A Three-Dimensional Melamine Sponge Modified with MnOx Mixed Graphitic Carbon Nitride for Photothermal Catalysis of Formaldehyde
Abstract
:1. Introduction
2. Experimental
2.1. Catalyst Synthesis
2.2. Characterization
2.3. Photothermal Catalytic Performance
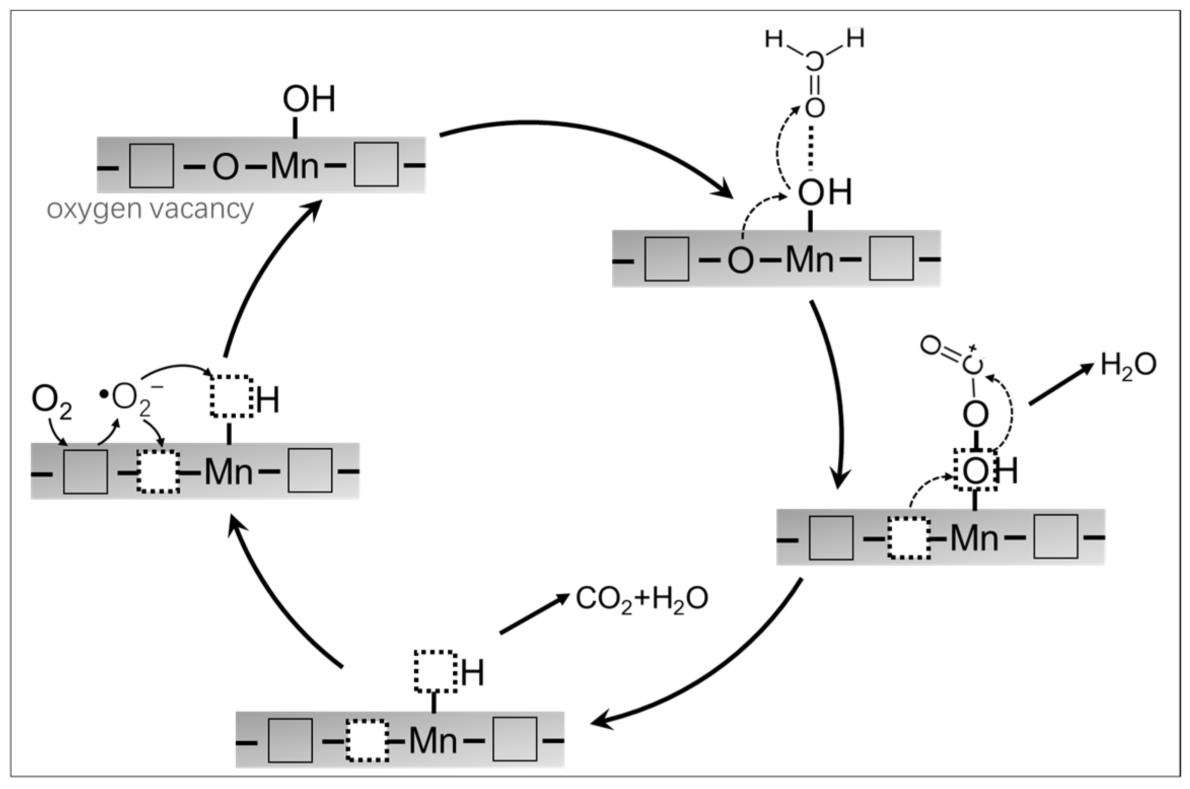
2.4. Reaction Mechanism
3. Results and Discussion
3.1. Photothermal Catalytic Performance of Formaldehyde
3.2. Morphological Characteristics
3.3. Surface Properties
3.4. Reaction Mechanism
3.5. Reusability
4. Conclusions
Supplementary Materials
Author Contributions
Funding
Institutional Review Board Statement
Informed Consent Statement
Data Availability Statement
Conflicts of Interest
Sample Availability
References
- Cogliano, V.J.; Grosse, Y.; Baan, R.A.; Straif, K.; Secretan, M.B.; Ghissassi, F.E.; Working Group for Volume 88. Meeting report: Summary of IARC monographs on formaldehyde, 2-butoxyethanol, and 1-tert-butoxy-2-propanol. Environ. Health Perspect. 2005, 113, 1205–1208. [Google Scholar] [CrossRef] [PubMed]
- Wang, Z.; Yu, H.; Xiao, Y.; Zhang, L.; Guo, L.; Zhang, L.; Dong, X. Free-standing composite films of multiple 2D nanosheets: Synergetic photothermocatalysis/photocatalysis for efficient removal of formaldehyde under ambient condition. Chem. Eng. J. 2020, 394, 125014. [Google Scholar] [CrossRef]
- Zhang, W.; Huang, T.; Ren, Y.; Wang, Y.; Yu, R.; Wang, J.; Tu, Q. Preparation of chitosan crosslinked with metal-organic framework (MOF-199)@aminated graphene oxide aerogel for the adsorption of formaldehyde gas and methyl orange. Int. J. Biol. Macromol. 2021, 193, 2243–2251. [Google Scholar] [CrossRef] [PubMed]
- Rovina, K.; Vonnie, J.M.; Shaeera, S.N.; Yi, S.X.; Halid, N.F.A. Development of biodegradable hybrid polymer film for detection of formaldehyde in seafood products. Sens. Bio-Sens. Res. 2020, 27, 100310. [Google Scholar] [CrossRef]
- Cao, K.; Dai, X.; Wu, Z.; Weng, X. Unveiling the importance of reactant mass transfer in environmental catalysis: Taking catalytic chlorobenzene oxidation as an example. Chin. Chem. Lett. 2021, 32, 1206–1209. [Google Scholar] [CrossRef]
- Liu, F.; Zeng, M.; Li, Y.; Yang, Y.; Mao, M.; Zhao, X. UV-Vis-Infrared Light Driven Thermocatalytic Activity of Octahedral Layered Birnessite Nanoflowers Enhanced by a Novel Photoactivation. Adv. Funct. Mater. 2016, 26, 4518–4526. [Google Scholar] [CrossRef]
- Zheng, Y.; Wang, W.; Jiang, D.; Zhang, L.; Li, X.; Wang, Z. Ultrathin mesoporous Co3O4 nanosheets with excellent photo-/thermo-catalytic activity. J. Mater. Chem. A 2016, 4, 105–112. [Google Scholar] [CrossRef]
- Fu, L.; Wang, R.; Zhao, C.; Huo, J.; He, C.; Kim, K.-H.; Zhang, W. Construction of Cr-embedded graphyne electrocatalyst for highly selective reduction of CO2 to CH4: A DFT study. Chem. Eng. J. 2021, 414, 128857. [Google Scholar] [CrossRef]
