Next Article in Journal
Recent Research and Application Prospect of Functional Oligosaccharides on Intestinal Disease Treatment
Previous Article in Journal
Synergistic Effects of B-F/B-S and Nitrogen Vacancy Co-Doping on g-C3N4 and Photocatalytic CO2 Reduction Mechanisms: A DFT Study
Previous Article in Special Issue
Sex Differences of Cardiolipin in Tissue Distribution Based on Targeted Lipidomic Analysis by UHPLC-QTOF-MS/MS
 
 
Font Type:
Arial Georgia Verdana
Font Size:
Aa Aa Aa
Line Spacing:
Column Width:
Background:
Article

Comparison of LC-MS3 and LC-MRM Methods for Quantifying Amantadine and Its Application in Therapeutic Amantadine Monitoring in Human Plasma

1
Department of Laboratory Medicine, The First Hospital of Jilin University, Changchun 130061, China
2
Genetic Diagnosis Center, The First Hospital of Jilin University, Changchun 130061, China
*
Authors to whom correspondence should be addressed.
These contributed equally as first authors to this work.
Molecules 2022, 27(21), 7619; https://doi.org/10.3390/molecules27217619
Submission received: 21 September 2022 / Revised: 28 October 2022 / Accepted: 2 November 2022 / Published: 7 November 2022
(This article belongs to the Special Issue Analytical Applications of Biochemical Mass Spectrometry)

Abstract

A simple sample preprocessing method was developed for the quantitative determination of amantadine (AMT) in human plasma by liquid chromatography-tandem mass spectrometry cubed (LC-MS3). The LC-MS3 system comprised a Shimadzu Exion LC-20AD HPLC pump coupled with a QTRAP 5500 mass spectrometer. First, the plasma samples were pretreated using acetonitrile as the extracting solution to precipitate protein. Next, amantadine and amantadine-d15 (AMT-d15) were separated on an Agilent Poroshell 120 SB-C18 column (4.6 mm × 50 mm, 2.7 μm) using isocratic elution with solvent A (70% 0.1% formic acid) and solvent B (30% acetonitrile) at a flow rate of 0.8 mL/min. The total run time for each sample was 3 min. The system used triple-stage fragmentation transitions at m/z 152.2→135.3→107.4 for AMT quantification in the positive ion mode and m/z 167.0→150.3→118.1 for AMT-d15 quantification. The LC-MS3 assay was linear (r > 0.995) with a concentration range of 50–1500 ng/mL. The lower limit of quantification (LLOQ) was 50 ng/mL, and the intra-day and inter-day accuracies and precisions were less than 8.0% at all concentrations. In addition, the recoveries and matrix effect for AMT in human plasma were within acceptable limits. In terms of stability, AMT had no significant degradation under all conditions. All the results met the requirements of the guidelines of the Food and Drug Administration (FDA) for biological method validation. The novelty of the MS3 assay was that it presented a methodology with higher selectivity and sensitivity. This method was successfully applied to 44 human plasma samples, and the obtained quantitative results were compared with another liquid chromatography-multiple reaction monitoring (LC-MRM) method. The Passing-Bablok regression coefficients and Bland-Altman plot revealed no difference between the LC-MS3 and LC-MRM methods, implying that the developed LC-MS3 method is a reliable and accurate assay for AMT determination in human plasma. These results are also a proof of concept for determining chemicals in biological samples by the LC-MS3 strategy.

