Abstract
Novel aryl-substituted homophthalic acids were cyclodehydrated to the respective homophthalic anhydrides for use in the Castagnoli–Cushman reaction. With a range of imines, this reaction proceeded smoothly and delivered hitherto undescribed 4-aryl-substituted tetrahydroisoquinolonic acids with remarkable diastereoselectivity, good yields and no need for chromatographic purification. These findings significantly extend the range of cyclic anhydrides employable in the Castagnoli–Cushman reaction and signify access to a novel substitution pattern around the medicinally relevant tetrahydroisoquinolonic acid scaffold.
1. Introduction
The Castagnoli–Cushman reaction (CCR) [1] is a remarkably versatile [4 + 2]-type cyclocondensation of a-C-H-acidic cyclic anhydrides 1 with imines 2 leading, depending on the specific anhydride employed [2], to skeletally diverse [3] lactams 3 bearing multiple substituents, which in many cases proceeds in diastereoselective fashion. This reaction is multicomponent in nature because the requisite imine can be generated in situ from the respective amine and aldehyde [4], which makes this reaction particularly suitable for generating compound libraries in array format for drug discovery (Figure 1).
Figure 1.
The Castagnoli–Cushman reaction.
Considering the fact that the cyclic anhydride (1) for the CCR input primarily controls the skeletal nature of the lactam product 3, involvement of novel anhydrides in the reaction promises to deliver molecular frameworks which are either completely novel [5] or carry unprecedented substitution patterns around known cores.
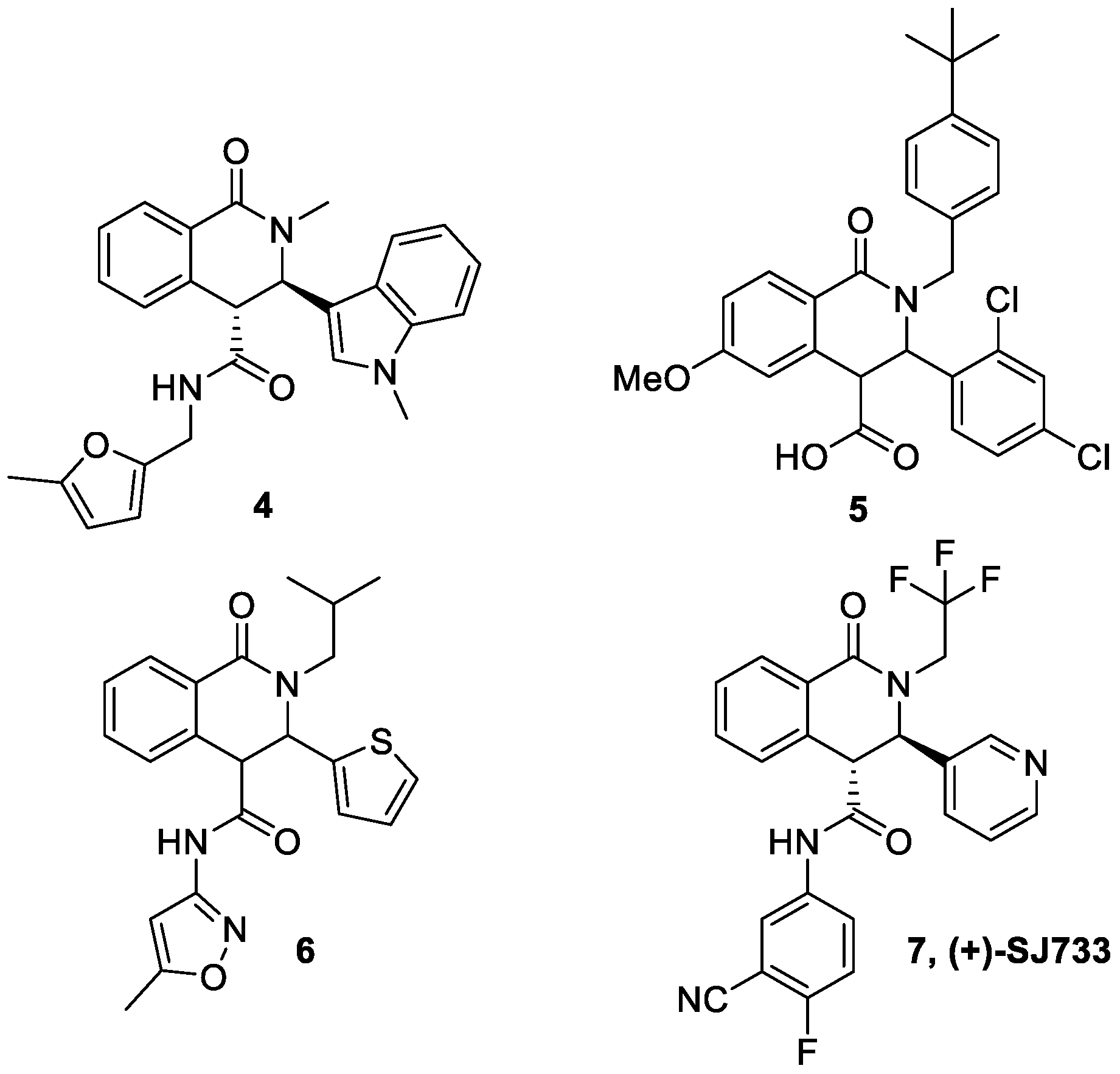
Homophthalic anhydride (HPA) is one of the most popular and most reactive anhydrides used in the CCR. The reaction with HPA delivers tetrahydroisoquinolones (THIQs) with good control of diastereoselectivity [6,7,8]. The THIQ scaffold is of undisputable medicinal relevance, as evidenced by various molecular series possessing diverse biological activities reported in the literature. These can be exemplified by such compounds as adrenocorticotropic hormone receptor modulator 4 [9], apoptosis regulator 5 [10], trypanocidal cysteine protease inhibitor 6 [11], as well as antimalarial 7 [12] (Figure 2).
Figure 2.
Examples of diversely biologically active tetrahydroisoquinolones.
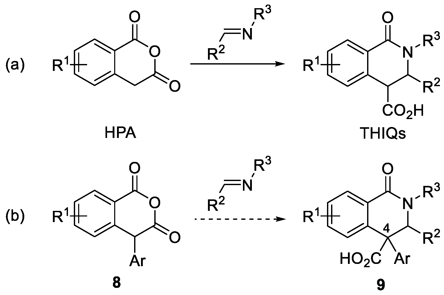
The peripheral group diversity of HPA has been largely limited to the substitutions in the benzene ring [13], while substitutions at the methylene position remain almost completely unexplored except for methyl- [14,15] and benzyl- [15] substituted variants. We became interested in synthesizing novel HPA versions bearing an aryl group at the methylene linker (8) and exploring them as partners in the CCR. Our interest was fueled by the prospect of obtaining, possibly in diastereoselective manner, densely substituted THIQs 9 where the α-position (position 4 of the THIQ scaffold) of the hitherto undescribed carboxylic acid would be an all-carbon stereogenic center (Figure 3). Herein, we present the results obtained in the course of pursuing this goal.
Figure 3.
(a) Traditional CCR of HPA. (b) Synthetic goal pursued in this work.
2. Results
4-Aryl-substituted homophthalic acids 10 required for the preparation of anhydrides 8 were synthesized from indanones 11. These, in turn, were prepared either by triflic acid-promoted arylation of cinnamic acids 12 [16] or by intramolecular Heck reaction of bromochalcone 13 [17]. The Heck reaction approach was used for the methoxy-substituted substrate because the respective TfOH-promoted arylation, when attempted, led to extensive tar formation. Indanones 11 were condensed with diethyl oxalate using either potassium or lithium tert-butoxide as the base, and the resulting condensation products 14 were oxidized with hydrogen peroxide in basic medium (as described previously [18]) to furnish novel homophthalic acids 10a–f in modest to excellent yields over two steps from indanones 11 (Scheme 1).
Scheme 1.
Synthesis of substituted homophthalic acids 10.
For the prospective employment of homophthalic acids in the CCR, anhydrides 8 were prepared immediately before the reaction using acetic anhydride as the cyclodehydrating agent and were used in the condensation with imines without further purification. For the preparation of anhydrides from homophthalic acids 10a–d, the cyclodehydration was performed at room temperature in dichloromethane. For substrates 10e–f, due to limited solubility in the latter conditions, the same reaction was performed in toluene at 80 ℃.
Although the CCR of HPA can be conducted in a range of different solvents [19], after brief optimization, we found the reaction of anhydride derived from unsubstituted diacid 10b to furnish an optimum 72% yield of THIQ cycloadduct 9a as a single diastereomer after refluxing the reaction partners in acetonitrile over 18 h. The same reaction conducted in refluxing toluene gave lower (66%) yield. Interestingly, the reaction in acetonitrile also proceeded to completion at room temperature but with lower yield (55%) and lower diastereoselectivity (dr 5:1, trans-/cis-). Thus, the conditions involving refluxing acetonitrile were extended to anhydrides 8 of this and other homophthalic acids 10 in combination with various imines prepared from aromatic aldehydes (Scheme 2).
