Multispectral and Molecular Docking Studies Reveal Potential Effectiveness of Antidepressant Fluoxetine by Forming π-Acceptor Complexes
Abstract
1. Introduction
2. Results and Discussion
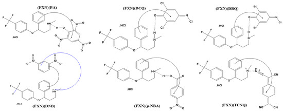
2.1. Multispectroscopic Studies
2.2. Molecular Docking Studies
2.3. Hydrogen Bonds, Ionizability, Hydrophobicity, and Aromatic Surfaces
2.4. MD Simulation and Structural Stability Analysis upon Ligand Binding
2.5. Hydrogen-Bond Analysis
2.6. Solvent Accessibility Surface Area Analysis
2.7. DFT Studies
3. Materials and Methods
3.1. Preface
3.2. Molecular Docking
3.3. MD Simulation Study
3.4. Density Functional Theory
4. Conclusions
Supplementary Materials
Author Contributions
Funding
Institutional Review Board Statement
Informed Consent Statement
Data Availability Statement
Acknowledgments
Conflicts of Interest
References
- Smith, K. Mental health: A world of depression. Nature 2014, 515, 181. [Google Scholar] [CrossRef]
- Vos, T.; Lim, S.S.; Abbafati, C.; Abbas, K.M.; Abbasi, M.; Abbasifard, M.; Bhutta, Z.A.; Ziapour, A.; Zimsen, S.R.M.; Naghavi, M.; et al. Global burden of 369 diseases and injuries in 204 countries and territories, 1990–2019: A systematic analysis for the Global Burden of Disease Study 2019. Lancet 2020, 396, 1204–1222. [Google Scholar] [CrossRef]
- Vos, T.; Allen, C.; Arora, M.; Barber, R.M.; Bhutta, Z.A.; Brown, A.; Liang, X.; Kawashima, T.; Coggeshall, M.; Zhu, J.; et al. Global, regional, and national incidence, prevalence, and years lived with disability for 301 acute and chronic diseases and injuries in 188 countries, 1990–2013: Asystematic analysis for the Global Burden of Disease Study 2013. Lancet 2015, 386, 743–800. [Google Scholar] [CrossRef]
- Whooley, M.A.; Wong, J.M. Depression and cardiovascular disorders. Annu. Rev. Clin. Psychol. 2013, 9, 327–354. [Google Scholar] [CrossRef] [PubMed]
- World Health Organization. Suicide. WHO. Available online: http://www.who.int/topics/suicide/en/ (accessed on 1 March 2022).
- Chesney, E.; Goodwin, G.M.; Fazel, S. Risks of allcause and suicide mortality in mental disorders: Ameta-review. World Psychiatry 2014, 13, 153–160. [Google Scholar] [CrossRef]
- Wong, D.T.; Horng, J.S.; Bymaster, F.P.; Hauser, K.L.; Molloy, B.B. A selective inhibitor of serotonin uptake: Lilly 110140, 3-(p-trifluoromethylphenoxy)-N-methyl-3- phenylpropylamine. Life Sci. 1974, 15, 471–479. [Google Scholar] [CrossRef]
- Bauer, M.; Monz, B.U.; Montejo, A.L.; Quail, D.; Dantchev, N.; Demyttenaere, K.; GarciaCebrian, A.; Grassi, L.; Perahia, D.G.S.; Reed, C.; et al. Prescribing patterns of antidepressants in europe: Results from the Factors Influencing Depression Endpoints Research (FINDER) study. Eur. Psychiatry 2008, 23, 66–73. [Google Scholar] [CrossRef]
- National Institute for Health and Care Excellence, NICE. Depression in Children and Young People: Identification and Management NICE Guideline [NG134]; NICE: London, UK, 2019. [Google Scholar]
- Korolkovas, A. Essentials of Medical Chem, 2nd ed.; Wiley: New York, NY, USA, 1998; Chapter 3. [Google Scholar]
- Slifkin, A.M. Charge-Transfer Interaction of Biomolecules; Academic Press: New York, NY, USA, 1971. [Google Scholar]
- Abou Attia, F.M. Use of charge-transfer complex formation for the spectrophotometric determination of nortriptyline. Farmaco 2000, 55, 659. [Google Scholar] [CrossRef]
- Basavaiah, K. Determination of some psychotropic phenothiazine drugs by charge-transfer complexation reaction with chloranilic acid. Farmaco 2004, 59, 315. [Google Scholar] [CrossRef]
