Novel Type of Tetranitrosyl Iron Salt: Synthesis, Structure and Antibacterial Activity of Complex [FeL’2(NO)2][FeL’L”(NO)2] with L’-thiobenzamide and L”-thiosulfate
Abstract
1. Introduction
2. Results
2.1. Synthesis of Complex I
2.2. Single Crystal X-ray Studies of Complex I
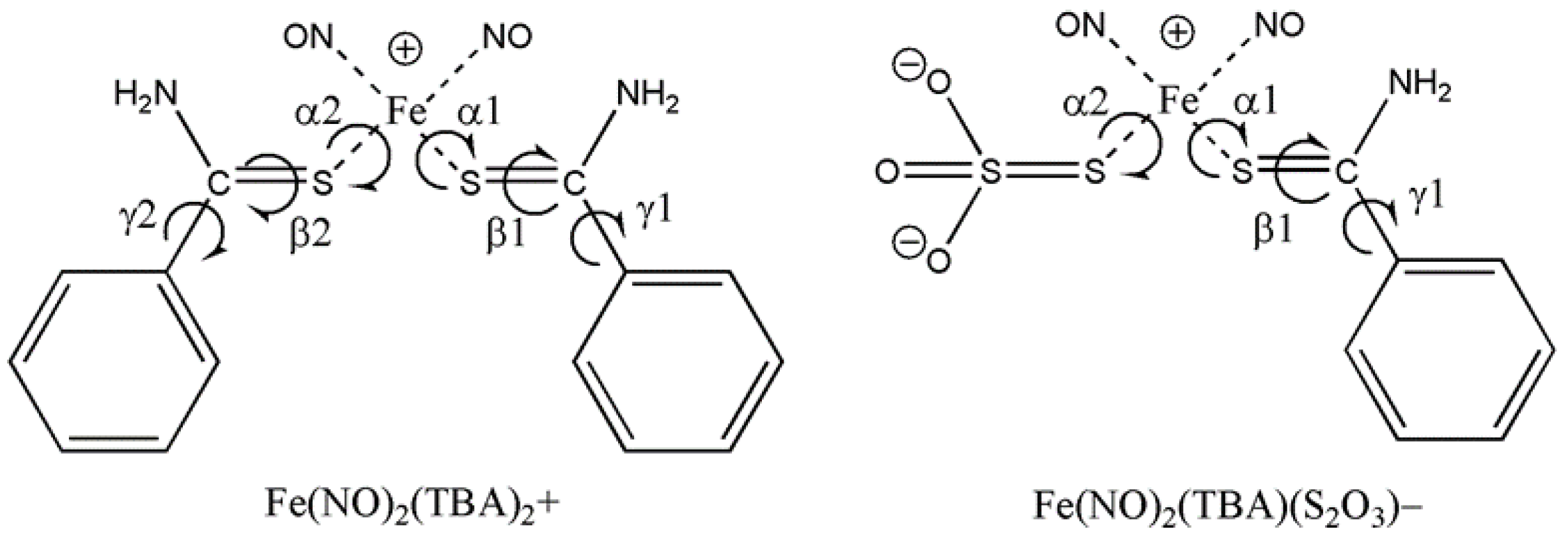
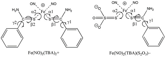
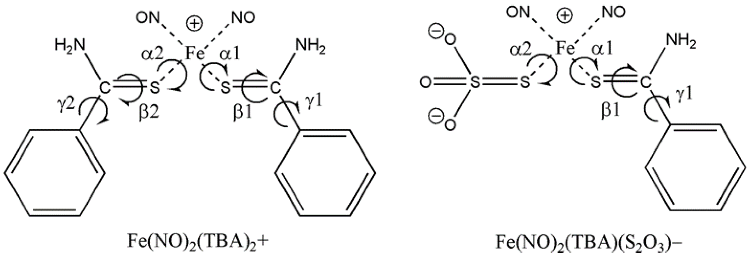
2.3. Quantum Chemical Calculations of Intermolecular Interactions in Complex I
2.4. Molecular Modeling of Dissociation and Decomposition Products of Complex I
2.5. NO Donor Activity of Complex I
2.6. Antibacterial Activity of Complex I
2.7. Cytotoxicity Activity of Complex I
3. Discussion
4. Materials and Methods
4.1. Synthesis
4.2. X-ray Analysis
4.3. Quantum Chemical Calculations
4.4. Amperometric Determination of NO Generation
4.5. In Vitro Antibacterial Activity
4.6. In Vitro Cytotoxicity Assay
4.6.1. Cell Culture
4.6.2. MTT Assay
5. Conclusions
Supplementary Materials
Author Contributions
Funding
Institutional Review Board Statement
Informed Consent Statement
Data Availability Statement
Acknowledgments
Conflicts of Interest
Sample Availability
References
- Minhas, R.; Bansal, Y.; Bansal, G. Inducible nitric oxide synthase inhibitors: A comprehensive update. Med. Res. Rev. 2020, 40, 823–855. [Google Scholar] [CrossRef] [PubMed]
- Ignarro, L.J.; Freeman, B.A. Nitric Oxide Biology and Pathobiology, 3rd ed.; Elsevier Inc.: Burlington, MA, USA, 2017; pp. 1–411. [Google Scholar]
- Vanin, A.F. Physico-Chemistry of Dinitrosyl Iron Complexes as a Determinant of Their Biological Activity. Int. J. Mol. Sci. 2021, 22, 10356. [Google Scholar] [CrossRef] [PubMed]
- Lu, T.-T.; Wang, Y.-M.; Hung, C.-H.; Chiou, S.-J.; Liaw, W.-F. Bioinorganic Chemistry of the Natural [Fe(NO)2] Motif: Evolution of a Functional Model for NO-Related Biomedical Application and Revolutionary Development of a Translational Model. Inorg. Chem. 2018, 57, 12425–12443. [Google Scholar] [CrossRef] [PubMed]
- Hsiao, H.; Chung, C.; Santos, J.H.; Villaflores, O.B.; Lu, T. Fe in biosynthesis, translocation, and signal transduction of NO: Toward bioinorganic engineering of dinitrosyl iron complexes into NO-delivery scaffolds for tissue engineering. Dalt. Trans. 2019, 48, 9431–9453. [Google Scholar] [CrossRef] [PubMed]
- Vasil’eva, S.V.; Streltsova, D.A.; Starostina, I.A.; Sanina, N.A. Nitrogen oxide is involved in the regulation of the Fe-S cluster assembly in proteins and the formation of biofilms by Escherichia coli cells. Biol. Bull. 2013, 40, 351–357. [Google Scholar] [CrossRef]