Scheme 2.
The CCR of cyclic anhydrides 8 with imines.
The yields of 4-aryl-substituted THIQ acids 9a–u were generally good after simple evaporation of acetonitrile and trituration of the crude material with hexane and ether, with no need for chromatographic purification. The reactions were completely diastereoselective throughout except for those yielding products 9q–t. The stereochemical identity of products 9a–u was unequivocally confirmed as being trans with respect to the vicinal aryl groups by single-crystal X-ray analysis of compound 9a (Figure 4, see ESI for details). The substituents in the homophthalic portion did not apparently influence the reaction outcome. The scope of the reaction was also quite broad with respect to the aromatic, aldehyde-derived group tolerating heterocyclic motifs as well as phenyl group with a nitro group. Likewise, the scope of amines, aromatic and aliphatic alike, was also fairly broad.
Figure 4.
Crystallographic structure of compound 9a (ORTEP plot, 50% probability level).
Despite our initial expectations of potentially lower reactivity of anhydrides 8 in the CCR due to increased steric bulk compared to HPA, the reactivity of these anhydrides was similar to that of HPA (considering the fact that the reaction also proceeded at room temperature, vide supra). This is in line with the observations by others for methyl- and benzyl-substituted versions of HPA [15].
In addition to dicarboxylic acids 10a–f, we prepared 1,2,3-triazol-1-yl-substituted dicarboxylic acid 15 by copper-catalyzed [3 + 2] azide-alkyne cycloaddition of the known [20] azido-substituted homophthalic diethyl ester 16 and phenylacetylene followed by hydrolysis. Due to solubility issues, the cyclodehydration procedure to anhydride 17 was modified, and the reaction was performed in DMF using dicyclohexylcarbodiimide (DCC) as the cyclodehydrating agent. Anhydride 17 proved to be a competent substrate for the CCR; however, due to low solubility of 17 in acetonitrile, the reaction was conducted in DMF at room temperature. Trans-configured cycloadduct 18 was obtained as a single diastereomer in 50% yield, also with no need for chromatographic purification (Scheme 3).
Scheme 3.
Preparation and use of 1,2,3-triazol-1-yl-substituted cyclic anhydride 17 in the CCR.
3. Conclusions
We have described the synthesis of novel aryl-substituted homophthalic acids. Their cyclodehydration to the respective homophthalic anhydrides and the Castagnoli–Cushman reaction of the latter with a range of imines resulted in good yields and delivered hitherto undescribed 4-aryl-substituted tetrahydroisoquinolonic acids with remarkable diastereoselectivity, good yields and no need for chromatographic purification. These products are distinct in that they contain an all-carbon quaternary stereogenic centers in the α-position to the carboxylic acid. The cyclodehydration–Castagnoli–Cushman reaction protocol was found to be also transferrable to a novel 1,2,3-triazol-1-yl-substituted homophthalic acid. These findings significantly extend the range of cyclic anhydrides employable in the Castagnoli–Cushman reaction and signify access to a novel substitution pattern around the medicinally relevant tetrahydroisoquinolonic acid scaffold.
4. Materials and Methods
4.1. General Information
All reagents were obtained from commercial sources and used without further purification. Acetonitrile, toluene and N,N-dimethylformamide were distilled from suitable drying agents (CaH2 or P2O5) and stored over MS 4Å. Mass spectra were recorded with a Bruker Maxis HRMS-ESI-qTOF spectrometer (Moscow, Russia) (electrospray ionization mode). NMR data were recorded with Bruker Avance 400/500 spectrometer (Moscow, Russia) (400.13 MHz for 1H, 100.61 MHz and 125.73 MHz for 13C and 376.50 MHz for 19F) in DMSO-d6 and were referenced to residual solvent proton peaks (δH = 2.51 ppm) and solvent carbon peaks (δC = 39.52 ppm). NMR and HRMS spectra are in the Supplementary Material.
4.2. Preparation of Arylhomophthalic Acids 10a–10f: General Procedure 1
- Step 1.
- Condensation of arylindanones with diethyl oxalate
Compounds 10a,b,d,e: Corresponding indanone (9.6 mmol, 1 equiv.) and diethyl oxalate (4.2 g, 3.9 mL, 28.8 mmol, 3 equiv.) were dissolved in THF (10 mL, dry) in a round-bottom flask, and to the resulting solution a suspension of t-BuOK (3.23 g, 28.8 mmol, 3 equiv.) in THF (15 mL, dry) at room temperature was added dropwise. Next, the flask was stoppered, and the mixture was heated in a metal heating block at 65 °C for 72 h (conversion was estimated by TLC, using DCM as an eluent). After cooling to room temperature, the solvent was evaporated and the mixture was dissolved in CHCl3 (30 mL), washed with 3% hydrochloric acid solution (1 × 15 mL), water (1 × 15 mL) and brine (1 × 15 mL), then organic layer was dried over anhydrous sodium sulfate. The solvent was evaporated, and the resulting mixture was used in the next step without purification. Compounds 10c,f were obtained according to nearly the same procedure (but using t-BuOLi instead of t-BuOK), and the heating was performed for 16h.
- Step 2.
- Oxidation
A solution of KOH (3.76 g, 67.2 mmol, 7 equiv.) in water (20 mL) was added to the product of the previous step in a round-bottom flask; the mixture was stirred for 20 min, then H2O2 (30%, 27.2 mL) was added dropwise. The solution was stirred overnight at room temperature, then heated in a metal heating block to 50 °C and stirred for two hours (until the mixture became transparent). Activated charcoal (12 g) (powder−100 particle size (mesh)) was added to the resulting chilled solution and intensively stirred for 15 min. The solution was filtered through zeolite, and a solution of concentrated hydrochloric acid was added to the filtrate at room temperature to reach pH 1. The precipitated acid was extracted into EtOAc (3 × 30 mL). The organic layer was combined, dried over anhydrous sodium sulfate and evaporated. The resulting acids 10a–e did not require further purification. The acid 10f was additionally crystallized from acetonitrile. Yields of compounds 10 were calculated for 2 steps.
4.2.1. 2-[Carboxy(4-chlorophenyl)methyl]benzoic Acid (10a)
Prepared according to the general procedure GP1 from 3-(4-chlorophenyl)-2,3-dihydro-1H-inden-1-one[21]. Yield 2.344 g, 84%. Colorless amorphous solid. 1H NMR (400 MHz, DMSO-d6) δ 12.89 (s, 2H), 8.02–7.80 (m, 1H), 7.55–7.48 (m, 1H), 7.46–7.34 (m, 3H), 7.31–7.23 (m, 2H), 7.15–7.10 (m, 1H), 5.99 (s, 1H). 13C NMR (101 MHz, DMSO-d6) δ 173.6, 169.0, 140.1, 138.5, 132.3, 132.1, 131.4, 131.0, 130.9, 130.2, 128.9, 127.5, 52.9. HRMS (ESI/Q-TOF) m/z: [M + Na+]+ Calcd for C15H11ClO4Na+ 313.0238; Found 313.0234.
4.2.2. 2-[Carboxy(phenyl)methyl]benzoic Acid (10b)
Prepared according to the general procedure GP1 from 3-phenyl-2,3-dihydro-1H-inden-1-one [16]. Yield 2.017 g, 82%. Colorless amorphous solid. 1H NMR (400 MHz, DMSO-d6) δ 12.81 (s, 2H), 7.95–7.82 (m, 1H), 7.53–7.44 (m, 1H), 7.41–7.32 (m, 3H), 7.32–7.22 (m, 3H), 7.13–7.04 (m, 1H), 5.97 (s, 1H). 13C NMR (101 MHz, DMSO-d6) δ 173.9, 169.1, 140.6, 139.5, 132.1, 131.1, 130.7, 130.3, 129.5, 129.0, 127.4, 127.3, 53.6. HRMS (ESI/Q-TOF) m/z: [M + Na+]+ Calcd for C15H12O4Na+ 279.0628; Found 279.0623.
4.2.3. 2-[Carboxy(4-methoxyphenyl)methyl]benzoic Acid (10c)
Prepared according to the general procedure GP1 from 3-(4-methoxyphenyl)-2,3-dihydro-1H-inden-1-one [21]. Yield 703 mg, 62%. Colorless amorphous solid. 1H NMR (400 MHz, DMSO-d6) δ 12.75 (s, 2H), 7.86 (dd, J = 7.7, 1.6 Hz, 1H), 7.46 (td, J = 7.5, 1.6 Hz, 1H), 7.33 (t, J = 7.5 Hz, 1H), 7.15 (d, J = 8.7 Hz, 2H), 7.08 (d, J = 7.7 Hz, 1H), 6.92 (d, J = 8.7 Hz, 2H), 5.88 (s, 1H), 3.74 (s, 3H). 13C NMR (101 MHz, DMSO-d6) δ 173.7, 168.7, 158.2, 140.6, 131.5, 130.9, 130.6, 130.2, 130.1, 129.7, 126.7, 113.9, 55.1, 52.3. HRMS (ESI/Q-TOF) m/z: [M-H]− Calcd for C16H13O5− 285.0769; Found 285.0768.