- Liu, H.; Liu, Z.; Jiang, W.; Fu, H. Tuning the charge transfer properties by optimized donor–acceptor cocrystal for FET applications: From P type to N type. J. Solid State Chem. 2019, 274, 47–51. [Google Scholar] [CrossRef]
- Murugesan, V.; Saravanabhavan, M.; Sekar, M. Synthesis, spectral, structural analysis and biological evaluation of a new hydrogen-bonded charge-transfer complex: 2,3-dimethylquinoxalinium-p-toluenesulfonate. J. Photochem. Photobiol. B 2014, 140, 20–27. [Google Scholar] [CrossRef] [PubMed]
- Singh, N.; Khan, I.M.; Ahmad, A.; Javed, S. Preparation, spectral investigation and spectrophotometric studies of proton transfer complex of 2,2′-bipyridine with 3,5-dinitrobenzoic acid in various polar solvents. J. Mol. Struct. 2014, 1065–1066, 74–85. [Google Scholar] [CrossRef]
- Darwish, I.A.; Wani, T.A.; Khalil, N.Y.; Abdel-Rahman, H.M. High throughput microwell spectrophotometric assay for olmesartanmedoxomil in tablets based on its charge-transfer reaction with DDQ. Acta Pharm. 2014, 64, 63–75. [Google Scholar] [CrossRef] [PubMed]
- Khalil, N.Y.; Wani, T.A.; Darwish, I.A.; Assiri, I. Charge-transfer reaction of cediranib with 2,3-dichloro-3,5-dicyano-1,4-benzoquinone: Spectrophotometric investigation and use in development of microwell assay for cediranib. Trop. J. Pharm. Res. 2015, 14, 1667–1672.17. [Google Scholar] [CrossRef]
- Refat, M.S.; Ibrahim, O.B.; Saad, H.A.; Adam, A.M.A. Usefulness of charge–transfer complexation for the assessment of sympathomimetic drugs: Spectroscopic properties of drug ephedrine hydrochloride complexed with some π-acceptors. J. Mol. Struct. 2014, 1064, 58–69. [Google Scholar] [CrossRef]
- Eldaroti, H.H.; Gadir, S.A.; Refat, M.S.; Adam, A.M.A. Charge-transfer interaction of drug quinidine with quinol, picric acid and DDQ: Spectroscopic characterization and biological activity studies towards understanding the drug–receptor mechanism. J. Pharm. Anal. 2014, 4, 81–95. [Google Scholar] [CrossRef]
- El-Habeeb, A.A.; Al-Saif, F.A.; Refat, M.S. Charge-transfer interactions of metoclopramide nausea drug against six kind of π-acceptors: Spectral and thermal discussions. Spectrochim. Acta Part A 2014, 123, 455–466. [Google Scholar] [CrossRef]
- Elqudaby, H.M.; Mohamed, G.G.; El-Din, G.M.G. Analytical studies on the charge transfer complexes of loperamide hydrochloride and trimebutine drugs. Spectroscopic and thermal characterization of CT complexes. Spectrochim. Acta Part A 2014, 129, 84–95. [Google Scholar] [CrossRef]
- Eldaroti, H.H.; Gadir, S.A.; Refat, M.S.; Adam, A.M.A. Spectroscopic investigations of the charge-transfer interaction between the drug reserpine and different acceptors: Towards understanding of drug–receptor mechanism. Spectrochim. Acta Part A 2013, 115, 309–323. [Google Scholar] [CrossRef]
- El-Habeeb, A.A.; Al-Saif, F.A.; Refat, M.S. Spectroscopic and thermal investigations on the charge transfer interaction between risperidone as a schizophrenia drug with some traditional π-acceptors: Part 2. J. Mol. Struct. 2013, 1036, 464–477. [Google Scholar] [CrossRef]
- El-Habeeb, A.A.; Refat, M.S. Charge transfer complexes beneficial method for determination of fluoxetine HCl pure drug: Spectroscopic and thermal analyses discussions. Russ. J. Gen. Chem. 2014, 84, 1810–1818. [Google Scholar] [CrossRef]