- Shmatko, N.Y.; Sanina, N.A.; Anokhin, D.V.; Piryazev, A.A.; Ivanov, D.A.; Kulikov, A.V.; Aldoshin, S.M. Synthesis and properties of polyvinylpyrrolidone films containing iron nitrosyl complexes as nitric oxide (NO) donors with antitumor and antiseptic activities. Russ. Chem. Bull. 2015, 64, 1616–1622. [Google Scholar] [CrossRef]
- Sanina, N.A.; Kozub, G.I.; Kondrat’eva, T.A.; Terent´ev, A.A.; Mumyatova, V.A.; Barzilovich, P.Y.; Ovanesyan, N.S.; Aldoshin, S.M. Bis(4-nitrobenzenethiolato) tetranitrosyldiiron: Synthesis, structure, and pharmacological activity of a new nitric oxide (NO) donor. Russ. Chem. Bull. 2017, 66, 1706–1711. [Google Scholar] [CrossRef]
- Mumyatova, V.A.; Kozub, G.I.; Kondrat’eva, T.A.; Terent’ev, A.A.; Sanina, N.A. Antibacterial activity of [1Fe-2S]- and [2Fe-2S]-nitrosyl complexes as nitric oxide donors. Russ. Chem. Bull. 2019, 68, 1025–1030. [Google Scholar] [CrossRef]
- Sanina, N.A.; Yakuschenko, I.K.; Gadomskii, S.Y.; Utenyshev, A.N.; Dorovatovskii, P.V.; Lazarenko, V.A.; Emel’yanova, N.S.; Zagainova, E.A.; Ovanesyan, N.S.; Mumyatova, V.A.; et al. Synthesis, structure and antibacterial activity of dinitrosyl iron complexes (DNICs) dimers functionalized with 5-(nitrophenyl)-4-H-1,2,4-triazole-3-thiolyls. Polyhedron 2022, 220, 115822. [Google Scholar] [CrossRef]
- Jones, M.L.; Ganopolsky, J.G.; Labbé, A.; Prakash, S. Antimicrobial properties of nitric oxide and its application in antimicrobial formulations and medical devices. Appl. Microbiol. Biotechnol. 2010, 87, 509–516. [Google Scholar] [CrossRef]
- Gould, N.; Doulias, P.T.; Tenopoulou, M.; Raju, K.; Ischiropoulos, H. Regulation of protein function and signaling by reversible cysteine S-nitrosylation. J. Biol. Chem. 2013, 288, 26473–26479. [Google Scholar] [CrossRef] [PubMed]
- Stupina, T.S.; Antonova, N.O.; Balalaeva, I.V.; Sanina, N.A.; Terent’ev, A.A.; Aldoshin, S.M. Influence of sulfur-nitrosyl iron complexes of “µ-S” structural type on NF-κB nuclear factor. Int. Sci. J. Med. Biol. Sci. 2014, 1, 23. [Google Scholar]
- Mahanta, N.; Szantai-Kis, M.; Petersson, E.J.; Mitchell, D.A. Biosynthesis and Chemical Applications of Thioamides. ACS Chem. Biol. 2019, 14, 142–163. [Google Scholar] [CrossRef] [PubMed]
- Shimotori, Y.; Hoshi, M.; Ogawa, N.; Miyakoshi, T.; Kanamoto, T. Synthesis, antibacterial activities, and sustained perfume release properties of optically active5-hydroxy- and 5-acetoxyalkanethioamide analogues. Het. Comm. 2020, 26, 84–98. [Google Scholar] [CrossRef]
- Abdelhamid, A.O.; El Sayed, I.E.; Hussein, M.Z.; Mangoud, M.M. Synthesis and Antimicrobial Activity of Some New Thiadiazoles, Thioamides, 5-Arylazothiazoles and Pyrimido[4,5-d][1,2,4]triazolo[4,3-a]pyrimidines. Molecules 2016, 21, 1072. [Google Scholar] [CrossRef]