4.2.4. 2-[Carboxy(phenyl)methyl]-5-methylbenzoic Acid (10d)
Prepared according to the general procedure GP1 from 6-methyl-3-phenyl-2,3-dihydro-1H-inden-1-one [16]. Yield 1.167 g, 45%. Colorless amorphous solid. 1H NMR (400 MHz, DMSO-d6) δ 12.71 (s, 2H), 7.71–7.65 (m, 1H), 7.38–7.32 (m, 2H), 7.30–7.26 (m, 2H), 7.25–7.19 (m, 2H), 7.05–6.89 (m, 1H), 5.91 (s, 1H), 2.31 (s, 3H). 13C NMR (101 MHz, DMSO-d6) δ 174.00, 169.17, 161.41, 139.66, 137.68, 136.58, 132.61, 131.11, 130.88, 130.24, 129.44, 128.92, 127.30, 53.20, 20.78. 13C NMR (101 MHz, DMSO-d6) δ 174.0, 169.2, 161.4, 139.7, 137.7, 136.6, 132.6, 131.1, 130.9, 130.2, 129.4, 128.9, 127.3, 53.2, 20.8. HRMS (ESI/Q-TOF) m/z: [M + Na]+ Calcd for C16H14O4Na+ 293.0784; Found 293.0785.
4.2.5. 2-[Carboxy(4-fluorophenyl)methyl]benzoic Acid (10e)
Prepared according to the general procedure GP1 from 3-(4-fluorophenyl)-2,3-dihydro-1H-inden-1-one [16]. Yield 0.789 g, 30%. Colorless amorphous solid. 1H NMR (400 MHz, DMSO-d6) δ 12.88 (s, 2H), 7.94–7.83 (m, 1H), 7.53–7.45 (m, 1H), 7.40–7.33 (m, 1H), 7.31–7.25 (m, 2H), 7.23–7.09 (m, 3H), 6.06–5.94 (m, 1H). 13C NMR (101 MHz, DMSO-d6) δ 173.8, 169.1, 161.6 (d, J = 243.3 Hz), 140.4, 135.7 (d, J = 3.1 Hz), 132.2, 131.4 (d, J = 8.1 Hz), 131.1, 130.8, 130.1, 127.4, 115.7 (d, J = 21.3 Hz), 52.8. 19F NMR (376 MHz, DMSO-d6) δ −115.9. HRMS (ESI/Q-TOF) m/z: [M + Na+]+ Calcd for C15H11FO4Na+ 297.0534; Found 297.0528.
4.2.6. 2-[Carboxy(4-chlorophenyl)methyl]-5-chlorobenzoic Acid (10f)
Prepared according to the general procedure GP1 from 6-chloro-3-(4-chlorophenyl)-2,3-dihydro-1H-inden-1-one [22]. Yield 530 mg, 17%. Colorless amorphous solid. 1H NMR (400 MHz, DMSO-d6) δ 13.38 (s, 1H), 12.87 (s, 1H), 7.91–7.78 (m, 1H), 7.65–7.53 (m, 1H), 7.46–7.36 (m, 2H), 7.30–7.22 (m, 2H), 7.12–7.04 (m, 1H), 5.91 (s, 1H). 13C NMR (101 MHz, DMSO-d6) δ 173.3, 167.7, 139.1, 138.0, 133.0, 132.3, 132.3, 132.1, 132.0, 131.4, 130.3, 129.1, 52.6. HRMS (ESI/Q-TOF) m/z: [M + Na+]+ Calcd for C15H10Cl2O4Na+ 346.9848; Found 346.9841.
4.3. General Procedure for Preparation of Tetrahydroisoquinonolones 9a–9u
- Step 1.
- Anhydride synthesis.
Products9a–candf–u:
Diacid 10a–c,f (50 mg) was mixed with DCM (1 mL, dry.) in a screw-cap vial, after which acetic anhydride (6 equiv.) was added to the suspension and the reaction mixture was stirred overnight at room temperature. Then, the solvent was evaporated in vacuo. The resulting crude anhydride was used in the next step without purification or characterization.
For products9d,e:
Diacid 10c,f (50 mg) was dissolved in toluene (3 mL, dry) in screw-cap vial, after which acetic anhydride (6 equiv.) was added to the suspension and the reaction mixture was stirred overnight at 80 °C in a metal heating box. Then, the solvent was evaporated in vacuo. The resulting crude anhydride was used in the next step without further purification.
- Step 2.
- The Castagnoli–Cushman reaction
For products9a–9u:
The resulting crude anhydride from the previous step was dissolved in MeCN (0.3 mL, dry) in a screw-cap vial, then imine (1.05 equiv.) dissolved in MeCN (0.2 mL, dry) was added with stirring. The reaction mixture was kept at 80 °C overnight in a metal heating block. Then, the solvent was evaporated. Next, the crude product was treated with diethyl ether (1 mL), after which pentane (3 mL) was added and the solid was thoroughly ground. After cooling to −20 °C for 20 min, the liquid was decanted. The resulting solid was dried in vacuo to give pure title compound.
Dr values were calculated from integrals of methine protons (1H NMR spectra) from lactam ring.
4.3.1. (±)-(3R,4R)-2-Ethyl-1-oxo-4-phenyl-3-(p-tolyl)-1,2,3,4-tetrahydroisoquinoline-4-carboxylic Acid (9a)
Prepared according to the general procedure GP2 from 10b and N-(4-methylbenzylidene)ethanamine. Yield 52 mg, 72%. Colorless amorphous solid. 1H NMR (400 MHz, DMSO-d6) δ 13.14 (s, 1H), 8.19–8.10 (m, 1H), 8.05–7.98 (m, 1H), 7.64 (s, 1H), 7.59–7.47 (m, 1H), 7.36–7.26 (m, 4H), 7.26–7.21 (m, 1H), 6.98 (s, 4H), 5.59 (s, 1H), 3.58 (dq, J = 14.0, 7.1 Hz, 1H), 3.20 (dq, J = 14.0, 7.1 Hz, 1H), 2.21 (s, 3H), 0.76 (t, J = 7.0 Hz, 3H). 13C NMR (101 MHz, DMSO-d6) δ 171.7, 162.3, 142.6, 137.8, 137.7, 136.0, 131.9, 130.4, 130.1, 129.0, 129.0, 128.5, 128.2, 128.0, 128.0, 127.6, 66.4, 59.0, 42.1, 21.0, 13.1. HRMS (ESI/Q-TOF) m/z: [M + H+]+ Calcd for C25H24NO3+ 386.1751; Found 386.1744.
Crystal Data for C28.571429H26.285714N1.142857O3.428571 (M = 440.51 g/mol): orthorhombic, space group Pbca (no. 61), a = 15.8652(2) Å, b = 14.6469(2) Å, c = 16.7176(2) Å, V = 3884.77(9) Å3, Z = 7, T = 100.15 K, μ(CuKα) = 0.689 mm−1, Dcalc = 1.318 g/cm3, 41,022 reflections measured (9.774° ≤ 2Θ ≤ 152.44°), 4053 unique (Rint = 0.0439, Rsigma = 0.0168) which were used in all calculations. The final R1 was 0.0408 (I > 2σ(I)) and wR2 was 0.1105 (all data). Please see ESI (p.S2-5) for details.
4.3.2. (±)-(3R,4R)-3-(4-Nitrophenyl)-1-oxo-4-phenyl-2-propyl-1,2,3,4-tetrahydroisoquinoline-4-carboxylic Acid (9b)
Prepared according to the general procedure GP2 from 10b and N-(4-nitrobenzylidene)propan-1-amine. Yield 62 mg, 74%. Colorless amorphous solid. 1H NMR (400 MHz, DMSO-d6) δ 13.46 (s, 1H), 8.12–8.05 (m, 3H), 8.03–7.98 (m, 1H), 7.72–7.66 (m, 1H), 7.60 (t, J = 7.5 Hz, 1H), 7.39 (d, J = 8.5 Hz, 2H), 7.29 (p, J = 6.6 Hz, 5H), 5.80 (s, 1H), 3.51 (ddd, J = 13.2, 8.9, 6.7 Hz, 1H), 2.97 (ddd, J = 13.6, 9.0, 5.0 Hz, 1H), 1.23 (dt, J = 8.1, 4.9 Hz, 1H), 1.15–0.99 (m, 1H), 0.47 (t, J = 7.3 Hz, 3H). 13C NMR (101 MHz, DMSO-d6) δ 171.7, 162.7, 147.6, 147.2, 142.3, 137.0, 132.4, 130.5, 130.3, 130.0, 128.7, 128.5, 128.3, 128.1, 127.8, 123.5, 66.3, 59.5, 48.3, 20.7, 11.4. HRMS (ESI/Q-TOF) m/z: [M + H+]+ Calcd for C25H23N2O5+ 431.1601; Found 431.1606.
