Effect of Co-Existing Cations and Anions on the Adsorption of Antibiotics on Iron-Containing Minerals
Abstract
1. Introduction
2. Results and Discussion
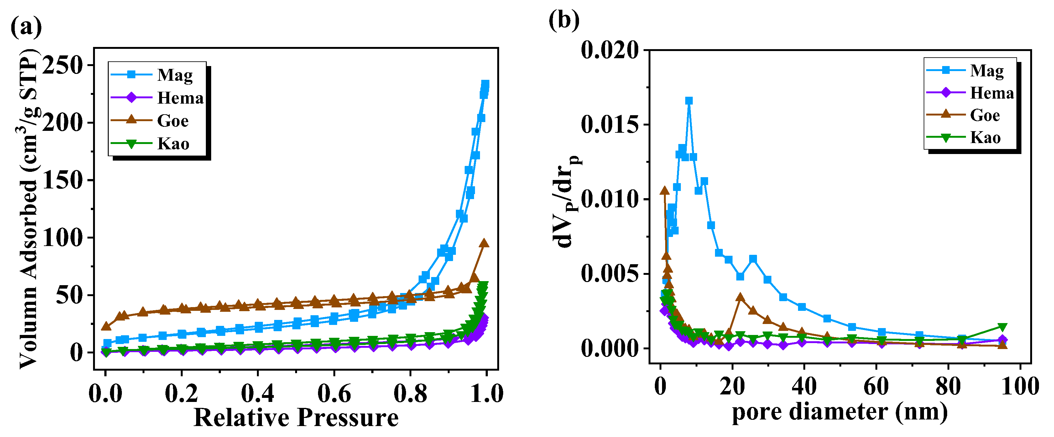
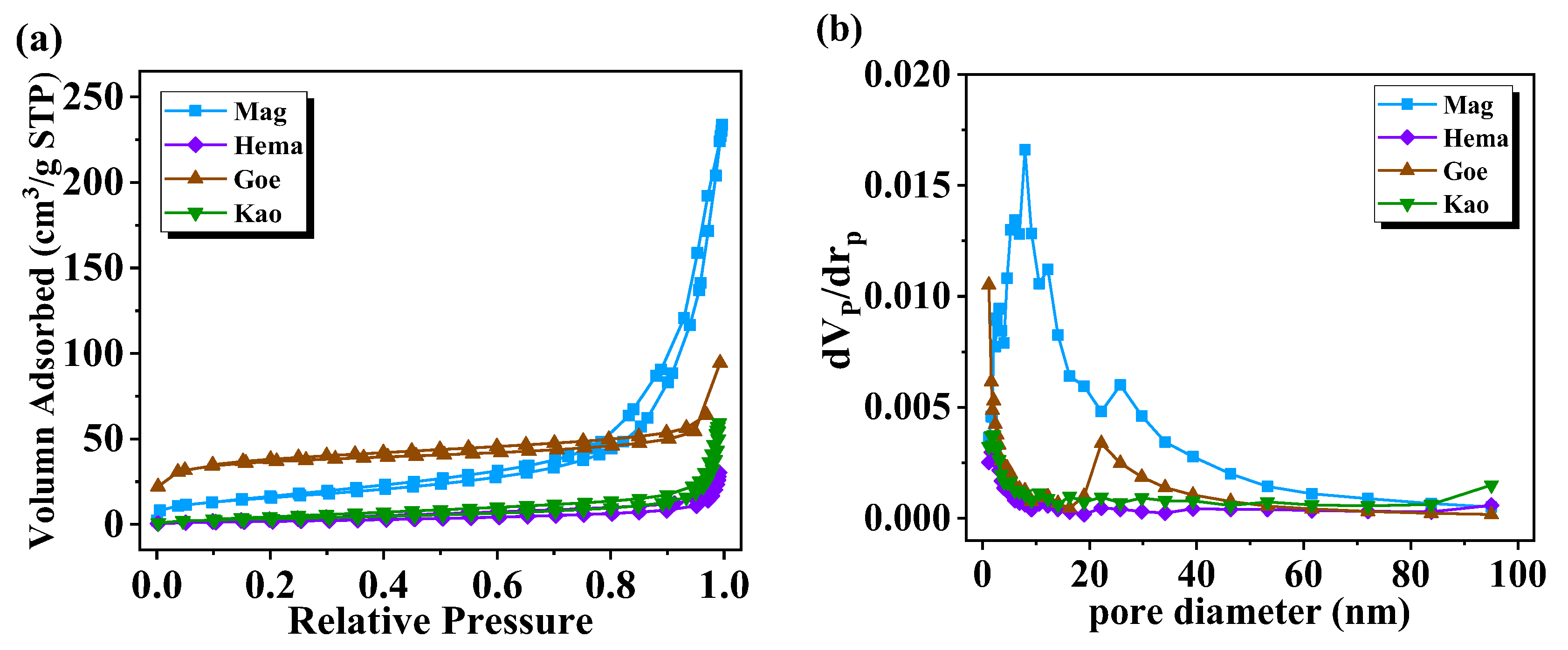
2.1. Minerals Characterization
2.2. Adsorption Isotherms
2.3. Effect of Co-Existing Ions on Adsorption
2.4. Effect of Surface Water on Adsorption
3. Materials and Methods
3.1. Chemicals
3.2. Characterization of Minerals
3.3. Adsorption Experiments
3.4. Analysis Methods
3.5. Data Analysis
4. Conclusions
Author Contributions
Funding
Institutional Review Board Statement
Informed Consent Statement
Data Availability Statement
Acknowledgments
Conflicts of Interest
Sample Availability
References
- Kujawska, A.; Kiełkowska, U.; Atisha, A.; Yanful, E.; Kujawski, W. Comparative Analysis of Separation Methods Used for the Elimination of Pharmaceuticals and Personal Care Products (PPCPs) from Water—A Critical Review. Sep. Purif. Technol. 2022, 290, 120797. [Google Scholar] [CrossRef]
- Al-Odaini, N.A.; Zakaria, M.P.; Yaziz, M.I.; Surif, S. Multi-Residue Analytical Method for Human Pharmaceuticals and Synthetic Hormones in River Water and Sewage Effluents by Solid-Phase Extraction and Liquid Chromatography-Tandem Mass Spectrometry. J. Chromatogr. A 2010, 1217, 6791–6806. [Google Scholar] [CrossRef] [PubMed]
- Gao, P.; Munir, M.; Xagoraraki, I. Correlation of Tetracycline and Sulfonamide Antibiotics with Corresponding Resistance Genes and Resistant Bacteria in a Conventional Municipal Wastewater Treatment Plant. Sci. Total Environ. 2012, 421, 173–183. [Google Scholar] [CrossRef] [PubMed]
- Zhang, H.; Huang, C.H. Adsorption and Oxidation of Fluoroquinolone Antibacterial Agents and Structurally Related Amines with Goethite. Chemosphere 2007, 66, 1502–1512. [Google Scholar] [CrossRef]
- Halling-Sørensen, B.; Sengeløv, G.; Tjørnelund, J. Toxicity of Tetracyclines and Tetracycline Degradation Products to Environmentally Relevant Bacteria, Including Selected Tetracycline-Resistant Bacteria. Arch. Environ. Contam. Toxicol. 2002, 42, 263–271. [Google Scholar] [CrossRef] [PubMed]
- Zhou, L.J.; Ying, G.G.; Liu, S.; Zhang, R.Q.; Lai, H.J.; Chen, Z.F.; Pan, C.G. Excretion Masses and Environmental Occurrence of Antibiotics in Typical Swine and Dairy Cattle Farms in China. Sci. Total Environ. 2013, 444, 183–195. [Google Scholar] [CrossRef] [PubMed]