- Migliori, G.B.; Zumla, A. Infectious Diseases, 4th ed.; Cohen, J., Powderly, W.G., Opal, S.M., Eds.; Elsevier: Amsterdam, The Netherlands, 2017; pp. 1264–1276. [Google Scholar]
- Lounis, N.; Veziris, N.; Chauffour, A.; Truffot-Pernot, C.; Andries, K.; Jarlier, V. Combinations of R207910 with Drugs Used To Treat Multidrug-Resistant Tuberculosis Have the Potential To Shorten Treatment Duration. Antimicrob. Agents Chemother. 2006, 50, 3543–3547. [Google Scholar] [CrossRef] [PubMed]
- Tomioka, H. Prospects for development of new antimycobacterial drugs. J. Infect. Chemother. 2000, 6, 8–20. [Google Scholar] [CrossRef]
- Chylewska, A.; Sikorski, A.; Ogryzek, M.; Makowski, M. Attractive S⋯π and π-π interactions in the pyrazine-2-thiocarboxamide structure: Experimental and computational studies in the context of crystal engineering and microbiological properties. J. Mol. Struct. 2016, 1105, 96–104. [Google Scholar] [CrossRef]
- Enemark, J.H.; Feltham, R.R. Principles of structure, bonding, and reactivity for metal nitrosyl complexes. Coord. Chem. Rev. 1974, 13, 339–406. [Google Scholar] [CrossRef]
- Lehnert, N.; Kim, E.; Dong, H.T.; Harland, J.B.; Hunt, A.P.; Manickas, E.C.; Oakley, K.M.; Pham, J.; Reed, G.C.; Alfaro, V.S. The Biologically Relevant Coordination Chemistry of Iron and Nitric Oxide: Electronic Structure and Reactivity. Chem. Rev. 2021, 121, 14682–14905. [Google Scholar] [CrossRef]
- Rakova, O.A.; Sanina, N.A.; Shilov, G.V.; Strelets, V.V.; Borzova, I.B.; Kulikov, A.V.; Aldoshin, S.M. [Bu4N]2[Fe2(μ-S2O3)2(NO)4]: Synthesis, Structure, Redox Properties, and EPR Study. Russ. J. Coord. Chem. 2001, 27, 657–663. [Google Scholar] [CrossRef]
- Vasil’eva, S.V.; Sanina, N.A.; Moshkovskaya, E.Y.; Rudneva, T.N.; Kulikov, A.V.; Aldoshin, S.M. Formation of Dinitrosyl Iron Complex Is a Necessary Step in the Realization of the Na2[Fe2(µ2-S2O3)2(NO)4]·4H2O Genetic Activity. Dokl. Biol. Sci. 2005, 402, 230–232. [Google Scholar] [CrossRef] [PubMed]
- Bushmarinov, I.S.; Lyssenko, K.A.; Antipin, M.Y. Atomic energy in the ‘Atoms in Molecules’ theory and its use for solving chemical problems. Russ. Chem. Rev. 2009, 78, 283–302. [Google Scholar] [CrossRef]
- Nakamoto, K. Infrared and Raman Spectra of Inorganic and Coordination Compounds. In Handbook of Vibrational Spectroscopy; John Wiley & Sons: Hoboken, NJ, USA, 2006. [Google Scholar]
- Tarasevich, B.N. IR Spectra of the Main Classes of Organic Compounds. Reference Materials; Moscow State University: Moscow, Russia, 2012. [Google Scholar]
