Investigations of the Polycyclic Aromatic Hydrocarbon and Elemental Profile of Smoked Fish
Abstract
1. Introduction
2. Materials and Methods
2.1. Materials
2.2. Smoking Process
2.3. Proximate Composition of Fish
2.4. Determination of Water Holding Capacity, Process Yield and pH Measurement
2.5. Determination of Polycyclic Aromatic Hydrocarbons (PAH)s
2.6. Elemental Profile Analysis
2.7. Health Risk Assessment of PAHs and Trace Elements
2.8. Statistical Analysis
3. Results and Discussion
3.1. Proximate Composition Differences among Raw and Smoked Fish Samples
3.2. pH, Processing Yield and Water Holding Capacity
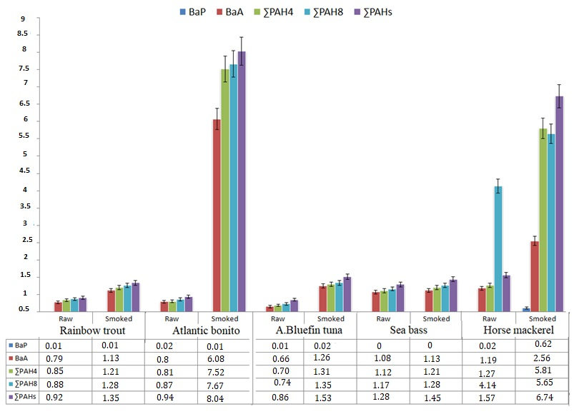
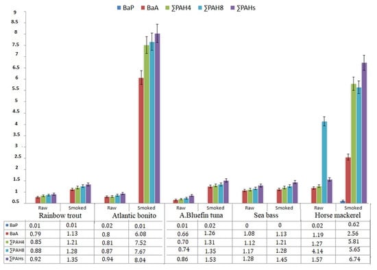
3.3. The Concentrations of Polycyclic Aromatic Hydrocarbons (PAHS) in Raw and Smoked Fish
3.4. Elemental Profile of Raw and Smoked Fish Samples
3.5. Health Risk Assessment
4. Conclusions
Supplementary Materials
Funding
Institutional Review Board Statement
Informed Consent Statement
Data Availability Statement
Acknowledgments
Conflicts of Interest
Sample Availability
References
- Yemmen, C.; Gargouri, M. Potential hazards associated with the consumption of Scombridae fish: Infection and toxicity from raw material and processing. J. Appl. Microbiol. 2022, 132, 4077–4096. [Google Scholar] [CrossRef] [PubMed]
- Kheiri, A.; Aliakbarlu, J.; Tahmasebi, R. Antioxidant potential and fatty acid profile of fish fillet: Effects of season and fish species. Vet. Res. Forum Int. Q. J. 2022, 13, 91–99. [Google Scholar] [CrossRef]
- Abraha, B.; Admassu, H.; Mahmud, A.; Tsighe, N.; Shui, X.W.; Fang, Y. Effect of processing methods on nutritional and physico-chemical composition of fish: A review. Food Process. Technol. 2018, 6, 376–382. [Google Scholar] [CrossRef]
- Anastasio, A.; Marrone, R.; Chirollo, C.; Smaldone, G.; Attouchi, M.; Adamo, P.; Sadok, S.P.T. Swordfish steaks vacuum-packed with Rosmarinus officinalis. Ital. J. Food Sci. 2014, 26, 390–397. [Google Scholar]
- Baten, M.; Won, N.E.; Sohn, J.H.; Kim, J.S.; Mohibbullah, M.; Choi, J.S. Improvement of sensorial, physicochemical, microbiological, nutritional and fatty acid attributes and shelf life extension of hot smoked half-dried Pacific saury (Cololabis saira). Foods 2020, 9, 1009. [Google Scholar] [CrossRef]
- Rasheed, R.O. Seasonal Variations of Polycyclic Aromatic Hydrocarbons in the Muscle Tissue of Silurus triostegus Heckel, 1843 from Derbendikhan Reservoir. Polycycl. Aromat. Compd. 2022, 1–8. [Google Scholar] [CrossRef]
- Adeyeye, S.A.O.; Oyewole, O.B.; Obadina, O.; Adeniran, O.E.; Oyedele, H.A.; Olugbile, A.; Omemu, A.M. Effect of smoking methods on microbial safety, polycyclic aromatic hydrocarbon, and heavy metal concentrations of traditional smoked fish from Lagos State, Nigeria. J. Culin. Sci. Technol. 2016, 14, 91–106. [Google Scholar] [CrossRef]
- Grigoriou, C.; Costopoulou, D.; Vassiliadou, I.; Karavoltsos, S.; Sakellari, A.; Bakeas, E.; Leondiadis, L. Polycyclic aromatic hydrocarbons and trace elements dietary intake in inhabitants of Athens, Greece, based on a duplicate portion study. Food Chem. Toxicol. 2022, 165, 113087. [Google Scholar] [CrossRef]
- Adeyeye, S.A.O. Assessment of Polycyclic Aromatic Hydrocarbon Concentrations and Heavy Metal Profile of Traditional Drum-Smoked and Convective Kiln-Smoked Bonga Shad and Nigerian Tongue Sole. Polycycl. Aromat. Compd. 2021, 41, 2210–2220. [Google Scholar] [CrossRef]
- Douny, C.; Mith, H.; Igout, A.; Scippo, M.-L. Fatty acid intake, biogenic amines and polycyclic aromatic hydrocarbons exposure through the consumption of nine species of smoked freshwater fish from Cambodia. Food Control 2021, 130, 108219. [Google Scholar] [CrossRef]
- Dimbarre Lao Guimarães, I.; Casanova Monteiro, F.; Vianna da Anunciação de Pinho, J.; de Almeida Rodrigues, P.; Gomes Ferrari, R.; Adam Conte-Junior, C. Polycyclic aromatic hydrocarbons in aquatic animals: A systematic review on analytical advances and challenges. J. Environ. Sci. Health Part A 2022, 57, 198–217. [Google Scholar] [CrossRef]
- Adeniji, A.O.; Okoh, O.O.; Okoh, A.I. Analytical Methods for Polycyclic Aromatic Hydrocarbons and their Global Trend of Distribution in Water and Sediment: A Review. In Recent Insights in Petroleum Science and Engineering; Intech: London, UK, 2018. [Google Scholar]
- Bertoz, V.; Purcaro, G.; Conchione, C.; Moret, S. A Review on the Occurrence and Analytical Determination of PAHs in Olive Oils. Foods 2021, 10, 324. [Google Scholar] [CrossRef] [PubMed]