1. Introduction

Amantadine hydrochloride (C10H17N · HCl; Figure 1), also referred to as tricyclic [3.3.1.13.7] decane-1-amine) is a synthetic tricyclic amine of the adamantanes class. It is a derivative of adamantane that targets the M2 ion channel, primarily used for antiviral therapy. Amantadine (AMT) was approved by the Food and Drug Administration (FDA) in 2008 for clinical use in the treatment of Parkinson’s disease and multiple sclerosis [1,2]. In addition, AMT is used to treat extrapyramidal reactions caused by drugs, that act as non-competitive N-methyl-D-aspartate (NMDA) receptor antagonists, such as levodopa-induced dyskinesia (LID). Currently, AMT is the only drug with proven efficiency in alleviating LID [3,4,5,6].
AMT is a highly effective drug administered orally and mainly excreted by the kidney [7]. Clinical studies have revealed that patients with renal insufficiency might lead to an extended half-life for AMT [8,9]. However, according to clinical medication guideline recommendations, these patients and the elderly should monitor their AMT plasma concentrations. Generally, AMT causes severe side effects, including a dry mouth, lethargy, blurred vision, insomnia, consciousness disorder, and hallucinations, which are influenced by plasma AMT concentration and clinical dosage [10]. Therefore, AMT therapeutic drug monitoring (TDM) is necessary to maintain the therapeutic plasma concentration and avoid adverse reactions.
Currently, there are several TDM analytical methods for AMT, including immunoassays, which have been used for a long time [11,12], high-performance liquid chromatography with fluorescence detection (HPLC-Flu) [13,14], high-performance liquid chromatography combined with ultraviolet detection (HPLC-UV) [15], and liquid chromatography combined with mass spectrometry (LC-MS/MS) [16,17]. AMT has no particular UV absorption and fluorescence characteristics; thus, it requires derivatization by HPLC-UV and HPLC-Flu to enhance its sensitivity. However, compared to other analytical methods, LC-MS/MS assays are characterized by a simple sample processing technique, high sensitivity, and high selectivity. In addition, the LC-MS/MS methods have greatly improved precision and accuracy. As a result, LC-MS/MS assays are recommended as the gold standard for detecting compounds in biological samples. To date, quantitative detection of AMT by LC-MRM assays involves using QTRAP tandem mass spectrometers [18,19,20]. However, there are no reports on the detection of AMT in biological samples using triple-stage fragmentation (MS3) methods. Herein, we propose a method to improve the sensitivity and selectivity of AMT in quantitative detection using MS3 on a hybrid quadrupole-linear ion trap (QqLIT). We aimed to develop a highly sensitive and selective LC-MS3-based method to improve the quantitative detection of AMT in human plasma. In addition, we compared an LC-MRM-based method with the LC-MS3-based method. The MS3 detection is a scanning mode of QTRAP tandem mass spectrometry, with a high excitation efficiency and fast scanning rate (20,000 Da/s) [21,22]. During MS3 detection, the analyte precursor ions are first selected in Q1 and then fragmented in the collision cell (Q2) to generate product ions by collision-induced dissociation. Next, the product ions are enriched and captured by a linear ion trap (Q3) [23,24]. Finally, the selected product ions are further fragmented in the linear ion trap to generate secondary fragment ions detected by the detector. Overall, the MS3 scanning mode enhances selectivity and lowers the limit detection values using MRM3 transitions to achieve a more accurate quantification while removing interference and background noise.
To the best of our knowledge, this is the first attempt to quantify AMT in human plasma using an LC-MS3-based method.

2. Results and Discussion

2.1. Optimization of MS Conditions for Amantadine and Amantadine-d15

Both AMT and IS showed a better response in the positive ionization mode. The production (MS2) and second-generation product ion (MS3) spectra for AMT and IS are shown in Figure 2. The MS/MS transitions selected for detection of AMT and IS at MRM mode were at m/z 152.2→135.3 and 167.0→150.3, while in the MS3 mode, the MS/MS/MS transitions were at m/z 152.2→135.3→107.4 and 167.0→150.3→118.1, respectively. The optimized MS parameters for quantitation of AMT and IS are shown in Table 1. The mass range scanned for second-generation product ions of AMT was ±1.0 Da.

2.2. Optimization of LC Conditions

An Agilent Poroshell 120 SB-C18 column (4.6 mm × 50 mm, 2.7 μm) using isocratic elution with 0.1% formic acid in water: acetonitrile (70:30, v:v) at a flow rate of 0.8 mL/min employed for chromatography separation gave symmetric peak shapes, adequate retention behaviors, and satisfactory mass spectrometric responses of AMT and IS. Under the optimum conditions, the retention times of AMT and IS were 1.23 and 1.21 min, respectively (Figure 3).

2.3. Optimization of Sample Processing

Based on its high rapidity and simplicity, protein precipitation with acetonitrile was selected for sample processing. A total of 10 µL of plasma was mixed with 20 µL IS working solution and 1 mL acetonitrile to precipitate proteins. Protein precipitation with approximately 100 times dilutions yielded symmetrical peaks with a higher sensitivity above the matrix effect for AMT and IS. Therefore, protein precipitation using acetonitrile was selected in this study. LLOQ of 50 ng/mL is sufficient in this study. Furthermore, the LLOQ of this assay could easily be reduced by using more plasma, less dilution, or more injection volume.

2.4. Assay Validation

The representative MS3 chromatograms for AMT and IS in plasma are shown in Figure 3. The developed LC-MS3 assay revealed that there were no significant interferences at the retention time. The typical retention times were 1.23 and 1.21 min for AMT and IS, respectively. Besides, no enhancement in the responses of AMT and IS was observed in the blank plasma samples, suggesting negligible carryover (Figure 3A). Additionally, there was no cross-talk between MS channels between AMT and IS (Figure 3C). The LC-MS3 method was linear in 50–1500 ng/mL range, with a regression coefficient of r > 0.995. Intra- and inter-day precisions (relative standard deviation) were less than 10.7%, while the accuracy (relative error) ranged from 90.4 to 102.4% for four different concentrations, implying that the method was repeatable and reliable (Table 2). For the LC-MS3 method, the matrix effects at low, medium, and high QC nominal concentrations ranged from 99.0–102.9%, thus meeting the request of the assay (Table 3). The recoveries for three concentrations of AMT ranged from 97.2–98.2%, implying that the recoveries were reproducible and concordant across all the concentration ranges in this study (Table 3). Besides, the concentrations under the various test conditions had stabilities within ±15.0% of the nominal concentrations, implying no notable degradation of ATM under the storage conditions (Table 4).