- Alhomrani, M.; Alsanie, W.F.; Alamri, A.S.; Alyami, H.; Habeeballah, H.; Alkhatabi, H.A.; Felimban, R.I.; Haynes, J.M.; Shakya, S.; Raafat, B.M.; et al. Enhancing theAntipsychotic Effect of Risperidoneby Increasing Its Binding Affinity toSerotonin Receptor via Picric Acid: A Molecular Dynamics Simulation. Pharmaceuticals 2022, 15, 285. [Google Scholar] [CrossRef] [PubMed]
- Alsanie, W.F.; Alamri, A.S.; Alyami, H.; Alhomrani, M.; Shakya, S.; Habeeballah, H.; Alkhatabi, H.A.; Felimban, R.I.; Alzahrani, A.S.; Alhabeeb, A.A.; et al. Increasing the Efficacy of Seproxetine as an Antidepressant Using Charge-Transfer Complexes. Molecules 2022, 27, 3290. [Google Scholar] [CrossRef] [PubMed]
- Alamri, A.S.; Alhomrani, M.; Alsanie, W.F.; Alyami, H.; Shakya, S.; Habeeballah, H.; Alamri, A.; Alzahrani, O.; Alzahrani, A.S.; Alkhatabi, H.A.; et al. Enhancement of Haloperidol Binding Affinity to Dopamine Receptor via Forming a Charge-Transfer Complex with Picric Acid and 7,7,8,8-Tetracyanoquinodimethane for Improvement of the Antipsychotic Efficacy. Molecules 2022, 27, 3295. [Google Scholar] [CrossRef]
- Darwish, I.A.; Khalil, N.Y.; Alsaif, N.A.; Herqash, R.N.; Sayed, A.Y.A.; Abdel-Rahman, H.M. Charge-Transfer Complex of Linifanib with 2,3-dichloro-3,5-dicyano-1,4-benzoquinone: Synthesis, Spectroscopic Characterization, Computational Molecular Modelling and Application in the Development of Novel 96-microwell Spectrophotometric Assay. Drug Des. Dev. Ther. 2021, 15, 1167–1180. [Google Scholar] [CrossRef]
- He, S.; Wu, L.; Li, X.; Sun, H.; Xiong, T.; Liu, J.; Huang, C.; Xu, H.; Sun, H.; Chen, W.; et al. Metal-organic frameworks for advanced drug delivery. Acta Pharm. Sin. B 2021, 11, 2362–2395. [Google Scholar] [CrossRef]
- Bellamy, L.J. The Infrared Spectra of Complex Molecules; Chapman & Hall: London, UK, 1975. [Google Scholar]
- Foster, R. Organic Charge-Transfer Complexes; Academic Press: New York, NY, USA, 1969. [Google Scholar]
- Akram, M.; Lal, H.; Shakya, S.; Din, K.U. Multispectroscopic and Computational Analysis Insight into the Interaction of Cationic Diester-Bonded Gemini Surfactants with Serine Protease α-Chymotrypsin. ACS Omega 2020, 5, 3624–3637. [Google Scholar] [CrossRef]
- Khan, I.M.; Shakya, S.; Islam, M.; Khan, S.; Najnin, H. Synthesis and spectrophotometric studies of CT complex between 1, 2-dimethylimidazole and picric acid in different polar solvents: Exploring antimicrobial activities and molecular (DNA) docking. Phys. Chem. Liq. 2021, 59, 753–769. [Google Scholar] [CrossRef]
- Krivák, R.; Jendele, L.; Hoksza, D. Peptide-Binding Site Prediction from Protein Structure via points on the Solvent Accessible Surface. In Proceedings of the 2018 ACM International Conference on Bioinformatics, Computational Biology, and Health Informatics, Washington, DC, USA, 29 August–1 September 2018. [Google Scholar] [CrossRef]
- Ranjbar, A.; Jamshidi, M.; Torabi, S. Molecular modelling of the antiviral action of Resveratrol derivatives against the activity of two novel SARS CoV-2 and 2019-nCoV receptors. Eur. Rev. Med. Pharm. Sci. 2020, 24, 7834. [Google Scholar] [CrossRef]
- Kufareva, I.; Abagyan, R. Methods of protein structure comparison. Methods Mol. Biol. 2012, 857, 231–257. [Google Scholar]
- Wu, S.; Zhang, Y. A comprehensive assessment of sequence-based and template-based methods for protein contact prediction. Bioinformatics 2008, 24, 924–931. [Google Scholar] [CrossRef] [PubMed][Green Version]
- Marks, D.S.; Colwell, L.J.; Sheridan, R.; Hopf, T.A.; Pagnani, A.; Zecchina, R.; Sander, C. Protein 3D structure computed from evolutionary sequence variation. PLoS ONE 2011, 6, e28766. [Google Scholar] [CrossRef] [PubMed]