- Iko Afé, O.H.; Kpoclou, Y.E.; Douny, C.; Anihouvi, V.B.; Igout, A.; Mahillon, J.; Hounhouigan, D.J.; Scippo, M.-L. Chemical hazards in smoked meat and fish. Food Sci. Nutr. 2021, 9, 6903–6922. [Google Scholar] [CrossRef] [PubMed]
- Cappello, T.; Giannetto, A.; Parrino, V.; de Marco, G.; Mauceri, A.; Maisano, M. Food safety using NMR-based metabolomics: Assessment of the Atlantic bluefin tuna, Thunnus thynnus, from the Mediterranean Sea. Food Chem. Toxicol. 2018, 115, 391–397. [Google Scholar] [CrossRef] [PubMed]
- Lambiase, S.; Ariano, A.; Serpe, F.P.; Scivicco, M.; Velotto, S.; Esposito, M.; Severino, L. Polycyclic aromatic hydrocarbons (PAHs), arsenic, chromium and lead in warty crab (Eriphia verrucosa): Occurrence and risk assessment. Environ. Sci. Pollut. Res. 2021, 28, 35305–35315. [Google Scholar] [CrossRef]
- Hokkanen, M.; Luhtasela, U.; Kostamo, P.; Ritvanen, T.; Peltonen, K.; Jestoi, M. Critical Effects of Smoking Parameters on the Levels of Polycyclic Aromatic Hydrocarbons in Traditionally Smoked Fish and Meat Products in Finland. J. Chem. 2018, 2018, 2160958. [Google Scholar] [CrossRef]
- Ariano, A.; Marrone, R.; Andreini, R.; Smaldone, G.; Velotto, S.; Montagnaro, S.; Anastasio, A.; Severino, L. Metal Concentration in Muscle and Digestive Gland of Common Octopus (Octopus vulgaris) from Two Coastal Site in Southern Tyrrhenian Sea (Italy). Molecules 2019, 24, 2401. [Google Scholar] [CrossRef] [PubMed]
- Sahin, S.; Ulusoy, H.I.; Alemdar, S.; Erdogan, S.; Agaoglu, S. The Presence of Polycyclic Aromatic Hydrocarbons (PAHs) in Grilled Beef, Chicken and Fish by Considering Dietary Exposure and Risk Assessment. Food Sci. Anim. Resour. 2020, 40, 675–688. [Google Scholar] [CrossRef]
- Yabanlı, M.; Şener, İ.; Yozukmaz, A.; Öner, S.; Yapıcı, H.H. Heavy metals in processed seafood products from Turkey: Risk assessment for the consumers. Environ. Sci. Pollut. Res. 2021, 28, 53171–53180. [Google Scholar] [CrossRef]
- AOAC. Official Methods of Analysis, 15th ed.; Association of Official Analysis Chemists: Washington DC, USA, 1990. [Google Scholar]
- Bligh, E.G.; Dyer, W.J. A rapid method of total lipid extraction and purification. Biochem. Physiol. 1959, 37, 911–917. [Google Scholar]
- AOAC. Official Methods of Analysis, 20th ed.; AOAC International: Gaithersburg, MD, USA, 2000. [Google Scholar]
- Santos, J.M.; Contel, E.P.B.; Kerr, W.E. Biologia de anofelinos amazônicos. 1-Ciclo biológico, postura e estádios larvais de Anopheles darlingi Root 1926 (Diptera: Culicidae) da Rodovia Manaus-Boa Vista. Acta Amaz. 1981, 11, 789–797. [Google Scholar] [CrossRef][Green Version]
- Messina, C.M.; Bono, G.; Arena, R.; Randazzo, M.; Morghese, M.; Manuguerra, S.; La Barbera, L.; Ozogul, F.; Sadok, S.; Santulli, A. The combined impact of cold smoking and natural antioxidants on quality and shelf life of dolphinfish (Coryphaena hippurus) fillets. Food Sci. Nutr. 2019, 7, 1239–1250. [Google Scholar] [CrossRef] [PubMed]
- Zhou, P.; Dong, S.; Zeng, M. Formation of N (ε)-Carboxymethyl-Lysine and N (ε)-Carboxyethyl-Lysine in Pacific Oyster (Crassostrea gigas) Induced by Thermal Processing Methods. Front. Nutr. 2022, 9, 883789. [Google Scholar] [CrossRef] [PubMed]
- Coleto, J.M.; Martín, A.; Horrillo, A.; Mesías, F.J.; Velázquez, R. An Approach to the Consumption of Smoked Paprika in Spain and Its Impact on the Intake of Polycyclic Aromatic Hydrocarbons. Foods 2021, 10, 973. [Google Scholar] [CrossRef]
- Ulusoy, Ş.; Mol, S. Trace elements in seabass, farmed by Turkey, and health risks to the main consumers: Turkish and Dutch populations. Environ. Monit. Assess. 2022, 194, 224. [Google Scholar] [CrossRef]
- Nisbet, I.C.T.; LaGoy, P.K. Toxic equivalency factors (TEFs) for polycyclic aromatic hydrocarbons (PAHs). Regul. Toxicol. Pharmacol. 1992, 16, 290–300. [Google Scholar] [CrossRef]
- Brodberg, R.; Klasing, S. Evaluation of Potential Health Effects of Eating Fish from Black Butte Reservoir (Glenn and Tehama Counties): Guidelines for Port Fish Consumption; Pesticide and Environmental Toxicology Section Office of Environmental Protection Agency: Washington, DC, USA, 2003.
- Chien, L.-C.; Hung, T.-C.; Choang, K.-Y.; Yeh, C.-Y.; Meng, P.-J.; Shieh, M.-J.; Han, B.-C. Daily intake of TBT, Cu, Zn, Cd and As for fishermen in Taiwan. Sci. Total Environ. 2002, 285, 177–185. [Google Scholar] [CrossRef]
- USEPA (United States Environmental Protection Agency). EPA Region III Risk-Based Concentration (RBC) Table; USEPA (United States Environmental Protection Agency): Washington, DC, USA, 2008.
