Optimization of Lipid Extraction from Spirulina spp. by Ultrasound Application and Mechanical Stirring Using the Taguchi Method of Experimental Design
Abstract
1. Introduction
2. Results and Discussion
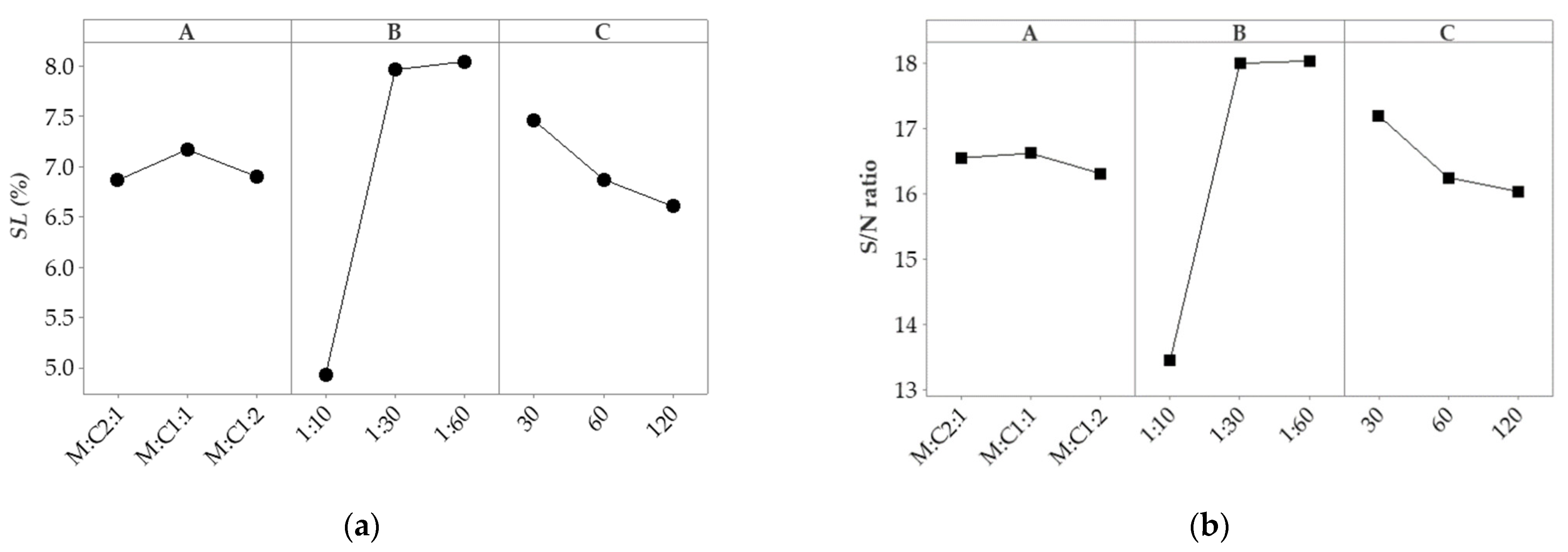
2.1. Selection of Optimal Levels and Estimation of Optimum Response Characteristics
2.2. Confirmation Experiments
2.3. Fatty Acid Composition (as Fatty Acid Methyl Esters, FAME)
3. Materials and Methods
3.1. Reagents and Solutions
3.2. Taguchi Method of Experimental Design
3.2.1. Design of Experiment (Phase 1)
3.2.2. Lipid Extraction (Phase 2)
3.2.3. Analysis of Experimental Data and Prediction of Performance (Phase 3)
3.2.4. Confirmation Experiment (Phase 4)
3.3. Preparation of Fatty Acid Methyl Esters (FAMEs) and GC Analysis
4. Conclusions
Author Contributions
Funding
Institutional Review Board Statement
Informed Consent Statement
Data Availability Statement
Conflicts of Interest
Sample Availability
References
- Cuellar-Bermudez, S.P.; Aguilar-Hernandez, I.; Cardenas-Chavez, D.L.; Ornelas-Soto, N.; Romero-Ogawa, M.A.; Parra-Saldivar, R. Extraction and purification of high-value metabolites from microalgae: Essential lipids, astaxanthin and phycobiliproteins. Microb. Biotechnol. 2015, 8, 190–209. [Google Scholar] [CrossRef]
- Neyrinck, A.M.; Taminiau, B.; Walgrave, H.; Daube, G.; Cani, P.D.; Bindels, L.B.; Delzenne, N.M. Spirulina Protects against Hepatic Inflammation in Aging: An Effect Related to the Modulation of the Gut Microbiota? Nutrients 2017, 9, 633. [Google Scholar] [CrossRef]
- Hashem, A.H.; Abu-Elreesh, G.; El-Sheikh, H.H.; Suleiman, W.B. Isolation, identification, and statistical optimization of a psychrotolerant Mucor racemosus for sustainable lipid production. Biomass Convers. Biorefin. 2022. [CrossRef]
- Araujo, G.S.; Matos, L.J.B.L.; Fernandes, J.O.; Cartaxo, S.J.M.; Gonçalves, L.R.B.; Fernandes, F.A.N.; Farias, W.R.L. Extraction of lipids from microalgae by ultrasound application: Prospection of the optimal extraction method. Ultrason. Sonochem. 2013, 20, 95–98. [Google Scholar] [CrossRef]
- Bitam, A.; Aissaoui, O. Chapter 32—Spirulina platensis, oxidative stress, and diabetes. In Diabetes, 2nd ed.; Preedy, V.R., Ed.; Academic Press: Cambridge, MA, USA, 2020; pp. 325–331. [Google Scholar]
- Fattah, I.M.R.; Noraini, M.Y.; Mofijur, M.; Silitonga, A.S.; Badruddin, I.A.; Khan, T.M.Y.; Ong, H.C.; Mahlia, T.M.I. Lipid extraction maximization and enzymatic synthesis of biodiesel from microalgae. Appl. Sci. 2020, 10, 6103. [Google Scholar] [CrossRef]
- Ranjith Kumar, R.; Hanumantha, R.P.; Arumugam, M. Lipid extraction methods from microalgae: A comprehensive review. Front. Energy Res. 2015, 2, 1–9. [Google Scholar] [CrossRef]