- Fatta-Kassinos, D.; Meric, S.; Nikolaou, A. Pharmaceutical Residues in Environmental Waters and Wastewater: Current State of Knowledge and Future Research. Anal. Bioanal. Chem. 2011, 399, 251–275. [Google Scholar] [CrossRef] [PubMed]
- Tong, L.; Huang, S.; Wang, Y.; Liu, H.; Li, M. Occurrence of Antibiotics in the Aquatic Environment of Jianghan Plain, Central China. Sci. Total Environ. 2014, 497, 180–187. [Google Scholar] [CrossRef] [PubMed]
- Xu, J.; Zhang, Y.; Zhou, C.; Guo, C.; Wang, D.; Du, P.; Luo, Y.; Wan, J.; Meng, W. Distribution, Sources and Composition of Antibiotics in Sediment, Overlying Water and Pore Water from Taihu Lake, China. Sci. Total Environ. 2014, 497, 267–273. [Google Scholar] [CrossRef]
- Roig, B.; D’Aco, V. Distribution of pharmaceutical residues in the environment. In Issues in Environmental Science and Technology; Hester, R.E., Harrison, R.M., Eds.; The Royal Society of Chemistry: London, UK, 2016; pp. 34–69. ISBN 9781782621898. [Google Scholar]
- Xu, W.; Zhang, G.; Zou, S.; Ling, Z.; Wang, G.; Yan, W. A Preliminary Investigation on the Occurrence and Distribution of Antibiotics in the Yellow River and Its Tributaries, China. Water Environ. Res. 2009, 81, 248–254. [Google Scholar] [CrossRef] [PubMed]
- Martínez, J.L. Antibiotics and Antibiotic Resistance Genes in Natural Environments. Science 2008, 321, 365–367. [Google Scholar] [CrossRef]
- Sun, M.L.; Wang, Z.; Ye, Y.F.; Wang, Q.; Ma, X.Y.; Zhao, Z.X. Review: Complexation Mechanism of Organic Matter and Arsenic on Iron-Containing Minerals. Environ. Geotech. 2022, 1–14. [Google Scholar] [CrossRef]
- Thiele-Bruhn, S.; Seibicke, T.; Schulten, H.R.; Leinweber, P. Sorption of Sulfonamide Pharmaceutical Antibiotics on Whole Soils and Particle-Size Fractions. J. Environ. Qual. 2004, 33, 1331–1342. [Google Scholar] [CrossRef] [PubMed]
- Palacio, D.A.; Urbano, B.F.; Rivas, B.L. Application of Nanocomposite Polyelectrolytes for the Removal of Antibiotics as Emerging Pollutants in Water. J. Water Process Eng. 2022, 46, 102582. [Google Scholar] [CrossRef]
- Roca Jalil, M.E.; Baschini, M.; Sapag, K. Influence of pH and Antibiotic Solubility on the Removal of Ciprofloxacin from Aqueous Media Using Montmorillonite. Appl. Clay Sci. 2015, 114, 69–76. [Google Scholar] [CrossRef]