- Pateiro, M.; Munekata, P.E.S.; Domínguez, R.; Wang, M.; Barba, F.J.; Bermúdez, R.; Lorenzo, J.M. Nutritional Profiling and the Value of Processing By-Products from Gilthead Sea Bream (Sparus aurata). Mar. Drugs 2020, 18, 101. [Google Scholar] [CrossRef] [PubMed]
- Kiczorowska, B.; Samolińska, W.; Grela, E.R.; Bik-Małodzińska, M. Nutrient and Mineral Profile of Chosen Fresh and Smoked Fish. Nutrients 2019, 11, 1448. [Google Scholar] [CrossRef]
- Mielcarek, K.; Puścion-Jakubik, A.; Gromkowska-Kępka, K.J.; Soroczyńska, J.; Naliwajko, S.K.; Markiewicz-Żukowska, R.; Moskwa, J.; Nowakowski, P.; Borawska, M.H.; Socha, K. Proximal Composition and Nutritive Value of Raw, Smoked and Pickled Freshwater Fish. Foods 2020, 9, 1879. [Google Scholar] [CrossRef] [PubMed]
- Yazgan, H.; Ozogul, Y.; Durmuş, M.; Balikçi, E.; Gökdoğan, S.; Uçar, Y.; Aksun, E.T. Effects of Oil-in-Water Nanoemulsion Based on Sunflower Oil on the Quality of Farmed Sea Bass and Gilthead Sea Bream Stored at Chilled Temperature (2 ± 2°C). J. Aquat. Food Prod. Technol. 2017, 26, 979–992. [Google Scholar] [CrossRef]
- Malesa-Ciećwierz, M.; Szulecka, O.; Adamczyk, M. Polycyclic aromatic hydrocarbon contamination of Polish smoked fish: Assessment of dietary exposure. J. Food Processing Preserv. 2019, 43, e13962. [Google Scholar] [CrossRef]
- Koral, S.; Köse, S.; Tufan, B. The Effect of Storage Temperature on the Chemical and Sensorial Quality of Hot Smoked Atlantic Bonito (Sarda sarda, Bloch, 1838) Packed in Aluminium Foil. Turk. J. Fish. Aquat. Sci. 2010, 10, 439–443. [Google Scholar] [CrossRef]
- Karimian-Khosroshahi, N.; Hosseini, H.; Rezaei, M.; Khaksar, R.; Mahmoudzadeh, M. Effect of Different Cooking Methods on Minerals, Vitamins, and Nutritional Quality Indices of Rainbow Trout (Oncorhynchus mykiss). Int. J. Food Prop. 2016, 19, 2471–2480. [Google Scholar] [CrossRef]
- Fuentes, A.; Fernández-Segovia, I.; Serra, J.A.; Barat, J.M. Effect of partial sodium replacement on physicochemical parameters of smoked sea bass during storage. Food Sci. Technol. Int. 2012, 18, 207–217. [Google Scholar] [CrossRef] [PubMed]
- Emir Çoban, Ö.; Patir, B.; Yilmaz, Ö. Protective effect of essential oils on the shelf life of smoked and vacuum packed rainbow trout (Oncorhynchus mykiss W.1792) fillets. J. Food Sci. Technol. 2014, 51, 2741–2747. [Google Scholar] [CrossRef] [PubMed]
- Cardinal, M.; Knockaert, C.; Torrissen, O.; Sigurgisladottir, S.; Mørkøre, T.; Thomassen, M.; Luc Vallet, J. Relation of smoking parameters to the yield, colour and sensory quality of smoked Atlantic salmon (Salmo salar). Food Res. Int. 2001, 34, 537–550. [Google Scholar] [CrossRef]
- Rybicka, I.; Silva, M.; Gonçalves, A.; Oliveira, H.; Marques, A.; Fernandes, M.J.; Fernandes, M.H.; Alfaia, C.M.; Fraqueza, M.J.; Nunes, M.L. The Development of Smoked Mackerel with Reduced Sodium Content. Foods 2022, 11, 349. [Google Scholar] [CrossRef] [PubMed]
- Lerfall, J.; Hoel, S. Effects of salting technology and smoking protocol on yield and quality of hot-smoked Atlantic salmon (Salmo salar L.). J. Food Processing Preserv. 2021, 45, e15064. [Google Scholar] [CrossRef]
- Kaplan Ince, O.; Ince, M. Using Box–Behnken design approach to investigate benzo[a]anthracene formation in smoked cattle meat samples and its’ risk assessment. J. Food Sci. Technol. 2019, 56, 1287–1294. [Google Scholar] [CrossRef] [PubMed]
- Duedahl-Olesen, L.; Christensen, J.H.; Højgård, A.; Granby, K.; Timm-Heinrich, M. Influence of smoking parameters on the concentration of polycyclic aromatic hydrocarbons (PAHs) in Danish smoked fish. Food Addit. Contam. Part A 2010, 27, 1294–1305. [Google Scholar] [CrossRef] [PubMed]
- EFSA. Scientifc opinion of the panel on contaminants in the food chain on a request from the European Commission on polycyclic aromatic hydrocarbons in food. EFSA J. 2008, 724, 1–114. [Google Scholar]
