Abstract
Pyrazines and pyridazines fused to 1,2,3-triazoles comprise a set of heterocycles obtained through a variety of synthetic routes. Two typical modes of constructing these heterocyclic ring systems are cyclizing a heterocyclic diamine with a nitrite or reacting hydrazine hydrate with dicarbonyl 1,2,3-triazoles. Several unique methods are known, particularly for the synthesis of 1,2,3-triazolo[1,5-a]pyrazines and their benzo-fused quinoxaline and quinoxalinone-containing analogs. Recent applications detail the use of these heterocycles in medicinal chemistry (c-Met inhibition or GABAA modulating activity) as fluorescent probes and as structural units of polymers.
1. Introduction
Within the 1,2,3-triazole-fused pyrazines and pyridazines, a series of congeners exists depending on whether a nitrogen atom occupies a position at the ring fusion (Figure 1).
Figure 1.
Structures of 1,2,3-triazole-fused pyrazines and pyridazines: 1H-1,2,3-triazolo[4,5-b]pyrazine (2); 1H-1,2,3-triazolo[4,5-c]pyridazine (4); 1H-1,2,3-triazolo[4,5-d]pyridazine (6); 1,2,3-triazolo[1,5-a]pyrazine (8); 1,2,3-triazolo[1,5-b]pyridazine (10); common precursors 1, 3, 5, 7, 9.
We became interested in structures containing heterocyclic nuclei 2, 4, 6, 8 and 10 following reports detailing potent mesenchymal–epithelial transition factor (c-Met) protein kinase inhibition, such as the current clinical candidate Savolitinib [1] (Figure 2, Structure A) and specifically those containing substructures 2 and 8 [1,2]. In addition to c-Met inhibition, structures containing these heterocyclic nuclei have shown GABAA allosteric modulating activity [3] (Figure 2, Structure B), have been incorporated into polymers for use in solar cells [4,5] (Figure 2, Structure C), and have demonstrated -secretase 1 (BACE-1) inhibition [6] (Figure 2, Structure D). Their piperazine derivatives have demonstrated potent PDP-IV inhibition [7].
Figure 2.
Examples of useful structures containing 1,2,3-triazole-fused pyrazines and pyridazines: (A) c-Met inhibitor Savolitinib [1], containing a 1,2,3-triazolo[4,5-b]pyrazine, (B) a compound with GAGAA allosteric modulating activity containing a 1,2,3-triazolo[4,5-c]pyridazine [3], (C) a 1,2,3-triazolo[4,5-d]pyridazine derivative used in polymers for solar cells [4,5], and (D), a 1,2,3-triazolo[1,5-a]pyrazine derivative with BACE-1 inhibitory activity [6].
Emphasis in this review is placed on the more common derivatives of 2 and 8. In comparison to the heterocyclic scaffolds outlined in Figure 2, derivatives of 4, 6 and 10 are less common in the literature. Among fused heterocycles containing the more well-known fused 1,2,4-triazoles, both 1,2,4-triazolo[1,5-a]pyrimidines [8] and 1,2,4-triazolo[4,3-a]pyrazines [9] have been recently reviewed. Kumar and coworkers [10] surveyed 1,2,3-triazoles fused to various rings, both aromatic and non-aromatic. In the present review, we address approaches to the synthesis of 1,2,3-triazole-fused pyrazines and pyridazines and their related congeners, while setting two limitations:
- This review covers synthetic methods of preparing structures containing fused heterocycles 2, 4, 6, 8, 10 (Figure 1). Tricyclic and tetracyclic congeners containing these heterocycles are included.
- 1,2,3-Triazolopyrimidines do not appear in this review. They have received attention in the literature on purine chemistry [11,12,13].
1,2,3-Triazolopyrimidines, which form the core structure of 8-azapurines, 8-azaadenines, and 8-azaguanines, have been well-studied and reviewed [13,14,15] owing to their similarity to the respective nucleobases. With both scope and limitations in place, this review addresses synthetic approaches to the 1,2,3-triazolodiazine family: 1,2,3-triazolo[4,5-b]pyrazine, 1,2,3-triazolo[4,5-c]pyridazine, 1,2,3-triazolo[4,5-d]pyridazine, 1,2,3-triazolo[1,5-a]pyrazine, and 1,2,3-triazolo[1,5-b]pyridazine. The literature covered includes articles published since the most recent review of each type of compound, or earlier if no review exists. Reports are covered until the spring of 2022 and exclude tetrahydro-derivatives.
2. Synthetic Approaches
This overview of synthetic methods is organized according to the type of heterocycle. In the case of 1H-1,2,3-triazolo[1,5-a]pyrazines, methods are subdivided into pyrazines and benzopyrazines. Reaction times are included along with solvents, catalysts, and other reagents in most examples. Commercial availability of precursors is emphasized where applicable.
2.1. Syntheses of 1H-1,2,3-Triazolo[4,5-b]pyrazines
One of the first reported preparations of a 1H-1,2,3-triazolo[4,5-b]pyrazine came from Lovelette and coworkers [16], who utilized condensation of a 4,5-diamino-1,2,3-triazole, 14, and a 1,2-dicarbonyl compound 15 (Scheme 1) to give the desired triazolopyrazines 16 in yields in the range 30–35%. A useful precursor, 4,5-diamino-1,2,3-1H-triazole 14, was prepared by reacting carbamate 13 with a strong base. This carbamate was readily prepared from the carbonyl azide by refluxing in ethanol. The carbonyl azide can be prepared from benzyl azide 11, ethyl cyanoacetate 12, and sodium ethoxide, all commercially available starting materials.
Scheme 1.
One of the first reported syntheses of 1H-1,2,3-triazolo[4,5-b]pyrazines, 16. (R1, R2 = alkyl, aryl, H.)
Dicarbonyl compounds included glyoxal (R1 = R2 = H), benzil (R1 = R2 = Ph), and others. This was one of the first reports of 1,2,3-triazole-fused pyrazines, highlighted within a study of fused 1,2,3-triazoles. This method offers three-point diversity, one from the triazole substituent, and the other two from the respective dicarbonyl substituents. Despite this, a potential drawback lay in the restriction to a symmetrically substituted 1,2-dicarbonyl species to avoid mixtures of isomers. Indeed, the authors noted the two condensation products using an asymmetrically substituted diketone, where R1 = CH3 and R2 = H, as being indistinguishable.
Monge and coworkers [17] prepared benzo-fused 1H-1,2,3-triazolo[4,5-b]pyrazines through the acid-catalyzed cyclization of 2-azido-3-cyanoquinoxaline, 18, obtained from 2-chloro-3-cyanoquinoxaline 17, yielding 1-hydroxy-1H-1,2,3-triazolo[4,5-b]quinoxaline 19 (Scheme 2) in 52% yield. Though uncommon, acid-catalyzed cyclization of ortho-substituted azidocyanoaryl species may represent an underutilized method of obtaining structures with the 1,2,3-triazolo[4,5-b]pyrazine core. Despite this, the use of costly starting materials hinders wider applicability.
Scheme 2.
Conversion of 2-chloro-3-cyanoquinoxaline 17 to 2-azido-3-cyanoquinoxaline 18 and benzo-fused 1H-1,2,3-triazolo[4,5-b]pyrazine 19.
Unexpectedly, Starchenkov and coworkers [18] determined that, upon treatment of diamine 20 with trifluoroacetic anhydride (TFAA) and HNO3 and proceeding via intermediate 21, triazolopyrazine N-oxide 22 was formed (Scheme 3). This was one of the first reports of the preparation of a fused 1,2,3-triazole 2-N-oxide, namely [1,2,5]oxadiazolo[3,4-b][1,2,3]triazolo[4,5-e]pyrazine-6-oxide 22, formed in 92% yield.
Scheme 3.
Formation of triazolopyrazine N-oxide 22 from diaminopyrazine 20, proceeding via intermediate 21.
Forming a mesoionic ring system while studying luminescence, Slepukhin and coworkers [19] obtained the 1H-1,2,3-triazolo[4,5-b]pyrazine core within the azapentalene inner salt 27 in 50% yield after intramolecular cyclization of 8-(benzotriazole-1-yl)tetrazolo[1,5-a]pyrazine 25 in refluxing DMF, causing loss of nitrogen via intermediate 26 and formation of 5H-pyrazino[2′,3′:4,5][1,2,3]triazol[1,2-a]benzotriazol-6-ium, inner salt 27 (Scheme 4). Pyrazine 25 was prepared in 48% yield by nucleophilic aromatic substitution of chloride by the benzotriazolyl ion after deprotonation of 1H-1,2,3-benzotriazole 24 by carbonate.
Scheme 4.
Synthesis of an azapentalene, 5H-pyrazino[2′,3′:4,5][1,2,3]triazolo[1,2-a]benzotriazol-6-ium, inner salt 27, after intramolecular cyclization of 25 and loss of nitrogen via intermediate 26.
Azapentalenes, containing the 1H-1,2,3-triazolo[4,5-b]pyrazine nucleus, have gained attention for their useful properties, such as in luminescence and complexation [19]. Compounds of this type have demonstrated low toxicity, high solubility, and other properties desirable as potential fluorescence probes [20]. This intramolecular approach has remained popular in obtaining various substituted azapentalenes, another example being that of Nyffenegger and coworkers [21]. Here, the azapentalene, 5H-pyrazolo[1′,2′:1,2][1,2,3]triazolo[4,5-b]pyrazin-6-ium, inner salt, 31, was obtained in yields up to 85% via cyclization with loss of nitrogen after amination of 2-azido-3-chloropyrazine, 28, with either pyrazole 29 or 1,2,4-triazole affording 2-azido-3-(1H-pyrazol-1-yl)pyrazine 30 (Scheme 5). Other derivatives using nitro-substituted pyrazoles were formed in yields in the range 63–97%. This method offers convenience in that a precursor to 28, 2,3-dichloropyrazine, is commercially available.
Scheme 5.
Synthesis of the azapentalene 31, from pyrazine 30, derived from 2-azido-3-chloropyrazine 28.
Notably, in addition to having an azido group substituted ortho to the pyrazole of 30 [20,21], reports have also made use of the respective amine via ring closure by displacement of an N-iodonium intermediate by an adjacent nitrogen atom of the attached pyrazole to form azapentalenes [22,23]. Compounds of this type have been thoroughly characterized via NMR spectroscopy [24]. A Pfizer patent [25] filed in 2007 detailed the use of either isoamyl nitrite in DMF or NaNO2 in aqueous acetic acid, after first aminating commercially available 2-amino-3,5-dibromopyrazine 32 in the presence of a sterically hindered base, N,N-diisopropylethylamine (DIPEA), then treating diaminopyrazine 33 with nitrite to form 3,5-disubstituted 1H-1,2,3-triazolo[4,5-b]pyrazine 34 (Scheme 6).
Scheme 6.
Amination of 2-amino-3,5-dibromopyrazine 32 to form diaminopyrazine 33, followed by cyclization to form triazolo[4,5-b]pyrazine 34. (R = alkyl or aryl.)
