G.; Bañón, S.; Garrido, M. Administration of distillate thyme leaves into the diet of Segureña ewes: Effect on lamb meat quality. Animal 2012, 6, 2048–2056. [Google Scholar] [CrossRef]
- Mansur, J.d.S.; Breder, M.N.R.; Mansur, M.C.D.A. Determinaçäo do fator de proteçäo solar por espectrofotometria. An. Bras. Dermatol. 1986, 121–124. [Google Scholar]
- Sayre, R.M.; Agin, P.P.; Levee, G.J.; Marlowe, E. A comparison of in vivo and in vitro testing of sunscreening formulas. Photochem. Photobiol. 1979, 29, 559–566. [Google Scholar] [CrossRef] [PubMed]








| Entry | UAE Independent Variables | Investigated Responses | |||||
|---|---|---|---|---|---|---|---|
| X1 (min) | X2 (°C) | X3 (%) | TPC (mg GAE/g dw) | TAC (mg AAE/g dw) | DPPH (%) | SPF | |
| 1 | 40 | 50 | 65 | 15.33 | 48.19 | 85.46 | 14.08 |
| 2 | 20 | 60 | 50 | 14.04 | 31.76 | 86.99 | 18.23 |
| 3 | 20 | 60 | 80 | 6.21 | 26.76 | 63.78 | 10.45 |
| 4 | 40 | 50 | 65 | 15.21 | 46.92 | 81.13 | 13.99 |
| 5 | 60 | 60 | 80 | 10.33 | 33.90 | 82.97 | 10.74 |
| 6 | 40 | 50 | 65 | 15.04 | 48.57 | 81.56 | 13.63 |
| 7 | 60 | 60 | 50 | 21.92 | 46.92 | 89.47 | 22.37 |
| 8 | 40 | 50 | 65 | 15.17 | 48.97 | 81.34 | 13.75 |
| 9 | 20 | 40 | 80 | 7.33 | 22.00 | 56.35 | 8.62 |
| 10 | 40 | 50 | 65 | 15.00 | 48.74 | 81.67 | 13.47 |
| 11 | 60 | 40 | 50 | 13.62 | 43.35 | 79.56 | 14.23 |
| 12 | 40 | 50 | 65 | 15.29 | 47.86 | 81.88 | 14.06 |
| 13 | 73.60 | 50 | 65 | 12.87 | 39.22 | 80.76 | 15.98 |
| 14 | 40 | 66.80 | 65 | 12.25 | 31.52 | 87.88 | 14.28 |
| 15 | 60 | 40 | 80 | 11.67 | 34.94 | 66.56 | 10.18 |
| 16 | 6,4 | 50 | 65 | 6.88 | 28.43 | 64.84 | 11.73 |
| 17 | 40 | 33.20 | 65 | 10.30 | 30.41 | 79.10 | 10.12 |
| 18 | 40 | 50 | 39.80 | 21.58 | 49.30 | 90.50 | 19.31 |
| 19 | 20 | 40 | 50 | 10.29 | 34.22 | 80.49 | 11.73 |
| 20 | 40 | 50 | 90.20 | 11.12 | 30.09 | 66.98 | 9.45 |
| Source of Variation | DF | Sum of Squares | F-Value | p-Value | |
|---|---|---|---|---|---|
| Model | 9 | 320.074 | 56.90 | 0.000 | |
| Linear | 3 | 205.605 | 109.65 | 0.000 | |
| X1 | 1 | 64.791 | 103.66 | 0.000 | |
| X2 | 1 | 12.132 | 19.41 | 0.001 | |
| X3 | 1 | 128.682 | 205.88 | 0.000 | |
| Quadratic | 3 | 84.862 | 45.26 | 0.000 | |
| X1 × X1 | 1 | 55.362 | 88.57 | 0.000 | |
| X2 × X2 | 1 | 30.919 | 49.47 | 0.000 | |
| X3 × X3 | 1 | 1.574 | 2.52 | 0.144 | |
| Interaction | 3 | 29.606 | 15.79 | 0.000 | |
| X1 × X2 | 1 | 2.344 | 3.75 | 0.082 | |
| X1 × X3 | 1 | 0.945 | 1.51 | 0.247 | |