- Rakova, O.A.; Sanina, N.A.; Aldoshin, S.M.; Goncharova, N.V.; Shilov, G.V.; Shulga, Y.M.; Ovanesyan, N.S. Synthesis and characterization of potential NO donors: Novel iron-sulfur nitrosyls containing the μ-N-C-S skeleton. Inorg. Chem. Comm. 2003, 6, 145–148. [Google Scholar] [CrossRef]
- Sanina, N.A.; Rakova, O.A.; Aldoshin, S.M.; Shilov, G.V.; Shulga, Y.M.; Kulikov, A.V.; Ovanesyan, N.S. Structure of the neutral mononuclear dinitrosyl iron complex with 1,2,4-triazole-3-thione [Fe(SC2H3N3)(SC2H2N3)(NO)2]·0.5H2O. Mend. Commun. 2004, 14, 7–8. [Google Scholar] [CrossRef]
- Aldoshin, S.M.; Lyssenko, K.A.; Antipin, M.Y.; Sanina, N.A.; Gritsenko, V.V. Precision X-ray study of mononuclear dinitrosyl iron complex [Fe(SC2H3N3)(SC2H2N3)(NO)2]· 0.5H2O at low temperatures. J. Mol. Struct. 2008, 875, 309–315. [Google Scholar] [CrossRef]
- Glidewell, C.; Lambert, R.J.; Harman, M.E.; Hursthouse, M.B. Reactions of nucleophiles with bis(µ-thiosulphato-S)-bis(dinitrosylferrate)2−, [Fe2(S2O3)2(NO)4]2−, and of electrophiles with heptanitrosyltri-µ3-thio-tetraferrate1−, [Fe4S3(NO)7]−: New routes to bis(µ-organothiolato)-bis(dinitrosyliron) complexes [Fe2(SR)2(NO)4] and the crystal and molecular structure of trimethylsulphonium heptanitrosyltri-µ3-thio-tetraferrate1–, SMe3[Fe4S3(NO)7]. J. Chem. Soc. Dalton Trans. 1990, 9, 2685–2690. [Google Scholar]
- Sanina, N.A.; Rakova, O.A.; Aldoshin, S.M.; Chuev, I.I.; Atovmyan, E.G.; Ovanesyan, N.S. Synthesis and X-ray and Spectral Study of the Compounds [Q4N]2[Fe2(S2O3)2(NO)4] (Q = Me, Et, n-Pr, n-Bu). Russ. J. Coord. Chem. 2001, 27, 179–193. [Google Scholar] [CrossRef]
- Glidewell, C.; Harman, M.E.; Hursthouse, M.B.; Johnson, I.L.; Motevalli, M. Conformation of Roussin Esters: Crystal and Molecular Structures of Bis(methanethiolato)bis(dinitrosyliron), Bis(pentanethiolato)bis(dinitro-syliron), and Bis(2-methyl-2propanethiolato)bis(dinitrosyliron). J. Chem. Res. 1988, 212–213, 1676–1690. [Google Scholar]
- Thomas, J.T.; Robertson, J.H.; Cox, E.G. The crystal structure of Roussin’s red ethyl ester. Acta Crystallogr. 1958, 11, 599–604. [Google Scholar] [CrossRef]
- Jolley, J.; Cross, W.I.; Pritchard, R.G.; McAuliffe, C.A.; Nolan, K.B. Synthesis and characterisation of mercaptoimidazole, mercaptopyrimidine and mercaptopyridine complexes of platinum(II) and platinum(III). The crystal and molecular structures of tetra(2-mercaptobenzimidazole)- and tetra(2-mercaptoimidazole)platinum(II) chloride. Inorg. Chim. Acta 2001, 315, 36–43. [Google Scholar]
- Aldoshin, S.M.; Morgunov, R.B.; Palii, A.V.; Shmatko, N.Y.; Sanina, N.A. Study of Magnetic Behavior of Salts of Cationic Dinitrosyl Iron Complexes with Thiocarbamide and its Derivatives. Appl. Magn. Reson. 2015, 46, 1383–1393. [Google Scholar] [CrossRef]
