Effects of Medicinal Leech-Related Cationic Antimicrobial Peptides on Human Blood Cells and Plasma
Abstract
1. Introduction
2. Results
2.1. Characteristics of CAMPs Used in this Study
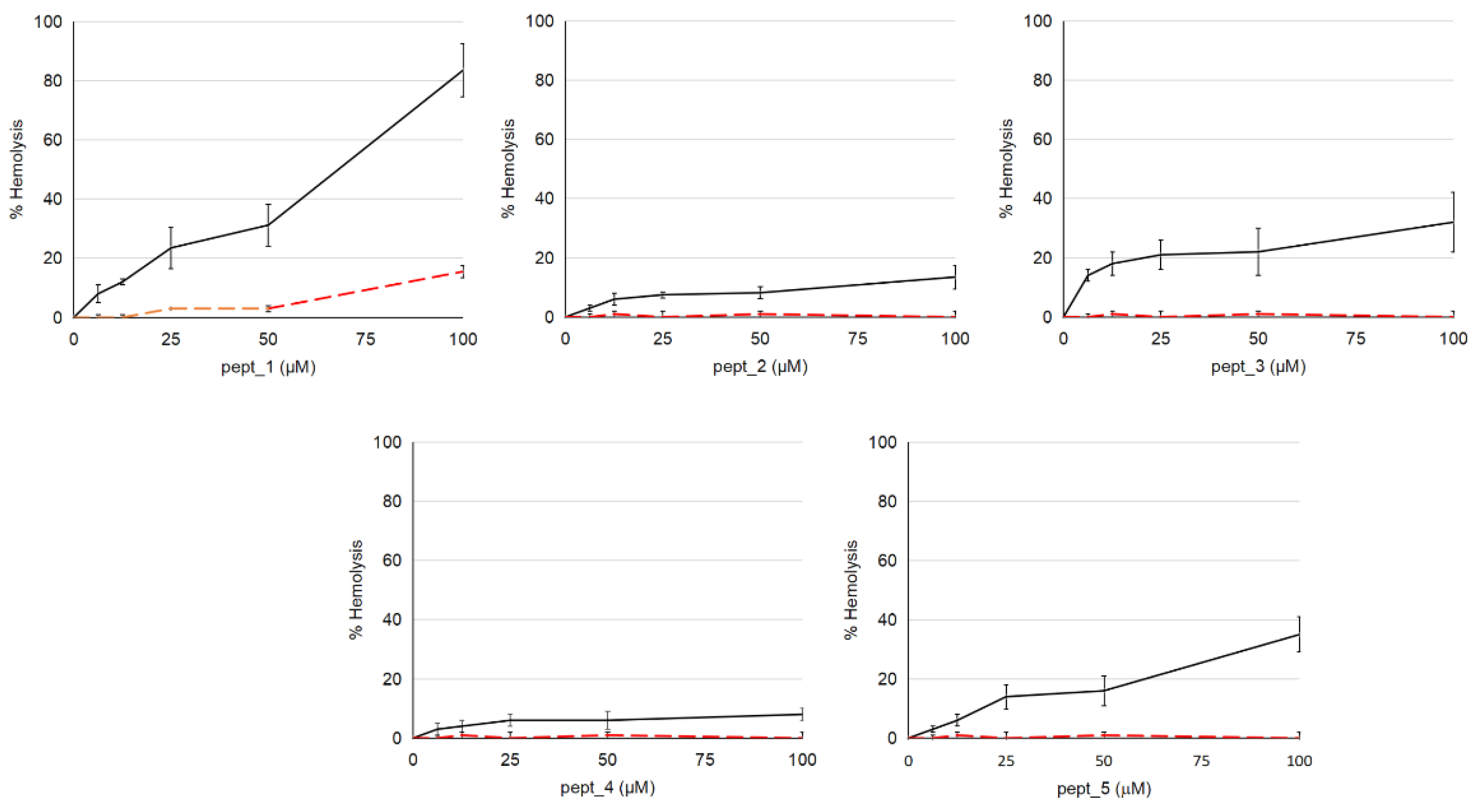
2.2. Effect of CAMPs on Plasma Membrane Integrity of Erythrocytes
2.3. Effect of Blood Plasma and Albumin on CAMP-Induced Hemolysis
2.4. Effect of CAMPs on Plasma Membrane Integrity of Mononuclear Cells and Neutrophils
2.5. Whether CAMP-Mediated Activation of Neutrophils Could Occur
2.5.1. Isolated Neutrophils
2.5.2. Neutrophils in Whole Blood
2.6. Effect of CAMPs on Blood Plasma Coagulation
3. Discussion
4. Materials and Methods
4.1. Reagents
4.2. Peptide Solutions
4.3. Blood Collection
4.4. Isolation of Blood Mononuclear Cells and Neutrophils
4.5. Isolation of Erythrocytes
4.6. Procedure for Obtaining Plasma and Serum
4.7. Cytolytic Activity against Erythrocytes
4.8. Cytolytic Activity against Mononuclear Cells and Neutrophils
4.9. Neutrophil Extracellular Trap (NET) Assay
4.10. Morphological Observation of Isolated Erythrocytes
4.11. Chemiluminescence Assay
4.12. Coagulation Assay
4.13. Minimum Inhibitory Concentration (MIC) Determination
4.14. Statistical Analysis
5. Conclusions
Supplementary Materials
Author Contributions
Funding
Institutional Review Board Statement
Informed Consent Statement
Data Availability Statement
Acknowledgments
Conflicts of Interest
Sample Availability
References
- Mahlapuu, M.; Hakansson, J.; Ringstad, L.; Bjorn, C. Antimicrobial peptides: An emerging category of therapeutic agents. Front. Cell. Infect. Microbiol. 2016, 6, 194. [Google Scholar] [CrossRef] [PubMed]
- Ghosh, C.; Sarkar, P.; Issa, R.; Haldar, J. Alternatives to conventional antibiotics in the era of antimicrobial resistance. Trends Microbiol. 2019, 27, 323–338. [Google Scholar] [CrossRef] [PubMed]
- Hancock, R.E.; Sahl, H.G. Antimicrobial and host-defense peptides as new anti-infective therapeutic strategies. Nat. Biotechnol. 2006, 24, 1551–1557. [Google Scholar] [CrossRef]
- Giuliani, A.; Pirri, G.; Nicoletto, S. Antimicrobial peptides: An overview of a promising class of therapeutics. Cent. Eur. J. Biol. 2007, 2, 1–33. [Google Scholar] [CrossRef]
- Zhang, L.-J.; Gallo, R.L. Antimicrobial peptides. Curr. Biol. 2016, 26, R14–R19. [Google Scholar] [CrossRef]
- Hancock, R.E.W.; Diamond, G. The role of cationic antimicrobial peptides in innate host defences. Trends Microbiol. 2000, 8, 402–410. [Google Scholar] [CrossRef]
- Nakatsuji, T.; Gallo, R.L. Antimicrobial peptides: Old molecules with new ideas. J. Investig. Dermatol. 2012, 132, 887–895. [Google Scholar] [CrossRef]
- Pasupuleti, M.; Schmidtchen, A.; Malmsten, M. Antimicrobial peptides: Key components of the innate immune system. Crit. Rev. Biotechnol. 2012, 32, 143–171. [Google Scholar] [CrossRef]