- Neto, A.M.P.; Sotana de Souza, R.A.; Leon-Nino, A.D.; da Costa, J.D.A.; Tiburcio, R.S.; Nunes, T.A.; Sellare de Mello, T.C.; Kanemoto, F.T.; Saldanha-Corrêa, F.M.P.; Gianesella, S.M.F. Improvement in microalgae lipid extraction using a sonication-assisted method. Renew. Energy 2013, 55, 525–531. [Google Scholar] [CrossRef]
- Carreira-Casais, A.; Otero, P.; Garcia-Perez, P.; Garcia-Oliveira, P.; Pereira, A.G.; Carpena, M.; Soria-Lopez, A.; Simal-Gandara, J.; Prieto, M.A. Benefits and drawbacks of ultrasound-assisted extraction for the recovery of bioactive compounds from marine algae. Int. J. Environ. Res. Public Health 2021, 18, 9153. [Google Scholar] [CrossRef]
- Figueiredo, A.R.P.; da Costa, E.; Silva, J.; Domingues, M.R.; Domingues, P. The effects of different extraction methods of lipids from Nannochloropsis oceanica on the contents of omega-3 fatty acids. Algal Res. 2019, 41, 101556. [Google Scholar] [CrossRef]
- Natarajan, R.; Ang, W.M.R.; Chen, X.; Voigtmann, M.; Lau, R. Lipid releasing characteristics of microalgae species through continuous ultrasonication. Bioresour. Technol. 2014, 158, 7–11. [Google Scholar] [CrossRef]
- Pohndorf, R.S.; Camara, Á.S.; Larrosa, A.P.Q.; Pinheiro, C.P.; Strieder, M.M.; Pinto, L.A.A. Production of lipids from microalgae Spirulina sp.: Influence of drying, cell disruption and extraction methods. Biomass Bioenergy 2016, 93, 25–32. [Google Scholar] [CrossRef]
- Liu, S.; Hajar, H.A.A.; Riefler, G.; Stuart, B.J. Lipid Extraction from Spirulina sp. and Schizochytrium sp. using supercritical CO2 with methanol. Biomed. Res. Int. 2018, 2018, 2720763. [Google Scholar] [CrossRef] [PubMed]
- Mubarak, M.; Shaija, A.; Suchithra, T.V. Ultrasonication: An effective pre-treatment method for extracting lipid from Salvinia molesta for biodiesel production. Resour. Effic. Technol. 2016, 2, 126–132. [Google Scholar] [CrossRef]
- Shojaei, S.; Shojaei, S.; Band, S.S.; Farizhandi, A.A.K.; Ghoroqi, M.; Mosavi, A. Application of Taguchi method and response surface methodology into the removal of malachite green and auramine-O by NaX nanozeolites. Sci. Rep. 2021, 11, 16054. [Google Scholar] [CrossRef] [PubMed]
- Pander, A.; Ishimoto, K.; Hatta, A.; Furuta, H. Significant decrease in the reflectance of thin CNT forest films tuned by the Taguchi method. Vacuum 2018, 154, 285–295. [Google Scholar] [CrossRef]
- Srivastava, V.C.; Mall, I.D.; Mishra, I.M. Multicomponent adsorption study of metal ions onto bagasse fly ash using Taguchi’s design of experimental methodology. Ind. Eng. Chem. Res. 2007, 46, 5697–5706. [Google Scholar] [CrossRef]