The use of nitrite for triazole cyclization, via the nitrosonium ion, has also been reported by Ye and coworkers [26,27], Cui and coworkers [2] (who were cited in the original patent [25]), and others. Thottempudi and coworkers [28] used a combination of TFAA/HNO3 as an in situ nitronium source, giving a triazole 2-N-oxide, while Jia and coworkers [1], and others [29,30] used nitrosonium generated from nitrite. Both syntheses offer straightforward introduction of the triazole based on the amine chosen during amination. They also have the advantage of short reaction times and little or no required purification. Likely owing to these benefits, cyclization using nitrite to generate nitrosonium ion, such as in 33 to 34 (Scheme 6), continues to dominate reports in the literature. Indeed, the reaction of various diazinyl diamines with nitrite represents a central theme throughout the discussion of syntheses of 1H-1,2,3-triazole-fused pyrazines and pyridazines.
2.2. Syntheses of 1,2,3-Triazolo[1,5-a]pyrazines
More well-known than 1,2,3-triazolo[4,5-b]pyrazines are the fused [1,5-a]pyrazine derivatives. While benzo[b]pyrazines (i.e., quinoxalines) are not commonly encountered as part of 1,2,3-triazolo[4,5-b]pyrazines, they are widespread in the literature in compounds containing the 1,2,3-triazolo[1,5-a]pyrazine nucleus. Therefore, this section is organized into the syntheses of benzo-fused structures (e.g., 1,2,3-triazolo[1,5-a]pyrazines containing quinoxaline or quinoxalinone), and those that are bicyclic 1,2,3-triazolo[1,5-a]pyrazines. A recent brief review of 4,5,6,7-tetrahydro[1,2,3]triazolo[1,5-a]pyrazines has been published [31]. An earlier review detailed aspects of the chemistry of 1,2,3-triazolo[1,5-a]pyrazines [32]. A review on the synthesis of triazoloquinazolines also appeared in 2016 [33].
2.2.1. Syntheses of Bicyclic 1,2,3-Triazolo[1,5-a]pyrazines
The first method of synthesizing a 1,2,3-triazolo[1,5-a]pyrazine by Wentrup [34] was, at the time, the synthesis of a novel purine isomer. Wentrup utilized the thermolysis of 5-(2-pyrazinyl)tetrazole 36 (400 °C, 10−5 Torr), affording 38, 1,2,3-triazolo[1,5-a]pyrazine in 20% yield proceeding via diazo intermediate 37. The precursor 2-(2H-tetrazol-5-yl)pyrazine 36 was readily prepared from 2-cyanopyrazine, 35, upon treatment with hydrazoic acid generated in situ from ammonium chloride and sodium azide (Scheme 7). This method, while suffering from harsh reaction conditions and poor yields, was the first utilizing intramolecular cyclization of diazo intermediates in the formation of 1,2,3-triazolo[1,5-a]pyrazines. Lead tetraacetate oxidation of the hydrazone of pyrazine-2-carbaldehyde similarly gave 38 in 75% yield [35].
Scheme 7.
Conversion of 2-cyanopyrazine 35 to 1,2,3-triazolo[1,5-a]pyrazine 38 via tetrazolylpyrazine 36.
In addition to syntheses of neutral compounds of this type, several reports have appeared for the preparation of fused pyrazinium salts. A method by Beres and coworkers [36] afforded 1-(4-bromophenyl)-3-methyl-1,2,3-triazolo[1,5-a]pyrazinium tetrafluoroborates 31 in 55% yield (when R1 = p-chlorophenyl) and 81% yield (when R1 = CH3) after reaction of 4-bromophenylhydrazones 39 (prepared from the respective 2-pyrazinyl ketone) with tribromophenol bromine (TBB) and NH4BF4 (Scheme 8). When R1 = CH3, the yield of 40 was 81%. Interestingly, after treatment of 40 with pyrrolidine in methanol, the ring-opened 2-aza-1,3-butadienes can be valuable starting materials for other conversions. For example, a ring-opened triazolyl-2-aza-1,3-butadiene was converted to a fused pyridine after treatment with N-phenylmaleinimide, or an imidazoline when treated with tosyl azide [36].
Scheme 8.
Intramolecular cyclization of a 4-bromophenylhydrazone 39 forming triazolopyrazinium tetrafluoroborate 40. (R1 = alkyl or aryl.)
Methods have been reported for the preparation of 1,2,3-triazolo[1,5-a]pyrazinones. In work by Nein and coworkers [37,38], the reaction of 5-hydroxy-N-diphenyl-1H-1,2,3-triazole-4-carboxamide 41 with chloroacetonitrile in DMF and base gave the alkylated product 42, which, after refluxing in sodium ethoxide, gave 6-amino-4-oxo-2,5-diphenyl-4,5-dihydro-2H-1,2,3-triazolo[1,5-a]pyrazinium-5-olate 43 in 80% yield (Scheme 9). They proposed the geometry of 3-phenacyl- and 3-cyanomethyl derivatives of triazolium-5-olates indicated interaction of the carboxamide nitrogen at position 4 of the triazole with cyano groups, which was then confirmed experimentally after obtaining the desired mesoionic 42 [37].
Scheme 9.
Intramolecular cyclization of a triazolium salt 42, forming zwitterionic 43.
Similarly involving reaction of triazolium olates such as 42, during a synthesis of 1,2,5-triazepines by Savel’eva and coworkers [39], [1,5-a]triazolopyrazines were formed as byproducts (5–7%) from the intramolecular cyclization of 1-amino-3-(p-phenacyl)-4-{[2-(1-methylethylidene)hydrazino]carbonyl}-[1,2,3]-triazolium-5-olates. Jug and coworkers [40] took a novel approach for the reaction of 4-(ethoxymethylene)-2-phenyloxazol-5(4H)-one 44 with commercially available diaminomaleonitrile 45, forming adduct 46 which, after conversion to triazole 47 with nitrite, afforded the substituted 1,2,3-triazolo[1,5-a]pyrazine 48 (Scheme 10). Later, derivatives of 48 such as ethyl 4-amino-3-cyano-1,2,3-triazolo[1,5-a]pyrazine-6-carboxylate were further reacted by Trcek and coworkers [41] to form 1,2,3-triazolo[1,5-a]-1,2,4-triazolo[5,1-c]pyrazines in 55–65% yield.
Scheme 10.
Reaction of 4-(ethoxymethylene)-2-phenyloxazol-5(4H)-one 44 and diaminomaleonitrile 45 forming an adduct 46, which led to triazole 47 and pyrazine 48. (R1 = alkyl.)
Raghavendra and coworkers [42] reported a triazolopyrazine synthesis employing solid-phase polystyrene p-toluenesulfonyl hydrazide, a common carbonyl scavenging resin. After reaction of the polystyrene p-toluenesulfonyl hydrazide 49 with an acetylpyrazine 50 in the presence of 5% TiCl4 in MeOH, hydrazone 51 was obtained. Reaction of 51 with morpholine gave the desired 1,2,3-triazolo[1,5-a]pyrazines, 52 (Scheme 11), in yields ranging from 33–62%. This regiospecific, traceless protocol represented the first solid-phase assisted synthesis of a triazolopyrazine and was also used for the synthesis of several non-fused 1,2,3-triazoles in the same report in yields up to 60%.
Scheme 11.
Intramolecular cyclization of hydrazone 51, derived from tosylhydrazide 49, in the formation of disubstituted 1,2,3-triazolo[1,5-a]pyrazines 52. (R1, R2 = alkyl.)
Copper-catalyzed [3 + 2] cycloaddition of propiolamide 53, followed by halide displacement to form a fused product, was utilized in the synthesis of saturated derivatives of 1,2,3-triazolo[1,5-a]pyrazine (i.e., triazolopiperazines) 54 in 80% yield [43] (Scheme 12). Koguchi and coworkers used ynones and β-amino azides to afford 6,7-dihydro-1,2,3-triazolo[1,5-a]pyrazines. These authors verified that the one-pot reaction gave cycloaddition of the alkyne and azide first, followed by reaction of the amine with the ketone [44].
Scheme 12.
Cycloaddition of propiolamide 53 and displacement of iodide to form triazolopiperazine 54. (R1, R2, R3, R4 = alkyl or aryl.)
2.2.2. Syntheses of Benzo-Fused 1,2,3-Triazolo[1,5-a]pyrazines
One of the first reported preparations of a 1,2,3-triazolo[1,5-a]pyrazine by Kauer and coworkers [45] started with dimethyl l-(o-nitrophenyl)-lH-triazole-4,5-dicarboxylate 59, and upon treatment with tributyl phosphine in refluxing toluene, afforded methyl 4-methoxy-1,2,3-triazolo[3,4-a]quinoxaline-3-carboxylate 60 (Scheme 13). Triazole 59 was readily prepared from o-azidonitrobenzene 57 (which in turn was prepared from o-chloronitrobenzene 55 or o-aminonitrobenzene 56) and dimethyl acetylenedicarboxylate 58 in CHCl3.
Scheme 13.
Treatment of triazolyl-o-nitrobenzene 59 with tributyl phosphine, PBu3, resulting in 1,2,3-triazolo[3,4-a]quinoxaline 60.
Through a different approach, Cue and coworkers [46] accessed 1,2,3-triazolo[l,5-a]quinoxaline N-oxides 62 in yields ranging from 52–70% by cyclization of quinoxaline-3-carboxaldehyde-1-oxide-p-toluenesulfonylhydrazone 61 (Scheme 14). The starting sulfonylhydrazone 61 was prepared by reaction of a 3-substituted quinoxaline N-oxide with p-toluenesulfonylhydrazide [45].
Scheme 14.
Synthesis of substituted 1,2,3-triazolo[l,5-a]quinoxaline N-oxides, 62, via intramolecular cyclization of sulfonylhydrazone 61. (R1, R2 = H, methyl.)
For the intramolecular cyclization of ortho-substituted amines to prepare 1,2,3-triazoles using nitrite, as is commonly reported for non-fused derivatives [2,25], Ager and coworkers [47] illustrated that the amines used in cyclization do not need to be primary. Through reaction of a secondary amine within a ring and a primary amine 63 with isoamyl nitrite in chloroacetic acid, they obtained 1,2,3-triazoles fused to both lactones and lactams, 64, in yields in the range 54–76% (Scheme 15). In the case of lactams, 1,2,3-triazoloquinoxalinones were formed.
Scheme 15.
Synthesis of 1,2,3-triazole-fused quinoxalinones, using a diamine in which one amine is secondary.
Synthesizing compounds of the same type, Bertelli, and coworkers [48] first formed a triazole diester on a ring ortho to a nitro group, 65, which was intramolecularly cyclized to form ethyl 4,5-dihydro-4-oxo-[1,2,3]triazolo[1,5-a]quinoxaline-3-carboxylate, 66 (Scheme 16). This reaction was conducted by hydrogenation with a 10% Pd/C catalyst or by reaction with FeCl3 and Fe powder. Biagi and coworkers [49] cyclized the triazole diester into 1,2,3-triazoloquinoxalinone 66 with 10% Pd/C in ethanol in an excellent 98% yield. Shen and coworkers further modified the ester group of 66 to prepare a derivative suitable for biological testing [50].