2.5. Comparison between LC-MS3 and LC-MRM

The LC-MRM method using MRM transitions at m/z 152.2→135.3 for AMT and m/z 167.0→150.3 for AMT-d15 was compared to the LC-MS3 method. The chromatogram of AMT at 50 ng/mL obtained from the LC-MS3 and LC-MRM methods is shown in Figure 4. The response signal of AMT using MRM acquisition was 3606 cps, while the S/N was 18.0 (Figure 4A). For MS3 acquisition, the response signal of AMT at 50 ng/mL was 2.8 e6 cps with an S/N of 87.5 (Figure 4B). The MS3 scan mode reduced the matrix interference and background noise via an additional fragmentation step; hence, the MS3 scan displayed a higher sensitivity than the MRM transition.

2.6. The Novelty and Significance of the LC-MS3 Method

The MS3 technique is restricted to QTRAP MS systems and ion trap MS systems. Herein, the LC-MS/MS system comprised of an HPLC with a QTRAP hybrid linear ion trap triple quadrupole mass spectrometer. The merits of the proposed LC-MS3 method include the high selectivity, high sensitivity, high signal to noise, high throughput (3 min per sample), and small sample volume (only 10 µL). To our knowledge, this is the first report on the use of the LC-MS3 technique for quantifying AMT and its application in therapeutic drug monitoring in human plasma. This study provides an innovative and promising alternative technique to the traditional LC-MRM technique, given the high sensitivity and high selectivity of the LC-MS3 technique.

2.7. Method Application

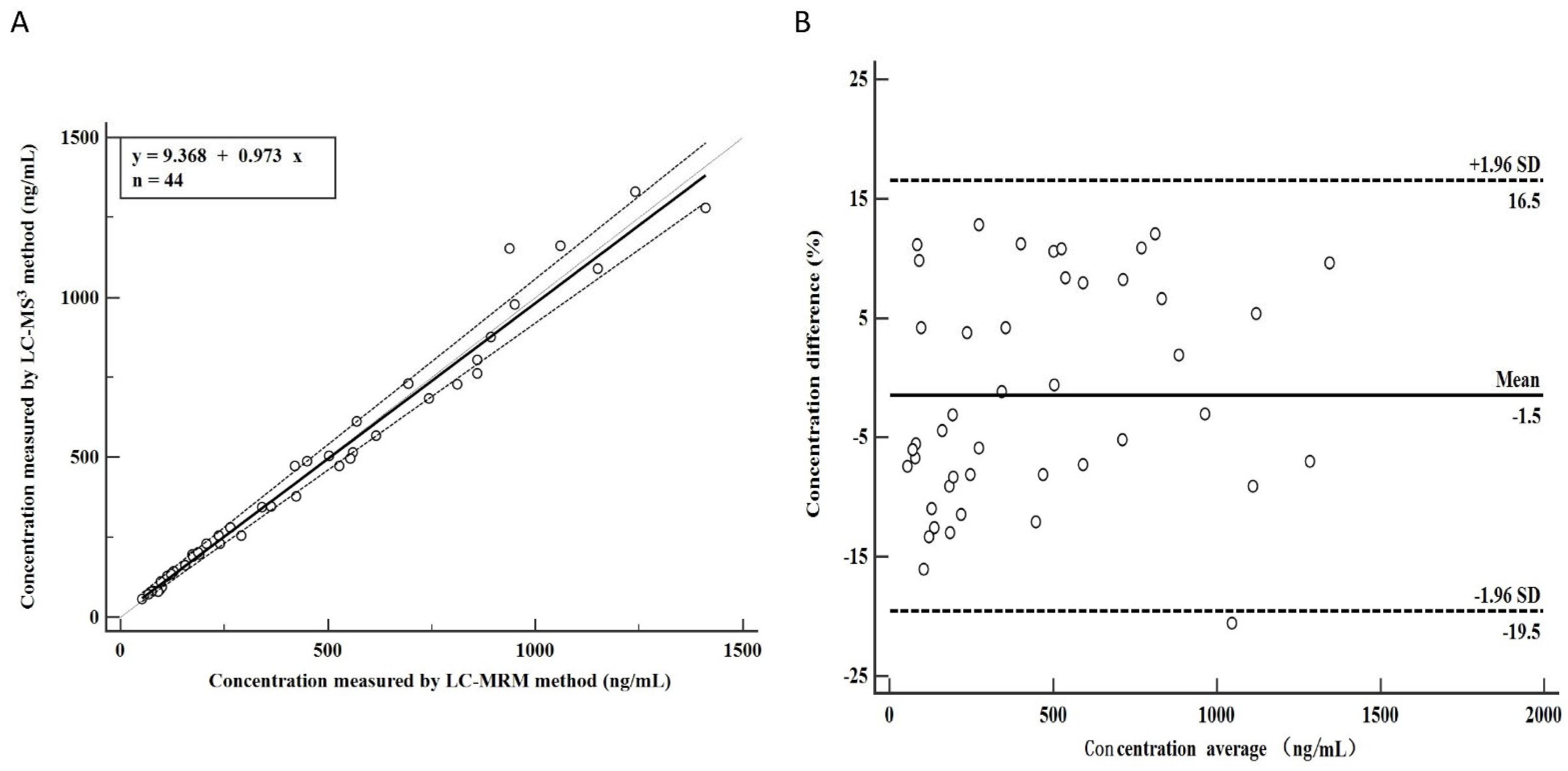
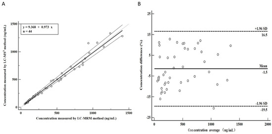
Forty-four patients treated with AMT were selected to validate the clinical applicability of the LC-MS3 method. The AMT concentrations in 44 human plasma samples determined by the LC-MRM and the LC-MS3 methods are shown in Table S1. A comparison of the clinical applicability between the two methods is shown in Figure 5, which reveals that they were consistent with no constant and proportional deviation. A regression equation was generated by the Passing-Bablok analysis was y = 9.368 (95% CI,0.247,22.58) + 0.973 (95% CI,0.919,1.036)x(Figure 5A). A Bland-Altman plot further revealed the mean difference between the LC-MRM and the LC-MS3 method was −1.5% (95% LoA, −19.5% −16.5%), and the AMT differences were evenly distributed in both methods, with only one of the 44 samples exceeding the protocol limit of 1/44 (2.27%). The maximum concentration deviation of 97% AMT sample pairs was ±1.96SD (Figure 5B). Therefore, the LC-MRM and the LC-MS3 methods can be used for AMT drug monitoring without an obvious difference.