- Benfield, A.H.; Henriques, S.T. Mode-of-action of antimicrobial peptides: Membrane disruption vs. intracellular mechanisms. Front. Med. Technol. 2020, 2, 610997. [Google Scholar] [CrossRef]
- Epand, R.M.; Vogel, H.J. Diversity of antimicrobial peptides and their mechanisms of action. Biochim. Biophys. Acta Biomemb. 1999, 1462, 11–28. [Google Scholar] [CrossRef]
- Guilhelmelli, F.; Vilela, N.; Albuquerque, P.; Derengowski, L.S.; Silva-Pereira, I.; Kyaw, C.M. Antibiotic development challenges: The various mechanisms of action of antimicrobial peptides and of bacterial resistance. Front. Microbiol. 2013, 4, 353. [Google Scholar] [CrossRef]
- Lima, P.G.; Oliveira, J.T.A.; Amaral, J.L.; Freitas, C.D.T.; Souza, P.F.N. Synthetic antimicrobial peptides: Characteristics, design, and potential as alternative molecules to overcome microbial resistance. Life Sci. 2021, 278, 119647. [Google Scholar] [CrossRef] [PubMed]
- Le, C.-F.; Fang, C.-M.; Sekaran, S.D. Intracellular targeting mechanisms by antimicrobial peptides. Antimicrob. Agents Chemother. 2017, 61, e02340-16. [Google Scholar] [CrossRef] [PubMed]
- Somma, A.D.; Avitabile, C.; Cirillo, A.; Moretta, A.; Merlino, A.; Paduano, L.; Duilio, A.; Romanelli, A. The antimicrobial peptide Temporin L impairs E. coli cell division by interacting with FtsZ and the divisome complex. Biochim. Biophys. Acta Gen. Subj. 2020, 1864, 129606. [Google Scholar] [CrossRef]
- Scocchi, M.; Mardirossian, M.; Runti, G.; Benincasa, M. Non-membrane permeabilizing modes of action of antimicrobial peptides on bacteria. Curr. Top. Med. Chem. 2016, 16, 76–88. [Google Scholar] [CrossRef]
- Mardirossian, M.; Barrière, Q.; Timchenko, T.; Müller, C.; Pacor, S.; Mergaert, P.; Scocchi, M.; Wilson, D.N. Fragments of the non-lytic proline-rich antimicrobial peptide Bac5 kill E. coli cells by inhibiting protein synthesis. Antimicrob. Agents Chemother. 2018, 62, e00534-18. [Google Scholar] [CrossRef]
- Peschel, A.; Sahl, H.G. The co-evolution of host cationic antimicrobial peptides and microbial resistance. Nat. Rev. Microbiol. 2006, 4, 529–536. [Google Scholar] [CrossRef]
- Spohn, R.; Daruka, L.; Lazar, V.; Martins, A.; Vidovics, F.; Grezal, G.; Mehi, J.; Kintses, B.; Szamel, M.; Janger, P.; et al. Integrated evolutionary analysis reveals antimicrobial peptides with limited resistance. Nat. Commun. 2019, 10, 4538. [Google Scholar] [CrossRef]
- Chen, C.Y.; Lu, T.K. Development of challenges of antimicrobial peptides for therapeutic applications. Antibiotics 2020, 9, 24. [Google Scholar] [CrossRef]
- Wenzel, M.; Rautenbach, M.; Vosloo, J.A.; Siersma, T.; Aisenbrey, C.H.M.; Zaitseva, E.; Laubscher, W.E.; Rensburg, W.; Behrends, J.C.; Bechinger, B.; et al. The Multifaceted Antibacterial Mechanisms of the Pioneering Peptide Antibiotics Tyrocidine and Gramicidin S. mBio 2018, 9, e00802-18. [Google Scholar] [CrossRef]