- Mustapha, A.N.; Zhang, Y.; Zhang, Z.; Ding, Y.; Yuan, Q.; Li, Y. Taguchi and ANOVA analysis for the optimization of the microencapsulation of a volatile phase change material. J. Mater. Res. Technol. 2021, 11, 667–680. [Google Scholar] [CrossRef]
- Tamizharasan, T.; Senthilkumar, N.; Selvakumar, V.; Dinesh, S. Taguchi’s methodology of optimizing turning parameters over chip thickness ratio in machining P/M AMMC. SN Appl. Sci. 2019, 1, 160. [Google Scholar] [CrossRef]
- Ben-Gal, I. On the use of data compression measures to analyze robust designs. IEEE Trans. Reliab. 2005, 54, 381–388. [Google Scholar] [CrossRef]
- Rokicka, M.; Zieliński, M.; Dudek, M.; Dębowski, M. Effects of ultrasonic and microwave pretreatment on lipid extraction of microalgae and methane production from the residual extracted biomass. Bioenergy Res. 2021, 14, 752–760. [Google Scholar] [CrossRef]
- Bobde, K.; Momin, H.; Bhattacharjee, A.; Aikat, K. Energy assessment and enhancement of the lipid yield of indigenous Chlorella sp. KA-24NITD using Taguchi approach. Renew. Energy 2019, 131, 1226–1235. [Google Scholar] [CrossRef]
- Anıl, I.; Öztürk, N.; Alagha, O.; Ergenekon, P. Optimization of solid-phase microextraction using Taguchi design to quantify trace level polycyclic aromatic hydrocarbons in water. J. Sep. Sci. 2012, 35, 3561–3568. [Google Scholar] [CrossRef] [PubMed]
- Ryckebosch, E.; Muylaert, K.; Foubert, I. Optimization of an analytical procedure for extraction of lipids from microalgae. J. Am. Oil Chem. Soc. 2012, 89, 189–198. [Google Scholar] [CrossRef]
- Chaiklahan, R.; Chirasuwan, N.; Loha, V.; Bunnag, B. Lipid and fatty acids extraction from the cyanobacterium Spirulina. Sci. Asia 2008, 34, 299–305. [Google Scholar] [CrossRef]
- Rizal, S.; Abdullah, C.K.; Olaiya, N.G.; Sri Aprilia, N.A.; Zein, I.; Surya, I.; Abdul Khalil, H.P.S. Preparation of palm oil ash nanoparticles: Taguchi optimization method by particle size distribution and morphological studies. Appl. Sci. 2020, 10, 985. [Google Scholar] [CrossRef]
- Lee, I.H.; Kuan, Y.C.; Chern, J.M. Factorial experimental design for recovering heavy metals from sludge with ion-exchange resin. J. Hazard. Mater. 2006, 138, 549–559. [Google Scholar] [CrossRef] [PubMed]
- Srivastava, V.C.; Mall, I.D.; Mishra, I.M. Optimization of parameters for adsorption of metal ions onto rice husk ash using Taguchi’s experimental design methodology. Chem. Eng. J. 2008, 140, 136–144. [Google Scholar] [CrossRef]
- Hadiyanto, H.; Adetya, N.P. Response surface optimization of lipid and protein extractions from Spirulina platensis using ultrasound assisted osmotic shock method. Food Sci. Biotechnol. 2018, 27, 1361–1368. [Google Scholar] [CrossRef]