- Espinosa, E.; Molins, E.; Lecomte, C. Hydrogen bond strengths revealed by topological analyses of experimentally observed electron densities. Chem. Phys. Lett. 1998, 285, 170. [Google Scholar] [CrossRef]
- Lyssenko, K.A.; Ananyev, I.V.; Aldoshin, S.M.; Sanina, N.A. Features of chemical bonding within the Fe(NO)2 fragment for crystalline bis(thiosulfate) tetranitrosyl diiron tetramethylammonium salt as an example according to high-resolution X-ray diffraction data. Russ. Chem. Bull. 2015, 64, 2351–2360. [Google Scholar] [CrossRef]
- Egan, A.J.F. Bacterial outer membrane constriction. Mol. Microbiol. 2018, 107, 676–687. [Google Scholar] [CrossRef]
- Epand, R.M.; Walker, C.; Epand, R.F.; Magarvey, N.A. Molecular mechanisms of membrane targeting antibiotics. Biochim. Biophys. Acta 2016, 1858, 980–987. [Google Scholar] [CrossRef]
- Domínguez, A.V.; Algaba, R.A.; Canturri, A.M.; Villodres, A.R.; Smani, Y. Antibacterial Activity of Colloidal Silver against Gram-Negative and Gram-Positive Bacteria. Antibiotics 2020, 9, 36. [Google Scholar] [CrossRef]
- Kozub, G.I.; Sanina, N.A.; Emel’yanova, N.S.; Utenishev, A.N.; Kondrat’eva, T.A.; Khrustalev, V.N.; Ovanesyan, N.S.; Kupchinskaya, N.E.; Aldoshin, S.M. [Fe2(µ-SR)2(NO)4]0 complexes with R being phenolyl with different substituents in the meta-position: Synthesis, structure, and NO release. Inorg. Chim. Acta 2018, 480, 132–139. [Google Scholar] [CrossRef]
- Sanina, N.A.; Aldoshin, S.M.; Rudneva, T.N.; Golovina, N.I.; Shilov, G.V.; Shul’ga, Y.M.; Martynenko, V.M.; Ovanesyan, N.S. Synthesis, Structure and Solid-Phase Transformations of Fe Nitrosyl Complex Na2[Fe2(S2O3)2(NO)4]·4H2O. Russ. J. Coord. Chem. 2005, 31, 301–306. [Google Scholar] [CrossRef]
- Battye, T.G.G.; Kontogiannis, L.; Johnson, O.; Powella, H.R.; Lesliea, A.G.W. iMOSFLM: A new graphical interface for diffraction-image processing with MOSFLM. Acta Crystallogr. 2011, D67, 271–281. [Google Scholar] [CrossRef]
- Evans, P. Scaling and assessment of data quality. Acta Crystallogr. D Biol. Crystallogr. 2006, 62, 72–82. [Google Scholar] [CrossRef] [PubMed]
- Sheldrick, G.M. HELXT—Integrated space-group and crystal-structure determination. Acta Crystallogr. C 2015, 71, 3–8. [Google Scholar] [CrossRef] [PubMed]
- Frisch, M.J.; Trucks, G.W.; Schlegel, H.B.; Scuseria, G.E.; Robb, M.A.; Cheeseman, J.R.; Scalmani, G.; Barone, V.; Mennucci, B.; Petersson, G.A.; et al. Gaussian 09, Revision D.01; Gaussian, Inc.: Wallingford, CT, USA, 2013. [Google Scholar]
- Keith, T.A. AIMAll, Version 15.05.18; TK Gristmill Software: Overland Park, KS, USA, 2015. [Google Scholar]