- Kavitha, R.; Nirmala, S.; Nithyabalaji, R.; Sribalan, R. Biological evaluation, molecular docking and DFT studies of charge transfer complexes of quinaldic acid with heterocyclic carboxylic acid. J. Mol. Struct. 2020, 1204, 127508. [Google Scholar] [CrossRef]
- Akram, M.; Lal, H.; Shakya, S.; Varshney, R. Molecular engineering of complexation between RNA and biodegradable cationic gemini surfactants: Role of the hydrophobic chain length. Mol. Syst. Des. Eng. 2022, 7, 487–506. [Google Scholar] [CrossRef]
- Shakya, S.; Khan, I.M.; Ahmad, M. Charge transfer complex based real-time colorimetric chemosensor for rapid recognition of dinitrobenzene and discriminative detection of Fe2+ ions in aqueous media and human hemoglobin. J. Photochem. Photobiol. A Chem. 2020, 392, 112402. [Google Scholar] [CrossRef]
- Islam, M.R.; Shakya, S.; Selim, A.; Alam, M.S.; Ali, M. Solvatochromic Absorbance and Fluorescence Probe Behavior within Ionic Liquid+ γ-Butyrolactone Mixture. J. Chem. Eng. Data 2019, 64, 4169–4180. [Google Scholar] [CrossRef]
- Khan, I.M.; Shakya, S. Exploring Colorimetric Real-Time Sensing Behavior of a Newly Designed CT Complex toward Nitrobenzene and Co2+: Spectrophotometric, DFT/TD-DFT, and Mechanistic Insights. ACS Omega 2019, 4, 9983–9995. [Google Scholar] [CrossRef]
- Refat, M.S.; Saad, H.A.; Gobouri, A.A.; Alsawat, M.; Adam, A.M.A.; Shakya, S.; Gaber, A.; Alsuhaibani, A.M. El-Megharbel, S.M. Synthesis and spectroscopic characterizations of nanostructured charge transfer complexes associated between moxifloxacin drug donor and metal chloride acceptors as a catalytic agent in a recycling of wastewater. J. Mol. Liq. 2022, 349, 118121. [Google Scholar] [CrossRef]
- Flores-Holguín, N.; Frau, J.; Glossman-Mitnik, D. Virtual Prospection of Marine Cyclopeptides as Therapeutics by Means of Conceptual DFT and Computational ADMET. Pharmaceuticals 2022, 15, 509. [Google Scholar] [CrossRef]
- Murugavel, S.; Ravikumar, C.; Jaabil, G.; Alagusundaram, P. Synthesis, crystal structure analysis, spectral investigations (NMR, FT-IR, UV), DFT calculations, ADMET studies, molecular docking and anticancer activity of 2-(1-benzyl-5-methyl-1H-1,2,3-triazol-4-yl)-4-(2-chlorophenyl)-6-methoxypyridine–a novel potent human topoisomerase IIα inhibitor. J. Mol. Struct. 2019, 1176, 729–742. [Google Scholar]
- Khan, M.S.; Khalid, M.; Ahmad, M.S.; Shahid, M.; Ahmad, M. Three-in-one is really better: Exploring the sensing and adsorption properties in a newly designed metal–organic system incorporating a copper (II) ion. Dalton Trans. 2019, 48, 12918–12932. [Google Scholar] [CrossRef] [PubMed]
- Shakya, S.; Khan, I.M. Charge transfer complexes: Emerging and promising colorimetric real-time chemosensors for hazardous materials. J. Hazard. Mater. 2021, 403, 123537. [Google Scholar] [CrossRef] [PubMed]
- El-Habeeb, A.A.; Refat, M.S. Synthesis and spectroscopic characterizations of n–π* ion radical and π–π* transitions in situ charge transfer complexes between trazodone hydrochloride and different type of π–acceptors. Russ. J Gen. Chem. 2015, 85, 951–958. [Google Scholar] [CrossRef]
- O’Boyle, N.M.; Banck, M.; James, C.A.; Morley, C.; Vandermeersch, T.; Hutchison, G.R. Open Babel: An open chemical toolbox. J. Cheminform. 2011, 3, 33. [Google Scholar] [CrossRef]
- PyRx-Python Prescription v. 0.8; The Scripps Research Institute: San Diego, CA, USA, 2008.