- Ambrozova, J.V.; Misurcova, L.; Vicha, R.; Machu, L.; Samek, D.; Baron, M.; Mlcek, J.; Sochor, J.; Jurikova, T. Influence of extractive solvents on lipid and fatty acids content of edible freshwater algal and seaweed products, the green microalga Chlorella kessleri and the cyanobacterium Spirulina platensis. Molecules 2014, 19, 2344–2360. [Google Scholar] [CrossRef]
- Kalsum, U.; Kusuma, H.S.; Roesyadi, A.; Mahfud, M. Lipid Extraction from Spirulina platensis using microwave for biodiesel production. Korean Chem. Eng. Res. 2019, 57, 301–304. [Google Scholar]
- Ríos Pinto, L.F.; Ferreira, G.F.; Beatriz, F.P.; Cabral, F.A.; Filho, R.M. Lipid and phycocyanin extractions from Spirulina and economic assessment. J. Supercrit. Fluids 2022, 184, 105567. [Google Scholar] [CrossRef]
- Feng, W.; Qian, L.; Wang., W.; Wang, T.; Deng, Z.; Yang, F.; Xiong, J.; Wang, C. Exploring the potential of lipids from black soldier fly: New paradigm for biodiesel production (II)-Extraction kinetics and thermodynamic. Renew. Energy 2018, 119, 12–18. [Google Scholar] [CrossRef]
- Vishnu Priya, M.; Ramesh, K.; Sivakumar, P.; Balasubramanian, R.; Sircar, A. Kinetic and thermodynamic studies on the extraction of bio lipid from Chlorella vulgaris and the subsequent biodiesel production. Chem. Eng. Commun. 2019, 206, 409–418. [Google Scholar]
- Hadrich, B.; Akremi, I.; Dammak, M.; Barkallah, M.; Fendri, I.; Abdelkafi, S. Optimization of lipids’ ultrasonic extraction and production from Chlorella sp. using response-surface methodology. Lipids Health Dis. 2018, 17, 87. [Google Scholar] [CrossRef]


| SL | S/N | |||||
|---|---|---|---|---|---|---|
| Level | A | B | C | A | B | C |
| 1 | 6.87 | 4.93 | 7.46 | 16.56 | 13.45 | 17.20 |
| 2 | 7.17 | 7.97 | 6.87 | 16.62 | 18.00 | 16.25 |
| 3 | 6.91 | 8.05 | 6.61 | 16.31 | 18.04 | 16.04 |
| Delta | 0.30 | 3.12 | 0.85 | 0.31 | 4.59 | 1.16 |
| Rank | 3 | 1 | 2 | 3 | 1 | 2 |
| SL | S/N | |||||||||||||
|---|---|---|---|---|---|---|---|---|---|---|---|---|---|---|
| Parameter | DF | Seq SS | Adj SS | Adj MS | F | p | PC (%) | DF | Seq SS | Adj SS | Adj MS | F | p | PC (%) |
| A | 2 | 0.17 | 0.17 | 0.08 | 0.41 | 0.71 | 0.9 | 2 | 0.16 | 0.16 | 0.08 | 0.16 | 0.86 | 0.4 |
| B | 2 | 19.00 | 19.00 | 9.48 | 47.11 | 0.02 | 92.1 | 2 | 41.79 | 41.79 | 20.90 | 41.38 | 0.02 | 92.3 |
| C | 2 | 1.15 | 1.15 | 0.60 | 2.84 | 0.26 | 5.3 | 2 | 2.29 | 2.29 | 1.15 | 2.27 | 0.31 | 5.0 |
| RE * | 2 | 0.40 | 0.40 | 0.20 | 2 | 1.01 | 1.01 | 0.51 | ||||||
| Total | 8 | 20.68 | 8 | 45.25 | ||||||||||
| Microalgae | Predicted Optimal Value (%) | Confidence Intervals (95%) | Confirmation Experiment (%) |
|---|---|---|---|
| Spirulina spp. | 8.7 | CIPOP: 6.8 < µL < 10.6 | 8.7 ± 0.1 |