- Cancès, E.; Menucci, B.; Tomasi, J. A new integral equation formalism for the polarizable continuum model: Theoretical background and applications to isotropic and anisotropic dielectrics. J. Chem. Phys. 1997, 107, 3032–3041. [Google Scholar] [CrossRef]
- Marenich, A.V.; Cramer, C.J.; Truhlar, D.G. Universal Solvation Model Based on Solute Electron Density and on a Continuum Model of the Solvent Defined by the Bulk Dielectric Constant and Atomic Surface Tensions. J. Phys. Chem. B 2009, 113, 6378–6396. [Google Scholar] [CrossRef] [PubMed]
- Weissberger, A.; Proskauer, E.S.; Riddick, J.A.; Toops, E.E. Organic Solvents: Physical Properties and Methods of Purification; Intercscience Publishers Inc.: New York, NY, USA, 1955. [Google Scholar]
- Mosmann, T. Rapid Colorimetric Assay for Cellular Growth and Survival: Application to Proliferation and Cytotoxicity Assays. J. Immunol. Methods 1983, 65, 55–63. [Google Scholar] [CrossRef]













| Bond | d, Å | Angle | ω, Deg |
|---|---|---|---|
| Fe(1)-N(2) | 1.681(3) | N(2)-Fe(1)-N(1) | 114.11(13) |
| Fe(1)-N(1) | 1.689(3) | N(2)-Fe(1)-S(2) | 108.03(9) |
| Fe(1)-S(2) | 2.2900(9) | N(1)-Fe(1)-S(2) | 98.23(9) |
| Fe(1)-S(1) | 2.3394(9) | N(2)-Fe(1)-S(1) | 107.69(10) |
| S(1)-C(1) | 1.697(3) | N(1)-Fe(1)-S(1) | 116.52(9) |
| S(2)-C(8) | 1.717(3) | S(2)-Fe(1)-S(1) | 111.79(3) |
| O(1)-N(1) | 1.170(4) | C(1)-S(1)-Fe(1) | 112.52(11) |
| O(2)-N(2) | 1.170(3) | C(8)-S(2)-Fe(1) | 111.33(10) |
| N(3)-C(1) | 1.308(4) | O(1)-N(1)-Fe(1) | 163.1(2) |
| N(3)-H(3A) | 0.87(4) | O(2)-N(2)-Fe(1) | 165.8(3) |
| N(3)-H(3B) | 0.84(4) | C(1)-N(3)-H(3A) | 123(3) |
| N(4)-C(8) | 1.301(4) | C(1)-N(3)-H(3B) | 119(3) |
| N(4)-H(4A) | 0.91(4) | H(3A)-N(3)-H(3B) | 117(4) |
| N(4)-H(4B) | 0.83(4) | C(8)-N(4)-H(4A) | 120(2) |
| C(1)-C(2) | 1.487(4) | C(8)-N(4)-H(4B) | 121(3) |
| C(2)-C(7) | 1.392(4) | H(4A)-N(4)-H(4B) | 118(3) |
| Fe(2)-N(6) | 1.681(3) | N(3)-C(1)-C(2) | 117.9(3) |
| Fe(2)-N(5) | 1.688(3) | N(3)-C(1)-S(1) | 123.0(2) |
| Fe(2)-S(4) | 2.2650(9) | C(2)-C(1)-S(1) | 119.1(2) |
| Fe(2)-S(3) | 2.3242(9) | N(4)-C(8)-C(9) | 118.7(3) |
| Fe(2)-S(3) | 2.3242(9) | N(4)-C(8)-C(9) | 118.7(3) |
| S(3)-C(15) | 1.702(3) | N(4)-C(8)-S(2) | 118.4(2) |
| S(4)-S(5) | 2.0554(10) | C(9)-C(8)-S(2) | 122.9(2) |
| S(5)-O(7) | 1.456(2) | N(6)-Fe(2)-N(5) | 118.05(13) |
| S(5)-O(6) | 1.463(2) | N(6)-Fe(2)-S(4) | 107.24(8) |
| S(5)-O(5) | 1.473(2) | N(5)-Fe(2)-S(4) | 103.88(8) |
| O(3)-N(5) | 1.166(3) | N(6)-Fe(2)-S(3) | 114.91(9) |
| O(4)-N(6) | 1.174(3) | N(5)-Fe(2)-S(3) | 100.19(9) |
| N(7)-C(15) | 1.304(3) | S(4)-Fe(2)-S(3) | 112.09(4) |