3. Materials and Methods

3.1. Chemical Reagents

AMT was acquired from Dr. Ehrenstorfer (Augsburg, Germany), while the internal standard (IS) AMT-d15 was acquired from Cambridge Isotope Laboratories (Andover, MA, USA). Formic acid (FA), acetonitrile, and methanol were purchased from Sigma Corporate (Billerica, MA, USA). The three reagents were HPLC grade. Ultrapure water was obtained from Watsons (Changchun, China).

3.2. Chromatographic and Mass Spectrometric Conditions

Liquid chromatographic analysis was carried out on a Shimadzu UFLC XR system equipped with two LC-20 AD XR binary pumps (pump A + B), SIL-20A XR AUTO sampler, and a CTO-20 AC column compartment. The injection volume was set at 1 µL. The column oven and auto-sampler were maintained at 40 and 25 °C, respectively. Chromatographic separation was performed on an Agilent Poroshell 120 SB-C18 column (4.6 mm × 50 mm, 2.7 μm) using isocratic elution with a mobile phase consisting of 70% 0.1% formic acid in water (phase A) and 30% acetonitrile (phase B). The flow rate was set at 0.8 mL/min.
Tandem mass spectrometry was performed on a QTRAP 5500 mass spectrometer (AB SCIEX, ON L4K 4V8, Canada) equipped with electrospray ionization in the positive ion mode. The linear ion trap (MS3) and multiple reaction monitoring (MRM) modes were used to quantify ATM and AMT-d15 (IS), respectively. The MRM3 transitions for ATM and IS identification in the MS3 mode were set at m/z 152.2→135.3→107.4 and 167.0→150.3→118.1, respectively. In the MRM mode, the MS/MS transitions were set at m/z 152.2→135.3 and 167.0→150.3, respectively. The optimized MS parameters for quantitative analysis of ATM and AMT-d15 (IS) are summarized in Table 1. Data acquisition and processing were performed by the analysis 1.6.3 software.

3.3. Preparation of Calibration Standards and Quality Control Samples

The AMT stock solution was prepared by dissolving 1 mg of AMT in 1 mL of a methanol: water (50:50, v/v) ratio. Next, the blank plasma was serially diluted in the stock solution to a final concentration of 50, 100, 300, 500, 700, 1000, and 1500 ng/mL, which were used as the calibration standards. Similarly, quality control (QC) samples of AMT at low (150 ng/mL), medium (600 ng/mL), and high (1200 ng/mL) concentrations were prepared. An IS stock solution of AMT-d15 was prepared in methanol and diluted to 400 ng/mL with an aqueous methanol solution consisting of a 50:50 (v/v) methanol to water ratio.