4.3.3. (±)-(3R,4R)-2-Ethyl-7-methyl-1-oxo-4-phenyl-3-(p-tolyl)-1,2,3,4-tetrahydroisoquinoline-4-carboxylic Acid (9c)
Prepared according to the general procedure GP2 from 10d and N-(4-methylbenzylidene)ethanamine. Yield 45 mg, 61%. Colorless amorphous solid. 1H NMR (400 MHz, DMSO-d6) δ 13.06 (s, 1H), 8.05–7.99 (m, 1H), 7.83–7.80 (m, 1H), 7.47–7.41 (m, 1H), 7.35–7.26 (m, 4H), 7.25–7.19 (m, 1H), 7.02–6.92 (m, 4H), 5.55 (s, 1H), 3.57 (dq, J = 14.0, 7.1 Hz, 1H), 3.18 (dq, J = 14.0, 7.1 Hz, 1H), 2.42 (s, 3H), 2.21 (s, 3H), 0.74 (t, J = 7.1 Hz, 3H). 13C NMR (126 MHz, DMSO-d6) δ 171.8, 162.4, 142.8, 137.6, 137.5, 136.1, 134.9, 132.6, 130.2, 130.1, 129.0, 129.0, 128.5, 128.4, 128.0, 127.5, 66.5, 58.8, 42.1, 21.2, 21.0, 13.1. HRMS (ESI/Q-TOF) m/z: [M + Na+]+ Calcd for C26H25NO3Na+ 422.1727; Found 422.1718.
4.3.4. (±)-(3R,4R)-2-Ethyl-4-(4-methoxyphenyl)-1-oxo-3-(p-tolyl)-1,2,3,4-tetrahydroisoquinoline-4-carboxylic Acid (9d)
Prepared according to the general procedure GP2 from 10c and N-(4-methylbenzylidene)ethanamine. Yield 41 mg, 57%. Colorless amorphous solid. 1H NMR (400 MHz, DMSO-d6) δ 13.04 (s, 1H), 8.17–8.09 (m, 1H), 8.05–7.94 (m, 1H), 7.64–7.59 (m, 1H), 7.54–7.46 (m, 1H), 7.25–7.19 (m, 2H), 7.02–6.95 (m, 4H), 6.88–6.82 (m, 2H), 5.54 (s, 1H), 3.70 (s, 3H), 3.57 (dq, J = 13.9, 7.2 Hz, 1H), 3.17 (dq, J = 13.9, 7.2 Hz, 1H), 2.20 (s, 3H), 0.77 (t, J = 7.1 Hz, 3H). 13C NMR (101 MHz, DMSO-d6) δ 172.0, 162.4, 158.6, 138.1, 137.6, 136.0, 134.4, 131.8, 130.4, 130.1, 129.3, 129.0, 128.9, 128.1, 128.0, 113.8, 66.5, 58.4, 55.5, 42.1, 21.0, 13.1. HRMS (ESI/Q-TOF) m/z: [M + H+]+ Calcd for C26H26NO4+ 416.1856; Found 416.1848.
4.3.5. (±)-(3R,4R)-7-Chloro-4-(4-chlorophenyl)-2-ethyl-1-oxo-3-(p-tolyl)-1,2,3,4-tetrahydroisoquinoline-4-carboxylic acid (9e)
Prepared according to the general procedure GP2 from 10f and N-(4-methylbenzylidene)ethanamine. Yield 43 mg, 61%. Colorless amorphous solid. 1H NMR (400 MHz, DMSO-d6) δ 13.48 (s, 1H), 8.26–8.13 (m, 1H), 8.01–7.93 (m, 1H), 7.79–7.55 (m, 1H), 7.52–7.27 (m, 4H), 7.10–6.85 (m, 4H), 5.65 (s, 1H), 3.58 (dq, J = 14.1, 7.1 Hz, 1H), 3.19 (dq, J = 14.1, 7.1 Hz, 1H), 2.21 (s, 3H), 0.78 (t, J = 7.1 Hz, 3H). 13C NMR (101 MHz, DMSO-d6) δ 171.0, 161.2, 141.0, 137.9, 136.4, 135.2, 133.4, 132.6, 132.6, 132.3, 131.9, 130.1, 129.2, 128.9, 128.5, 127.5, 66.3, 58.6, 42.3, 21.0, 13.0. HRMS (ESI/Q-TOF) m/z: [M + H+]+ Calcd for C25H22Cl2NO3+ 454.0971; Found 454.0965.
4.3.6. (±)-(3R,4R)-3-(4-(Benzyloxy)-3-methoxyphenyl)-4-(4-chlorophenyl)-1-oxo-2-(prop-2-yn-1-yl)-1,2,3,4-tetrahydroisoquinoline-4-carboxylic Acid (9f)
Prepared according to the general procedure GP2 from 10b and N-(4-(benzyloxy)-3-methoxybenzylidene)prop-2-yn-1-amine. Yield 76 mg, 80%. Colorless amorphous solid. 1H NMR (400 MHz, DMSO-d6) δ 13.37 (s, 1H), 8.29–8.18 (m, 1H), 8.08–7.96 (m, 1H), 7.74–7.65 (m, 1H), 7.58–7.26 (m, 10H), 6.92–6.82 (m, 1H), 6.67–6.61 (m, 1H), 6.59–6.50 (m, 1H), 5.75 (s, 1H), 4.98 (s, 2H), 4.65 (d, J = 17.4 Hz, 1H), 3.77 (d, J = 17.4 Hz, 1H), 3.51 (s, 3H). 13C NMR (126 MHz, DMSO-d6) δ 171.2, 162.3, 148.5, 148.3, 141.2, 137.9, 137.4, 136.7, 133.1, 132.7, 132.5, 130.2, 129.8, 129.3, 129.2, 128.9, 128.8, 128.6, 128.5, 128.4, 128.3, 128.3, 121.2, 113.1, 79.0, 76.1, 70.2, 58.4, 55.5. HRMS (ESI/Q-TOF) m/z: [M + H+]+ Calcd for C33H27ClNO5+ 552.1572; Found 552.1574.
4.3.7. (±)-(3R,4R)-2-Benzyl-4-(4-chlorophenyl)-3-(2-methoxyphenyl)-1-oxo-1,2,3,4-tetrahydroisoquinoline-4-carboxylic Acid (9g)
Prepared according to the general procedure GP2 from 10a and N-(2-methoxybenzylidene)-1-phenylmethanamine. Yield 62 mg, 61%. Colorless amorphous solid. 1H NMR (400 MHz, DMSO-d6) δ 12.95 (s, 1H), 8.20–8.11 (m, 1H), 7.71–7.65 (m, 1H), 7.64–7.58 (m, 1H), 7.55 (d, J = 7.7 Hz, 1H), 7.27–7.19 (m, 2H), 7.13–7.07 (m, 2H), 7.05–7.00 (m, 3H), 6.83–6.60 (m, 6H), 5.79 (s, 1H), 5.19 (d, J = 14.6 Hz, 1H), 3.87 (s, 3H), 3.40 (d, J = 14.6 Hz, 1H). 13C NMR (101 MHz, DMSO-d6) δ 171.5, 162.9, 158.3, 142.0, 137.4, 136.7, 132.8, 132.2, 129.9, 129.7, 128.8, 128.5, 128.5, 128.3, 127.9, 127.4, 127.3, 126.8, 120.8, 111.5, 59.5, 59.2, 56.2, 48.4. HRMS (ESI/Q-TOF) m/z: [M + H+]+ Calcd for C30H25ClNO4+ 498.1467; Found 498.1471.
4.3.8. (±)-(3R,4R)-2-Allyl-4-(4-chlorophenyl)-3-(2,4-dimethoxyphenyl)-1-oxo-1,2,3,4-tetrahydroisoquinoline-4-carboxylic Acid (9h)
Prepared according to the general procedure GP2 from 10a and N-(2,4-dimethoxybenzylidene)prop-2-en-1-amine. Yield 53 mg, 64%. Colorless amorphous solid. 1H NMR (400 MHz, DMSO-d6) δ 12.95 (s, 1H), 8.11–8.04 (m, 1H), 7.71–7.52 (m, 3H), 7.41–7.31 (m, 2H), 7.18–7.07 (m, 2H), 6.59–6.47 (m, 2H), 6.33–6.26 (m, 1H), 5.81 (s, 1H), 5.28–5.16 (m, 1H), 4.97 (d, J = 10.1 Hz, 1H), 4.88 (d, J = 17.1 Hz, 1H), 4.38 (dd, J = 15.8, 4.8 Hz, 1H), 3.82 (s, 3H), 3.69 (s, 3H), 3.21 (dd, J = 15.2, 7.6 Hz, 1H). 13C NMR (126 MHz, DMSO-d6) δ 171.6, 162.6, 160.7, 159.2, 142.1, 137.7, 133.0, 132.6, 132.3, 130.2, 130.0, 129.7, 128.6, 128.2, 128.1, 118.9, 118.7, 105.2, 98.7, 59.2, 59.0, 56.2, 55.6, 48.2. HRMS (ESI/Q-TOF) m/z: [M + H+]+ Calcd for C27H25ClNO5+ 478.1416; Found 478.1421.