- Guo, X.; Yin, Y.; Yang, C.; Zhang, Q. Remove Mechanisms of Sulfamethazine by Goethite: The Contributions of pH and Ionic Strength. Res. Chem. Intermed. 2016, 42, 6423–6435. [Google Scholar] [CrossRef]
- Paul, T.; Liu, J.; Machesky, M.L.; Strathmann, T.J. Adsorption of Zwitterionic Fluoroquinolone Antibacterials to Goethite: A Charge Distribution-Multisite Complexation Model. J. Colloid Interface Sci. 2014, 428, 63–72. [Google Scholar] [CrossRef]
- Li, Y.; Bi, E.; Chen, H. Sorption Behavior of Ofloxacin to Kaolinite: Effects of pH, Ionic Strength, and Cu(II). Water Air Soil Pollut. 2017, 228, 46. [Google Scholar] [CrossRef]
- Wu, Q.; Li, Z.; Hong, H. Adsorption of the Quinolone Antibiotic Nalidixic Acid onto Montmorillonite and Kaolinite. Appl. Clay Sci. 2013, 74, 66–73. [Google Scholar] [CrossRef]
- Yang, Y.; Zhong, Z.; Li, J.; Du, H.; Li, Z. Efficient with Low-Cost Removal and Adsorption Mechanisms of Norfloxacin, Ciprofloxacin and Ofloxacin on Modified Thermal Kaolin: Experimental and Theoretical Studies. J. Hazard. Mater. 2022, 430, 128500. [Google Scholar] [CrossRef]
- Li, X.; Bi, E. Different Surface Complexation Patterns of Gatifloxacin at Typical Iron Mineral/Water Interfaces. Environ. Earth Sci. 2019, 78, 630. [Google Scholar] [CrossRef]
- Gao, J.; Pedersen, J.A. Adsorption of Sulfonamide Antimicrobial Agents to Clay Minerals. Environ. Sci. Technol. 2005, 39, 9509–9516. [Google Scholar] [CrossRef]
- Peterson, J.W.; Burkhart, R.S.; Shaw, D.C.; Schuiling, A.B.; Haserodt, M.J.; Seymour, M.D. Experimental Determination of Ampicillin Adsorption to Nanometer-Size Al2O3 in Water. Chemosphere 2010, 80, 1268–1273. [Google Scholar] [CrossRef]
- Liu, Y.; Lu, X.; Wu, F.; Deng, N. Adsorption and Photooxidation of Pharmaceuticals and Personal Care Products on Clay Minerals. React. Kinet. Mech. Catal. 2011, 104, 61–73. [Google Scholar] [CrossRef]
- Li, E.; Liao, L.; Lv, G.; Li, Z.; Yang, C.; Lu, Y. The Interactions between Three Typical PPCPs and LDH. Front. Chem. 2018, 6, 16. [Google Scholar] [CrossRef] [PubMed]
- Wu, Q.; Li, Z.; Hong, H.; Yin, K.; Tie, L. Adsorption and Intercalation of Ciprofloxacin on Montmorillonite. Appl. Clay Sci. 2010, 50, 204–211. [Google Scholar] [CrossRef]