- Tiwo, C.T.; Tchoumbougnang, F.; Nganou, E.; Kumar, P.; Nayak, B. Effect of different smoking processes on the nutritional and polycyclic aromatic hydrocarbons composition of smoked Clarias gariepinus and Cyprinus carpio. Food Sci. Nutr. 2019, 7, 2412–2418. [Google Scholar] [CrossRef]
- Adeyeye, S.A.O.; Ashaolu, T.J. A Study on Polycyclic Aromatic Hydrocarbon and Heavy Metal Concentrations of Commercial Grilled Meat (Suya) and Smoked Catfish (Clarias gariepinus Burchell, 1822) Fish from South-West, Nigeria. Polycycl. Aromat. Compd. 2022, 42, 3281–3290. [Google Scholar] [CrossRef]
- Mojiri, A.; Zhou, J.L.; Ohashi, A.; Ozaki, N.; Kindaichi, T. Comprehensive review of polycyclic aromatic hydrocarbons in water sources, their effects and treatments. Sci. Total Environ. 2019, 696, 133971. [Google Scholar] [CrossRef] [PubMed]
- Töre, Y.; Ustaoğlu, F.; Tepe, Y.; Kalipci, E. Levels of toxic metals in edible fish species of the Tigris River (Turkey); Threat to public health. Ecol. Indic. 2021, 123, 107361. [Google Scholar] [CrossRef]
- Djedjibegovic, J.; Marjanovic, A.; Tahirovic, D.; Caklovica, K.; Turalic, A.; Lugusic, A.; Omeragic, E.; Sober, M.; Caklovica, F. Heavy metals in commercial fish and seafood products and risk assessment in adult population in Bosnia and Herzegovina. Sci. Rep. 2020, 10, 13238. [Google Scholar] [CrossRef] [PubMed]
- Saleem, M.; Iqbal, J.; Shi, Z.; Garrett, S.H.; Shah, M.H. Distribution and Bioaccumulation of Essential and Toxic Metals in Tissues of Thaila (Catla catla) from a Natural Lake, Pakistan and Its Possible Health Impact on Consumers. J. Mar. Sci. Eng. 2022, 10, 933. [Google Scholar] [CrossRef]
- Liao, W.; Wang, G.; Zhao, W.; Zhang, M.; Wu, Y.; Liu, X.; Li, K. Change in mercury speciation in seafood after cooking and gastrointestinal digestion. J. Hazard. Mater. 2019, 375, 130–137. [Google Scholar] [CrossRef] [PubMed]
- Şireli, U.T.; Göncüoğlu, M.; Yildirim, Y.; Gücükoğlu, A.; Çakmak, Ö. Assessment of Heavy Metals (Cadmium and Lead) in Vacuum Packaged Smoked Fish Species (Mackerel, Salmo salar and Oncorhynhus mykiss) Marketed in Ankara (Turkey). Ege J. Fish. Aquat. Sci. 2006, 23, 353–356. [Google Scholar]
- Anigboro, F.O.; Akpoveta, O.V.; Aweatefe, K.J. Determination of concentration levels of heavy metals in different species of smoked fishes from three markets in Agbor, Delta state, Nigeria. Agbor J. Sci. Educ. 2011, 4, 81–88. [Google Scholar]
- Abbas, M.M.M.; Shehata, S.M.; Talab, A.S.; Mohamed, M.H. Effect of Traditional Processing Methods on the Cultivated Fish Species, Egypt. Part I. Mineral and Heavy Metal Concentrations. Biol. Trace Elem. Res. 2022, 200, 2391–2405. [Google Scholar] [CrossRef]
- Varol, M.; Sünbül, M.R. Multiple approaches to assess human health risks from carcinogenic and non-carcinogenic metals via consumption of five fish species from a large reservoir in Turkey. Sci. Total Environ. 2018, 633, 684–694. [Google Scholar] [CrossRef] [PubMed]
- Nasyitah Sobihah, N.; Ahmad Zaharin, A.; Khairul Nizam, M.; Ley Juen, L.; Kyoung-Woong, K. Bioaccumulation of heavy metals in maricultured fish, Lates calcarifer (Barramudi), Lutjanus campechanus (red snapper) and Lutjanus griseus (grey snapper). Chemosphere 2018, 197, 318–324. [Google Scholar] [CrossRef] [PubMed]
- Bibak, M.; Tahmasebi, S.; Sattari, M.; Kafaei, R.; Ramavandi, B. Empirical cumulative entropy as a new trace elements indicator to determine the relationship between algae-sediment pollution in the Persian Gulf, southern Iran. Environ. Sci. Pollut. Res. 2021, 28, 4634–4644. [Google Scholar] [CrossRef]
- Canli, M.; Atli, G. The relationships between heavy metal (Cd, Cr, Cu, Fe, Pb, Zn) levels and the size of six Mediterranean fish species. Environ. Pollut. 2003, 121, 129–136. [Google Scholar] [CrossRef]