Scheme 16.
Synthesis of 1,2,3-triazole-fused quinoxalinone 66, using a pre-formed 1,2,3-triazole 65 in the presence of iron catalysts.
Abbott and coworkers [51] prepared 1,2,3-triazoloquinoxalines in an analogous manner, but opted for use of an amide instead of a nitro group, giving mesoionic 1,2,3-triazoles 68, which were derived from the lithium salt of [2-(acetylamino)phenyl]amino acetic acid 67 (Scheme 17). A series of 1,2,3-triazoloquinoxalines, 69, was synthesized after cyclization with p-toluenesulfonic acid (p-TSA) in refluxing toluene in yields in the range 16–59%.
Scheme 17.
Synthesis of mesoionic 1,2,3-triazoloquinoxalines 69 from ortho-substituted 1,2,3-triazolobenzamides 68. (R1, R2 = alkyl or aryl.)
Saha and coworkers [52] used the intramolecular cyclization of ortho-substituted anilines with tethered 1,2,3-triazoles, 72, a Pictet–Spengler reaction, to form 1,2,3-triazoloquinoxalines 73 in yields in the range 61–70% (Scheme 18). This sequence offers two-point diversity: one from 72, and the other from an aryl aldehyde 73. The prerequisite triazole 72 was conveniently prepared from readily available starting materials, including o-fluoronitrobenzene 70, phenylacetylene 71, and sodium azide.
Scheme 18.
3-Phenyl-4-p-tolyl-1,2,3-triazolo[1,5-a]quinoxalines 74 synthesized from ortho-substituted 2-(4-phenyl-[1,2,3]triazol-1-yl)anilines 72. (R1, R2 = alkyl or aryl.)
Chen and coworkers [53] used a novel approach for the synthesis of 4-(trifluoromethyl)-1,2,3-triazolo[1,5-a]quinoxaline 76 via cascade reactions of N-(o-haloaryl)alkynylimine 75 with sodium azide in the presence of copper iodide and L-proline (Scheme 19). Among a series of amine-containing catalysts, L-proline resulted in a 98% isolated yield, while tetramethylethylenediamine and N,N′-dimethylethylenediamine gave lower yields, and higher percentages of the uncyclized imine product.
Scheme 19.
Synthesis of 3-phenyl-4-(trifluoromethyl)-1,2,3-triazolo[1,5-a]quinoxaline 76 from N-(o-haloaryl)alkynylimine 75.
Using photoredox catalysis, He and coworkers [54] used [fac-Ir(ppy)3] as a photocatalyst to afford the corresponding 1,2,3-triazoloquinoxaline 78 from isonitrile 77 in 60% yield (Scheme 20). Due to poor solubility of the catalyst, ACN resulted in decreased yields compared to DMF. This work is a rare example of free-radical generation of 1,2,3-triazole-fused ring systems, as cyclohexyl radicals are proposed to have formed from phenyliodine(III)dicarboxylate. The radicals yield isonitrile carbon radicals, followed by reaction with carbon 5 of the triazole. Various fused rings were synthesized in addition to 1,2,3-triazoles including tetrazoles, pyrazoles, and imidazoles in yields as high as 80%.
Scheme 20.
Photoredox approach for the synthesis of a 1,2,3-triazoloquinoxaline 78. (Cy = cyclohexyl, fac = facial, ppy = 2-phenylpyridine).
In the presence of Cu(OAc)2 and base in DMSO/THF, Li and coworkers [55] reported an efficient one-pot synthesis of 1,2,3-triazolo[1,5-a]quinoxalines 81 from 1-azido-2-isocyanoarenes 79 in yields in the range 40–84% (Scheme 21). They outlined the option of using terminal acetylenes 80 or substituted acetaldehydes 82, the former being cyclized into 81 in one step (in yields ranging from 40–83%), and the latter forming uncyclized triazole 83, which was annulated using Togni’s reagent II and tetra-n-butylammonium iodide (TBAI), forming 84, or phenylboronic acid, forming 85. Derivatives of 84 were prepared in yields in the range 26–78%, and one synthesis of 85 yielded 86%.
Scheme 21.
Copper-catalyzed synthesis of 1,2,3-triazolo[1,5-a]quinoxalines 81 from 1-azido-2-isocyanoarenes 79. Annulation of intermediate 83 with 1) Togni’s reagent II and catalytic TBAI forming 84, or 2) phenylboronic acid and a manganese catalyst forming 85. (R1, R2 = alkyl or aryl.)
Owing to the versatility of intermediate 83, many functionalized 1,2,3-triazoloquinoxalines were prepared, and indeed, Li and coworkers reported several compounds containing the 1,2,3-triazolo[1,5-a]quinoxaline core with a variety of functionalities. Additionally, in this report, the fused products were further reacted into diversified quinoxaline derivatives via Rh(II)-catalyzed carbenoid insertion reactions [55].
Employing a Pd-catalyzed intramolecular cyclization of triazole 86, Kotovshchikov and coworkers [56] synthesized 3-butyl-[1,2,3]triazolo[1,5-a]quinoxalin-4(5H)-one 87 in 77% yield. As this reaction was conducted under CO (1 atm), the carbonyl carbon of the quinoxalinone was introduced by Pd-catalyzed insertion of CO (Scheme 22).
Scheme 22.
Pd-catalyzed synthesis of quinoxalinone 87 from ortho-substituted aniline 86.
Xiao and coworkers [43] and Chen and coworkers [57] used in situ conversion of N-propargyl-N-(2-iodoaryl)amides 88 to azides, which underwent 1,3-dipolar cycloaddition with the adjacent alkyne to form substituted 1,2,3-triazolo[1,5-a]quinoxalines 89 (Scheme 23) in yields in the range 58–91%. Chen and coworkers suggested that cycloaddition might occur first. The sequence was conducted in the presence of DIPEA and 1,2-dimethylethylenediamine (DMEDA).
Scheme 23.
Intramolecular cyclization of N-propargyl-N-(2-iodoaryl)amides 88, yielding 1,2,3-triazoloquinoxalines 89 after in situ conversion of 88 to the azide. (R1, R2, R3, R4 = alkyl or aryl.)
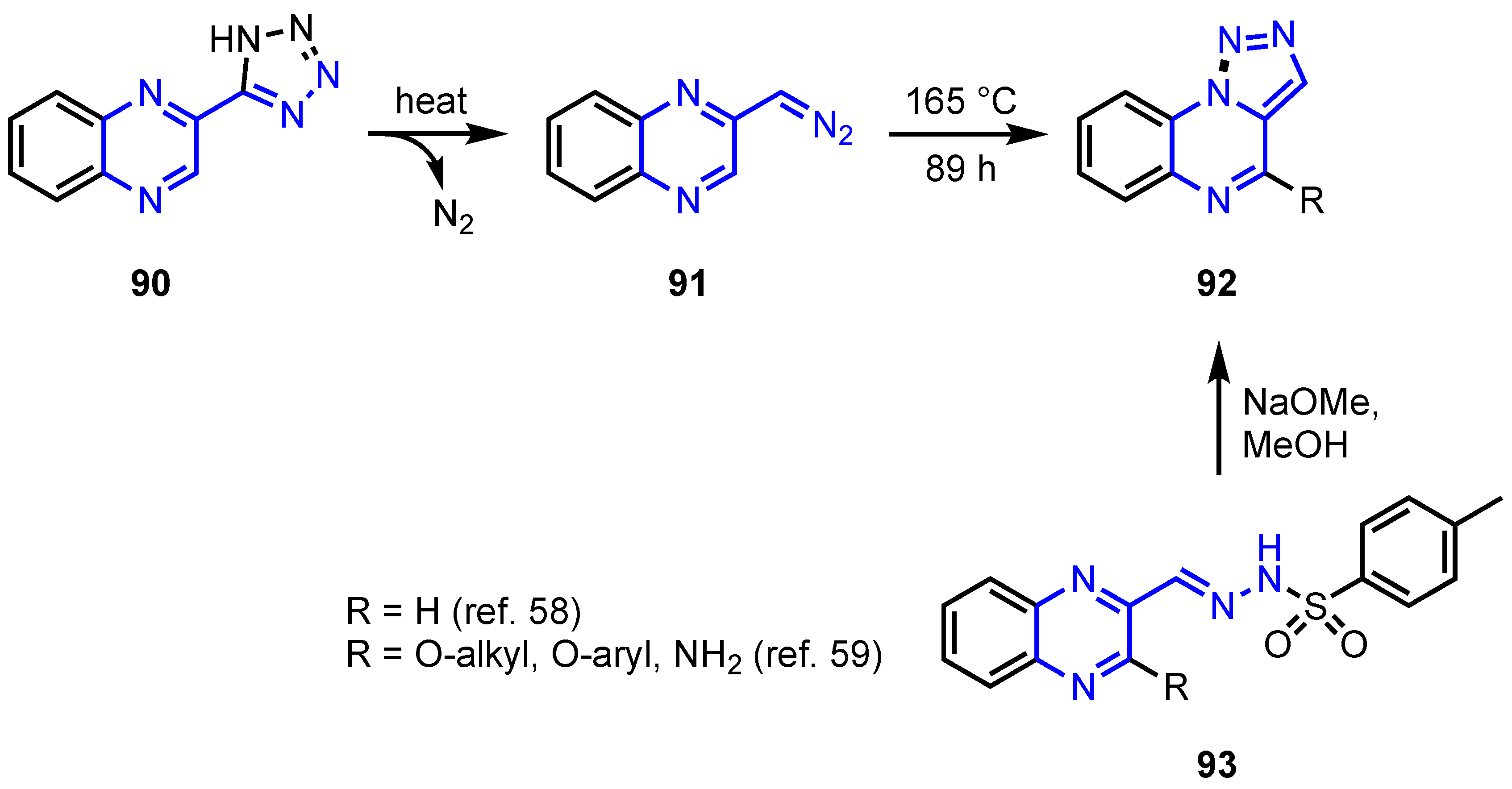
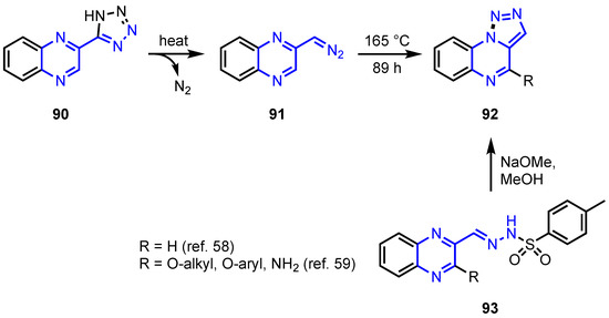
Preparative thermolysis of tetrazoloquinoxaline 90 proceeded by loss of nitrogen through diazo intermediate 91 and then to 1,2,3-triazolo[1,5-a]quinoxaline 92 in 67% yield (Scheme 24) [58]. Using a ring-closure method similar to that used by both Raghavendra and coworkers [42] and Cue and coworkers [46], Vogel and Lippmann [59] developed a route to derivatives of 92 in 47–89% yield via conversion from tosylhydrazones 93 using base (Bamford-Stevens conditions) or, in certain cases, heat (Scheme 24).