3.4. Plasma Sample Preparation

Frozen human plasma samples were thawed at room temperature before analysis. Next, 10 μL of plasma was added to 20 μL of IS working solution (400 ng/mL) and 1 mL of acetonitrile to precipitate the proteins. The mixtures were vortexmixed for five min on a shaker (Scientific Industries, Bohemia, NY, USA), then centrifuged (Cence, H1650R) at 13,000 rpm for 5 min at 4 °C. After centrifugation, 1 μL of the supernatant was transferred into the autosampler vial and injected into the LC-MS system.

3.5. Method Validation

Method validation was carried out following the bioanalytical method validation guideline of the U.S. FDA [25,26]. The parameters validated were selectivity, linearity, the lower limit of quantification (LLOQ), extraction recovery, matrix effect, accuracy, precision, stability, and dilution integrity. The protocol for assay validation is detailed in the supporting information.

3.6. Clinical Application

To verify the applicability of the LC-MS3 method, plasma samples from 44 patients were obtained from the rehabilitation department of the First Hospital of Jilin University. Samples were analyzed and the AMT levels were quantified. The plasma samples were anticoagulated with EDTA-2K, then centrifuged and frozen at −20 °C until samples were ready for preparation. The protocols in this study were reviewed and approved by the institutional ethics committee of the First Hospital of Jilin University (ethical approval number: 2021-522).

3.7. Statistical Analysis

Data acquisition, data processing, and graphic presentation were performed with Analyst 1.6.3 software (AB SCIEX, Foster City, CA, USA), Microsoft 2010 (Microsoft, Bellevue, DC, USA), and MedCalc Version 15.2.2 (MedCalc Software, Mariakerke, Belgium), respectively. Passing-Bablok regression and Bland-Altman analysis were adopted to analyze the agreement between the LC-MS3 and LC-MRM methods. The agreement was sufficient if the differences were within ±1.96 SD of the mean difference for ≥67% of the sample pairs [27,28]. Finally, the ATM plasma concentration was calculated based on the MRM and MS3 methods.

4. Conclusions

A simple, highly sensitive, selective, and high-throughput LC-MS3 assay was developed and validated in the present study for the quantitative analysis of AMT in the plasma of patients. The application of the LC-MS3 assay was tested on clinical samples and confirmed to be accurate and reliable; hence, it can be successfully applied in therapeutic drug monitoring. This work is a proof-of-concept for using the LC-MS3 technique for quantitative analysis of compounds in biological samples.

Supplementary Materials

The following supporting information can be downloaded at: https://www.mdpi.com/article/10.3390/molecules27217619/s1; Table S1 Concentrations of amantadine in 44 human plasma samples analyzed by LC-MRM and LC-MS3.

Author Contributions

Conceptualization, Q.S. and H.C.; methodology, H.C.; validation, Y.L. (Yanyan Li) and H.C.; investigation, Q.S.; writing—original draft preparation, Q.S.; writing—review and editing, Q.S., Y.L. (Yong Liu) and J.H.; visualization, J.H.; supervision, J.H.; funding acquisition, Q.S. and J.H. All authors have read and agreed to the published version of the manuscript.

Funding

This work is supported by the Project of Jilin Provincial Department of science and technology (Grant NO. 20200404167YY) and the First Hospital of Jilin University (grant number: JDYY2021-A0009).

Institutional Review Board Statement

The study is conducted in accordance with the Declaration of Helsinki and approved by the Institutional Review Board (or Ethics Committee) of the First Hospital of Jilin University (protocol code is 2021-522 and date of approval is 1 January 2021).

Informed Consent Statement

Informed consent was obtained from all subjects involved in the study.

Data Availability Statement

The data presented in this study are available upon request from the corresponding author.

Conflicts of Interest

The authors declare no conflict of interest.

Sample Availability

Samples of the compounds are available from the authors.