- Yang, M.; Ren, X.; Hu, L.; Zhou, H.; Guo, W. Insights into the Facet-Dependent Adsorption of Antibiotic Ciprofloxacin on Goethite. Environ. Sci. Pollut. Res. 2021, 28, 11486–11497. [Google Scholar] [CrossRef]
- Ma, Y.; Li, P.; Yang, L.; Wu, L.; He, L.; Gao, F.; Qi, X.; Zhang, Z. Iron/Zinc and Phosphoric Acid Modified Sludge Biochar as an Efficient Adsorbent for Fluoroquinolones Antibiotics Removal. Ecotoxicol. Environ. Saf. 2020, 196, 110550. [Google Scholar] [CrossRef]
- Zhu, Y.; Yang, Q.; Lu, T.; Qi, W.; Zhang, H.; Wang, M.; Qi, Z.; Chen, W. Effect of Phosphate on the Adsorption of Antibiotics onto Iron Oxide Minerals: Comparison between Tetracycline and Ciprofloxacin. Ecotoxicol. Environ. Saf. 2020, 205, 111345. [Google Scholar] [CrossRef]
- Rusu, A.; Tóth, G.; Szocs, L.; Kökösi, J.; Kraszni, M.; Gyéresi, Á.; Noszál, B. Triprotic Site-Specific Acid-Base Equilibria and Related Properties of Fluoroquinolone Antibacterials. J. Pharm. Biomed. Anal. 2012, 66, 50–57. [Google Scholar] [CrossRef]
- Xu, J.; Marsac, R.; Costa, D.; Cheng, W.; Wu, F.; Boily, J.F.; Hanna, K. Co-Binding of Pharmaceutical Compounds at Mineral Surfaces: Molecular Investigations of Dimer Formation at Goethite/Water Interfaces. Environ. Sci. Technol. 2017, 51, 8343–8349. [Google Scholar] [CrossRef]
- Yang, Y.; Tao, S.; Dong, Z.; Xu, J.; Zhang, X.; Pan, G. Adsorption of P-Arsanilic Acid on Iron (Hydr)Oxides and Its Implications for Contamination in Soils. Minerals 2021, 11, 105. [Google Scholar] [CrossRef]
- Lützenkirchen, J. Ionic Strength Effects on Cation Sorption to Oxides: Macroscopic Observations and Their Significance in Microscopic Interpretation. J. Colloid Interface Sci. 1997, 195, 149–155. [Google Scholar] [CrossRef] [PubMed]
- Xu, J.; Marsac, R.; Wei, C.; Wu, F.; Boily, J.F.; Hanna, K. Cobinding of Pharmaceutical Compounds at Mineral Surfaces: Mechanistic Modeling of Binding and Cobinding of Nalidixic Acid and Niflumic Acid at Goethite Surfaces. Environ. Sci. Technol. 2017, 51, 11617–11624. [Google Scholar] [CrossRef]
- Wan, Y.; Bao, Y.; Zhou, Q. Simultaneous Adsorption and Desorption of Cadmium and Tetracycline on Cinnamon Soil. Chemosphere 2010, 80, 807–812. [Google Scholar] [CrossRef]