- Tang, X.; Chen, J.; Li, Y.; Li, Y.; Xu, Y.; Shen, W. Complete oxidation of formaldehyde over Ag/MnOx-CeO2 catalysts. Chem. Eng. J. 2006, 118, 119–125. [Google Scholar] [CrossRef]
- Zhang, J.; Li, Y.; Wang, L.; Zhang, C.; He, H. Catalytic oxidation of formaldehyde over manganese oxides with different crystal structures. Catal. Sci. Technol. 2015, 5, 2305–2313. [Google Scholar] [CrossRef]
- Wang, Z.; Yu, H.; Xiao, Y.; Guo, L.; Zhang, L.; Dong, X. Polydopamine mediated modification of manganese oxide on melamine sponge for photothermocatalysis of gaseous formaldehyde. J. Hazard. Mater. 2021, 407, 124795. [Google Scholar] [CrossRef] [PubMed]
- Mao, C.; Vannice, M. Formaldehyde Oxidation over Ag Catalysts. J. Catal. 1995, 154, 230–244. [Google Scholar] [CrossRef]
- Sun, P.; Yu, H.; Liu, T.; Li, Y.; Wang, Z.; Xiao, Y.; Dong, X. Efficiently photothermal conversion in a MnOx-based monolithic photothermocatalyst for gaseous formaldehyde elimination. Chin. Chem. Lett. 2022, 33, 2564–2568. [Google Scholar] [CrossRef]
- Liang, Q.; Li, Z.; Huang, Z.-H.; Kang, F.; Yang, Q.-H. Holey Graphitic Carbon Nitride Nanosheets with Carbon Vacancies for Highly Improved Photocatalytic Hydrogen Production. Adv. Funct. Mater. 2015, 25, 6885–6892. [Google Scholar] [CrossRef]
- Sun, P.; Wang, W.; Dai, X.; Weng, X.; Wu, Z. Mechanism study on catalytic oxidation of chlorobenzene over MnxCe1−xO2/H-ZSM5 catalysts under dry and humid conditions. Appl. Catal. B Environ. 2016, 198, 389–397. [Google Scholar] [CrossRef]
- Lu, L.; Tian, H.; He, J.; Yang, Q. Graphene-MnO2 hybrid nanostructure as a new catalyst for formaldehyde oxidation. J. Phys. Chem. C 2016, 120, 23660–23668. [Google Scholar] [CrossRef]
- Li, L.; Chi, L.; Zhang, H.; Wu, S.; Wang, H.; Luo, Z.; Li, Y.; Li, Y. Fabrication of Ti-PDA nanoparticles with enhanced absorption and photocatalytic activities for hexavalent chromium Cr(VI) removal. Appl. Surf. Sci. 2022, 580, 152168. [Google Scholar] [CrossRef]
- Gao, P.; Zhou, W.; Zhang, J.; Yang, Z.; Yuan, X.; Wang, Z. The effect of acidified graphite carbon nitride on the removal of pollutants by coupling filtration and photocatalysis. Appl. Surf. Sci. 2021, 542, 148675. [Google Scholar] [CrossRef]
- Zhao, Q.; Chen, D.; Li, Y.; Zhang, G.; Zhang, F.; Fan, X. Rhodium complex immobilized on graphene oxide as an efficient and recyclable catalyst for hydrogenation of cyclohexene. Nanoscale 2013, 5, 882–885. [Google Scholar] [CrossRef]
- Sun, P.; Zhai, S.; Chen, J.; Yuan, J.; Wu, Z.; Weng, X. Development of a multi-active center catalyst in mediating the catalytic destruction of chloroaromatic pollutants: A combined experimental and theoretical study. Appl. Catal. B Environ. 2020, 272, 119015. [Google Scholar] [CrossRef]
- Li, L.; Yan, J.; Wang, T.; Zhao, Z.-J.; Zhang, J.; Gong, J.; Guan, N. Sub-10 nm rutile titanium dioxide nanoparticles for efficient visible-light-driven photocatalytic hydrogen production. Nat. Commun. 2015, 6, 5881. [Google Scholar] [CrossRef] [PubMed]