References

  1. Stiver, G. The treatment of influenza with antiviral drugs. CMAJ 2003, 168, 49–56. [Google Scholar] [PubMed]
  2. Leonov, H.; Astrahan, P.; Krugliak, M.; Arkin, I.T. How do aminoadamantanes block the influenza M2 channel, and how does resistance develop? J. Am. Chem. Soc. 2011, 133, 9903–9911. [Google Scholar] [CrossRef] [PubMed]
  3. Brigham, E.F.; Johnston, T.H.; Brown, C.; Holt, J.D.S.; Fox, S.H.; Hill, M.P.; Howson, P.A.; Brotchie, J.M.; Nguyen, J.T. Pharmacokinetic/Pharmacodynamic Correlation Analysis of Amantadine for Levodopa-Induced Dyskinesia. J. Pharmacol. Exp. Ther. 2018, 367, 373–381. [Google Scholar] [CrossRef] [PubMed]
  4. Wang, C.C.; Wu, T.L.; Lin, F.J.; Tai, C.H.; Lin, C.H.; Wu, R.M. Amantadine treatment and delayed onset of levodopa-induced dyski-nesia in patients with early Parkinson’s disease. Eur. J. Neurol. 2022, 29, 1044–1055. [Google Scholar] [CrossRef] [PubMed]
  5. Romrell, J.; Fernandez, H.H.; Okun, M.S. Rationale for current therapies in Parkinson’s disease. Expert. Opin. Pharmacother. 2003, 4, 1747–1761. [Google Scholar] [CrossRef]
  6. Deep, P.; Dagher, A.; Sadikot, A.; Gjedde, A.; Cumming, P. Stimulation of dopa decarboxylase activity in striatum of healthy human brain secondary to NMDA receptor antagonism with a low dose of amantadine. Synapse 1999, 34, 313–318. [Google Scholar] [CrossRef]
  7. Bleidner, W.E.; Harmon, J.B.; Hewes, W.E.; Lynes, T.E.; Hermann, E.C. Absorption, distribution and excretion of amantadine hydrochloride. J. Pharmacol. Exp. Ther. 1965, 150, 484–490. [Google Scholar]
  8. Aoki, F.Y.; Sitar, D.S. Clinical pharmacokinetics of amantadine hydrochloride. Clin. Pharmacokinet. 1988, 14, 35–51. [Google Scholar] [CrossRef]
  9. Horadam, V.W.; Sharp, J.G.; Smilack, J.D.; McAnalley, B.H.; Garriott, J.C.; Stephens, M.K.; Prati, R.C.; Brater, D.C. Pharmacokinetics of amantadine hydrochloride in subjects with normal and impaired renal function. Ann. Intern. Med. 1981, 94, 454–458. [Google Scholar] [CrossRef]
  10. deVries, T.; Dentiste, A.; Di Lea, C.; Pichette, V.; Jacobs, D. Effects of Renal Impairment on the Pharmacokinetics of Once-Daily Amantadine Extended-Release Tablets. CNS Drugs 2019, 33, 783–789. [Google Scholar] [CrossRef]
  11. Yu, W.; Zhang, T.; Ma, M.; Chen, C.; Liang, X.; Wen, K.; Wang, Z.; Shen, J. Highly sensitive visual detection of amantadine residues in poultry at the ppb level: A colorimetric immunoassay based on a Fenton reaction and gold nanoparticles aggregation. Anal. Chim. Acta. 2018, 1027, 130–136. [Google Scholar] [CrossRef]
  12. Xie, S.; Wen, K.; Wang, S.; Wang, J.; Peng, T.; Mari, G.M.; Li, J.; Wang, Z.; Yu, X.; Jiang, H. Quantitative and rapid detection of amantadine and chloramphenicol based on various quantum dots with the same excitations. Anal. Bioanal. Chem. 2019, 411, 2131–2140. [Google Scholar] [CrossRef]
  13. Puente, B.; Hernandez, E.; Perez, S.; Pablo, L.; Prieto, E.; Garcia, M.A.; Bregante, M.A. Determination of memantine in plasma and vitreous humour by HPLC with precolumn derivatization and fluorescence detection. J. Chromatogr. Sci. 2011, 49, 745–752. [Google Scholar] [CrossRef]
  14. Higashi, Y.; Uemori, I.; Fujii, Y. Simultaneous determination of amantadine and rimantadine by HPLC in rat plasma with pre-column derivatization and fluorescence detection for pharmacokinetic studies. Biomed. Chromatogr. 2005, 19, 655–662. [Google Scholar] [CrossRef]
  15. Michail, K.; Daabees, H.; Beltagy, Y.; Elkhalek, M.A.; Khamis, M. High-performance liquid chromatographic determination of memantine in human urine following solid-phase extraction and precolumn derivatization. J. AOAC Int. 2013, 96, 1302–1307. [Google Scholar] [CrossRef]
  16. Bhadoriya, A.; Rathnam, S.; Dasandi, B.; Parmar, D.; Sanyal, M.; Shrivastav, P.S. Sensitive and rapid determination of amantadine without derivatization in human plasma by LC-MS/MS for a bioequivalence study. J. Pharm. Anal. 2018, 8, 202–207. [Google Scholar] [CrossRef]
  17. Maksymiuk, A.W.; Tappia, P.S.; Bux, R.A.; Moyer, D.; Huang, G.; Joubert, P.; Miller, D.W.; Ramjiawan, B.; Sitar, D.S. Use of amantadine in the evaluation of response to chemotherapy in lung cancer: A pilot study. Future. Sci. OA 2021, 7, FSO679. [Google Scholar] [CrossRef]
  18. Jiang, J.G.; Zhang, X.R.; Zhang, Y.H.; Song, G.S. Rapid identification 15 effective components of anti common cold medicine with MRM by LC-MS/MS. Acta Pharm. Sin. 2013, 48, 94–97. [Google Scholar]
  19. Liu, Z.; Yang, F.; Yu, K.; Lin, Y.; Liu, S.; Zhang, Q.; Su, Z. Multi-residue determination of five antiviral drugs in chicken tissues by liquid chromatography-electrospray ionization tandem mass spectrometry. Chin. J. Chromatogr. 2012, 30, 1253–1259. [Google Scholar] [CrossRef]
  20. Yun, H.; Cui, F.; Yan, H.; Liu, X.; He, Y.; Zhang, Z. Determination of ribavirin and amantadine in chicken by ultra performance liquid chromatography-tandem mass spectrometry. Chin. J. Chromatogr. 2013, 31, 724–728. [Google Scholar] [CrossRef]
  21. Dziadosz, M.; Klintschar, M.; Teske, J. Imatinib quantification in human serum with LC-MS3 as an effective way of protein kinase inhibitor analysis in biological matrices. Drug Metab. Pers. Ther. 2017, 32, 147–150. [Google Scholar] [CrossRef] [PubMed]