| N(7)-H(7A) | 0.92(4) | C(15)-S(3)-Fe(2) | 111.43(10) |
| N(7)-H(7B) | 0.84(4) | S(5)-S(4)-Fe(2) | 104.93(3) |
| O(7)-S(5)-O(6) | 112.63(12) | ||
| O(7)-S(5)-O(5) | 110.82(12) | ||
| O(6)-S(5)-O(5) | 111.19(12) | ||
| O(7)-S(5)-S(4) | 108.68(9) | ||
| O(6)-S(5)-S(4) | 108.97(8) | ||
| O(5)-S(5)-S(4) | 104.17(8) | ||
| O(3)-N(5)-Fe(2) | 172.8(2) | ||
| O(4)-N(6)-Fe(2) | 164.5(3) | ||
| C(15)-N(7)-H(7A) | 121(2) | ||
| C(15)-N(7)-H(7B) | 123(2) | ||
| H(7A)-N(7)-H(7B) | 114(3) | ||
| N(7)-C(15)-C(16) | 118.3(2) | ||
| N(7)-C(15)-S(3) | 123.1(2) | ||
| C(16)-C(15)-S(3) | 118.57(19) |
| D-H…A | d(D-H) | d(H…A) | d(D…A) | <(DHA) |
|---|---|---|---|---|
| N(3)-H(3B)…N(1) | 0.84(4) | 2.42(4) | 3.220(4) | 158(4) |
| N(4)-H(4B)…O(5) | 0.83(4) | 2.11(4) | 2.928(3) | 172(3) |
| N(7)-H(7B)…O(6) | 0.84(4) | 2.15(4) | 2.900(3) | 148(3) |
| N(3)-H(3A)…O(5) #1 | 0.87(4) | 1.97(4) | 2.820(3) | 165(4) |
| N(4)-H(4A)…O(6) #2 | 0.91(4) | 2.02(4) | 2.890(3) | 161(3) |
| N(4)-H(7A)…O(7) #3 | 0.92(4) | 1.95(4) | 2,826(3) | 158(3) |
| Critical Point | Contact | Atoms | E (kcal/mol) |
|---|---|---|---|
| CP1 | NO…NO | O…O | 1.13 |
| CP2, CP2′ | NO…S2O3 | O…S | 0.85 |
| CP3, CP3′ | S2O3…SR | S…S | 0.75 |
| CP4, CP4′ | S2O3…SR | O…S | 0.97 |
| CP5, CP5′ | S2O3…SR | O…H | 5.52 |
| Kind of Donation | E (kcal/mol) |
|---|---|
| BD(N-O) → d(Fe) | 0.06 |
| LP(O) → d(Fe) | 0.81 |
| BD*(N-O) → d(Fe) | 0.16 |
| d(Fe) → BD*(N-O) | 0.72 |
| LP(O) → BD*(Fe-S) | 0.08 |
| LP(S) → BD*(N-O) | 0.14 |
| Kind of Donation | E (kcal/mol) |
|---|---|
| LP(O) → BD*(N-O) | 0.23 |
| BD*(N-O) → BD*(N-O) | 0.22 |
| Compound | MIC (μM) | |
|---|---|---|
| M. luteus | E. coli | |
| I | 62.5 | 125.0 |
| Thiobenzamide | >1000 | >1000 |
| Sodium thiosulfate | >1000 | >1000 |
| Ampicillin | 0.98 | 3.9 |
| Kanamycin | 62.5 | 31.25 |
| Streptomycin | 125.0 | 62.5 |
| Ceftriaxone | 3.9 | 0.98 |
| Compound | IC50 (μM) |
|---|---|
| Thiobenzamide | >500 |
| Sodium thiosulfate | >500 |
| Complex I | 88.9 ± 9.3 |
| Empirical Formula | C21H21Fe2N7O7S5 |
|---|---|
| Formula weight | 755.45 |
| Temperature | 100(2) K |
| Wavelength | 0.78790 Å |
| Crystal system | Monoclinic |
| Space group | P21/c |
| Unit cell dimensions | a = 11.047(2) Å α = 90°, b = 23.433(5) Å β = 95.10(3)°, c = 11.611(2) Å γ = 90°. |
| Volume | 2993.8(10) Å 3 |
| Z | 4 |
| Density (calculated) | 1.676 g/cm3 |
| Absorption coefficient | 1.811 mm−1 |
| F(000) | 1536 |
| Crystal size | 0.15 × 0.10 × 0.10 mm3 |
| Theta range for data collection | 2.052 to 31.018°. |
| Index ranges | −14 ≤ h ≤ 14, −30 ≤ k ≤ 27, −11 ≤ l ≤ 15 |
| Reflections collected | 14,800 |
| Independent reflections | 6744 (R(int) = 0.0304) |