- Velkov, T.; Roberts, K.D.; Nation, R.L.; Thompson, P.E.; Li, J. Pharmacology of polymyxins: New insights into an ‘old‘ class of antibiotics. Future Microbiol. 2013, 8, 711–724. [Google Scholar] [CrossRef] [PubMed]
- Dijksteel, G.S.; Ulrich, M.M.W.; Middelkoop, E.; Boekema, B.K.H.L. Review: Lessons learned from clinical trials using antimicrobial peptides (AMPs). Front. Microbiol. 2021, 12, 616979. [Google Scholar] [CrossRef] [PubMed]
- Rasmussen, J.H. Synthetic peptide API manufacturing: A mini review of current perspectives for peptide manufacturing. Bioorg. Med. Chem. 2018, 26, 2914–2918. [Google Scholar] [CrossRef] [PubMed]
- Mahlapuu, M.; Björn, C.; Ekblom, J. Antimicrobial peptides as therapeutic agents: Opportunities and challenges. Crit. Rev. Biotechnol. 2020, 40, 978–992. [Google Scholar] [CrossRef]
- Uhlig, T.; Kyprianou, T.; Martinelli, F.G.; Oppici, C.A.; Heiligers, D.; Hills, D.; Calvo, X.R.; Verhaert, P. The emergence of peptides in the pharmaceutical business: From exploration to exploitation. EuPA Open Proteom. 2014, 4, 58–69. [Google Scholar] [CrossRef]
- Naafs, M.A.B. The Antimicrobial Peptides: Ready for Clinical Trials? Biomed. J. Sci. Tech. Res. 2018, 7, 6038–6042. [Google Scholar] [CrossRef]
- Souza, P.F.N.; Marques, L.S.M.; Oliveira, T.A.; Lima, P.G.L.; Dias, L.P.; Neto, N.A.S.; Lopes, E.S.; Sousa, J.S.; Silva, A.F.B.; Caneiro, R.F.; et al. Synthetic antimicrobial peptides: From choice of the best sequences to action mechanisms. Biochimie 2020, 175, 132–145. [Google Scholar] [CrossRef]
- Cardoso, P.; Glossop, H.; Meikle, T.G.; Aburto-Medina, A.; Conn, C.E.; Sarojini, V.; Valery, C. Molecular engineering of antimicrobial peptides: Microbial targets, peptide motifs and translation opportunities. Biophys. Rev. 2021, 13, 35–69. [Google Scholar] [CrossRef]
- Rodríguez, A.; Villegas, E.; Montoya-Rosales, A.; Rivas-Santiago, B.; Corzo, G. Characterization of antibacterial and hemolytic activity of synthetic pandinin 2 variants and their inhibition against Mycobacterium tuberculosis. PLoS ONE 2014, 9, e101742. [Google Scholar] [CrossRef]
- Chen, Y.; Mant, C.T.; Farmer, S.W.; Hancock, R.E.W.; Vasil, M.L.; Hodges, R.S. Rational design of α-helical antimicrobial peptides with enhanced activities and specificity/therapeutic index. J. Biol. Chem. 2005, 280, 12316–12329. [Google Scholar] [CrossRef]
- Gupta, K.; Singh, S.; van Hoek, M.L. Short, synthetic cationic peptides have antibacterial activity against Mycobacterium smegmatis by forming pores in membrane and synergizing with antibiotics. Antibiotics 2005, 4, 358–378. [Google Scholar] [CrossRef]
- Wiradharma, N.; Khoe, U.; Hauser, C.A.E.; Seow, S.V.; Zhang, S.; Yang, Y.-Y. Synthetic cationic amphiphilic α-helical peptides as antimicrobial agents. Biomaterials 2011, 32, 2204–2212. [Google Scholar] [CrossRef]