| X2 × X3 | 1 | 26.318 | 42.11 | 0.000 | |
| Error | 10 | 6.250 | |||
| Lack of fit | 5 | 6.163 | 70.57 | 0.000 | |
| Pure error | 5 | 0.087 | |||
| Total | 19 | 326.324 | |||
| R2 | 98.08% | R2(adj) | 96.36% | ||
| TAC (mg AAE/g dw) | DPPH (%) | |||||||
|---|---|---|---|---|---|---|---|---|
| Source of Variation | DF | Sum of Squares | F-Value | p-Value | DF | Sum of Squares | F-Value | p-Value |
| Model | 9 | 1532.26 | 41.17 | 0.000 | 9 | 1655.91 | 29.47 | 0.000 |
| Linear | 3 | 658.18 | 53.06 | 0.000 | 3 | 1294.78 | 69.13 | 0.000 |
| X1 | 1 | 286.26 | 69.23 | 0.000 | 1 | 243.96 | 39.08 | 0.000 |
| X2 | 1 | 3.28 | 0.79 | 0.394 | 1 | 221.70 | 35.51 | 0.000 |
| X3 | 1 | 368.64 | 89.15 | 0.000 | 1 | 829.12 | 132.81 | 0.000 |
| Quadratic | 3 | 871.00 | 70.22 | 0.000 | 3 | 238.09 | 12.71 | 0.001 |
| X1 × X1 | 1 | 365.53 | 88.40 | 0.000 | 1 | 209.04 | 33.49 | 0.000 |
| X2 × X2 | 1 | 527.13 | 127.49 | 0.000 | 1 | 0.01 | 0.00 | 0.968 |
| X3 × X3 | 1 | 126.25 | 30.53 | 0.000 | 1 | 42.01 | 6.73 | 0.027 |
| Interaction | 3 | 3.07 | 0.25 | 0.861 | 3 | 123.04 | 6.57 | 0.010 |
| X1 × X2 | 1 | 0.01 | 0.00 | 0.969 | 1 | 19.19 | 3.07 | 0.110 |
| X1 × X3 | 1 | 2.22 | 0.54 | 0.481 | 1 | 96.95 | 15.53 | 0.003 |
| X2 × X3 | 1 | 0.85 | 0.21 | 0.660 | 1 | 6.90 | 1.11 | 0.318 |
| Error | 10 | 41.35 | 10 | 62.43 | ||||
| Lack of fit | 5 | 38.57 | 13.90 | 0.006 | 5 | 49.13 | 3.69 | 0.089 |
| Pure error | 5 | 2.78 | 5 | 13.30 | ||||
| Total | 19 | 1573.61 | 19 | 1718.34 | ||||
| R2 | 97.37% | R2(adj) | 95.01% | R2 | 96.37% | R2(adj) | 93.10% | |
| Source of Variation | DF | Sum of Squares | F-Value | p-Value | |
|---|---|---|---|---|---|
| Model | 9 | 224.216 | 53.08 | 0.000 | |
| Linear | 3 | 196.545 | 139.59 | 0.000 | |
| X1 | 1 | 17.904 | 38.15 | 0.000 | |
| X2 | 1 | 42.280 | 90.09 | 0.000 | |
| X3 | 1 | 136.360 | 290.55 | 0.000 | |
| Quadratic | 3 | 6.029 | 4.28 | 0.035 | |
| X1 × X1 | 1 | 0.006 | 0.01 | 0.913 | |
| X2 × X2 | 1 | 5.286 | 11.26 | 0.007 | |
| X3 × X3 | 1 | 0.395 | 0.84 | 0.381 | |
| Interaction | 3 | 21.643 | 15.37 | 0.000 | |
| X1 × X2 | 1 | 0.017 | 0.04 | 0.852 | |
| X1 × X3 | 1 | 2.868 | 6.11 | 0.033 | |
| X2 × X3 | 1 | 18.758 | 39.97 | 0.000 | |
| Error | 10 | 4.693 | |||
| Lack of fit | 5 | 4.376 | 13.81 | 0.006 | |
| Pure error | 5 | 0.317 | |||
| Total | 19 | 228.910 | |||
| R2 | 97.95% | R2(adj) | 96.10% | ||
| Optimum UAE Parameters | |||||||
|---|---|---|---|---|---|---|---|