4.3.9. (±)-(3R,4R)-4-(4-Chlorophenyl)-1-oxo-3-phenyl-2-(p-tolyl)-1,2,3,4-tetrahydroisoquinoline-4-carboxylic Acid (9i)
Prepared according to the general procedure GP2 from 10a and N-benzylidene-4-methylaniline. Yield 62 mg, 77%. Colorless amorphous solid. 1H NMR (400 MHz, DMSO-d6) δ 13.48 (s, 1H), 8.17–8.03 (m, 2H), 7.77–7.69 (m, 1H), 7.66–7.59 (m, 1H), 7.50–7.41 (m, 2H), 7.37–7.30 (m, 2H), 7.27–7.17 (m, 3H), 7.11–7.03 (m, 4H), 6.67–6.49 (m, 2H), 5.75 (s, 1H), 2.25 (s, 3H). 13C NMR (126 MHz, DMSO-d6) δ 171.1, 162.7, 141.3, 139.5, 138.2, 137.1, 136.8, 132.8, 132.8, 130.6, 130.3, 129.9, 129.1, 128.9, 128.7, 128.7, 126.5, 70.4, 59.7, 21.0. HRMS (ESI/Q-TOF) m/z: [M + H+]+ Calcd for C29H23ClNO3+ 468.1361; Found 468.1368.
4.3.10. (±)-(3R,4R)-4-(4-Chlorophenyl)-3-(4-methoxyphenyl)-1-oxo-2-(4-(trifluoromethyl)phenyl)-1,2,3,4-tetrahydroisoquinoline-4-carboxylic Acid (9j)
Prepared according to the general procedure GP2 from 10a and N-(4-methoxybenzylidene)-4-(trifluoromethyl)aniline. Yield 71 mg, 75%. Colorless amorphous solid. 1H NMR (400 MHz, DMSO-d6) δ 13.50 (s, 1H), 8.17–8.09 (m, 2H), 7.79–7.73 (m, 1H), 7.73–7.68 (m, 2H), 7.67–7.61 (m, 1H), 7.46–7.40 (m, 2H), 7.37–7.30 (m, 2H), 7.07–7.01 (m, 4H), 6.81–6.77 (m, 2H), 5.92 (s, 1H), 3.69 (s, 3H). 13C NMR (101 MHz, DMSO-d6) δ 170.9, 162.9, 159.5, 145.6, 141.1, 137.4, 133.1, 132.8, 130.4, 130.3, 130.1, 129.6, 128.9, 128.8, 128.7, 127.5 (q, J = 32.3 Hz), 127.2, 126.5 (q, J = 3.6 Hz), 124.4 (q, J = 271.9 Hz), 114.2, 69.0, 59.8, 55.5. 19F NMR (376 MHz, DMSO-d6) δ −60.9. HRMS (ESI/Q-TOF) m/z: [M + H+]+ Calcd for C30H22ClF3NO4+ 552.1184; Found 552.1184.
4.3.11. (±)-(3S,4R)-4-(4-Chlorophenyl)-1-oxo-3-(thiophen-2-yl)-2-(p-tolyl)-1,2,3,4-tetrahydroisoquinoline-4-carboxylic Acid (9k)
Prepared according to the general procedure GP2 from 10a and 4-methyl-N-(thiophen-2-ylmethylene)aniline. Yield 55 mg, 67%. Colorless amorphous solid. 1H NMR (400 MHz, DMSO-d6) δ 13.55 (s, 1H), 8.26–8.19 (m, 1H), 8.12–8.05 (m, 1H), 7.78–7.70 (m, 1H), 7.67–7.59 (m, 1H), 7.48–7.41 (m, 2H), 7.37–7.33 (m, 1H), 7.30–7.26 (m, 2H), 7.13–7.05 (m, 3H), 6.63–6.51 (m, 3H), 5.88 (s, 1H), 2.27 (s, 3H). 13C NMR (101 MHz, DMSO-d6) δ 171.2, 162.7, 140.8, 139.6, 139.4, 137.3, 136.7, 132.9, 132.8, 130.7, 130.1, 129.9, 129.8, 128.9, 128.8, 128.8, 128.0, 126.6, 126.3, 125.5, 66.2, 59.2, 21.0. HRMS (ESI/Q-TOF) m/z: [M + H+]+ Calcd for C27H21ClNO3S+ 474.0925; Found 474.0926.
4.3.12. (±)-(3R,4R)-4-(4-Chlorophenyl)-3-(4-fluorophenyl)-2-(4-methoxybenzyl)-1-oxo-1,2,3,4-tetrahydroisoquinoline-4-carboxylic Acid (9l)
Prepared according to the general procedure GP2 from 10a and N-(4-fluorobenzylidene)-1-(4-methoxyphenyl)methanamine. Yield 64 mg, 72%. Colorless amorphous solid. 1H NMR (400 MHz, DMSO-d6) δ 13.38 (s, 1H), 8.16–8.09 (m, 1H), 8.02–7.95 (m, 1H), 7.72–7.64 (m, 1H), 7.62–7.57 (m, 1H), 7.16–6.99 (m, 6H), 6.96–6.87 (m, 4H), 6.77–6.65 (m, 2H), 5.38 (s, 1H), 5.04 (d, J = 14.3 Hz, 1H), 3.76 (s, 3H), 3.69 (d, J = 14.3 Hz, 1H). 13C NMR (101 MHz, DMSO-d6) δ 171.3, 162.5, 162.3 (d, J = 244.5 Hz), 159.1, 140.9, 136.7, 134.1 (d, J = 3.1 Hz), 132.6, 132.3, 131.2 (d, J = 8.2 Hz), 130.6, 130.3, 130.0, 129.6, 128.8, 128.6, 128.5, 128.2, 115.4 (d, J = 21.3 Hz), 114.0, 65.5, 58.8, 55.5, 48.2. 19F NMR (376 MHz, DMSO-d6) δ −114.0. HRMS (ESI/Q-TOF) m/z: [M + H+]+ Calcd for C30H24ClFNO4+ 516.1372; Found 516.1373.
4.3.13. (±)-(3R,4R)-4-(4-Chlorophenyl)-1-oxo-2,3-di-p-tolyl-1,2,3,4-tetrahydroisoquinoline-4-carboxylic Acid (9m)
Prepared according to the general procedure GP2 from 10a and 4-methyl-N-(4-methylbenzylidene)aniline. Yield 55 mg, 66%. Colorless amorphous solid. 1H NMR (400 MHz, DMSO-d6) δ 13.44 (s, 1H), 8.12–8.06 (m, 2H), 7.76–7.68 (m, 1H), 7.66–7.57 (m, 1H), 7.49–7.38 (m, 2H), 7.35–7.29 (m, 2H), 7.12–7.07 (m, 2H), 7.04–6.89 (m, 2H), 6.65–6.58 (m, 2H), 5.72 (s, 1H), 2.25 (s, 3H), 2.22 (s, 3H). 13C NMR (101 MHz, DMSO-d6) δ 171.1, 162.7, 141.3, 139.6, 137.9, 137.2, 136.7, 135.2, 132.7, 132.7, 130.6, 130.3, 129.8, 129.3, 129.0, 128.8, 128.7, 126.4, 70.1, 59.7, 21.0, 21.0. HRMS (ESI/Q-TOF) m/z: [M + H+]+ Calcd for C30H25ClNO3+ 482.1517; Found 482.1518.
4.3.14. (±)-(3S,4R)-4-(4-Chlorophenyl)-2-(2-(cyclopentylthio)ethyl)-3-(furan-2-yl)-1-oxo-1,2,3,4-tetrahydroisoquinoline-4-carboxylic Acid (9n)
Prepared according to the general procedure GP2 from 10a and 2-(cyclopentylthio)-N-(furan-2-ylmethylene)ethanamine. Yield 56 mg, 66%. Colorless amorphous solid. 1H NMR (400 MHz, DMSO-d6) δ 13.52 (s, 1H), 8.20–8.14 (m, 1H), 8.00–7.94 (m, 1H), 7.73–7.64 (m, 1H), 7.59–7.50 (m, 1H), 7.48–7.43 (m, 1H), 7.42–7.35 (m, 2H), 7.32–7.23 (m, 2H), 6.27 (dd, J = 3.3, 1.9 Hz, 1H), 5.87 (d, J = 3.3 Hz, 1H), 5.84 (s, 1H), 3.68 (td, J = 13.2, 11.2, 5.0 Hz, 1H), 3.37 (td, 1H), 3.10 (p, J = 7.1 Hz, 1H), 2.33 (td, J = 12.8, 11.1, 5.0 Hz, 1H), 2.03 (ddd, J = 12.8, 11.1, 5.0 Hz, 1H), 1.92 (dt, J = 13.9, 6.9 Hz, 2H), 1.70–1.57 (m, 2H), 1.60–1.48 (m, 2H), 1.32 (dt, J = 13.9, 6.9 Hz, 2H). 13C NMR (101 MHz, DMSO-d6) δ 171.4, 163.1, 152.4, 143.0, 140.3, 132.8, 132.3, 130.0, 130.0, 129.1, 128.6, 128.5, 128.5, 110.8, 109.0, 61.2, 57.8, 47.7, 43.4, 33.9, 28.2, 24.8, 24.7. HRMS (ESI/Q-TOF) m/z: [M + H+]+ Calcd for C27H27ClNO4S+ 496.1344; Found 496.1344.