- Salzet, M. Anticoagulants and inhibitors of platelet aggregation derived from leeches. FEBS Lett. 2001, 492, 187–192. [Google Scholar] [CrossRef]
- Sawyer, R.T. Thrombolytics and anticoagulants from leeches. Nat. Biotechnol. 1991, 9, 513–518. [Google Scholar] [CrossRef]
- Tasiemski, A. Antimicrobial peptides in annelids. Invertebr. Surviv. J. 2008, 5, 75–82. [Google Scholar]
- Salzet, M. Neuropeptide-derived antimicrobial peptides from invertebrates for biomedicinal applications. Curr. Med. Chem. 2005, 12, 3055–3061. [Google Scholar] [CrossRef][Green Version]
- Ghosh, S. In silico studies on antimicrobial peptide (AMP) in leeches. Int. J. Pept. Res. Ther. 2020, 26, 2253–2267. [Google Scholar] [CrossRef]
- Grafskaia, E.N.; Nadezhdin, K.D.; Talyzina, I.A.; Polina, N.F.; Podgorny, O.V.; Pavlova, E.R.; Bashkirov, P.V.; Kharlampieva, D.D.; Bobrovsky, P.A.; Latsis, I.A.; et al. Medicinal leech antimicrobial peptides lacking toxicity represent a promising alternative strategy to combat antibiotic-resistant pathogens. Eur. J. Med. Chem. 2019, 180, 143–153. [Google Scholar] [CrossRef]
- Grafskaia, E.; Pavlova, E.; Babenko, V.; Latsis, I.; Malakhova, M.; Lavrenova, V.; Bashkirov, P.; Belousov, D.; Klinov, D.; Lazarev, V. The Hirudo Medicinalis microbiome is a source of new antimicrobial peptides. Int. J. Mol. Sci. 2020, 21, 7141. [Google Scholar] [CrossRef]
- Grafskaia, E.; Pavlova, E.; Latsis, I.; Malakhova, M.; Ivchenkov, D.; Bashkirov, P.; Kot, E.; Mineev, K.; Lazarev, V. In silico identification and exploration of a new non-toxic antimicrobial peptide of medicinal leech microbiome. In FEBS Open Bio; Wiley: Hoboken, NJ, USA, 2022; Volume 12, P-02.2-013. [Google Scholar]
- Lee, C.-C.; Tsai, W.-S.; Hsieh, H.J.; Hwang, D.-F. Hemolytic activity of venom from crown-of-thorns starfish Acanthaster planci spines. J. Venom. Anim. Toxins Incl. Trop. Dis. 2013, 19, 22. [Google Scholar] [CrossRef]
- Greco, I.; Molchanova, N.; Holmedal, E.; Jenssen, H.; Hummel, B.D.; Watts, J.L.; Håkansson, J.; Hansen, P.R.; Svenson, J. Correlation between hemolytic activity, cytotoxicity and systemic in vivo toxicity of synthetic antimicrobial peptides. Sci. Rep. 2020, 10, 13206. [Google Scholar] [CrossRef] [PubMed]
- Svenson, J.; Brandsdal, B.-O.; Stensen, W.; Svendsen, J.-S. Albumin binding of short cationic antimicrobial micropeptides and its influence on the in vitro bactericidal effect. J. Med. Chem. 2007, 50, 3334–3339. [Google Scholar] [CrossRef] [PubMed]
- Sivertsen, A.; Isaksson, J.; Leiros, H.-K.S.; Svenson, J.; Svendsen, J.-S.; Brandsdal, B.-O. Synthetic cationic antimicrobial peptides bind with their hydrophobic parts to drug site II of human serum albumin. BMC Struct. Biol. 2014, 14, 4. [Google Scholar] [CrossRef] [PubMed]