  22. Sanda, M.; Pompach, P.; Benicky, J.; Goldman, R. LC-MS3 quantification of O-glycopeptides in human serum. Electrophoresis 2013, 34, 2342–2349. [Google Scholar] [CrossRef] [PubMed]
  23. Kobayashi, H.; Imai, K. Recent Progress in FD-LC-MS/MS Proteomics Method. Front. Chem. 2021, 9, 640336. [Google Scholar] [CrossRef] [PubMed]
  24. Seger, C.; Salzmann, L. After another decade: LC-MS/MS became routine in clinical diagnostics. Clin. Biochem. 2020, 82, 2–11. [Google Scholar] [CrossRef]
  25. Okhina, A.A.; Rogachev, A.D.; Yarovaya, O.I.; Khvostov, M.V.; Tolstikova, T.G.; Pokrovsky, A.G.; Khazanov, V.A.; Salakhutdinov, N.F. Development and validation of an LC-MS/MS method for the quantitative analysis of the anti-influenza agent camphecene in rat plasma and its application to study the blood-to-plasma distribution of the agent. J. Pharm. Biomed. Anal. 2020, 180, 113039. [Google Scholar] [CrossRef]
  26. Arndt, T.; Guessregen, B.; Hohl, A.; Reis, J. Determination of serum amantadine by liquid chromatography-tandem mass spectrometry. Clin. Chim. Acta. 2005, 359, 125–131. [Google Scholar] [CrossRef]
  27. van Nuland, M.; Rosing, H.; Schellens, J.H.M.; Beijnen, J.H. Bioanalytical LC-MS/MS validation of therapeutic drug monitoring assays in oncology. Biomed. Chromatogr. 2020, 34, e4623. [Google Scholar] [CrossRef]
  28. Van Eeckhaut, A.; Lanckmans, K.; Sarre, S.; Smolders, I.; Michotte, Y. Validation of bioanalytical LC-MS/MS assays: Evaluation of matrix effects. J. Chromatogr. B Analyt. Technol. Biomed. Life Sci. 2009, 877, 2198–2207. [Google Scholar] [CrossRef]
Figure 1. Chemical structure of Amantadine (A) and Amantadine-d15 (B).
Figure 1. Chemical structure of Amantadine (A) and Amantadine-d15 (B).
Molecules 27 07619 g001
Figure 2. Product ion (MS2) and second-generation product ion (MS3) scans, respectively, for (AI) and (AII) AMT and (BI) and (BII) AMT-d15.
Figure 2. Product ion (MS2) and second-generation product ion (MS3) scans, respectively, for (AI) and (AII) AMT and (BI) and (BII) AMT-d15.
Molecules 27 07619 g002
Figure 3. Representative LC-MS3 chromatograms of (I) AMT and (II) IS in (A) blank human plasma, (B) blank human plasma spiked with AMT at LLOQ (50 ng/mL) and IS (400 ng/mL), (C) actual plasma sample after oral administration of AMT.
Figure 3. Representative LC-MS3 chromatograms of (I) AMT and (II) IS in (A) blank human plasma, (B) blank human plasma spiked with AMT at LLOQ (50 ng/mL) and IS (400 ng/mL), (C) actual plasma sample after oral administration of AMT.
Molecules 27 07619 g003
Figure 4. Representative chromatograms of AMT at the LLOQ (50 ng/mL) analyzed by (A) LC-MRM and (B) LC-MS3.
Figure 4. Representative chromatograms of AMT at the LLOQ (50 ng/mL) analyzed by (A) LC-MRM and (B) LC-MS3.
Molecules 27 07619 g004
Figure 5. Comparison of the LC-MRM and LC-MS3 methods. (A) Passing-Bablok correlation plots of the concentration of AMT from clinical patients. The solid black lines indicate the Passing-Bablok regression. (B) Bland-Altman analysis verifies the difference in AMT concentration measured using the LC-MRM and the LC-MS3 in 44 human plasma samples.
Figure 5. Comparison of the LC-MRM and LC-MS3 methods. (A) Passing-Bablok correlation plots of the concentration of AMT from clinical patients. The solid black lines indicate the Passing-Bablok regression. (B) Bland-Altman analysis verifies the difference in AMT concentration measured using the LC-MRM and the LC-MS3 in 44 human plasma samples.
Molecules 27 07619 g005
Table 1. Optimized parameters for the quantitation of AMT using LC-MS3.
Table 1. Optimized parameters for the quantitation of AMT using LC-MS3.
ParametersMS3
AmantadineAmantadine-d15(IS)
MS3 transitions152.2→135.3→107.4167.0→150.3→118.1
Declustering potential (V)4343
Entrance potential (V)1010
Collision energy (eV)2525
Excitation energy (AF2) (V)0.10.1
Scan rate (Da/s)10,00010,000
LIT fill time (ms)8080
Excitation time (ms)2525
Turboheater temperature (°C)450450
Ionspray voltage (V)55005500
Curtain gas (N2,psi)1515
Nebulizer gas (N2,psi)5050
Heater gas (N2,psi)5050
Table 2. Precision and accuracy for AMT in human plasma.
Table 2. Precision and accuracy for AMT in human plasma.
CompoundSpiked Concentration
(ng/mL)
Intra-Day (n = 6)Inter-Day (n = 18)
Accuracy (%)Precision (CV, %)Accuracy (%)Precision (CV, %)
AMT5090.4 ± 9.510.694.5 ± 10.110.7
15093.9 ± 5.05.394.0 ± 7.88.3
60099.6 ± 4.04.1102.4 ± 2.82.7
120097.1 ± 4.24.398.5 ± 4.54.5
Table 3. Extraction recoveries and matrix effects of AMT in human plasma (n= 6).
Table 3. Extraction recoveries and matrix effects of AMT in human plasma (n= 6).
CompoundSpiked Concentration
(ng/mL)
Recovery (%)Matrix Effect (%)
AverageCVAverageCV
AMT15097.5 ± 10.510.7100.8 ± 6.66.5
60098.2 ± 7.67.799.0 ± 8.88.9
120097.2 ± 3.63.7102.9 ± 4.94.0
Table 4. Stability of AMT in plasma and processed samples under various storage conditions (n = 3).
Table 4. Stability of AMT in plasma and processed samples under various storage conditions (n = 3).
CompoundSpiked Concentration
(ng/mL)
Bench-Top
(3 h, RT)
Processed Auto-Sampler (24 h, RT)Freeze-Thaw
(−20 °C)
Long-Term
(4 W, −80 °C)
AMT15090.7 ± 6.7104.3 ± 3.5104.3 ± 5.8106.1 ± 3.8
120093.6 ± 7.991.7 ± 4.397.5 ± 1.799.5 ± 4.9
Abbreviation: RT, room temperature.
Publisher’s Note: MDPI stays neutral with regard to jurisdictional claims in published maps and institutional affiliations.