- Nölle, N.; Genschick, S.; Schwadorf, K.; Hrenn, H.; Brandner, S.; Biesalski, H.K. Fish as a source of (micro)nutrients to combat hidden hunger in Zambia. Food Secur. 2020, 12, 1385–1406. [Google Scholar] [CrossRef]
- Olukayode Amos, S.; Paulina, I. Assessment of smoked fish quality using two smoking Kilns and hybrid solar dryer on some commercial fish species in Yola, Nigeri. J. Anim. Res. Nutr. 2017, 2, 6. [Google Scholar] [CrossRef][Green Version]
- Hashemi, M.; Sadeghi, A.; Dankob, M.; Aminzare, M.; Raeisi, M.; Heidarian Miri, H.; Saghi, M. The impact of strain and feed intake on egg toxic trace elements deposition in laying hens and its health risk assessment. Environ. Monit. Assess. 2018, 190, 540. [Google Scholar] [CrossRef]
- Codex, T.F. Turkish food codex communiqué on determining the maximum levels of certain contaminants in foodstuffs. Off. Gaz. 2008, 17, 26879. [Google Scholar]
- Moslen, M.; Miebaka, C.A.; Boisa, N. Bioaccumulation of Polycyclic Aromatic Hydrocarbon (PAH) in a bivalve (Arca senilis- blood cockles) and health risk assessment. Toxicol. Rep. 2019, 6, 990–997. [Google Scholar] [CrossRef] [PubMed]
- Erhunmwunse, N.O.; Ekaye, S.A. Carcinogenic and Genotoxicity of some PAHs in commonly consumed smoked fish (Parachanna obscura and Ethmalosa fimbriata). J. Appl. Sci. Environ. Manag. 2019, 23, 1349–1352. [Google Scholar] [CrossRef][Green Version]
- EFSA. Scientific Opinion Statement Ion Tolerable Weekly Intake for Cadmium. EFSA J. 2011, 9, 1975. [Google Scholar]
- World Health Organization. Summary and Conclusion of the 61st Meeting of the Joint FOA/WHO Expert Committee on Food Additives; Joint FAO/WHO Expert Committee on Food Additives: Rome, Italy, 2003. [Google Scholar]
- Mielcarek, K.; Nowakowski, P.; Puścion-Jakubik, A.; Gromkowska-Kępka, K.J.; Soroczyńska, J.; Markiewicz-Żukowska, R.; Naliwajko, S.K.; Grabia, M.; Bielecka, J.; Żmudzińska, A.; et al. Arsenic, cadmium, lead and mercury content and health risk assessment of consuming freshwater fish with elements of chemometric analysis. Food Chem. 2022, 379, 132167. [Google Scholar] [CrossRef] [PubMed]
- Çulha, S.T.; Yabanlı, M.; Baki, B.; Yozukmaz, A. Heavy metals in tissues of scorpionfish (Scorpaena porcus) caught from Black Sea (Turkey) and potential risks to human health. Environ. Sci. Pollut. Res. 2016, 23, 20882–20892. [Google Scholar] [CrossRef] [PubMed]


| Fish Species | Condition | Crude Protein | Total Lipid | Moisture | Ash |
|---|---|---|---|---|---|
| Rainbow trout | Raw | 22.9 ± 0.12 c | 4.5 ± 0.11 a | 74.8 ± 2.32 c | 4.2 ± 0.14 c |
| Smoked | 23.7 ± 0.21 B | 3.6 ± 0.13 A | 72.5 ± 1.45 D | 4.7 ± 0.12 C | |
| Atlantic bonito | Raw | 14.3 ± 1.25 a | 17.8 ± 0.14 c | 68.2 ± 1.22 b | 1.8 ± 0.09 ab |
| Smoked | 16.3 ± 1.10 A | 15.1 ± 1.22 C | 64.2 ± 2.21 B | 3.1 ± 0.24 B | |
| Atlantic bluefin tuna | Raw | 21.9 ± 1.14 c | 10.7 ± 0.14 b | 63.9 ± 1.45 a | 2.1 ± 0.06 b |
| Smoked | 21.6 ± 0.89 B | 9.9 ± 1.12 B | 62.5 ± 2.14 B | 1.7 ± 0.14 A | |
| Sea bass | Raw | 19.8 ± 1.12 b | 4.2 ± 0.44 a | 69.2 ± 1.45 b | 1.3 ± 0.21 a |
| Smoked | 23.9 ± 1.02 B | 3.5 ± 0.61 A | 68.4 ± 2.14 C | 2.9 ± 0.16 B | |
| Horse mackerel | Raw | 15.7 ± 1.41 a | 25.4 ± 1.14 d | 53.4 ± 1.16 a | 1.5 ± 0.05 a |
| Smoked | 17.2 ± 1.05 A | 23.9 ± 1.58 D | 53.5 ± 1.74 A | 1.7 ± 0.07 A |
| Fish Species | Condition | pH | WHC (%) | Process Yield (%) |
|---|---|---|---|---|
| Rainbow trout | Raw | 5.8 ± 0.06 a | 83.71 ± 1.87 b | 71.4 ± 0.06 2 |
| Smoked | 5.3 ± 0.01 A | 87.96 ± 1.83 A | ||
| Atlantic bonito | Raw | 5.8 ± 0.04 a | 89.54 ± 2.16 c | 88.5 ± 0.79 4 |
| Smoked | 5.4 ± 0.02 A | 92.55 ± 3.15 B | ||
| Atlantic bluefin tuna | Raw | 6.8 ± 0.06 c | 81.45 ± 2.55 a | 84.6 ± 1.15 3 |
| Smoked | 6.3 ± 0.07 B | 88.57 ± 3.14 A | ||