| Completeness to theta | 28.212° 95.5% |
| Absorption correction | Semi-empirical from equivalents |
| Max. and min. transmission | 0.810 and 0.770 |
| Refinement method | Full-matrix least-squares on F2 |
| Data/restraints/parameters | 6744/0/398 |
| Goodness-of-fit on F2 | 1.022 |
| Final R indices (for 5392 rflns with I > 2σ(I)) | R1 = 0.0388, wR2 = 0.0936 |
| R indices (all data) | R1 = 0.0538, wR2 = 0.1012 |
| Extinction coefficient | 0.0084(5) |
| Largest diff. peak and hole | 0.474 and −0.584 e. Å−3 |
Publisher’s Note: MDPI stays neutral with regard to jurisdictional claims in published maps and institutional affiliations. |
© 2022 by the authors. Licensee MDPI, Basel, Switzerland. This article is an open access article distributed under the terms and conditions of the Creative Commons Attribution (CC BY) license (https://creativecommons.org/licenses/by/4.0/).
Share and Cite
Sanina, N.A.; Starostina, A.A.; Utenyshev, A.N.; Dorovatovskii, P.V.; Emel’yanova, N.S.; Krapivin, V.B.; Luzhkov, V.B.; Mumyatova, V.A.; Balakina, A.A.; Terentiev, A.A.; et al. Novel Type of Tetranitrosyl Iron Salt: Synthesis, Structure and Antibacterial Activity of Complex [FeL’2(NO)2][FeL’L”(NO)2] with L’-thiobenzamide and L”-thiosulfate. Molecules 2022, 27, 6886. https://doi.org/10.3390/molecules27206886
Sanina NA, Starostina AA, Utenyshev AN, Dorovatovskii PV, Emel’yanova NS, Krapivin VB, Luzhkov VB, Mumyatova VA, Balakina AA, Terentiev AA, et al. Novel Type of Tetranitrosyl Iron Salt: Synthesis, Structure and Antibacterial Activity of Complex [FeL’2(NO)2][FeL’L”(NO)2] with L’-thiobenzamide and L”-thiosulfate. Molecules. 2022; 27(20):6886. https://doi.org/10.3390/molecules27206886
Chicago/Turabian StyleSanina, Nataliya A., Arina A. Starostina, Andrey N. Utenyshev, Pavel V. Dorovatovskii, Nina S. Emel’yanova, Vladimir B. Krapivin, Victor B. Luzhkov, Viktoriya A. Mumyatova, Anastasiya A. Balakina, Alexei A. Terentiev, and et al. 2022. "Novel Type of Tetranitrosyl Iron Salt: Synthesis, Structure and Antibacterial Activity of Complex [FeL’2(NO)2][FeL’L”(NO)2] with L’-thiobenzamide and L”-thiosulfate" Molecules 27, no. 20: 6886. https://doi.org/10.3390/molecules27206886
APA StyleSanina, N. A., Starostina, A. A., Utenyshev, A. N., Dorovatovskii, P. V., Emel’yanova, N. S., Krapivin, V. B., Luzhkov, V. B., Mumyatova, V. A., Balakina, A. A., Terentiev, A. A., & Aldoshin, S. M. (2022). Novel Type of Tetranitrosyl Iron Salt: Synthesis, Structure and Antibacterial Activity of Complex [FeL’2(NO)2][FeL’L”(NO)2] with L’-thiobenzamide and L”-thiosulfate. Molecules, 27(20), 6886. https://doi.org/10.3390/molecules27206886