- Pilsczek, F.H.; Salina, D.; Poon, K.K.H.; Fahey, C.; Yipp, B.G.; Sibley, C.D.; Robbins, S.M.; Green, F.H.Y.; Surette, M.G.; Sugai, M.; et al. A novel mechanism of rapid nuclear neutrophil extracellular trap formation in response to Staphylococcus aureus. J. Immunol. 2010, 185, 7413–7425. [Google Scholar] [CrossRef] [PubMed]
- Yipp, B.G.; Kubes, P. NETosis: How vital is it? Blood 2013, 122, 2784–2794. [Google Scholar] [CrossRef]
- Junren, C.; Xiaofang, X.; Huiqiong, Z.; Gangmin, L.; Yanpeng, Y.; Xiaoyu, C.; Yuqing, G.; Yanan, L.; Yue, Z.; Fu, P.; et al. Pharmacological activities and mechanisms of hirudin and its derivatives—A review. Front. Pharmacol. 2021, 12, 660757. [Google Scholar] [CrossRef]
- Tang, W.H.; Wang, S.H.; Wang, C.F.; Mou, Y.; Lin, M.G.; Hsiao, C.D.; Liao, Y.D. The lipid components of high-density lipoproteins (HDL) are essential for the binding and transportation of antimicrobial peptides in human serum. Sci. Rep. 2022, 12, 2576. [Google Scholar] [CrossRef] [PubMed]
- Osorio, D.; Rondón-Villarreal, P.; Torres, R. Peptides: A package for data mining of antimicrobial peptides. Small 2015, 7, 4–14. [Google Scholar] [CrossRef]
- Aoki, W.; Ueda, M. Characterization of antimicrobial peptides toward the development of novel antibiotics. Pharmaceuticals 2013, 6, 1055–1081. [Google Scholar] [CrossRef]
- Chou, H.-T.; Kuo, T.-Y.; Chiang, J.-C.; Pei, M.-J.; Yang, W.-T.; Yu, H.-C.; Lin, S.-B.; Chen, W.-J. Design and synthesis of cationic antimicrobial peptides with improved activity and selectivity against Vibrio spp. Int. J. Antimicrob. Agents 2008, 32, 130–138. [Google Scholar] [CrossRef]
- Chen, Y.; Guarnieri, M.T.; Vasil, A.I.; Vasil, M.L.; Mant, C.T.; Hodges, R.S. Role of peptide hydrophobicity in the mechanism of action of α-helical antimicrobial peptides. Antimicrob. Agents Chemother. 2007, 51, 1398–1406. [Google Scholar] [CrossRef] [PubMed]
- Jiang, Z.; Kullberg, B.J.; Lee, H.V.D.; Vasil, A.I.; Hale, J.D.; Mant, C.T.; Hancock, R.E.W.; Vasil, M.L.; Netea, M.G.; Hodges, R.S. Effects of hydrophobicity on the antifungal activity of α-helical antimicrobial peptides. Chem. Biol. Drug Des. 2008, 72, 483–495. [Google Scholar] [CrossRef] [PubMed]
- Bondar, O.V.; Saifullina, D.V.; Shakhmaeva, I.I.; Mavlyutova, I.I.; Abdullin, T.I. Monitoring of the zeta potential of human cells upon reduction in their viability and interaction with polymers. Acta Nat. 2012, 4, 78–81. [Google Scholar] [CrossRef]
- Basyreva, L.Y.; Brodsky, I.B.; Gusev, A.A.; Zhapparova, O.N.; Mikhalchik, E.V.; Gusev, S.A.; Shor, D.B.-A.; Dahan, S.; Blank, M.; Shoenfeld, Y. The effect of intravenous immunoglobulin (IVIG) on ex vivo activation of human leukocytes. Hum. Antibodies 2016, 24, 39–44. [Google Scholar] [CrossRef]
- Wiegand, I.; Hilpert, K.; Hancock, R.E.W. Agar and broth dilution methods to determine the minimal inhibitory concentration (MIC) of antimicrobial substances. Nat. Protoc. 2008, 3, 163–175. [Google Scholar] [CrossRef]