| Sea bass | Raw | 6.2 ± 0.04 b | 83.40 ± 2.60 b | 71.1 ± 0.95 1 |
| Smoked | 6.0 ± 0.02 A | 93.42 ± 5.17 B | ||
| Horse mackerel | Raw | 6.4 ± 0.04 b | 84.61 ± 3.14 b | 90.2 ± 1.89 5 |
| Smoked | 6.1 ± 0.06 A | 91.45 ± 2.13 B |
| Rainbow Trout | Atlantic Bonito | Atlantic Bluefin Tuna | Sea Bass | Horse Mackerel | ||||||
|---|---|---|---|---|---|---|---|---|---|---|
| Raw | Smoked | Raw | Smoked | Raw | Smoked | Raw | Smoked | Raw | Smoked | |
| Naphthalene | 0.01 ± 0.00 a | 0.03 ± 0.01 | 0.01 ± 0.00 a | 0.06 ± 0.02 | Nd | Nd | Nd | 0.04 ± 0.02 | 0.02 ± 0.00 a | 0.04 ± 0.02 |
| Acenaphthylene | 0.01 ± 0.00 a | 0.02 ± 0.01 A | Nd | 0.04 ± 0.01 A | Nd | Nd | 0.03 ± 0.01 b | 0.03 ± 0.01 A | 0.01 ± 0.00 a | 0.08 ± 0.02 B |
| 1.2-Benzanthracene | Nd | Nd | Nd | 0.02 ± 0.00 A | Nd | Nd | Nd | Nd | 0.01 ± 0.00 | 0.04 ± 0.01 B |
| Acenaphthene | Nd | Nd | 0.01 ± 0.00 a | 0.08 ± 0.00 C | 0.04 ± 0.01 b | 0.06 ± 0.02 B | 0.01 ± 0.0 a | 0.02 ± 0.00 A | 0.02 ± 0.0 a | 0.06 ± 0.01 B |
| Benzo[k]fluoranthene | Nd | Nd | 0.01 ± 0.00 a | 0.01 ± 0.00 A | 0.02 ± 0.01 b | 0.03 ± 0.01 B | 0.02 ± 0.00 b | 0.02 ± 0.01 B | Nd | 0.10 ± 0.0 C |
| Phenanthrene | Nd | Nd | 0.01 ± 0.00 a | 0.06 ± 0.02 B | 0.04 ± 0.01 b | 0.04 ± 0.01 A | 0.02 ± 0.01 a | 0.01 ± 0.00 A | Nd | 0.12 ± 0.0 B |
| Anthracene | 0.02 ± 0.01 a | 0.04 ± 0.02 B | 0.03 ± 0.01 b | 0.04 ± 0.00 B | 0.01 ± 0.00 a | 0.01 ± 0.00 A | Nd | Nd | 0.06 ± 0.02 c | 0.09 ± 0.03 C |
| Fluoranthene | 0.01 ± 0.00 a | 0.01 ± 0.01 A | 0.01 ± 0.00 a | 0.04 ± 0.02 B | 0.01 ± 0.00 a | 0.02 ± 0.01 A | 0.02 ± 0.01 b | 0.03 ± 0.01 B | 0.06 ± 0.01 c | 0.08 ± 0.02 C |
| Pyrene | Nd | Nd | 0.01 ± 0.00 a | 0.06 ± 0.04 B | 0.02 ± 0.0 b | 0.04 ± 0.0 A | 0.02 ± 0.01 b | 0.02 ± 0.01 A | 0.02 ± 0.01 b | 0.05 ± 0.01 B |
| Benzo[ghi]perylene | 0.01 ± 0.00 a | 0.02 ± 0.01 | 0.02 ± 0.00 b | 0.08 ± 0.02 B | Nd | Nd | 0.01 ± 0.00 a | 0.02 ± 0.00 A | 0.04 ± 0.02 b | 0.12 ± 0.02 C |
| Indeno(1.2.3-cd)pyrene | 0.01 ± 0.0 a | 0.02 ± 0.0 A | Nd | 0.01 ± 0.0 A | 0.02 ± 0.01 b | 0.02 ± 0.00 A | 0.01 ± 0.00 a | 0.02 ± 0.01 A | 0.04 ± 0.02 b | 0.08 ± 0.0 B |
| Dibenzo(a.h)anthracene | Nd | Nd | Nd | 0.02 ± 0.01 A | Nd | Nd | 0.01 ± 0.00 a | 0.01 ± 0.00 A | 0.02 ± 0.01 a | 0.07 ± 0.02 B |
| Benzo(b)fluoranthene | 0.03 ± 0.01 b | 0.03 ± 0.01 A | 0.01 ± 0.00 a | 0.01 ± 0.00 A | 0.02 ± 0.01 b | 0.02 ± 0.01 A | 0.01 ± 0.00 a | 0.02 ± 0.01 A | 0.02 ± 0.00 b | 1.57 ± 0.42 B |
| Benzo(a)anthracene | 0.79 ± 0.13 ab | 1.13 ± 0.15 A | 0.80 ± 0.12 b | 6.08 ± 1.23 C | 0.66 ± 0.14 a | 1.26 ± 0.13 A | 1.08 ± 0.19 c | 1.13 ± 0.21 A | 1.19 ± 0.13 c | 2.56 ± 0.78 B |
| Benzo(a)pyrene | 0.01 ± 0.00 a | 0.01 ± 0.00 A | 0.02 ± 0.0 a | 0.01 ± 0.0 A | 0.01 ± 0.00 a | 0.02 ± 0.00 A | 0.01 ± 0.00 a | 0.02 ± 0.0 A | 0.02 ± 0.00 a | 0.62 ± 0.05 B |
| Chrysene | 0.02 ± 0.01 a | 0.04 ± 0.01 B | Nd | 1.42 ± 0.24 D | 0.01 ± 0.00 a | 0.01 ± 0.01 A | 0.03 ± 0.01 b | 0.06 ± 0.02 B | 0.04 ± 0.02 b | 1.06 ± 0.14 C |
| Rainbow Trout | Atlantic Bonito | Atlantic Bluefin Tuna | Sea Bass | Horse Mackerel | ||||||
|---|---|---|---|---|---|---|---|---|---|---|
| Raw | Smoked | Raw | Smoked | Raw | Smoked | Raw | Smoked | Raw | Smoked | |
| Al | 1.65 ± 0.03 a | 1.63 ± 0.01 AB | 1.83 ± 0.12 ab | 2.17 ± 0.15 C | 3.03 ± 0.02 c | 1.24 ± 0.04 A | 2.74 ± 0.10 b | 2.76 ± 0.11 D | 1.71 ± 0.21 a | 2.05 ± 0.05 B |
| Cr | 1.69 ± 0.07 ab | 1.72 ± 0.02 B | 1.50 ± 0.05 a | 1.64 ± 0.08 B | 1.64 ± 0.04 ab | 1.42 ± 0.06 AB | 1.51 ± 0.14 a | 3.88 ± 0.15 C | 2.07 ± 0.13 b | 1.53 ± 0.06 A |
| Mn | 2.35 ± 0.15 a | 2.61 ± 0.21 B | 2.96 ± 0.14 b | 2.43 ± 0.12 B | 3.59 ± 0.45 c | 1.56 ± 0.22 A | 3.27 ± 0.03 b | 4.55 ± 0.13 C | 2.74 ± 0.04 ab | 5.02 ± 0.1 D |
| Co | 0.07 ± 0.01 b | 0.02 ± 0.01 A | 0.05 ± 0.01 ab | 0.06 ± 0.02 B | 0.03 ± 0.01 a | 0.02 ± 0.01 A | 0.02 ± 0.00 a | 0.04 ± 0.01 AB | 0.03 ± 0.01 a | 0.02 ± 0.01 A |