- Chu, C.-H.; Li, K.-M.; Lin, S.-W.; Chang, M.D.-T.; Jiang, T.-Y.; Sun, Y.-J. Crystal structures of starch binding domain from Rhizopus oryzae glucoamylase in complex with isomaltooligosaccharide: Insights into polysaccharide binding mechanism of CBM21 family. Proteins Struct. Funct. Bioinform. 2014, 82, 1079–1085. [Google Scholar] [CrossRef]
- Morris, G.M.; Goodsell, D.S.; Halliday, R.S.; Huey, R.; Hart, W.E.; Belew, R.K.; Olson, A.J. Automated docking using a Lamarckian genetic algorithm and an empirical binding free energy function. J. Comput. Chem. 1998, 19, 1639–1662. [Google Scholar] [CrossRef]
- Trott, O.; Olson, A.J. AutoDock Vina: Improving the speed and accuracy of docking with a new scoring function, efficient optimization, and multithreading. J. Comput. Chem. 2010, 31, 455–461. [Google Scholar] [CrossRef]
- Vanommeslaeghe, K.; Hatcher, E.; Acharya, C.; Kundu, S.; Zhong, S.; Shim, J.; Darian, E.; Guvench, O.; Lopes, P.; Vorobyov, I.; et al. CHARMM general force field: A force field for drug-like molecules compatible with the CHARMM all-atom additivebiological force fields. J. Comput. Chem. 2010, 31, 671–690. [Google Scholar] [CrossRef]
- Yu, W.; He, X.; Vanommeslaeghe, K.; MacKerell, A.D., Jr. Extension of the CHARMM General Force Field to sulfonylcontaining compounds and its utility in biomolecular simulations. J. Comput. Chem. 2012, 33, 2451–2468. [Google Scholar] [CrossRef]
- Jorgensen, W.L.; Chandrasekhar, J.; Madura, J.D.; Impey, R.W.; Klein, M.L. Comparison of Simple Potential Functions for Simulating Liquid Water. J. Chem. Phys. 1983, 79, 926–935. [Google Scholar] [CrossRef]
- Allen, M.P.; Tildesley, D.J. Computer Simulations of Liquids; Clarendon Press: Oxford, UK, 1987. [Google Scholar]
- Essmann, U.; Perera, L.; Berkowitz, M.L.; Darden, T.; Lee, H.; Pedersen, L.G. A Smooth Particle Mesh Ewald Method. J. Chem. Phys. 1995, 103, 8577–8593. [Google Scholar] [CrossRef]
- Steinbach, P.J.; Brooks, B.R. New Spherical-Cutoff Methods for Long-Range Forces in Macromolecular Simulation. J. Comput. Chem. 1994, 15, 667–683. [Google Scholar] [CrossRef]
- Humphrey, W.; Dalke, A.; Schulten, K. VMD: Visual molecular dynamics. J. Mol. Graph. 1996, 14, 28–33. [Google Scholar] [CrossRef]
- DeLano, W.L. PyMOL; DeLano Scientific: San Francisco, CA, USA, 2002. [Google Scholar]
- Frisch, M.J.; Trucks, G.W.; Schlegel, H.B.; Scuseria, G.E.; Robb, M.A.; Cheeseman, J.R.; Scalmani, G.; Barone, V.; Petersson, G.A.; Nakatsuji, H.; et al. Gaussian 09, Revision E.01; Gaussian, Inc.: Wallingford, CT, USA, 2009. [Google Scholar]
- Becke, A.D. Density-functional thermochemistry. III. The role of exact exchange. J. Chem. Phys. 1993, 98, 5648. [Google Scholar] [CrossRef]
- Hariharan, P.C.; Pople, J.A. The effect of d-functions on molecular orbital energies for hydrocarbons. Chem. Phys. Lett. 1972, 16, 217–219. [Google Scholar] [CrossRef]
- Zhurko, G.A.; Zhurko, D.A. Chemcraft-Graphical Program for Visualization of Quantum Chemistry Computations, Academic Version 1.5 (2004); Ivanovo, Russia; 2004. Available online: https://www.chemcraftprog.com/ (accessed on 5 September 2022).





