| CICE: 6.5 < µL < 10.9 |
| Fatty Acids | Class of Fatty Acids | Ultrasound % | Without Ultrasound (%) |
|---|---|---|---|
| Palmitic acid, C16:0 | SFA | 44.5 | 42.9 |
| Palmitoleic acid, C16:1 | MUFA | 3.3 | 3.2 |
| Linoleic acid, C18:2(cis + trans) (n6) | PUFA | 14.9 | 14.4 |
| Gamma-linolenic acid, C18:3(n6) | PUFA | 13.4 | 15.4 |
| Symbol | Parameters | Level 1 | Level 2 | Level 3 |
|---|---|---|---|---|
| A | methanol:chloroform ratio (v/v) | M:C 2:1 | M:C 1:1 | M:C 1:2 |
| B | biomass: solvent ratio (w/v) | 1:10 | 1:30 | 1:60 |
| C | extraction time (min) | 30 | 60 | 120 |
| Experiment | A | B | C | SL * | S/N |
|---|---|---|---|---|---|
| 1 | M:C 2:1 | 1:10 | 30 | 5.6 ± 0.9 | 14.7 |
| 2 | M:C 2:1 | 1:30 | 60 | 7.7 ± 0.4 | 17.7 |
| 3 | M:C 2:1 | 1:60 | 120 | 7.3 ± 0.1 | 17.3 |
| 4 | M:C 1:1 | 1:10 | 60 | 4.8 ± 1.2 | 13.0 |
| 5 | M:C 1:1 | 1:30 | 120 | 8.1 ± 0.1 | 18.1 |
| 6 | M:C 1:1 | 1:60 | 30 | 8.7 ± 0.1 | 18.8 |
| 7 | M:C 1:2 | 1:10 | 120 | 4.4 ± 0.7 | 12.7 |
| 8 | M:C 1:2 | 1:30 | 30 | 8.1 ± 0.5 | 18.2 |
| 9 | M:C 1:2 | 1:60 | 60 | 8.1 ± 1.0 | 18.1 |
| Mean | 7.0 |
Publisher’s Note: MDPI stays neutral with regard to jurisdictional claims in published maps and institutional affiliations. |
© 2022 by the authors. Licensee MDPI, Basel, Switzerland. This article is an open access article distributed under the terms and conditions of the Creative Commons Attribution (CC BY) license (https://creativecommons.org/licenses/by/4.0/).
Share and Cite
Neag, E.; Stupar, Z.; Varaticeanu, C.; Senila, M.; Roman, C. Optimization of Lipid Extraction from Spirulina spp. by Ultrasound Application and Mechanical Stirring Using the Taguchi Method of Experimental Design. Molecules 2022, 27, 6794. https://doi.org/10.3390/molecules27206794
Neag E, Stupar Z, Varaticeanu C, Senila M, Roman C. Optimization of Lipid Extraction from Spirulina spp. by Ultrasound Application and Mechanical Stirring Using the Taguchi Method of Experimental Design. Molecules. 2022; 27(20):6794. https://doi.org/10.3390/molecules27206794
Chicago/Turabian StyleNeag, Emilia, Zamfira Stupar, Cerasel Varaticeanu, Marin Senila, and Cecilia Roman. 2022. "Optimization of Lipid Extraction from Spirulina spp. by Ultrasound Application and Mechanical Stirring Using the Taguchi Method of Experimental Design" Molecules 27, no. 20: 6794. https://doi.org/10.3390/molecules27206794
APA StyleNeag, E., Stupar, Z., Varaticeanu, C., Senila, M., & Roman, C. (2022). Optimization of Lipid Extraction from Spirulina spp. by Ultrasound Application and Mechanical Stirring Using the Taguchi Method of Experimental Design. Molecules, 27(20), 6794. https://doi.org/10.3390/molecules27206794