4.3.15. (±)-(3R,4R)-4-(4-Chlorophenyl)-2-ethyl-1-oxo-3-(p-tolyl)-1,2,3,4-tetrahydroisoquinoline-4-carboxylic acid (9o)
Prepared according to the general procedure GP2 from 10a and N-(4-methylbenzylidene)ethanamine. Yield 34 mg, 47%. Colorless amorphous solid. 1H NMR (400 MHz, DMSO-d6) δ 13.06 (s, 1H), 8.09–7.97 (m, 1H), 7.86–7.79 (m, 1H), 7.49–7.42 (m, 1H), 7.34–7.26 (m, 4H), 7.25–7.19 (m, 1H), 7.04–6.92 (m, 4H), 5.55 (s, 1H), 3.57 (dq, J = 14.0, 7.1 Hz, 1H), 3.18 (dq, J = 14.0, 7.1 Hz, 1H), 2.42 (s, 3H), 2.21 (s, 3H), 0.74 (t, J = 7.1 Hz, 3H). 13C NMR (101 MHz, DMSO-d6) δ 171.3, 162.3, 141.5, 137.8, 137.3, 135.7, 132.4, 132.1, 130.4, 130.2, 130.1, 129.1, 128.9, 128.5, 128.4, 128.1, 66.4, 58.9, 42.0, 21.0, 13.1. HRMS (ESI/Q-TOF) m/z: [M + Na+]+ Calcd for C25H22ClNO3Na+ 442.1180; Found 442.1175.
4.3.16. (±)-(3S,4R)-4-(4-Chlorophenyl)-1-oxo-2-propyl-3-(pyridin-2-yl)-1,2,3,4-tetrahydroisoquinoline-4-carboxylic Acid (9p)
Prepared according to the general procedure GP2 from 10a and N-(pyridin-3-ylmethylene)propan-1-amine. Yield 34 mg, 47%. Colorless amorphous solid. 1H NMR (400 MHz, DMSO-d6) δ 13.50 (s, 1H), 8.50–8.37 (m, 2H), 8.13–8.02 (m, 1H), 8.02–7.93 (m, 1H), 7.72–7.65 (m, 1H), 7.64–7.58 (m, 1H), 7.43–7.37 (m, 2H), 7.35–7.26 (m, 3H), 7.24–7.18 (m, 1H), 5.68 (s, 1H), 3.55–3.45 (m, 1H), 3.04–2.93 (m, 1H), 1.32–1.21 (m, 1H), 1.15–1.03 (m, 1H), 0.49 (t, J = 7.3 Hz, 3H). 13C NMR (101 MHz, DMSO-d6) δ 171.4, 162.6, 150.5, 149.6, 141.1, 136.5, 135.9, 134.7, 132.7, 132.5, 130.4, 130.1, 130.1, 128.9, 128.5, 128.4, 123.6, 64.7, 59.1, 48.2, 20.8, 11.3. HRMS (ESI/Q-TOF) m/z: [M + H+]+ Calcd for C24H22ClN2O3+ 421.1313; Found 421.1315.
4.3.17. (±)-(3S,4R)-3-(2-Chlorophenyl)-4-(4-fluorophenyl)-1-oxo-2-propyl-1,2,3,4-tetrahydroisoquinoline-4-carboxylic Acid (9q)
Prepared according to the general procedure GP2 from 10e and N-(2-chlorobenzylidene)propan-2-amine. Yield 45 mg, 56% (dr = 3/1). Colorless amorphous solid. Major isomer: 1H NMR (400 MHz, DMSO-d6) δ 13.34 (s, 1H), 8.17–8.10 (m, 1H), 7.75–7.69 (m, 1H), 7.68–7.60 (m, 2H), 7.51–7.45 (m, 1H), 7.30–7.24 (m, 1H), 7.22–7.07 (m, 5H), 6.80–6.73 (m, 1H), 5.90 (s, 1H), 3.71–3.58 (m, 1H), 2.62–2.54 (m, 1H), 1.28–1.13 (m, 1H), 1.09–0.96 (m, 1H), 0.38 (t, J = 7.5 Hz, 3H). 13C NMR (126 MHz, DMSO-d6) δ 171.3, 161.9, 161.2 (d, J = 244.8 Hz), 158.7, 138.0 (d, J = 2.9 Hz), 136.2, 131.6, 131.1, 131.1, 130.4 (d, J = 8.2 Hz), 130.1, 130.0, 128.1, 127.7, 114.6 (d, J = 21.5 Hz), 113.3, 64.1, 59.2, 55.0, 19.9, 19.6. 19F NMR (376 MHz, DMSO-d6) δ -115.5. HRMS (ESI/Q-TOF) m/z: [M + H+]+ Calcd for C25H22ClFNO3+ 438.1267; Found 438.1271. Minor isomer, partial data: 1H NMR (400 MHz, DMSO) δ 7.44 (d, J = 7.9 Hz, 1H), 7.40–7.33 (m, 2H), 7.04 (t, J = 7.3 Hz, 2H), 6.63 (dd, J = 7.9, 1.6 Hz, 1H), 6.32 (t, J = 7.8 Hz, 1H), 5.98 (d, J = 1.9 Hz, 1H). 19F NMR (376 MHz, DMSO) δ −108.77.
4.3.18. (±)-(3R,4R)-4-(4-Fluorophenyl)-2-isopropyl-3-(4-methoxyphenyl)-1-oxo-1,2,3,4-tetrahydroisoquinoline-4-carboxylic Acid (9r)
Prepared according to the general procedure GP2 from 10e and N-(4-methoxybenzylidene)propan-2-amine. Yield 41 mg, 52% (dr = 4/1). Colorless amorphous solid. Major isomer: 1H NMR (400 MHz, DMSO-d6) δ 13.21 (s, 1H), 8.12–8.04 (m, 1H), 7.98–7.88 (m, 1H), 7.66–7.59 (m, 1H), 7.61–7.51 (m, 1H), 7.38–7.30 (m, 2H), 7.18–7.07 (m, 2H), 7.06–7.00 (m, 2H), 6.77–6.66 (m, 2H), 5.51 (s, 1H), 4.27 (hept, J = 6.7 Hz, 1H), 3.67 (s, 3H), 0.83 (dd, J = 20.2, 6.7 Hz, 6H). 13C NMR (126 MHz, DMSO-d6) δ 171.7, 162.3, 161.6 (d, J = 244.8 Hz), 159.1, 138.4 (d, J = 2.9 Hz), 136.6, 132.0, 131.5, 131.5, 130.8 (d, J = 8.2 Hz), 130.5, 130.4, 128.5, 128.1, 115.0 (d, J = 21.5 Hz), 113.7, 64.5, 59.6, 55.4, 48.8, 20.3, 20.0. 19F NMR (376 MHz, DMSO-d6) δ −115.1. HRMS (ESI/Q-TOF) m/z: [M + H+]+ Calcd for C26H25FNO4+ 434.1762; Found 434.1768. Minor isomer, partial data: 1H NMR (400 MHz, DMSO-d6) δ 7.23 (dd, J = 12.4, 8.1 Hz, 1H), 6.95–6.81 (m, 2H), 5.35 (s, 1H). 19F NMR (376 MHz, DMSO-d6) δ −108.81.
4.3.19. (±)-(3R,4R)-2-Butyl-4-(4-fluorophenyl)-3-(4-methoxyphenyl)-1-oxo-1,2,3,4-tetrahydroisoquinoline-4-carboxylic Acid (9s)
Prepared according to the general procedure GP2 from 10e and N-(4-methoxybenzylidene)butan-1-amine. Yield 61 mg, 75% (dr = 4/1). Colorless amorphous solid. Major isomer: 1H NMR (400 MHz, DMSO-d6) δ 13.20 (s, 1H), 8.13–7.98 (m, 2H), 7.69–7.62 (m, 1H), 7.59–7.53 (m, 1H), 7.39–7.28 (m, 2H), 7.17–7.08 (m, 2H), 7.07–6.97 (m, 2H), 6.78–6.71 (m, 2H), 5.49 (s, 1H), 3.68 (s, 3H), 3.65–3.52 (m, 1H), 3.04–2.89 (m, 1H), 1.32–1.18 (m, 1H), 1.16–1.05 (m, 1H), 0.96–0.85 (m, 1H), 0.85–0.73 (m, 1H), 0.67 (t, J = 7.2 Hz, 3H). 13C NMR (126 MHz, DMSO-d6) δ 171.6, 162.6, 160.6, 159.3, 138.6 (d, J = 3.1 Hz), 137.3, 132.1, 130.4 (d, J = 5.9 Hz), 130.4, 130.3, 128.5, 128.1, 115.1 (d, J = 21.2 Hz), 113.8, 66.7, 58.9, 55.4, 46.0, 29.5, 19.8, 14.1. 19F NMR (376 MHz, DMSO-d6) δ −115.7. HRMS (ESI/Q-TOF) m/z: [M + H+]+ Calcd for C27H27FNO4+ 448.1919; Found 448.1924. Minor isomer, partial data: 1H NMR (400 MHz, DMSO-d6) δ 7.72 (dd, J = 8.1, 2.9 Hz, 2H), 7.25–7.18 (m, 1H), 7.06 (d, J = 8.2 Hz, 1H), 6.88 (d, J = 8.4 Hz, 2H), 5.31 (s, 1H), 3.24–3.12 (m, 1H). 19F NMR (376 MHz, DMSO-d6) δ −108.66.