- Figueroa, R.A.; Leonard, A.; Mackay, A.A. Modeling Tetracycline Antibiotic Sorption to Clays. Environ. Sci. Technol. 2004, 38, 476–483. [Google Scholar] [CrossRef]
- Cheng, W.; Kalahroodi, E.L.; Marsac, R.; Hanna, K. Adsorption of Quinolone Antibiotics to Goethite under Seawater Conditions: Application of a Surface Complexation Model. Environ. Sci. Technol. 2019, 53, 1130–1138. [Google Scholar] [CrossRef]
- Pei, Z.; Shan, X.Q.; Kong, J.; Wen, B.; Owens, G. Coadsorption of Ciprofloxacin and Cu(II) on Montmorillonite and Kaolinite as Affected by Solution pH. Environ. Sci. Technol. 2010, 44, 915–920. [Google Scholar] [CrossRef]
- Gu, B.; Schmitt, J.; Chen, Z.; Liang, L.; McCarthy, J.F. Adsorption and Desorption of Natural Organic Matter on Iron Oxide: Mechanisms and Models. Environ. Sci. Technol. 1994, 28, 38–46. [Google Scholar] [CrossRef] [PubMed]
- Chen, W.R.; Huang, C.H. Surface Adsorption of Organoarsenic Roxarsone and Arsanilic Acid on Iron and Aluminum Oxides. J. Hazard. Mater. 2012, 227–228, 378–385. [Google Scholar] [CrossRef]









| Minerals | Total Pore Volume (cm3/g) | Average Pore Size (nm) | BET Surface Area (m2/g) |
|---|---|---|---|
| Mag | 0.33 | 24.64 | 54.21 |
| Hema | 0.04 | 21.63 | 8.15 |
| Goe | 0.09 | 26.64 | 12.77 |
| Kao | 0.14 | 4.27 | 132.96 |
| Antibiotics | Mineral | Kf | n | R2 |
|---|---|---|---|---|
| CIP | Mag | 0.50 | 1.58 | 0.999 |
| Hema | 0.23 | 2.47 | 0.987 | |
| Goe | 0.23 | 2.20 | 0.993 | |
| Kao | 5.22 | 2.77 | 0.992 | |
| OFL | Mag | 0.58 | 1.51 | 1.000 |
| Hema | 0.30 | 2.19 | 0.961 | |
| Goe | 0.25 | 1.96 | 0.958 | |
| Kao | 6.65 | 2.65 | 0.969 | |
| NOR | Mag | 0.45 | 1.67 | 0.988 |
| Hema | 0.31 | 3.25 | 0.826 | |
| Goe | 0.21 | 2.26 | 0.922 | |
| Kao | 4.65 | 3.51 | 0.932 | |
| SMT | Mag | 0.39 | 130.13 | 0.339 |
| Hema | / | / | 0.022 | |
| Goe | / | / | 0.199 | |
| Kao | / | / | 0.097 | |
| SA | Mag | / | / | 0.022 |
| Hema | / | / | 0.014 | |
| Goe | / | / | 0.001 | |
| Kao | / | / | 0.121 | |
| SMZ | Mag | / | / | 0.001 |
| Hema | 0.02 | 12.98 | 0.146 | |
| Goe | 0.04 | 10.73 | 0.415 | |
| Kao | 0.02 | 5.38 | 0.194 | |
| CHL | Mag | / | / | 0.034 |
| Hema | / | / | 0.006 | |
| Goe | 0.01 | 5.03 | 0.056 | |
| Kao | / | / | 0.018 | |
| AMP | Mag | 1.56 | 0.94 | 0.983 |
| Hema | 0.02 | 1.06 | 0.994 | |
| Goe | 0.03 | 1.17 | 0.988 | |
| Kao | 0.00 | 0.81 | 0.800 |