Scheme 24.
Cyclization methods for preparing 1,2,3-triazolo[1,5-a]quinoxalines.
Overall, there exist diverse methods for the synthesis of both bicyclic 1,2,3-triazolo[1,5-a]pyrazines and 1,2,3-triazolo[1,5-a]quinoxalines.
2.3. Syntheses of 1H-1,2,3-Triazolo[4,5-d]pyridazines
Livi and coworkers [60] reviewed syntheses of this heterocyclic system covering reports prior to 1996. Another review on condensed 1,2,3-triazoles appeared in 2008, which includes synthesis of 1H-1,2,3-triazolo[4,5-d]pyridazines [32]. Here, we summarize both older and newer reports. A common theme in the literature regarding the synthesis of 1H-1,2,3-triazolo[4,5-d]pyridazines is the reaction of 1,2,3-triazole dicarbonyl species with hydrazine hydrate. This yields a diacylhydrazide, which can be cyclized with either high heat or acid. One of the first examples (Scheme 25) is from Fournier and Miller [61], who used 2-(4,5-dibenzoyl-1H-1,2,3-triazol-1-ylmethyl)-3,4,6-trimethylhydroquinone diacetate and hydrazine hydrate in ethanol to form 4,5-diphenyl-1H-1,2,3-triazolo[4,5-d]pyridazine. In a comparable manner, Erichomovitch [62] used triazole diesters 94 to obtain diacylhydrazides 95, which were heated to form 1H-1,2,3-triazolo[4,5-d]pyridazines 96 in 80% yield with loss of hydrazine.
Scheme 25.
Intramolecular cyclization of diacylhydrazide 95, forming 1,2,3-triazolo[4,5-d]pyridazine 96 upon high heat with loss of hydrazine. (R1 = alkyl.)
Janietz and coworkers [63] developed a scheme that proceeded through dichlorotriazole 97, which, after conversion to a dinitrone and subsequent treatment with acid, afforded the dialdehyde 98, which cyclized to form the desired 1H-1,2,3-triazolo[4,5-d]pyridazine 99 after treatment with hydrazine (Scheme 26).
Scheme 26.
Synthesis of substituted 1,2,3-triazolo[4,5-d]pyridazines 99 from 4,5-dichloromethyltriazoles 97, proceeding through dialdehyde 98. (R = aryl.)
Reports of forming 1,2,3-triazolo[4,5-d]pyridazones or pyridazines using this method include those of Gilchrist [64,65], Milhelcic [66], Ramesh [67], Theocharis [68], Bussolari [69], Biagi [70,71,72], Abu-Orabi [73], Ramanaiah [74], Bankowska [75], and others [5,76,77,78].
Martin and Castle [79] used ring closure by nitrosonium ion in their treatment of a 4,5-diamino-6-pyridazinone 101 in forming 3,5-dihydro-4H-1,2,3-triazolo[4,5-d]pyridazin-4-one 102 in 91% yield (Scheme 27). Commercially available 4,5-dichloro-3(2H)-pyridazinone 100 was converted to 101 in three steps. Similar methods of reacting substituted diaminopyridazines with nitrite have been conducted by Yanai [80] (conversion of 103 to 104 in Scheme 27), Chen [81], Draper [82], and Mataka [83].
Scheme 27.
Formation of 3,5-dihydro-4H-1,2,3-triazolo[4,5-d]pyridaz-4-one 102 upon treatment of 4,5-diamino-6-pyridazone 101 with nitrite, and a similar reaction of diaminopyridazine 103 cyclizing to 104 with nitrite. (R1 = H, O-alkyl, SH, SCH3, OH, NH2, R2 = H, CH3, O-alkyl, OH, Cl.)
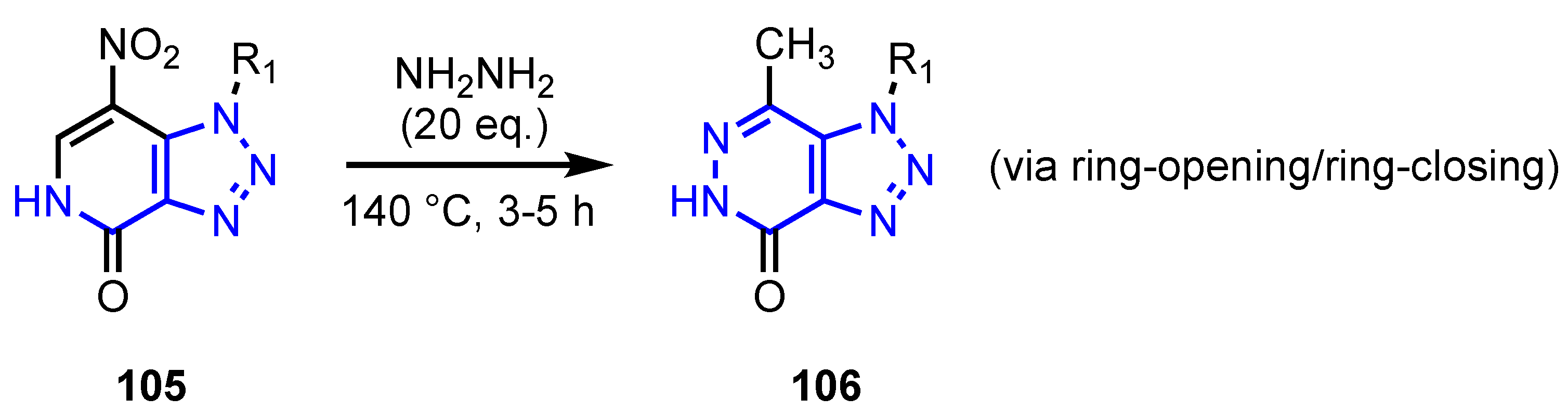
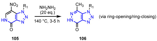
Smolyar and coworkers [84] reported a novel synthesis of a 1H-1,2,3-triazolo[4,5-d]pyridaz-4-one, 106 by a ring-opening/ring-closing “cyclotransformation” involving treatment of 1H-1,2,3-triazole-fused 5-nitropyridin-2(1H)-ones 105 with a large excess of hydrazine hydrate (Scheme 28). They reported that after heating for 3–4 h, at 140 °C, the desired pyrazinone was obtained in 86% yield with no chromatography required. 5-Nitropyridin-2(1H)-ones fused with benzene and pyridine were also studied in this report.
Scheme 28.
Cyclotransformation of 1,2,3-triazole-fused lactams 105 to 1,5-dihydro-1,7-dimethyl-1,5-4H-1,2,3-triazolo[4,5-d]pyridazin-4-ones 106 in the presence of excess hydrazine hydrate and high heat. (R1 = methyl, ethyl, butyl, cyclohexyl, and (CH2)3NMe2.)
A number of methods exist for the preparation of molecules containing the 1,2,3-triazolo[4,5-d]pyridazine core, the majority of which involve the treatment of 1,2,3-triazole dicarbonyl species with hydrazine hydrate followed by acid or heat-promoted cyclization, or the cyclization of a diaminopyridazine with nitrite.
2.4. Syntheses of 1,2,3-Triazolo[1,5-b]pyridazines
Despite being reported as early as 1949 by Schofield and coworkers [85] in their study of cinnolines, 1,2,3-triazolo[1,5-b]pyridazines remain rare in the literature, in part owing to few methods available for their synthesis. While synthesizing azepinones, Evans and coworkers [86] instead serendipitously obtained 3,6-diphenyl-1,2,3-triazolo[1,5-b]pyridazine 108. This was obtained from the intramolecular cyclization of diketo-oxime 107 (Scheme 29) after refluxing in HCl. This gave up to 22% of a pyrazinylhydrazone byproduct. A similar method in the same report used HOAc, but this resulted in poor yields (about 15%) and up to three products.
Scheme 29.
Formation of a 1,2,3-triazolo[1,5-b]pyridazine 108 after the intramolecular cyclization of oxime 107.
A fluoroborate salt was prepared by Riedl and coworkers [87] in a manner similar to that of Beres and coworkers [36]. The acyl-substituted pyridazine, 111, after treatment with p-bromophenyl hydrazine hydrochloride 112 gave the hydrazone 113. Tribromophenol bromine (TBP) in DCM afforded the desired ring-closed product 114 in 67% yield (Scheme 30). The initial bromide salt was converted to the fluoroborate salt with 40% fluoroboric acid in ACN. Ketone 111 was prepared by the same group via reaction of a commercially available 3-cyanopyridizine 109 with p-chlorophenylmagnesium bromide 110, also synthesized from commercially available p-chlorobromobenzene and Mg. This was followed by acidic workup to afford the desired ketone. Compounds of this type were also prepared by Vasko and coworkers [88] using a similar method, which gave a 27% yield. A third method for the synthesis of 1,2,3-triazolo[1,5-b]pyridazines consisted of intramolecular oxidative ring closure of a hydrazone derived from 111 to afford the neutral 1,2,3-triazolo[1,5-b]pyridazine 115 [89]. Kvaskoff and coworkers employed MnO2 as an oxidant using a similar procedure [35,89,90], where purification by sublimation afforded the desired product 115 (where R1 = R2 = H) in 71% yield.
Scheme 30.
Cyclization of hydrazone 113, derived from acylpyridazine 111, to afford the 1,2,3-triazolo[1,5-b]pyridazinium salt 114, or 1,2,3-triazolo[1,5-b]pyridazine 115. (R1, R2 = alkyl or aryl.)
2.5. Syntheses of 1,2,3-Triazolo[4,5-c]pyridazines
More prevalent in the literature than 1,2,3-triazolo[1,5-b]pyridazines but still uncommon are the 1,2,3-triazolo[4,5-c]pyridazines. One of the first reports of such a compound came from Gerhardt and coworkers [91], whereas in previous reports, nitrite was used to cyclize 5-chloro-3,4-diaminopyridazine 116 to afford 7-chloro-3H-1,2,3-triazolo[4,5-c]pyridazine 117 (Scheme 31) in 83% yield. Nitrite in the presence of an acid catalyst has been used for the synthesis of this heterocyclic ring system from the respective diaminopyridazines in other reports by Murakami [92], Lunt [93], Ramanaiah [74], and Owen [3].
Scheme 31.
Cyclization of diaminopyridazine 116 to give the triazolo[4,5-c]pyridazine 117.