4.3.20. (±)-(3R,4R)-4-(4-Fluorophenyl)-3-(2-methoxyphenyl)-1-oxo-2-(p-tolyl)-1,2,3,4-tetrahydroisoquinoline-4-carboxylic Acid (9t)
Prepared according to the general procedure GP2 from 10e and 2-methoxy-N-(4-methylbenzylidene)aniline. Yield 52 mg, 71% (dr = 3/1). Colorless amorphous solid. 1H NMR (400 MHz, DMSO-d6) δ 12.98 (s, 1H), 8.22–8.11 (m, 1H), 7.77–7.67 (m, 1H), 7.66–7.58 (m, 1H), 7.48–7.41 (m, 1H), 7.25–7.18 (m, 3H), 7.16–7.09 (m, 2H), 7.05–6.98 (m, 2H), 6.96–6.88 (m, 2H), 6.84–6.65 (m, 1H), 6.49–6.37 (m, 2H), 6.09 (s, 1H), 3.68 (s, 3H), 2.21 (s, 3H). 13C NMR (101 MHz, DMSO-d6) δ 171.6, 162.9, 161.6 (d, J = 244.7 Hz), 158.0, 140.0, 139.6 (d, J = 2.6 Hz), 137.8, 136.8, 133.0, 130.7 (d, J = 8.3 Hz), 130.3, 130.0, 129.8, 129.6, 128.8, 128.4, 127.7, 127.0, 126.3, 120.7, 115.1 (d, J = 21.2 Hz), 111.3, 65.2, 60.5, 55.9, 21.0. 19F NMR (376 MHz, DMSO-d6) δ −115.5. HRMS (ESI/Q-TOF) m/z: [M + H+]+ Calcd for C30H25FNO4+ 482.1762; Found 482.1763. Minor isomer, partial data: 1H NMR (400 MHz, DMSO-d6) δ 7.37–7.26 (m, 2H), 6.36 (d, J = 8.0 Hz, 2H), 6.27 (d, J = 2.8 Hz, 1H), 3.64 (s, 3H). 19F NMR (376 MHz, DMSO-d6) δ −108.30.
4.3.21. (±)-(3R,4R)-2-Ethyl-4-(4-fluorophenyl)-1-oxo-3-(p-tolyl)-1,2,3,4-tetrahydroisoquinoline-4-carboxylic acid (9u)
Prepared according to the general procedure GP2 from 10e and N-(4-methylbenzylidene)ethanamine. Yield 50 mg, 68%. Colorless amorphous solid. 1H NMR (400 MHz, DMSO-d6) δ 13.25 (s, 1H), 8.17–8.06 (m, 1H), 8.07–8.00 (m, 1H), 7.69–7.59 (m, 1H), 7.58–7.48 (m, 1H), 7.40–7.30 (m, 2H), 7.17–7.06 (m, 2H), 6.98 (s, 4H), 5.58 (s, 1H), 3.59 (dq, J = 13.9, 7.0 Hz, 1H), 3.15 (dq, J = 14.0, 6.8 Hz, 1H), 2.21 (s, 3H), 0.76 (t, J = 7.1 Hz, 3H). 13C NMR (101 MHz, DMSO-d6) δ 171.6, 162.3, 161.5 (d, J = 244.5 Hz), 138.8 (d, J = 3.4 Hz), 137.7, 135.8, 132.0, 130.4, 130.3, 130.2, 130.2, 129.0, 128.9, 128.3, 128.0, 115.2 (d, J = 21.2 Hz), 66.7, 58.7, 42.0, 21.0, 13.1. 19F NMR (376 MHz, DMSO-d6) δ −115.7. HRMS (ESI/Q-TOF) m/z: [M + Na+]+ Calcd for C25H22FNO3Na+ 426.1476; Found 426.1469.
4.4. 2-(Carboxy(4-phenyl-1H-1,2,3-triazol-1-yl)methyl)benzoic Acid (15)
Ethyl 2-(1-azido-2-methoxy-2-oxoethyl)benzoate[20] 16 (526 mg, 2 mmol, 1 equiv.) and phenylacetylene (206 mg, 1 equiv.) were added to a suspension of CuI (27 mg, 7 mol. %) in dry toluene. The reaction mixture was stirred at 85 °C overnight. The solvent was evaporated, and the title compound was extracted with ethyl acetate (30 mL). The organic layer was washed with water (20 mL × 2) and brine (20 mL × 1) and then dried over Na2SO4. The solvent was evaporated and the resulting compound (ethyl 2-(2-ethoxy-2-oxo-1-(4-phenyl-1H-1,2,3-triazol-1-yl)ethyl)benzoate) was used in the next step without further purification. The obtained ester and KOH (560 mg, 5 equiv.) were dissolved in 30 mL of 30% aq.THF and stirred for 1 h at room temperature. Activated charcoal (12g) (powder -100 particle size (mesh)) was added to the resulting mixture and intensively stirred at room temperature for 0.5 h. Next, the solution was filtered through a layer of zeolite, and 3 N HCl was added to it until pH = 1. The target compound (15) was extracted into diethyl ether, and the organic layer was combined and dried over Na2SO4 and was evaporated.
Yield 601 mg, 93% (2 steps). Colorless amorphous solid. 1H NMR (400 MHz, DMSO-d6) δ 13.55 (s, 2H), 8.72 (s, 1H), 8.07–8.00 (m, 1H), 7.94–7.82 (m, 2H), 7.71–7.61 (m, 1H), 7.60–7.51 (m, 2H), 7.50–7.42 (m, 2H), 7.39–7.30 (m, 1H), 7.29–7.20 (m, 1H). 13C NMR (101 MHz, DMSO-d6) δ 169.0, 168.5, 146.6, 135.7, 133.1, 131.4, 130.9, 130.6, 129.5, 129.4, 129.2, 128.5, 125.7, 122.9, 63.7. HRMS (ESI/Q-TOF) m/z: [M + H+]+ Calcd for C17H14N3O4+ 324.0979; Found 324.0974.
4.5. (±)-(3R,4S)-2-Ethyl-1-oxo-4-(4-phenyl-1H-1,2,3-triazol-1-yl)-3-(p-tolyl)-1,2,3,4-tetrahydroisoquinoline-4-carboxylic Acid (18)
The diacid 15 (50 mg, 0.15 mmol) was dissolved in DMF (0.5 mL, dry) in a screw-cap, and DCC (1.1 equiv.) was added with stirring. After 3 h, N-(4-methylbenzylidene)ethanamine (1.1 equiv.) was added, and the reaction mixture was kept for a day at room temperature. The solution was then filtered through celite, EtOAc (15 mL) and 10 mL of brine were added to the filtrate, the precipitate formed was filtered off, and then organic layer of the filtrate was washed with brine (10 mL × 3), dried over sodium sulfate and evaporated. The residue was treated with diethyl ether (1 mL), after which pentane (3 mL) was added and the solid was thoroughly ground. After cooling to −20 °C for 20 min, the liquid was decanted. The resulting solid was dried in vacuo to give pure title compound. The substance undergoes decarboxylation easily and is therefore unstable in solutions even at room temperature.
Yield 35 mg, 50%. Colorless amorphous solid. 1H NMR (400 MHz, DMSO-d6) δ 14.25 (s, 1H), 8.83–8.72 (m, 1H), 8.17–8.07 (m, 1H), 7.88–7.79 (m, 3H), 7.75–7.62 (m, 2H), 7.50–7.40 (m, 2H), 7.39–7.31 (m, 1H), 7.16–6.90 (m, 4H), 6.05 (s, 1H), 3.69 (dq, J = 14.0, 7.0 Hz, 1H), 3.18 (dq, J = 14.0, 7.0 Hz, 1H), 2.24 (s, 3H), 0.90 (t, J = 7.0 Hz, 3H). 13C NMR (101 MHz, DMSO-d6) δ 167.7, 161.6, 146.2, 138.4, 133.3, 132.4, 131.5, 130.9, 130.4, 130.0, 129.4, 129.4, 128.8, 128.5, 127.9, 125.6, 122.1, 72.2, 65.6, 42.1, 21.1, 13.3. HRMS (ESI/Q-TOF) m/z: [M + Na+]+ Calcd for C27H24N4O3Na+ 475.1741; Found 475.1730.
Supplementary Materials
The following supporting information can be downloaded at: https://www.mdpi.com/article/10.3390/molecules27238462/s1. Copies of NMR and HRMS spectra. X-ray data [23,24,25].
Author Contributions
Conceptualization, O.B. and D.D.; methodology, O.B. and D.D.; investigation, N.M. and A.K.; data curation, O.B.; writing—original draft preparation, M.K.; writing—review and editing, O.B. and D.D.; supervision, M.K.; funding acquisition, O.B. All authors have read and agreed to the published version of the manuscript.