| Peptide Name | Amino Acid Sequence | Mol. Mass, Da | Charge (at Physiol. pH) | MIC, μM (E. coli) | References |
|---|---|---|---|---|---|
| pept_1 | FRIMRILRVLKL | 1558.05 | +4 | 10 | [38] |
| pept_2 | FRIMRILRVLK | 1444.89 | +4 | 10 | present study |
| pept_3 | RWRLVCFLCRRKKV | 1863.36 | +6 | 17 | [38] |
| pept_4 | KFKKVIWKSFL | 1423.81 | +4 | 90 | [38] |
| pept_5 | RPILIRVRRIRVI | 1660.13 | +5 | 77 | [38] |
| pept_6 | RLKRFKRVALRREKTARNFRSIVS | 2988.61 | +9 | >100 | [40] |
| pept_7 | FLIGKAIKRKFCLRSVWNA | 2250.81 | +5 | 14.3 | [39] |
| pept_8 | RAVIYKIPYNAIASRWIIAPKKC | 2675.31 | +5 | 24 | [40] |
| Optical Density at 800 nm | |||
|---|---|---|---|
| pept_3, μM | PBS Containing 20% Plasma | PBS Containing 20% Serum | PBS Containing Fibrinogen (0.6 mg/mL) |
| 0 | 0.03 ± 0.01 | 0.03 ± 0.01 | 0.00 |
| 50 | 0.03 ± 0.01 | 0.03 ± 0.01 | 0.19 ± 0.01 |
| 100 | 0.11 ± 0.02 | 0.03 ± 0.01 | 0.22 ± 0.01 |
| 200 | 0.69 ± 0.06 | 0.03 ± 0.01 | 0.26 ± 0.02 |
Publisher’s Note: MDPI stays neutral with regard to jurisdictional claims in published maps and institutional affiliations. |
© 2022 by the authors. Licensee MDPI, Basel, Switzerland. This article is an open access article distributed under the terms and conditions of the Creative Commons Attribution (CC BY) license (https://creativecommons.org/licenses/by/4.0/).
Share and Cite
Vakhrusheva, T.V.; Moroz, G.D.; Basyreva, L.Y.; Shmeleva, E.V.; Gusev, S.A.; Mikhalchik, E.V.; Grafskaia, E.N.; Latsis, I.A.; Panasenko, O.M.; Lazarev, V.N. Effects of Medicinal Leech-Related Cationic Antimicrobial Peptides on Human Blood Cells and Plasma. Molecules 2022, 27, 5848. https://doi.org/10.3390/molecules27185848
Vakhrusheva TV, Moroz GD, Basyreva LY, Shmeleva EV, Gusev SA, Mikhalchik EV, Grafskaia EN, Latsis IA, Panasenko OM, Lazarev VN. Effects of Medicinal Leech-Related Cationic Antimicrobial Peptides on Human Blood Cells and Plasma. Molecules. 2022; 27(18):5848. https://doi.org/10.3390/molecules27185848
Chicago/Turabian StyleVakhrusheva, Tatyana V., Grigoriy D. Moroz, Liliya Yu. Basyreva, Ekaterina V. Shmeleva, Sergey A. Gusev, Elena V. Mikhalchik, Ekaterina N. Grafskaia, Ivan A. Latsis, Oleg M. Panasenko, and Vassili N. Lazarev. 2022. "Effects of Medicinal Leech-Related Cationic Antimicrobial Peptides on Human Blood Cells and Plasma" Molecules 27, no. 18: 5848. https://doi.org/10.3390/molecules27185848
APA StyleVakhrusheva, T. V., Moroz, G. D., Basyreva, L. Y., Shmeleva, E. V., Gusev, S. A., Mikhalchik, E. V., Grafskaia, E. N., Latsis, I. A., Panasenko, O. M., & Lazarev, V. N. (2022). Effects of Medicinal Leech-Related Cationic Antimicrobial Peptides on Human Blood Cells and Plasma. Molecules, 27(18), 5848. https://doi.org/10.3390/molecules27185848