In a report by Pokhodylo and coworkers [94], nitrite was used in the synthesis of a substituted 1,2,3-triazolo[4,5-c]pyridazine despite only having one amine group present (as opposed to other cyclizations, which have two amine groups present). For example, 4-(3,4-dimethoxyphenyl)-1-phenyl-1H-1,2,3-triazol-5-amine 118 was reacted with sodium nitrite and glacial acetic acid to give the desired 3-(4-chlorophenyl)-7,8-dimethoxy-3H-[1,2,3]triazolo[4,5-c]cinnoline 119 in 35% yield (Scheme 32). Yields may have been low compared to other nitrite cyclizations due to the formation of a C-N bond directly with a carbon of an aromatic ring.
Scheme 32.
Cyclization of aminotriazole 118 to give triazolo[4,5-c]cinnoline 119.
Daniel and coworkers [22] formed tricyclic ylides 121 in 65% yield by oxidative cyclization of the respective ortho-substituted amino pyridazine 120 (Scheme 33). Unfortunately, compounds containing the 1,2,3-triazolo[4,5-c]pyridazine nucleus remain rare in the literature, and little is known of their biological or pharmacological properties.
Scheme 33.
Cyclization of aminotriazole 120 into 1,2,3-triazolo[4,5-c]pyridazinium ylide 121.
3. Applications
Recent applications of the aforementioned heterocyclic systems, covering both medicinal and non-medicinal topics, are discussed in the following section.
3.1. Applications of 1H-1,2,3-Triazolo[4,5-b]pyrazines
In the last decade, 1H-1,2,3-triazolo[4,5-b]pyrazines have garnered an interest within the field of medicinal chemistry for serving as the scaffold of selective c-Met inhibitors. Medicinal studies of 1H-1,2,3-triazolo[4,5-b]pyrazines have extended well into the patent literature, with one patent even exploring antiviral efficacy against SARS-CoV-2 [95]. The first notable report of physiological activity came from Cui and coworkers [2], who reported the discovery of PF-04217903, a 1,2,3-triazolo[4,5-b]pyrazine that demonstrated potent (IC50 = 0.005 µM) and selective inhibition of over 200 c-Met kinases [2]. This heterocyclic scaffold in general gave rise to derivatives (altering substituents at the 2 and 6 ring positions) with potent inhibition, of which PF-04217903 was the best. This compound was selected as a preclinical candidate for the treatment of cancer [96].
Later, using PF-04217903 as a reference, Jia, and coworkers [1] reported the discovery of a compound now known as Savolitinib (Figure 3). This compound, also an exquisite c-Met inhibitor with an equal IC50 of 0.005 µM, demonstrated favorable pharmacokinetic properties in mice [1]. Savolitinib possessed equal potency. Having recently passed phase II clinical trials for the treatment of metastatic non-small cell lung cancer, papillary and clear cell renal cell carcinoma, gastric cancer, and colorectal cancer, Savolitinib has been granted conditional approval for use in China at the time of this review [97]. A review of c-Met inhibitors in non-small cell lung cancer has recently appeared [98].
Figure 3.
Two potent and selective c-Met inhibitors containing the 1,2,3-triazolo[4,5-b]pyrazine core: PF-04217903 and Savolitinib.
Sirbu and coworkers [20] recently reported a novel class of small molecules containing the 1,2,3-triazolo[4,5-b]pyrazine scaffold with excellent properties for use as versatile fluorescent probes in optical imaging (Figure 4). Specifically, a phenyl ester derivative was used to dye HeLa cells in epifluorescence microscopy. Compared to commercially available LysoTracker Green DND-26, the tested triazolopyrazine derivative demonstrated comparable properties. In addition, it showed low cytotoxicity when evaluated in Alamar Blue assay (>95% cell viability up to 170 µM) and showed high solubility with a variety of desirable characteristics. A phenyl ester derivative, when evaluated as a dye in HeLa cells, showed high photostability and low cytotoxicity [20].
Figure 4.
A novel class of small molecule fluorescent probes developed by Sirbu and coworkers [20] for use in optical and/or cellular imaging.
Intriguingly, another application lay in the monitoring of hypoxic regions within tumor cells. This was explored by Janczy-Cempa and coworkers [23], who looked at the fluorescent products produced after reduction of nitrotriazolopyrazine probes by nitroreductases (enzymes often overexpressed in tumor regions). Both probes studied (Figure 5) had very weak fluorescence in normoxic regions, but their reduction by nitroreductases led to a 15-fold increase in intensity in hypoxic regions. This was evaluated using the human melanoma cell line A2058. In contrast to the fluorescence probes developed by Sirbu and coworkers [20], probes in this study had substitutions on the pyrazine ring as opposed to the triazole-fused pyrazole. While additional work is still to be done, this report demonstrates the potential for these highly conjugated compounds to be useful in biomedical monitoring. Legentil and coworkers [99] obtained compounds similar to the structure on the right in Figure 5 in yields as high as 79%, which were used to develop a luminescence layered double-hydroxide filter. This material was dispersed into a polymer for use as a dye.
Figure 5.
Compounds containing 1,2,3-triazolo[4,5-b]pyrazines based on the nitro-pyrazinotriazapentalene scaffold [20].
Overall, applications of compounds containing 1,2,3-triazolo[4,5-b]pyrazines in the current literature are focused on c-Met inhibition (i.e., the treatment of distinct types of cancers), and optical and/or cellular imaging, with triazapentalene-type molecules demonstrating a wide range of favorable characteristics as fluorescent probes.
3.2. Applications of 1H-1,2,3-Triazolo[4,5-c]pyridazines
After being initially evaluated by Gerhardt and coworkers [91] as potential purine antagonists, 1H-1,2,3-triazolo[4,5-c]pyridazines have since found broader interest within medicinal chemistry. In a report by Owen and coworkers [3], a 1H-1,2,3-triazolo[4,5-c]pyridazine was found to have GABAA modulating activity during a structure–activity relationship study of the respective imidazolopyridazine. Compounds containing the 1,2,3-triazolo[4,5-c]pyridazine scaffold have been investigated in the patent literature for the treatment of Huntington’s disease [100] and as modulators of Janus-family kinase-related diseases [101].
Other recent patents have been filed regarding fused pyridazines with herbicidal activity, of which 1,2,3-triazolo[4,5-c]pyridazine is included [102]. In another recent patent, compounds of this type were implicated in controlling unwanted plant growth [103].
Reports of compounds containing the 1,2,3-triazolo[4,5-c]pyridazine scaffold are uncommon in the current literature beyond synthetic reports and patents. Undoubtedly, there is still work to be done in exploring the potential applications of this unique heterocyclic system.
3.3. Applications of 1H-1,2,3-Triazolo[4,5-d]pyridazines
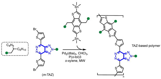
In a recent development, Li, and coworkers [4] outlined a series of triazole-based structures for the construction of conjugated polymers for solar cells. In addition to demonstrating desirable properties as units incorporated into polymers (Figure 6), their reported synthetic route uses affordable, commercially available starting materials and produces units compatible with other monomers. Structures containing 1,2,3-triazolo[4,5-d]pyridazine components offer a privileged, conjugated unit for the construction of polymers owing in part to the convenient para substitution of the pyridazine ring and perpendicular N2 substitution of the triazole ring.
Figure 6.
Structures containing the 1,2,3-triazolo[4,5-d]pyridazine-based monomer, m-TAZ, used to construct highly conjugated TAZ-based polymers.
Another notable outcome of the study of 1,2,3-triazolo[4,5-d]pyridazines was that from Biagi and coworkers [104], who reported compounds of this type with high selectivity for the A1 receptor subtype in radioligand binding assays at bovine brain adenosine A1 and A2A receptors. The most potent compound contained a 4-amino-substituted 7-hydroxy-1,2,3-triazolo[4,5-d]pyridazine, and after substitution of the hydroxyl group for a chlorine, affinity decreased and suggested a hydrogen-bond donating substituent at position 7 was critical for binding affinity.
3.4. Applications of 1,2,3-Triazolo[1,5-a]pyrazines
Among applications of compounds containing the 1,2,3-triazolo[1,5-a]pyrazine unit are those of benzo-fused 1,2,3-triazoloquinoxalines and saturated 1,2,3-triazole-fused piperidines. In a recent report by Pérez Morales and coworkers [105], a 1,2,3-triazoloquinoxalinone (Structure A, Figure 7) was identified via high-throughput screening as inducing expression of Rgg2/3-regulated genes in the presence of short hydrophobic pheromones at low concentrations. This work stemmed from interest in the Rgg2/3 quorum sensing circuit of the pathogen Streptococcus pyogenes, with the objective of manipulating and inhibiting the bacteria. After analyzing its mode of action, it was determined this compound directly uncompetitively inhibited recombinant PepO in vitro, and induced quorum sensing signaling by stabilizing short hydrophobic pheromones.
Figure 7.
Compounds containing congeners of the 1,2,3-triazolo[1,5-a]pyrazine core with a diverse set of biological activities: (A) an inducer of Rgg2/3-related genes of the human pathogen Streptococcus pyogenes [105], (B) a potent DPP-IV inhibitor evaluated for the treatment of type II diabetes [7], and (C), an identified BACE-1 inhibitor [6].
Based on the antidiabetic 1,2,4-triazolopiperazine-containing drug Sitagliptin (brand name Januvia), Shan and coworkers [7] identified a dipeptidyl peptidase (DPP) IV inhibitor containing a 1,2,3-triazolopiperazine (Structure B, Figure 7) for use in the treatment of type II diabetes.
Partially saturated 1,2,3-triazolo[1,5-a]pyrazines have demonstrated BACE-1 inhibition, an enzyme implicated in the formation of amyloid beta in Alzheimer’s disease. Oehlrich and coworkers [6] identified one such candidate, (R)-N-(3-(4-amino-6-methyl-6,7-dihydro-[1,2,3]triazolo[1,5-a]pyrazin-6-yl)-4-fluorophenyl)-5-cyanopicolinamide, (Structure C, Figure 7). This demonstrated an inhibition of the BACE-1 enzyme of pIC50 = 8.70.
These reports, while not exhaustive, demonstrate recent applications of compounds containing the 1,2,3-triazolo[1,5-a]pyrazine scaffold or congeners thereof. Particularly prominent in the literature are benzo-fused and piperazine-containing analogs.
3.5. Applications of 1,2,3-Triazolo[1,5-b]pyridazines
There are no reported applications of compounds containing the 1,2,3-triazolo[1,5-b]pyridazine ring system, and little regarding its physiological and/or pharmacological effects are known. Aside from one recent patent [106] regarding immunoregulatory functions, additional applications remain scarce at the time of this review.