Share and Cite

MDPI and ACS Style

Sun, Q.; Cao, H.; Liu, Y.; Li, Y.; Huang, J. Comparison of LC-MS3 and LC-MRM Methods for Quantifying Amantadine and Its Application in Therapeutic Amantadine Monitoring in Human Plasma. Molecules 2022, 27, 7619. https://doi.org/10.3390/molecules27217619

AMA Style

Sun Q, Cao H, Liu Y, Li Y, Huang J. Comparison of LC-MS3 and LC-MRM Methods for Quantifying Amantadine and Its Application in Therapeutic Amantadine Monitoring in Human Plasma. Molecules. 2022; 27(21):7619. https://doi.org/10.3390/molecules27217619

Chicago/Turabian Style

Sun, Qiang, Haiwei Cao, Yong Liu, Yanyan Li, and Jing Huang. 2022. "Comparison of LC-MS3 and LC-MRM Methods for Quantifying Amantadine and Its Application in Therapeutic Amantadine Monitoring in Human Plasma" Molecules 27, no. 21: 7619. https://doi.org/10.3390/molecules27217619

APA Style

Sun, Q., Cao, H., Liu, Y., Li, Y., & Huang, J. (2022). Comparison of LC-MS3 and LC-MRM Methods for Quantifying Amantadine and Its Application in Therapeutic Amantadine Monitoring in Human Plasma. Molecules, 27(21), 7619. https://doi.org/10.3390/molecules27217619

Article Metrics

Back to TopTop