Funding
We gratefully acknowledge the financial support from the Russian Foundation for Basic Research (grant# 20-03-00922) and Megagrant of the Government of Russian Federation (# 075-15-2021-637).
Institutional Review Board Statement
Not applicable.
Informed Consent Statement
Not applicable.
Data Availability Statement
Data available from the corresponding authors upon reasonable request.
Acknowledgments
We thank the Research Centre for Magnetic Resonance and the Center for Chemical Analysis and Materials Research and the Centre for X-ray Diffraction Methods of Saint Petersburg State University Research Park for obtaining the analytical data.
Conflicts of Interest
The authors declare no conflict of interest. The funders had no role in the design of the study; in the collection, analyses, or interpretation of data; in the writing of the manuscript; or in the decision to publish the results.
Sample Availability
Samples of the compounds 9 are available from the authors upon reasonable request.
References
- Howard, S.Y.; Di Maso, M.J.; Shimabukuro, K.; Burlow, N.P.; Tan, D.Q.; Fettinger, J.C.; Malig, T.C.; Hein, J.E.; Shaw, J.T. Mechanistic Investigation of Castagnoli–Cushman Multicomponent Reactions Leading to a Three-Component Synthesis of Dihydroisoquinolones. J. Org. Chem. 2021, 86, 11599–11607. [Google Scholar] [CrossRef] [PubMed]
- Krasavin, M.; Dar’in, D. Current diversity of cyclic anhydrides for the Castagnoli–Cushman-type formal cycloaddition reactions: Prospects and challenges. Tetrahedron Lett. 2016, 57, 1635–1640. [Google Scholar] [CrossRef]
- Lepikhina, A.; Dar’in, D.; Bakulina, O.; Chupakhin, E.; Krasavin, M. Skeletal Diversity in Combinatorial Fashion: A New Format for the Castagnoli–Cushman Reaction. ACS Comb. Sci. 2017, 19, 702–707. [Google Scholar] [CrossRef] [PubMed]
- Chupakhin, E.; Dar’in, D.; Krasavin, M. The Castagnoli–Cushman reaction in a three-component format. Tetrahedron Lett. 2018, 59, 2595–2599. [Google Scholar] [CrossRef]
- Bakulina, O.; Chizhova, M.; Dar’in, D.; Krasavin, M. A General Way to Construct Arene-Fused Seven-Membered Nitrogen Heterocycles. Eur. J. Org. Chem. 2018, 2018, 362–371. [Google Scholar] [CrossRef]
- Adamovskyi, M.I.; Avramenko, M.M.; Volochnyuk, D.M.; Ryabukhin, S.V. Fluoral Hydrate: A Perspective Substrate for the Castagnoli–Cushman Reaction. ACS Omega 2020, 5, 20932–20942. [Google Scholar] [CrossRef]
- Bayles, T.; Guillou, C. Trifluoroethanol Promoted Castagnoli–Cushman Cycloadditions of Imines with Homophthalic Anhydride. Molecules 2022, 27, 844. [Google Scholar] [CrossRef]
- Jarvis, C.L.; Hirschi, J.S.; Vetticatt, M.J.; Seidel, D. Catalytic Enantioselective Synthesis of Lactams through Formal [4 + 2] Cycloaddition of Imines with Homophthalic Anhydride. Angew. Chem. 2017, 56, 2670–2674. [Google Scholar] [CrossRef]
- Ivashchenko, A.V.; Tkachenko, S.Y.; Okun, I.M.R.S.A.; Vladimirovich, K.D.; Khvat, A.V. Pharmaceutical Composition, Method for the Production and the Use Thereof. Patent WO 2007133108, 22 November 2007. [Google Scholar]
- Okun, I.; Balakin, K.V.; Tkachenko, S.E.; Ivachtchenko, A.V. Caspase activity modulators as anticancer agents. Anticancer Agents Med. Chem. 2008, 8, 322–341. [Google Scholar] [CrossRef]
- Pereira, G.A.N.; da Silva, E.B.; Braga, S.F.P.; Leite, P.G.; Martins, L.C.; Vieira, R.P.; Soh, W.T.; Villela, F.S.; Costa, F.M.R.; Ray, D.; et al. Discovery and characterization of trypanocidal cysteine protease inhibitors from the ‘malaria box’. Eur. J. Med. Chem. 2019, 179, 765–778. [Google Scholar] [CrossRef]
- Chen, Y.; Zhu, F.; Hammill, J.; Holbrook, G.; Yang, L.; Freeman, B.; White, K.L.; Shackleford, D.M.; O’Loughlin, K.G.; Charman, S.A.; et al. Selecting an anti-malarial clinical candidate from two potent dihydroisoquinolones. Malar. J. 2021, 20, 107. [Google Scholar] [CrossRef] [PubMed]
- Guranova, N.; Golubev, P.; Bakulina, O.; Dar’in, D.; Kantin, G.; Krasavin, M. Unexpected formal [4 + 2]-cycloaddition of chalcone imines and homophthalic anhydrides: Preparation of dihydropyridin-2(1H)-ones. Org. Biomol. Chem. 2021, 19, 3829–3833. [Google Scholar] [CrossRef] [PubMed]
- Laws, S.W.; Moore, L.C.; Di Maso, M.J.; Nguyen, Q.N.N.; Tantillo, D.J.; Shaw, J.T. Diastereoselective Base-Catalyzed Formal [4 + 2] Cycloadditions of N-Sulfonyl Imines and Cyclic Anhydrides. Org. Lett. 2017, 19, 2466–2469. [Google Scholar] [CrossRef] [PubMed]
- Ng, P.Y.; Tang, Y.; Knosp, W.M.; Stadler, H.S.; Shaw, J.T. Synthesis of diverse lactam carboxamides leading to the discovery of a new transcription-factor inhibitor. Angew. Chem. 2007, 46, 5352–5355. [Google Scholar] [CrossRef]
- Rendy, R.; Zhang, Y.; McElrea, A.; Gomez, A.; Klumpp, D.A. Superacid-catalyzed reactions of cinnamic acids and the role of superelectrophiles. J. Org. Chem. 2004, 69, 2340–2347. [Google Scholar] [CrossRef]
- Püschl, A.; Rudbeck, H.C.; Faldt, A.; Confante, A.; Kehler, J. Versatile Synthesis of 3-Arylindan-1-ones by Palladium-Catalyzed Intramolecular Reductive Cyclization of Bromochalcones. Synthesis 2005, 2005, 291–295. [Google Scholar] [CrossRef]
- Safrygin, A.; Zhmurov, P.; Dar’in, D.; Silonov, S.; Kasatkina, M.; Zonis, Y.; Gureev, M.; Krasavin, M. Three-component Castagnoli–Cushman reaction with ammonium acetate delivers 2-unsubstituted isoquinol-1-ones as potent inhibitors of poly(ADP-ribose) polymerase (PARP). J. Enzym. Inhib. Med. Chem. 2021, 36, 1916–1921. [Google Scholar] [CrossRef]
- Liu, J.; Wang, Z.; Levin, A.; Emge, T.J.; Rablen, P.R.; Floyd, D.M.; Knapp, S. N-methylimidazole promotes the reaction of homophthalic anhydride with imines. J. Org. Chem. 2014, 79, 7593–7599. [Google Scholar] [CrossRef]
- Scorzelli, F.; Di Mola, A.; De Piano, F.; Tedesco, C.; Palombi, L.; Filosa, R.; Waser, M.; Massa, A. A systematic study on the use of different organocatalytic activation modes for asymmetric conjugated addition reactions of isoindolinones. Tetrahedron 2017, 73, 819–828. [Google Scholar] [CrossRef]
- Yue, G.; Lei, K.; Hirao, H.; Zhou, J.S. Palladium-catalyzed asymmetric reductive heck reaction of aryl halides. Angew. Chem. 2015, 54, 6531–6535. [Google Scholar] [CrossRef]
- Bogeso, K.P. Neuroleptic activity and dopamine-uptake inhibition in 1-piperazino-3-phenylindans. J. Med. Chem. 1983, 26, 935–947. [Google Scholar] [CrossRef] [PubMed]
- Dolomanov, O.V.; Bourhis, L.J.; Gildea, R.J.; Howard, J.A.K.; Puschmann, H. OLEX2: A complete structure solution, refinement and analysis program. J. Appl. Crystallogr. 2009, 42, 339–341. [Google Scholar] [CrossRef]
- Sheldrick, G.M. SHELXT—Integrated space-group and crystal-structure determination. Acta Crystallogr. A Found Adv. 2015, 71, 3–8. [Google Scholar] [CrossRef] [PubMed]
- Sheldrick, G.M. Crystal structure refinement with SHELXL. Acta Crystallogr. C Struct. Chem. 2015, 71, 3–8. [Google Scholar] [CrossRef]
Publisher’s Note: MDPI stays neutral with regard to jurisdictional claims in published maps and institutional affiliations. |
© 2022 by the authors. Licensee MDPI, Basel, Switzerland. This article is an open access article distributed under the terms and conditions of the Creative Commons Attribution (CC BY) license (https://creativecommons.org/licenses/by/4.0/).