- Wang, M.; Zhang, P.; Li, J.; Jiang, C. The effects of Mn loading on the structure and ozone decomposition activity of MnOx supported on activated carbon. Chin. J. Catal. 2014, 35, 335–341. [Google Scholar] [CrossRef]
- Li, K.; Tong, Y.; Feng, D.; Chen, P. Electronic regulation of platinum species on metal nitrides realizes superior mass activity for hydrogen production. J. Colloid Interface Sci. 2022, 622, 410–418. [Google Scholar] [CrossRef] [PubMed]
- Simaioforidou, A.; Georgiou, Y.; Bourlinos, A.; Louloudi, M. Molecular Mn-catalysts grafted on graphitic carbon nitride (gCN): The behavior of gCN as support matrix in oxidation reactions. Polyhedron 2018, 153, 41–50. [Google Scholar] [CrossRef]
- Wang, Z.; Gu, Z.; Wang, F.; Hermawan, A.; Hirata, S.; Asakura, Y.; Hasegawa, T.; Zhu, J.; Inada, M.; Yin, S. An ultra-sensitive room temperature toluene sensor based on molten-salts modified carbon nitride. Adv. Powder Technol. 2021, 32, 4198–4209. [Google Scholar] [CrossRef]
- Peng, S.; Yang, X.; Strong, J.; Sarkar, B.; Jiang, Q.; Peng, F.; Liu, D.; Wang, H. MnO2-decorated N-doped carbon nanotube with boosted activity for low-temperature oxidation of formaldehyde. J. Hazard. Mater. 2020, 396, 122750. [Google Scholar] [CrossRef]
- Yao, C.; Wang, R.; Wang, Z.; Lei, H.; Dong, X.; He, C. Highly dispersive and stable Fe3+ active sites on 2D graphitic carbon nitride nanosheets for efficient visible-light photocatalytic nitrogen fixation. J. Mater. Chem. A 2019, 7, 27547–27559. [Google Scholar] [CrossRef]
- Lei, H.; Zhang, H.; Zou, Y.; Dong, X.; Jia, Y.; Wang, F. Synergetic photocatalysis/piezocatalysis of bismuth oxybromide for degradation of organic pollutants. J. Alloy Compd. 2019, 809, 151840. [Google Scholar] [CrossRef]
- Wang, Z.; Yu, H.; Zhang, L.; Guo, L.; Dong, X. Photothermal conversion of graphene/layered manganese oxide 2D/2D composites for room-temperature catalytic purification of gaseous formaldehyde. J. Taiwan Inst. Chem. Eng. 2020, 107, 119–128. [Google Scholar] [CrossRef]
- Han, Z.; Choi, C.; Hong, S.; Wu, T.S.; Soo, Y.L.; Jung, Y.; Qiu, J.; Sun, Z. Activated TiO2 with tuned vacancy for efficient electrochemical nitrogen reduction. Appl. Catal. B Environ. 2019, 257, 117896. [Google Scholar] [CrossRef]
- Ye, K.; Li, K.; Lu, Y.; Guo, Z.; Ni, N.; Liu, H.; Huang, Y.; Ji, H.; Wang, P. An overview of advanced methods for the characterization of oxygen vacancies in materials. TrAC Trends Anal. Chem. 2019, 116, 102–108. [Google Scholar] [CrossRef]
- Chen, M.; Wang, H.; Chen, X.; Wang, F.; Qin, X.; Zhang, C.; He, H. High-performance of Cu-TiO2 for photocatalytic oxidation of formaldehyde under visible light and the mechanism study. Chem. Eng. J. 2020, 390, 124481. [Google Scholar] [CrossRef]
- Wang, J.; Li, J.; Jiang, C.; Zhou, P.; Zhang, P.; Yu, J. The effect of manganese vacancy in birnessite-type MnO2 on room-temperature oxidation of formaldehyde in air. Appl. Catal. B Environ. 2017, 204, 147–155. [Google Scholar] [CrossRef]