| Ni | 0.23 ± 0.02 ab | 0.12 ± 0.01 A | 0.22 ± 0.03 ab | 0.35 ± 0.05 C | 0.38 ± 0.12 b | 0.12 ± 0.02 A | 0.16 ± 0.04 a | 0.25 ± 0.05 B | 0.22 ± 0.02 ab | 0.21 ± 0.03 B |
| Cu | 3.62 ± 0.18 c | 2.03 ± 0.11 A | 2.11 ± 0.16 b | 2.61 ± 0.17 B | 2.19 ± 0.11 b | 2.23 ± 0.14 A | 1.48 ± 0.12 a | 2.31 ± 0.05 A | 2.61 ± 0.16 bc | 2.60 ± 0.25 B |
| Zn | 20.20 ± 1.25 e | 8.81 ± 0.15 A | 17.47 ± 1.22 d | 12.53 ± 0.11 B | 14.57 ± 1.15 c | 11.43 ± 1.12 B | 8.76 ± 0.20 a | 15.62 ± 0.19 C | 11.77 ± 0.15 b | 16.36 ± 1.24 D |
| As | 1.33 ± 0.15 b | 0.09 ± 0.01 A | 1.21 ± 0.16 b | 1.18 ± 0.25 C | 0.13 ± 0.02 a | 2.16 ± 0.45 D | 0.14 ± 0.02 a | 0.20 ± 0.02 B | 0.20 ± 0.04 a | 0.18 ± 0.02 B |
| Se | 0.43 ± 0.06 b | 0.22 ± 0.03 A | 0.35 ± 0.02 a | 0.36 ± 0.04 C | 0.34 ± 0.16 a | 0.31 ± 0.08 B | 0.31 ± 0.04 a | 0.30 ± 0.04 AB | 0.29 ± 0.04 a | 0.32 ± 0.04 B |
| Fe | 14.08 ± 1.04 b | 5.20 ± 0.41 A | 15.65 ± 1.05 b | 11.67 ± 0.04 B | 18.10 ± 1.52 c | 10.29 ± 1.05 B | 7.73 ± 1.01 a | 14.65 ± 0.05 C | 13.77 ± 0.16 b | 12.58 ± 1.19 C |
| Cd | 0.06 ± 0.01 a | 0.05 ± 0.01 A | 0.31 ± 0.04 c | 0.12 ± 0.02 B | 0.14 ± 0.02 b | 0.07 ± 0.01 A | 0.06 ± 0.02 a | 0.74 ± 0.02 C | 0.08 ± 0.02 a | 0.15 ± 0.03 B |
| Sn | 2.27 ± 0.04 c | 0.06 ± 0.01 A | 1.15 ± 0.07 b | 2.63 ± 0.13 C | 0.45 ± 0.04 ab | 0.20 ± 0.04 B | 0.44 ± 0.04 ab | 0.36 ± 0.04 B | 0.37 ± 0.01 a | 2.07 ± 0.04 C |
| Mg | 0.73 ± 0.03 b | 0.32 ± 0.02 A | 0.59 ± 0.04 ab | 0.80 ± 0.04 C | 0.74 ± 0.06 b | 0.61 ± 0.06 C | 0.45 ± 0.05 | 0.45 ± 0.03 B | 0.89 ± 0.03 b | 0.64 ± 0.02 B |
| Hg | 0.29 ± 0.01 b | 0.07 ± 0.02 A | 0.39 ± 0.03 b | 0.03 ± 0.01 A | 0.28 ± 0.02 b | 0.12 ± 0.02 B | 0.37 ± 0.02 b | 0.35 ± 0.01 C | 0.02 ± 0.01 a | 0.21 ± 0.03 B |
| Pb | 0.31 ± 0.03 b | 0.26 ± 0.06 B | 1.20 ± 0.14 d | 0.31 ± 0.09 B | 0.95 ± 0.05 c | 0.16 ± 0.04 A | 0.19 ± 0.03 a | 3.2 ± 0.19 C | 0.34 ± 0.12 b | 0.28 ± 0.04 B |
| Ca | 1.56 ± 0.24 a | 2.04 ± 0.13 C | 2.12 ± 0.21 c | 1.95 ± 0.24 B | 1.75 ± 0.15 ab | 1.80 ± 0.23 A | 2.13 ± 0.15 c | 1.86 ± 0.15 A | 1.89 ± 0.24 b | 1.99 ± 0.05 B |
| DDI | PAHs (B(A)Pteq | |||||||||||||||||||
|---|---|---|---|---|---|---|---|---|---|---|---|---|---|---|---|---|---|---|---|---|
| Rainbow Trout | Atlantic Bonito | Atlantic Bluefin Tuna | Sea Bass | Horse Mackerel | Rainbow Trout | Atlantic Bonito | Atlantic Bluefin Tuna | Sea Bass | Horse Mackerel | |||||||||||
| Raw | Smoked | Raw | Smoked | Raw | Smoked | Raw | Smoked | Raw | Smoked | Raw | Smoked | Raw | Smoked | Raw | Smoked | Raw | Smoked | Raw | Smoked | |
| NaP | 0.17 | 0.52 | 0.17 | 1.04 | 0.00 | 0.00 | 0.00 | 0.69 | 0.35 | 0.69 | 0.00 | 0.00 | 0.00 | 0.00 | 0.00 | 0.00 | 0.00 | 0.00 | 0.00 | 0.00 |
| AcPY | 0.17 | 0.35 | 0.00 | 0.69 | 0.00 | 0.00 | 0.52 | 0.52 | 0.17 | 1.38 | 0.00 | 0.00 | 0.00 | 0.00 | 0.00 | 0.00 | 0.00 | 0.00 | 0.00 | 0.00 |
| BaA | 0.00 | 0.00 | 0.00 | 0.35 | 0.00 | 0.00 | 0.00 | 0.00 | 0.17 | 0.69 | 0.00 | 0.00 | 0.00 | 0.00 | 0.00 | 0.00 | 0.00 | 0.00 | 0.00 | 0.00 |
| Ant | 0.00 | 0.00 | 0.17 | 1.38 | 0.69 | 1.04 | 0.00 | 0.35 | 0.35 | 1.04 | 0.00 | 0.00 | 0.00 | 0.00 | 0.00 | 0.00 | 0.00 | 0.00 | 0.00 | 0.00 |
| BkFL | 0.00 | 0.00 | 0.17 | 0.17 | 0.35 | 0.52 | 0.35 | 0.35 | 0.00 | 1.73 | 0.00 | 0.00 | 0.00 | 0.00 | 0.00 | 0.00 | 0.00 | 0.00 | 0.00 | 0.00 |
| Phe | 0.00 | 0.00 | 0.17 | 1.04 | 0.69 | 0.69 | 0.35 | 0.17 | 0.00 | 2.07 | 0.00 | 0.00 | 0.00 | 0.00 | 0.00 | 0.00 | 0.00 | 0.00 | 0.00 | 0.00 |
| Ant | 0.35 | 0.69 | 0.52 | 0.69 | 0.17 | 0.17 | 0.00 | 0.00 | 1.04 | 1.56 | 0.00 | 0.00 | 0.00 | 0.00 | 0.00 | 0.00 | 0.00 | 0.00 | 0.00 | 0.00 |
| FL | 0.17 | 0.17 | 0.17 | 0.69 | 0.17 | 0.35 | 0.35 | 0.52 | 1.04 | 1.38 | 0.00 | 0.00 | 0.00 | 0.00 | 0.00 | 0.00 | 0.00 | 0.00 | 0.00 | 0.00 |
| Pyr | 0.00 | 0.00 | 0.17 | 1.04 | 0.35 | 0.69 | 0.35 | 0.35 | 0.35 | 0.86 | 0.00 | 0.00 | 0.00 | 0.00 | 0.00 | 0.00 | 0.00 | 0.00 | 0.00 | 0.00 |