| Ligands | Docking Score (kcal/mol) | |
|---|---|---|
| PDB ID: 6A94 | PDB ID: 6CM4 | |
| FXN-TCNQ | −7.8 | −7.4 |
| FXN-pNBA | −6.2 | −5.9 |
| FXN-DNB | −7.6 | −7.1 |
| FXN-DBQ | −8.1 | −7.9 |
| FXN-DCQ | −7.8 | −7.2 |
| FXN-PA | −9.5 | −8.8 |
| FXN | −8.5 | −7.9 |
| Ligands | Docking Score (kcal/mol) | Interactions | |
|---|---|---|---|
| H-Bond | Others | ||
| [(FXN)(PA)]–serotonin | −9.5 | Asn363 | Val7.38, Leu45.52, Phe6.51(π-Alkyl); Asp3.32(π-Anion) |
| (FXN)–serotonin | −8.5 | Phe5.47, Phe6.44(π-Alkyl); Phe6.52, Trp6.48 (π-Stacked); Asp3.32(π-Anion); Ser5.46, Ser3.36 (Halogen-Fluorine) | |
| Parameters. | RB3LYP/6-311G++ |
|---|---|
| Minimum SCF energy (a.u.) | −2008.551032 |
| Polarizability (α) (a.u.) | 302.014352 |
| Dipole Moment (Debye) | 9.730154 |
| Zero-point vibrational energy (kcal/mol) | 248.24365 |
| Total thermal energy (kcal/mol) | 251.492 |
| Electronic spatial extent (a.u.) | 29,874.6801 |
| Frontier MO energies (eV) | |
| LUMO | −3.542 |
| HOMO | −7.189 |
| HOMO-1 | −7.310 |
| Gap (LUMO–HOMO) | 3.646 |
| Gap (LUMO–HOMO-1) | 3.768 |
| Indole | Tyrosine | Tryptophan | FXN | PA | [(FXN)(PA)] | |
|---|---|---|---|---|---|---|
| LUMO (eV) | −0.456 | −0.872 | −0.827 | −3.746 | −4.494 | −3.542 |
| HOMO (eV) | −5.617 | −5.974 | −5.451 | −7.847 | −8.524 | −7.189 |
| Band gap (eV) | 5.160 | 5.102 | 4.653 | 4.101 | 4.029 | 3.646 |
Publisher’s Note: MDPI stays neutral with regard to jurisdictional claims in published maps and institutional affiliations. |
© 2022 by the authors. Licensee MDPI, Basel, Switzerland. This article is an open access article distributed under the terms and conditions of the Creative Commons Attribution (CC BY) license (https://creativecommons.org/licenses/by/4.0/).
Share and Cite
Gaber, A.; Alsanie, W.F.; Alhomrani, M.; Alamri, A.S.; Alyami, H.; Shakya, S.; Habeeballah, H.; Alkhatabi, H.A.; Felimban, R.I.; Alamri, A.; et al. Multispectral and Molecular Docking Studies Reveal Potential Effectiveness of Antidepressant Fluoxetine by Forming π-Acceptor Complexes. Molecules 2022, 27, 5883. https://doi.org/10.3390/molecules27185883
Gaber A, Alsanie WF, Alhomrani M, Alamri AS, Alyami H, Shakya S, Habeeballah H, Alkhatabi HA, Felimban RI, Alamri A, et al. Multispectral and Molecular Docking Studies Reveal Potential Effectiveness of Antidepressant Fluoxetine by Forming π-Acceptor Complexes. Molecules. 2022; 27(18):5883. https://doi.org/10.3390/molecules27185883
Chicago/Turabian StyleGaber, Ahmed, Walaa F. Alsanie, Majid Alhomrani, Abdulhakeem S. Alamri, Hussain Alyami, Sonam Shakya, Hamza Habeeballah, Heba A. Alkhatabi, Raed I. Felimban, Abdulwahab Alamri, and et al. 2022. "Multispectral and Molecular Docking Studies Reveal Potential Effectiveness of Antidepressant Fluoxetine by Forming π-Acceptor Complexes" Molecules 27, no. 18: 5883. https://doi.org/10.3390/molecules27185883
APA StyleGaber, A., Alsanie, W. F., Alhomrani, M., Alamri, A. S., Alyami, H., Shakya, S., Habeeballah, H., Alkhatabi, H. A., Felimban, R. I., Alamri, A., Alhabeeb, A. A., Raafat, B. M., & Refat, M. S. (2022). Multispectral and Molecular Docking Studies Reveal Potential Effectiveness of Antidepressant Fluoxetine by Forming π-Acceptor Complexes. Molecules, 27(18), 5883. https://doi.org/10.3390/molecules27185883