| Time (min) | Temperature (°C) | Ethanol (%) | |||||
| 50.52 | 53.90 | 38.90 | |||||
| Response variables | |||||||
| TPC (mg GAE/g dw) | TAC (mg AAE/g dw) | DPPH (%) | SPF | ||||
| Predicted | Experimental * | Predicted | Experimental | Predicted | Experimental | Predicted | Experimental |
| 23.632 | 23.375 ± 0.83 | 49.10 | 48.89 ± 0.24 | 89.89 | 89.27 ± 0.95 | 22.348 | 22.127 ± 0.43 |
| Independent Variable | Code | Factors Levels | ||||
|---|---|---|---|---|---|---|
| −α 1 | −1 | 0 | 1 | +α | ||
| Extraction time (min) | X1 | 6.40 | 20 | 40 | 60 | 73.60 |
| Temperature (°C) | X2 | 33.20 | 40 | 50 | 60 | 66.80 |
| Ethanol concentration (%) | X3 | 39.80 | 50 | 65 | 80 | 90.20 |
Publisher’s Note: MDPI stays neutral with regard to jurisdictional claims in published maps and institutional affiliations. |
© 2022 by the authors. Licensee MDPI, Basel, Switzerland. This article is an open access article distributed under the terms and conditions of the Creative Commons Attribution (CC BY) license (https://creativecommons.org/licenses/by/4.0/).
Share and Cite
Ayad, R.; Ayad, R.; Bourekoua, H.; Lefahal, M.; Makhloufi, E.H.; Akkal, S.; Medjroubi, K.; Nieto, G. Process Optimization of Phytoantioxidant and Photoprotective Compounds from Carob Pods (Ceratonia siliqua L.) Using Ultrasonic Assisted Extraction Method. Molecules 2022, 27, 8802. https://doi.org/10.3390/molecules27248802
Ayad R, Ayad R, Bourekoua H, Lefahal M, Makhloufi EH, Akkal S, Medjroubi K, Nieto G. Process Optimization of Phytoantioxidant and Photoprotective Compounds from Carob Pods (Ceratonia siliqua L.) Using Ultrasonic Assisted Extraction Method. Molecules. 2022; 27(24):8802. https://doi.org/10.3390/molecules27248802
Chicago/Turabian StyleAyad, Radia, Rima Ayad, Hayat Bourekoua, Mostefa Lefahal, El Hani Makhloufi, Salah Akkal, Kamel Medjroubi, and Gema Nieto. 2022. "Process Optimization of Phytoantioxidant and Photoprotective Compounds from Carob Pods (Ceratonia siliqua L.) Using Ultrasonic Assisted Extraction Method" Molecules 27, no. 24: 8802. https://doi.org/10.3390/molecules27248802
APA StyleAyad, R., Ayad, R., Bourekoua, H., Lefahal, M., Makhloufi, E. H., Akkal, S., Medjroubi, K., & Nieto, G. (2022). Process Optimization of Phytoantioxidant and Photoprotective Compounds from Carob Pods (Ceratonia siliqua L.) Using Ultrasonic Assisted Extraction Method. Molecules, 27(24), 8802. https://doi.org/10.3390/molecules27248802