| BP | 0.17 | 0.35 | 0.35 | 1.38 | 0.00 | 0.00 | 0.17 | 0.35 | 0.69 | 2.07 | 0.00 | 0.00 | 0.00 | 0.00 | 0.00 | 0.00 | 0.00 | 0.00 | 0.00 | 0.00 |
| Ind | 0.17 | 0.35 | 0.00 | 0.17 | 0.35 | 0.35 | 0.17 | 0.35 | 0.69 | 1.38 | 0.00 | 0.00 | 0.00 | 0.00 | 0.00 | 0.00 | 0.00 | 0.00 | 0.00 | 0.01 |
| DBA | 0.00 | 0.00 | 0.00 | 0.35 | 0.00 | 0.00 | 0.17 | 0.17 | 0.35 | 1.21 | 0.00 | 0.00 | 0.00 | 0.00 | 0.00 | 0.00 | 0.00 | 0.00 | 0.00 | 0.00 |
| BbFL | 0.52 | 0.52 | 0.17 | 0.17 | 0.35 | 0.35 | 0.17 | 0.35 | 0.35 | 27.15 | 0.00 | 0.00 | 0.00 | 0.00 | 0.00 | 0.00 | 0.00 | 0.00 | 0.00 | 0.00 |
| BaA | 13.66 | 19.54 | 13.83 | 105.12 | 11.41 | 21.79 | 18.67 | 19.54 | 20.58 | 44.26 | 3.95 | 5.65 | 4.00 | 30.40 | 3.30 | 6.30 | 5.40 | 5.65 | 5.95 | 12.80 |
| BaP | 0.17 | 0.17 | 0.35 | 0.17 | 0.17 | 0.35 | 0.17 | 0.35 | 0.35 | 10.72 | 0.00 | 0.00 | 0.00 | 0.00 | 0.00 | 0.00 | 0.00 | 0.00 | 0.00 | 0.00 |
| Chr | 14.70 | 20.92 | 14.35 | 130.02 | 12.10 | 22.65 | 19.54 | 21.27 | 21.96 | 100.45 | 0.00 | 0.00 | 0.00 | 0.01 | 0.00 | 0.00 | 0.00 | 0.00 | 0.00 | 0.01 |
| PAH4 | 15.22 | 22.13 | 15.04 | 132.61 | 12.79 | 23.34 | 20.23 | 22.13 | 24.38 | 97.69 | 0.00 | 0.00 | 0.00 | 0.01 | 0.00 | 0.00 | 0.00 | 0.00 | 0.00 | 0.00 |
| Pah8 | 44.61 | 63.63 | 44.78 | 373.12 | 38.90 | 71.58 | 60.17 | 65.53 | 70.20 | 298.25 | 0.00 | 0.00 | 0.00 | 0.01 | 0.00 | 0.00 | 0.00 | 0.00 | 0.00 | 0.01 |
| Total PAHs | 0.17 | 0.52 | 0.17 | 1.04 | 0.00 | 0.00 | 0.00 | 0.69 | 0.35 | 0.69 | 0.00 | 0.00 | 0.00 | 0.01 | 0.00 | 0.00 | 0.00 | 0.00 | 0.00 | 0.01 |
| EDI | THQ | ||||||||||
|---|---|---|---|---|---|---|---|---|---|---|---|
| Fish Species | Condition | Cr | As | Cd | Hg | Pb | Cr | As | Cd | Hg | Pb |
| Rainbow trout | Raw | 0.42 | 0.33 | 0.01 | 0.07 | 0.08 | 0.06 | 0.44 | 0.06 | 0.10 | 0.01 |
| Smoked | 0.42 | 0.02 | 0.01 | 0.02 | 0.06 | 0.06 | 0.03 | 0.05 | 0.02 | 0.01 | |
| Atlantic bonito | Raw | 0.37 | 0.30 | 0.08 | 0.10 | 0.30 | 0.05 | 0.40 | 0.31 | 0.13 | 0.03 |
| Smoked | 0.41 | 0.29 | 0.03 | 0.01 | 0.08 | 0.05 | 0.39 | 0.12 | 0.01 | 0.01 | |
| Atlantic bluefin tuna | Raw | 0.41 | 0.03 | 0.03 | 0.07 | 0.23 | 0.05 | 0.04 | 0.14 | 0.09 | 0.02 |
| Smoked | 0.35 | 0.53 | 0.02 | 0.03 | 0.04 | 0.05 | 0.71 | 0.07 | 0.04 | 0.00 | |
| Sea bass | Raw | 0.37 | 0.03 | 0.01 | 0.09 | 0.05 | 0.05 | 0.05 | 0.06 | 0.12 | 0.00 |
| Smoked | 0.96 | 0.05 | 0.18 | 0.09 | 0.79 | 0.13 | 0.07 | 0.73 | 0.12 | 0.08 | |
| Horse mackerel | Raw | 0.51 | 0.05 | 0.02 | 0.00 | 0.08 | 0.07 | 0.07 | 0.08 | 0.01 | 0.01 |
| Smoked | 0.38 | 0.04 | 0.04 | 0.05 | 0.07 | 0.05 | 0.06 | 0.15 | 0.07 | 0.01 | |
Publisher’s Note: MDPI stays neutral with regard to jurisdictional claims in published maps and institutional affiliations. |
© 2022 by the author. Licensee MDPI, Basel, Switzerland. This article is an open access article distributed under the terms and conditions of the Creative Commons Attribution (CC BY) license (https://creativecommons.org/licenses/by/4.0/).
Share and Cite
Aksun Tümerkan, E.T. Investigations of the Polycyclic Aromatic Hydrocarbon and Elemental Profile of Smoked Fish. Molecules 2022, 27, 7015. https://doi.org/10.3390/molecules27207015
Aksun Tümerkan ET. Investigations of the Polycyclic Aromatic Hydrocarbon and Elemental Profile of Smoked Fish. Molecules. 2022; 27(20):7015. https://doi.org/10.3390/molecules27207015
Chicago/Turabian StyleAksun Tümerkan, Elif Tuğçe. 2022. "Investigations of the Polycyclic Aromatic Hydrocarbon and Elemental Profile of Smoked Fish" Molecules 27, no. 20: 7015. https://doi.org/10.3390/molecules27207015
APA StyleAksun Tümerkan, E. T. (2022). Investigations of the Polycyclic Aromatic Hydrocarbon and Elemental Profile of Smoked Fish. Molecules, 27(20), 7015. https://doi.org/10.3390/molecules27207015