- Miao, L.; Xie, Y.; Xia, Y.; Zou, N.; Wang, J. Facile photo-driven strategy for the regeneration of a hierarchical C@ MnO2 sponge for the removal of indoor toluene. Appl. Surf. Sci. 2019, 481, 404–413. [Google Scholar] [CrossRef]
- Fang, R.; Huang, H.; Ji, J.; He, M.; Feng, Q.; Zhan, Y.; Leung, D.Y. Efficient MnOx supported on coconut shell activated carbon for catalytic oxidation of indoor formaldehyde at room temperature. Chem. Eng. J. 2018, 334, 2050–2057. [Google Scholar] [CrossRef]
- Wang, J.; Zhang, G.; Zhang, P. Layered birnessite-type MnO2 with surface pits for enhanced catalytic formaldehyde oxidation activity. J. Mater. Chem. A 2017, 5, 5719–5725. [Google Scholar] [CrossRef]
- Zhang, C.; Liu, F.; Zhai, Y.; Ariga, H.; Yi, N.; Liu, Y.; Asakura, K.; Flytzani-Stephanopoulos, M.; He, H. Alkali-metal-promoted Pt/TiO2 opens a more efficient pathway to formaldehyde oxidation at ambient temperatures. Angew. Chem. Int. Ed. 2012, 51, 9628–9632. [Google Scholar] [CrossRef]
- Wang, Y.; Zhu, X.; Crocker, M.; Chen, B.; Shi, C. A comparative study of the catalytic oxidation of HCHO and CO over Mn0.75Co2.25O4 catalyst: The effect of moisture. Appl. Catal. B Environ. 2014, 160, 542–551. [Google Scholar] [CrossRef]
- Scott, S.L. A Matter of Life (Time) and Death; ACS: Washington, DC, USA, 2018; pp. 8597–8599. [Google Scholar]










Publisher’s Note: MDPI stays neutral with regard to jurisdictional claims in published maps and institutional affiliations. |
© 2022 by the authors. Licensee MDPI, Basel, Switzerland. This article is an open access article distributed under the terms and conditions of the Creative Commons Attribution (CC BY) license (https://creativecommons.org/licenses/by/4.0/).
Share and Cite
Yin, R.; Sun, P.; Cheng, L.; Liu, T.; Zhou, B.; Dong, X. A Three-Dimensional Melamine Sponge Modified with MnOx Mixed Graphitic Carbon Nitride for Photothermal Catalysis of Formaldehyde. Molecules 2022, 27, 5216. https://doi.org/10.3390/molecules27165216
Yin R, Sun P, Cheng L, Liu T, Zhou B, Dong X. A Three-Dimensional Melamine Sponge Modified with MnOx Mixed Graphitic Carbon Nitride for Photothermal Catalysis of Formaldehyde. Molecules. 2022; 27(16):5216. https://doi.org/10.3390/molecules27165216
Chicago/Turabian StyleYin, Rongyang, Pengfei Sun, Lujun Cheng, Tingting Liu, Baocheng Zhou, and Xiaoping Dong. 2022. "A Three-Dimensional Melamine Sponge Modified with MnOx Mixed Graphitic Carbon Nitride for Photothermal Catalysis of Formaldehyde" Molecules 27, no. 16: 5216. https://doi.org/10.3390/molecules27165216
APA StyleYin, R., Sun, P., Cheng, L., Liu, T., Zhou, B., & Dong, X. (2022). A Three-Dimensional Melamine Sponge Modified with MnOx Mixed Graphitic Carbon Nitride for Photothermal Catalysis of Formaldehyde. Molecules, 27(16), 5216. https://doi.org/10.3390/molecules27165216