4. Conclusions
In reviewing synthetic approaches to and reported applications of members of the 1,2,3-triazolodiazine family of fused bicyclic heterocycles, the following conclusions can be drawn regarding the most common synthetic methods and applications in the present literature:
- (a)
- 1,2,3-Triazolo[4,5-b]pyrazines: The most common synthetic method is cyclization of an ortho-substituted diaminopyrazine [2], in which one of the amines does not need to be primary [18,25]. Given the current commercial availability and affordability of 2-amino-3,5-dibromopyrazine, this serves as a convenient starting material. Other methods include condensation of a dicarbonyl species with a 4,5-diamino-1,2,3-triazole [16], cyclization of a 2-azido-3-cyanoquinoxaline [17], or formation of azapentalenes from tetrazolopyrazines [19] or pyrazolopyrazines [21] with loss of nitrogen.Primary Applications: Primarily c-Met inhibition [1,2,25,96] and use as fluorescent probes in optical and/or cellular imaging [20,23,99].
- (b)
- 1,2,3-Triazolo[1,5-a]pyrazines: For non-fused derivatives, the most common methods are: intramolecular cyclization of pyrazinyl hydrazones [36,42], formation of 1,2,3-triazolo[1,5-a]pyrazinium-5-olates from cyano and amide groups [37,40], or reaction of iodopropiolamides to form triazolopiperazine [43]. For benzo-fused derivatives (i.e., those containing quinoxaline or quinoxalinone), the most common methods are: cyclization of a ring-bound 1,2,3-triazole with an ortho-substituted amine [52] or nitro [45] group (if a nitro group, either PBu3 to give a quinoxaline [45] or FeCl3 [48] to give a quinoxalinone), cyclization of 1-azido-2-isocyanoarenes or 1-triazolyl-2-isocyanoarenes [54,55], or intramolecular cyclization of alkynes [53,57].Primary Applications: Primarily GABAA modulating activity [3], and patents detailing use as Janus-family kinase modulators [101] or for the treatment of Huntington’s disease [100]. There also exist recent patents describing use as herbicides [102] and plant growth attenuators [103].
- (c)
- 1,2,3-Triazolo[4,5-d]pyridazines: The most common synthetic method is reaction of a 4,5-dicarbonyl-1,2,3-triazole species with hydrazine to form the hydrazone, followed by acid or heat promoted cyclization [5,64,65,66,67,68,69,70,73,74,75,76,77,78,104]. The second most common method is treatment of the respective diaminopyridazine with nitrite [80,81,82,83]. Ring-opening/ring-closing of lactams has also been reported [84].Primary Applications: Use as highly conjugated linkers in triazole-based polymers [4] for the evaluation of solar cell materials is the main reported application.
- (d)
- 1,2,3-Triazolo[1,5-b]pyridazines: The most common synthetic method is treatment of a keto-substituted pyridazine with p-bromophenyl hydrazine hydrochloride forming the hydrazone, then treatment with TBP in DCM [87,88]. A report of intramolecular cyclization of a diketo-oxime has been reported [86].Primary Applications: Benzo-fused or saturated piperazine-containing analogs are common. Notable reports include identification of a 1,2,3-triazole-fused quinoxalinone as inducing Rgg2/3-related gene expression in the human pathogen Streptococcus pyrogenes, as a potent DPP IV inhibitor [7], and as a BACE-1 inhibitor [6].
- (e)
- 1,2,3-Triazolo[4,5-c]pyridazines: The most common method is cyclization of the respective diaminopyridazine with nitrite [3,74,91,92,93]. The intramolecular cyclization to form a pyridazine [94] or a tricyclic ylide have also been reported [22].Primary Applications: Outside of a patent [106] detailing immunoregulatory functions, no other applications exist in the literature at the time of this review.
The potential for new synthetic contributions is considerable for the triazole-fused pyrazines and pyridazines. Given the diversity of synthetic methods summarized in this review, new contributions that could be most beneficial are new routes to some of the precursors of the fused systems. In many of the reports cited, the starting materials are either not available commercially or are very expensive. For example, some diamino pyrazines are available as unsubstituted compounds or as halogenated derivatives, but all are USD 500–1000 per gram. Future studies of methods employing additional intramolecular cycloadditions leading to 1,2,3-triazolo[1,5-a]pyrazine derivatives would appear to have potential. Work on synthesis of the 1H-1,2,3-triazolo[4,5-c]pyridazines and the 1,2,3-triazolo[1,5-b]pyridazines would be welcome for these less frequently studied areas.
Overall, diverse methods exist for the preparation of 1,2,3-triazole-fused diazines, spanning the last seven decades with numerous reports in the last five years. Currently, drugs containing these ring systems remain scarce with only a handful of exceptions, particularly containing either the 1,2,3-triazolo[4,5-b]pyrazine or 1,2,3-triazolo[4,5-c]pyridazine scaffold. Applications of the aforementioned types of compounds span from medicinal chemistry into the development of dyes, probes, and inhibitors of enzymes implicated in various diseases. Despite this, there lies underrealized and exciting potential for employing triazolopyrazines and triazolopyridazines as diverse substrates in the generation of novel molecules with a wide array of applications.
Author Contributions
Conceptualization: G.R.H., A.M.S. (these authors contributed equally); writing—original draft preparation: G.R.H.; preparation of graphics: G.R.H.; validation: A.M.S.; writing—review and editing: G.R.H., A.M.S. (these authors contributed equally). All authors have read and agreed to the published version of the manuscript.
Funding
This research received no external funding.
Institutional Review Board Statement
Not applicable.
Informed Consent Statement
Not applicable.
Data Availability Statement
Not applicable.
Acknowledgments
G.R.H. would like to acknowledge his grandparents, Bob and Shirley Hoffman, for their support and encouragement throughout the research and writing process.
Conflicts of Interest
The authors declare no conflict of interest.
Sample Availability
Samples of compounds are not available from the authors.
References
- Jia, H.; Dai, G.; Weng, J.; Zhang, Z.; Wang, Q.; Zhou, F.; Jiao, L.; Cui, Y.; Ren, Y.; Fan, S.; et al. Discovery of (S)-1-(1-(imidazo[1,2-a]pyridin-6-yl)ethyl)-6-(1-methyl-1 H-pyrazol-4-yl)-1 H-[1,2,3]triazolo[4,5-b]pyrazine (Volitinib) as a highly potent and selective mesenchymal-epithelial transition factor (c-Met) inhibitor in clinical development for treatment of cancer. J. Med. Chem. 2014, 57, 7577–7589. [Google Scholar] [CrossRef] [PubMed]
- Cui, J.J.; McTigue, M.; Nambu, M.; Tran-Dubé, M.; Pairish, M.; Shen, H.; Jia, L.; Cheng, H.; Hoffman, J.; Le, P.; et al. Discovery of a novel class of exquisitely selective mesenchymal-epithelial transition factor (c-MET) protein kinase inhibitors and identification of the clinical candidate 2-(4-(1-(quinolin-6-ylmethyl)-1 H-[1,2,3]triazolo[4,5-b]pyrazin-6-yl)-1 H-pyrazol-1-yl)ethanol (PF-04217903) for the treatment of cancer. J. Med. Chem. 2012, 55, 8091–8109. [Google Scholar] [CrossRef] [PubMed]
- Owen, R.M.; Blakemore, D.; Cao, L.; Flanagan, N.; Fish, R.; Gibson, K.R.; Gurrell, R.; Huh, C.W.; Kammonen, J.; Mortimer-Cassen, E.; et al. Design and identification of a novel, functionally subtype selective GABAA positive allosteric modulator (PF-06372865). J. Med. Chem. 2019, 62, 5773–5796. [Google Scholar] [CrossRef] [PubMed]
- Li, W.; Yan, L.; Zhou, H.; You, W. A general approach toward electron deficient triazole units to construct conjugated polymers for solar cells. Chem. Mater. 2015, 27, 6470–6476. [Google Scholar] [CrossRef]
- Swarup, H.A.; Kemparajegowda; Mantelingu, K.; Rangappa, K.S. Effective and transition-metal-free construction of disubstituted, trisubstituted 1,2,3-NH-triazoles and triazolo pyridazine via intermolecular 1,3-dipolar cycloaddition reaction. ChemistrySelect 2018, 3, 703–708. [Google Scholar] [CrossRef]
- Oehlrich, D.; Peschiulli, A.; Tresadern, G.; van Gool, M.; Vega, J.A.; de Lucas, A.I.; de Diego, S.A.A.; Prokopcova, H.; Austin, N.; van Brandt, S.; et al. Evaluation of a series of β-Secretase 1 inhibitors containing novel heteroaryl-fused-piperazine amidine warheads. ACS Med. Chem. Lett. 2019, 10, 1159–1165. [Google Scholar] [CrossRef]