| Sample | Na+ | K+ | NH4+ | Mg2+ | Ca2+ |
|---|---|---|---|---|---|
| S1 | 0.490 | 0.068 | 0.003 | 0.388 | 0.902 |
| S2 | 0.589 | 0.071 | 0.003 | 0.358 | 0.927 |
| S3 | 0.465 | 0.070 | 0.003 | 0.402 | 1.000 |
| Sample | Cl− | NO3− | SO42− | H2PO4− | HCO3− |
| S1 | 0.538 | 0.123 | 0.422 | n.d. | 2.746 |
| S2 | 0.622 | 0.153 | 0.438 | n.d. | 2.480 |
| S3 | 0.524 | 0.121 | 0.425 | n.d. | 2.593 |
| Antibiotics | Detecting Wavelength (nm) | Mobile Phase | Retention Time (min) | |||
|---|---|---|---|---|---|---|
| Methanol | Formic Acid (5‰) | Ultrapure Water | Acetonitrile | |||
| CIP | 275 | 0 | 20% | 62% | 18% | 5.4 |
| OFL | 287 | 0 | 20% | 62% | 18% | 5.2 |
| NOR | 283 | 0 | 20% | 62% | 18% | 5.1 |
| SMT | 266 | 40% | 20% | 40% | 0 | 4.5 |
| SA | 259 | 10% | 20% | 70% | 0 | 4.5 |
| SMZ | 266 | 40% | 20% | 40% | 0 | 5.0 |
| CHL | 279 | 0 | 0 | 60% | 40% | 5.1 |
| AMP | 210 | 0 | 10% | 75% | 15% | 4.4 |
Publisher’s Note: MDPI stays neutral with regard to jurisdictional claims in published maps and institutional affiliations. |
© 2022 by the authors. Licensee MDPI, Basel, Switzerland. This article is an open access article distributed under the terms and conditions of the Creative Commons Attribution (CC BY) license (https://creativecommons.org/licenses/by/4.0/).
Share and Cite
Guan, X.; Guo, J.; Zhang, H.; Tao, S.; Mailhot, G.; Wu, F.; Xu, J. Effect of Co-Existing Cations and Anions on the Adsorption of Antibiotics on Iron-Containing Minerals. Molecules 2022, 27, 8037. https://doi.org/10.3390/molecules27228037
Guan X, Guo J, Zhang H, Tao S, Mailhot G, Wu F, Xu J. Effect of Co-Existing Cations and Anions on the Adsorption of Antibiotics on Iron-Containing Minerals. Molecules. 2022; 27(22):8037. https://doi.org/10.3390/molecules27228037
Chicago/Turabian StyleGuan, Xiaoyu, Juntao Guo, Hui Zhang, Shiyong Tao, Gilles Mailhot, Feng Wu, and Jing Xu. 2022. "Effect of Co-Existing Cations and Anions on the Adsorption of Antibiotics on Iron-Containing Minerals" Molecules 27, no. 22: 8037. https://doi.org/10.3390/molecules27228037
APA StyleGuan, X., Guo, J., Zhang, H., Tao, S., Mailhot, G., Wu, F., & Xu, J. (2022). Effect of Co-Existing Cations and Anions on the Adsorption of Antibiotics on Iron-Containing Minerals. Molecules, 27(22), 8037. https://doi.org/10.3390/molecules27228037