- Shan, Z.; Peng, M.; Fan, H.; Lu, Q.; Lu, P.; Zhao, C.; Chen, Y. Discovery of potent dipeptidyl peptidase IV inhibitors derived from β-aminoamides bearing substituted [1,2,3]-triazolopiperidines for the treatment of type 2 diabetes. Bioorg. Med. Chem. Lett. 2011, 21, 1731–1735. [Google Scholar] [CrossRef]
- Fischer, G. Recent advances in 1,2,4-triazolo[1,5-a]pyrimidine chemistry. In Advances in Heterocyclic Chemistry; Academic Press Inc.: Cambridge, MA, USA, 2019; Volume 128, pp. 1–101. [Google Scholar]
- Bhavsar, Z.A.; Patel, H.D. New dimensions in triazolo[4,3-a]pyrazine derivatives: The land of opportunity in organic and medicinal chemistry. Add abbrev. Arab. J. Chem. 2020, 13, 8532–8591. [Google Scholar]
- Kumar, H.; Dhameja, M.; Rizvi, M.; Gupta, P. Progress in the synthesis of fused 1,2,3-triazoles. ChemistrySelect 2021, 6, 4889–4947. [Google Scholar] [CrossRef]
- Wierzchowski, J.; Antosiewicz, J.M.; Shugar, D. 8-Azapurines as Isosteric Purine Fluorescent Probes for Nucleic Acid and Enzymatic Research. Mol. BioSyst. 2014, 10, 2756–2774. [Google Scholar] [CrossRef]
- Wierzchowski, J. Excited-State Proton Transfer and Phototautomerism in Nucleobase and Nucleoside Analogs: A Mini-Review. Nucleosides Nucleotides Nucleic Acids 2014, 33, 626–644. [Google Scholar] [CrossRef] [PubMed]
- Giorgi, I.; Scartoni, V. 8-Azapurine Nucleus: A versatile scaffold for different targets. Mini. Rev. Med. Chem. 2009, 9, 1367–1378. [Google Scholar] [CrossRef] [PubMed]
- Vorbrueggen, H.; Ruh-Pohlenz, C. Synthesis of nucleosides. In Organic Reactions; John Wiley & Sons: Hoboken, NJ, USA, 2000; p. 55. [Google Scholar] [CrossRef]
- Albert, A. Chemistry of 8-azapurines (1,2,3-triazolo[4,5-d]pyrimidines). Adv. Heterocycl. Chem. 1986, 39, 117–180. [Google Scholar] [CrossRef]
- Lovelette, C.A.; Long, L., Jr. Nonbridgehead fused nitrogen heterocycles. Fused 1,2,3-triazoles. J. Org. Chem. 1972, 37, 4124–4128.16. [Google Scholar] [CrossRef]
- Monge, A.; Palop, J.A.; Pińol, A.; Martinex-Crespo, F.J.; Narro, S.; Gonzalez, M.; Sáinz, Y.; de Cerain, A.L. 3-amino-2-quinoxalinecarbonitrile. New fused quinoxalines with potential cytotoxic activity. J. Heterocycl. Chem. 1994, 31, 1135–1139. [Google Scholar] [CrossRef]
- Starchenkov, B.; Andrianov, V.G.; Mishnev, A.F. Chemistry of Furazano[3,4-b]pyrazine. 5. 1,2,3-triazolo[4,5-e]furazano[3,4-b]pyrazine 6-oxides. Chem. Heterocycl. Compd. Transl. Khimiya Geterotsiklicheskikh Soedin. 1997, 33, 1355–1359. [Google Scholar] [CrossRef]
- Slepukhin, P.A.; Rusinov, G.L.; Dedeneva, S.S.; Charushin, V.N. Transformations of 8-substituted tetrazolo[1,5-a]pyrazines. Russ. Chem. Bull. 2007, 56, 345–350. [Google Scholar] [CrossRef]
- Sirbu, D.; Diharce, J.; Martinić, I.; Chopin, N.; Eliseeva, S.V.; Guillaumet, G.; Petoud, S.; Bonnet, P.; Suzenet, F. An original class of small sized molecules as versatile fluorescent probes for cellular imaging. Chem. Commun. 2019, 55, 7776–7779. [Google Scholar] [CrossRef]
- Nyffenegger, C.; Pasquinet, E.; Suzenet, F.; Poullain, D.; Guillaumet, G. Synthesis of nitro-functionalized polynitrogen tricycles bearing a central 1,2,3-triazolium ylide. Synlett 2009, 8, 1318–1320. [Google Scholar] [CrossRef]
- Daniel, M.; Hiebel, M.A.; Guillaumet, G.; Pasquinet, E.; Suzenet, F. Intramolecular metal-free N−N bond formation with heteroaromatic amines: Mild access to fused-triazapentalene derivatives. Chem. Eur. J. 2020, 26, 1525–1529. [Google Scholar] [CrossRef]
- Janczy-Cempa, E.; Mazuryk, O.; Sirbu, D.; Chopin, N.; Żarnik, M.; Zastawna, M.; Colas, C.; Hiebel, M.A.; Suzenet, F.; Brindell, M. Nitro-pyrazinotriazapentalene scaffolds–nitroreductase quantification and in vitro fluorescence imaging of hypoxia. Sens. Actuators B Chem. 2021, 346, 130504. [Google Scholar] [CrossRef]
- Palmas, P.; Nyffenegger, C.; Pasquinet, E.; Guillaumetb, G. 1H, 13C and 15N NMR Spectral Assignments for New Triazapentalene Derivatives. Magn. Reson. Chem. 2009, 47, 752–756. [Google Scholar] [CrossRef] [PubMed]
- Cheng, H.; Cui, J.J.; Hoffman, J.E.; Jia, L.; Johnson, M.C.; Kania, R.S.; Le, P.T.Q.; Nambu, M.D.; Pairish, M.A.; Shen, H.; et al. Triazolopyrazine Derivatives Useful as Anti-Cancer Agents. WO2007138472A2, 6 December 2007. [Google Scholar]
- Ye, L.; Tian, Y.; Li, Z.; Zhang, J.; Wu, S. Design and synthesis of some novel 2,3,4,5-tetrahydro-1H-pyrido[4,3-b]indoles as potential c-Met inhibitors. Helv. Chim. Acta 2012, 95, 320–326. [Google Scholar] [CrossRef]
- Ye, L.; Tian, Y.; Li, Z.; Jin, H.; Zhu, Z.; Wan, S.; Zhang, J.; Yu, P.; Zhang, J.; Wu, S. Design, synthesis and molecular docking studies of some novel spiro[indoline-3, 4′-piperidine]-2-ones as potential c-Met inhibitors. Eur. J. Med. Chem. 2012, 50, 370–375. [Google Scholar] [CrossRef] [PubMed]
- Thottempudi, V.; Yin, P.; Zhang, J.; Parrish, D.A.; Shreeve, J.M. 1,2,3-Triazolo[4,5-e]furazano[3,4,-b]pyrazine 6-oxide-a fused heterocycle with a roving hydrogen forms a new class of insensitive energetic materials. Chem. Eur. J. 2014, 20, 542–548. [Google Scholar] [CrossRef]
- Zhao, F.; Zhang, L.D.; Hao, Y.; Chen, N.; Bai, R.; Wang, Y.J.; Zhang, C.C.; Li, G.S.; Hao, L.J.; Shi, C.; et al. Identification of 3-substituted-6-(1-(1H-[1,2,3]triazolo[4,5-b]pyrazin-1-yl)-ethylquinoline derivatives as highly potent and selective mesenchymal-epithelial transition factor (c-Met) inhibitors via metabolite profiling-based structural optimization. Eur. J. Med. Chem. 2017, 134, 147–158. [Google Scholar] [CrossRef]
- Adlington, N.K.; Agnew, L.R.; Campbell, A.D.; Cox, R.J.; Dobson, A.; Barrat, C.F.; Gall, M.A.Y.; Hicks, W.; Howell, G.P.; Jawor-Baczynska, A.; et al. Process design and optimization in the pharmaceutical industry: A Suzuki-Miyaura procedure for the synthesis of savolitinib. J. Org. Chem. 2019, 84, 4735–4747. [Google Scholar] [CrossRef]
- Tupychak, M.A.; Obushak, M.D. New methods for the synthesis of substituted 4,5,6,7-tetrahydro[1,2,3]triazolo[1,5-a]pyrazines (microreview). Chem. Heterocycl. Compd. 2021, 57, 1164–1166. [Google Scholar] [CrossRef]
- Shafran, E.A.; Bakulev, V.A.; Rozin, Y.A.; Shafran, Y.M. Condensed 1,2,3-triazoles. Chem. Heterocycl. Compd. 2008, 44, 1040–1069. [Google Scholar] [CrossRef]
- Baashen, M.A.; Abdel-Wahab, B.F.; El-Hitl, G.L. Syntheses of triazoloquinoxalines. Heterocycles 2016, 92, 1931–1952. [Google Scholar] [CrossRef]
- Wentrup, C. [1,2,3]Triazoloazine/(Diazomethyl)Azine Valence Tautomers from 5-Azinyltetrazoles. Helv. Chim. Acta. 1978, 61, 1755–1761. [Google Scholar] [CrossRef]
- Maury, G.; Meziane, D.; Srairi, D.; Paugan, J.P.; Paugam, R. 1,2,3-Triazolo[1,5]azines and other nitrogen heterocycles derived from azinecarboxaldehydes. Bull. Soc. Chim. Belges. 1982, 91, 153–161. [Google Scholar] [CrossRef]
- Beres, M.; Hajos, G.; Riedl, Z.; Timdri, G.; Messmer, A.; Holly, S.; Schantl, J.G. Ring opening of l,2,3-triazolo[1,5-a]pyrazinium salts: Synthesis and some transformations of a novel type of 2-aza-l,3-butadienes. Tetrahedron 1997, 53, 9393–9400. [Google Scholar] [CrossRef]
- Nein, Y.I.; Morzherin, Y.Y.; Rozin, Y.A.; Bakulev, V.A. Synthesis of [1,2,3]triazolo-[1,5-a]pyrazinium-3-oleate. Khimiya Geterotsiklicheskikh Soedin. 2002, 9, 1302–1303. [Google Scholar] [CrossRef]
- Nein, Y.I.; Savel’eva, E.A.; Rozin, Y.A.; Bakulev, V.A.; Morzherin, Y.Y. Synthesis of condensed mesoionic heterocycles. Intramolecular cyclization of 3-acetonyl(phenacyl)-1,2,3-triazolium-5-oleates. Chem. Heterocycl. Compd. 2006, 42, 412–413. [Google Scholar] [CrossRef]
- Savel’eva, E.A.; Rozin, Y.A.; Kodess, M.I.; van Meervelt, L.; Dehaen, W.; Morzherin, Y.Y.; Bakulev, V.A. Synthesis of mesoionic[1,2,3]triazolo[5,1-d][1,2,5]triazepines. Tetrahedron 2004, 60, 5367–5372. [Google Scholar] [CrossRef]
- Jug, T.; Polak, M.; Trcek, T.; Vercek, B. A novel approach to [1,2,3]triazolo[1,5-a]pyrazines. Heterocycles 2002, 56, 353. [Google Scholar] [CrossRef]
- Trcek, T.; Vercek, B. Synthesis of [1,2,3]triazolo[1,5-a][1,2,4]triazolo[5,1-c]pyrazines. Arkivoc 2003, 14, 246–252. [Google Scholar] [CrossRef]
- Raghavendra, M.S.; Lam, Y. Regiospecific solid-phase synthesis of substituted 1,2,3-triazoles. Tetrahedron Lett. 2004, 45, 6129–6132. [Google Scholar] [CrossRef]
- Xiao, G.; Wu, K.; Zhou, W.; Cai, Q. Access to triazolopiperidine derivatives via copper(I)-catalyzed [3+2] cycloaddition/alkenyl C−N coupling tandem reactions. Adv. Synth. Catal. 2021, 363, 4988–4991. [Google Scholar] [CrossRef]
- Koguchi, S.; Sakurai, A.; Niwa, K. One-pot synthesis of [1,2,3]triazolo[1,5-a]pyrazine derivatives from ynones and amino azide. Heterocycles 2015, 91, 41–48. [Google Scholar] [CrossRef]
- Kauer, J.C.; Carboni, R.A. Aromatic azapentalenes. III. 1,3a,6,6a-tetraazapentalenes. J. Am. Chem. Soc. 1967, 89, 2633–2637. [Google Scholar] [CrossRef]
- Cue, B.W., Jr.; Czuba, L.J.; Dirlam, J.P. Azoloquinoxaline N-oxides. J. Org. Chem. 1978, 43, 4125–4128. [Google Scholar] [CrossRef]
- Ager, I.R.; Barnes, A.C.; Danswan, G.W.; Hairsine, P.W.; Kay, D.P.; Kennewell, P.D.; Matharu, S.S.; Miller, P.; Robson, P.; Rowlands, D.A.; et al. Synthesis and oral antiallergic activity of carboxylic acids derived from imidazo[2,1-c] [l,4]benzoxazines, imidazo[l,2-aJquinolines, imidazo[1,2-a]quinoxalines, imidazo[1,2-a]quinoxalinones, pyrrolo[l,2-a]quinoxalinones, pyrrolo[2,3-a]quinoxalinones, and imidazo[2,1-b]benzothiazoles. J. Med. Chem. 1988, 31, 1098–1115. [Google Scholar] [CrossRef] [PubMed]
- Bertelli, L.; Biagi, G.; Giorgi, I.; Manera, C.; Livi, O.; Scartoni, V.; Betti, L.; Giannaccini, G.; Trincavelli, L.; Barili, P.L. 1,2,3-triazolo[1,5-a]quinoxalines: Synthesis and binding to benzodiazepine and adenosine receptors. Eur. J. Med. Chem. 1998, 33, 113–122. [Google Scholar] [CrossRef]
- Biagi, G.; Giorgi, I.; Livi, O.; Scartoni, V.; Betti, L.; Giannaccini, G.; Trincavelli, M.L. New 1,2,3-triazolo[1,5-a]quinoxalines: Synthesis and binding to benzodiazepine and adenosine receptors. II. Eur. J. Med. Chem. 2002, 37, 565–571. [Google Scholar] [CrossRef]
- Shen, H.C.; Ding, F.-X.; Deng, Q.; Wilsie, L.C.; Krsmanovic, M.L.; Taggart, A.K.; Carballo-Jane, E.; Ren, N.; Cai, T.-Q.; Wu, T.-J.; et al. Discovery of Novel Tricyclic Full Agonists for the G-Protein-Coupled Niacin Receptor 109A with Minimized Flushing in Rats. J. Med. Chem. 2009, 52, 2587–2602. [Google Scholar] [CrossRef]
- Abbott, P.A.; Bobbert, R.V.; Caffrey, M.V.; Cage, P.A.; Cooke, A.J.; Donald, D.K.; Furber, M.; Hill, S.; Withnall, J. Fused mesoionic heterocycles: Synthesis of [1,2,3]triazolo[1,5-a]quinoline, [1,2,3]triazolo[1,5-a]quinazoline, [1,2,3]triazolo[1,5-a]quinoxaline and [1,2,3]triazolo[5,1-c]benzotriazine derivatives. Tetrahedron 2002, 58, 3185–3198. [Google Scholar] [CrossRef]
- Saha, B.; Sharma, S.; Sawant, D.; Kundu, B. Application of the Pictet-Spengler Reaction to aryl amine substrates linked to deactivated aromatic heterosystems. Tetrahedron 2008, 64, 8676–8684. [Google Scholar] [CrossRef]
- Chen, Z.; Zhu, J.; Xie, H.; Li, S.; Wu, Y.; Gong, Y. Copper(I)-catalyzed synthesis of novel 4-(trifluoromethyl)-[1,2,3] triazolo[1,5-a]quinoxalines via cascade reactions of N-(o-haloaryl)alkynylimine with sodium azide. Adv. Syn. Cat. 2010, 352, 1296–1300. [Google Scholar] [CrossRef]
- He, Z.; Bae, M.; Wu, J.; Jamison, T.F. Synthesis of highly functionalized polycyclic quinoxaline derivatives using visible-light photoredox catalysis. Angew. Chem. Int. Ed. 2014, 53, 14451–14455. [Google Scholar] [CrossRef]
- Li, D.; Mao, T.; Huang, J.; Zhu, Q. A one-pot synthesis of [1,2,3]triazolo[1,5-a]quinoxalines from 1-azido-2-isocyanoarenes with high bond-forming efficiency. Chem. Commun. 2017, 53, 1305–1308. [Google Scholar] [CrossRef]
- Kotovshchikov, Y.N.; Latyshev, G.V.; Beletskaya, I.P.; Lukashev, N.V. Regioselective approach to 5-carboxy-1,2,3-triazoles based on palladium-catalyzed carbonylation. Synthesis 2018, 50, 1926–1934. [Google Scholar] [CrossRef]
- Chen, W.; Tu, X.; Xu, M.; Chu, Y.; Zhu, Y. Copper(I) iodide catalyzed tandem reactions of N-propargyl-N-(2-iodoaryl)amides with sodium azide: An efficient synthesis of [1,2,3]triazolo[1,5-a]quinoxalines. Synlett 2021, 32, 805–809. [Google Scholar] [CrossRef]
- Addicott, C.; Luerssen, H.; Kuzaj, M.; Kvaskoff, D.; Wentrup, C. 4-Quinolylnitrene and 2-quinoxalinylcarbene. J. Phys. Org. Chem. 2011, 24, 999–1008. [Google Scholar] [CrossRef]
- Vogel, M.; Lippmann, E. Synthesis of 4-substituted 1,2,3-triazolo[1,5-a]quinoxalines. J. Prakt. Chem. 1987, 329, 101–107. [Google Scholar] [CrossRef]
- Livi, O.; Scartoni, V. 1,2,3-triazolo[4,5-d]pyridazines. Il Farm. 1997, 52, 205–211. [Google Scholar]
- Jane, O.F.; Miller, J.B. Preparation of 4,5-disubstituted 1,2,3-triazoles. J. Heterocycl. Chem. 1965, 2, 488–490. [Google Scholar] [CrossRef]
- Erichomovitch, L.; Chubb, F.L. La synthése de quelques nouvelles pyridazines bicycliques. Can. J. Chem. 1966, 44, 2095–2100. [Google Scholar] [CrossRef]
- Janietz, D.; Rudorf, W.-D. Simple synthesis of 1-aryl-1,2,3-triazole-4,5-dialdehydes. Z. Chem. 1988, 28, 211–212. [Google Scholar] [CrossRef]
- Gilchrist, T.L.; Gymer, G.E.; Rees, C.W. Benzonitrile N-(phthalimido)imide, a functionalized 1,3-dipole. Preparation of 4,5,8-triphenylpyridazino[4,5-d]triazine and generation of 3,6-diphenyl-4,5-didehydropyridazine. J. Chem. Soc. Perkin Trans. 1 Org. Bio-Org. Chem. 1975, 18, 1747–1750. [Google Scholar] [CrossRef]
- Gilchrist, T.L.; Gymer, G.E.; Rees, C.W. Fragmentation of 3,6-diphenyl-4,5-dehydropyridazine to diphenylbutadiyne. Chem. Commun. 1973, 21, 819–820. [Google Scholar] [CrossRef]
- Mihelcic, B.; Simonic, S.; Stanovni, B.; Tisler, M. Pyridazines. LXXI. Addition of azidoazolopyridazines to triple bonds. Croat. Chem. Acta 1974, 46, 275–278. [Google Scholar]
- Ramesh, K.; Panzica, R.P. A convenient synthesis of 1-(β-D-ribofuranosyl)imidazo[4,5-d]pyridazin-4(5H)-one (2-aza-3-deazainosine) and its 2′-deoxy counterpart by ring closure of imidazole nucleosides. J. Chem. Soc. Perkin Trans. 1 1989, 10, 1769–1774. [Google Scholar] [CrossRef]
- Theocharis, A.B.; Alexandrou, N.E. Generation and dienophilic properties of 1-benzyl-1H-1,2,3-triazolo[4,5-d]pyridazine-4,7-dione. J. Heterocycl. Chem. 1990, 27, 1741–1744. [Google Scholar] [CrossRef]
- Bussolari, J.C.; Ramesh, K.; Stoeckler, J.D.; Chen, S.F.; Panzica, R.P. Synthesis and biological evaluation of N4-substituted imidazo- and v-triazolo[4,5-d]pyridazine nucleosides. J. Med. Chem. 1993, 36, 4113–4120. [Google Scholar] [CrossRef]
- Biagi, G.; Ferretti, M.; Giorgi, I.; Livi, O.; Scartoni, V. 1,2,3-Triazole[4,5-d]pyridazines I. Analogues of Prostaglandin synthesis inhibitors. Il Farm. 1993, 48, 1159–1165. [Google Scholar]
- Biagi, G.; Ciambrone, F.; Giorgi, I.; Livi, O.; Scartoni, V.; Barili, P.L. New 1,2,3-triazolo[4,5-d]-1,2,4-triazolo[3,4-b]pyridazine derivatives II. J. Heterocycl. Chem. 2002, 39, 889–893. [Google Scholar] [CrossRef]
- Biagi, G.; Giorgi, I.; Livi, O.; Manera, C.; Scartoni, V. 1,2,3-Triazolo[4,5-d]-1,2,4-triazolo[4,3-b]pyridazines. J. Heterocycl. Chem. 1997, 34, 65–69. [Google Scholar] [CrossRef]
- Abu-Orabi, S.T.; Al-Hamdany, R.; Shahateet, S.; Abu-Shandi, K. Synthesis of substituted benzyl-1H-1,2,3-triazolo[4,5-d]pyridazidine-4,7-diones. Heterocycl. Commun. 2000, 6, 443–449. [Google Scholar] [CrossRef]
- Ramanaiah, K.V.C.; Stevens, E.D.; Trudell, M.L. Synthesis of 1-substituted [1,2,3]triazolo[4,5-d]pyridazines as precursors for novel tetraazapentalene derivatives. J. Heterocycl. Chem. 2000, 37, 1597–1602. [Google Scholar] [CrossRef]
- Bankowska, E.; Balzarini, J.; Głowacka, I.E.; Wróblewski, A.E. Design, synthesis, antiviral and cytotoxic evaluation of novel acyclic phosphonate nucleotide analogues with a 5,6-dihydro-1H-[1,2,3]triazolo[4,5-d] pyridazine-4,7-dione system. Monatsh. Chem. 2014, 145, 663–673. [Google Scholar] [CrossRef]
- Pokhodylo, N.T.; Shyyka, O.Y.; Obushak, M.D. Convenient synthetic path to ethyl 1-aryl-5-formyl-1H-1,2,3-triazole-4-carboxylates and 1-aryl-1,5-dihydro-4H-[1,2,3]triazolo[4,5-d]pyridazin-4-ones. Chem. Heterocycl. Compd. 2018, 54, 773–779. [Google Scholar] [CrossRef]
- Cui, X.; Zhang, X.; Wang, W.; Zhong, X.; Tan, Y.; Wang, Y.; Zhang, J.; Li, Y.; Wang, X. Diazo transfer reaction for the synthesis of 1,4,5-trisubstituted 1,2,3-triazoles and subsequent regiospecific construction of 1,4-disubstituted 1,2,3-triazoles via C-C bond cleavage. J. Org. Chem. 2021, 86, 4071–4080. [Google Scholar] [CrossRef]
- Cao, W. 4,5-dicyano-1,2,3-triazole—A aromising precursor for a new family of energetic compounds and its nitrogen-rich derivatives: Synthesis and srystal structures. Molecules 2021, 26, 6735. [Google Scholar] [CrossRef]
- Martin, S.F.; Castle, R.N. The synthesis of imidazo[4,5-d] pyridazines. VI. v-triazolo[4,5-d] pyridazines, pyrazino[2,3-d] pyridazines and 7H-imidazo[4,5-d] tetrazolo[1,5-b]pyridazine. J. Heterocycl. Chem. 1969, 6, 93–98. [Google Scholar] [CrossRef]
- Yanai, M.; Kinoshita, T.; Takeda, S.; Mori, M.; Sadaki, H.; Watanabe, H. Studies on the synthesis of pyridazine derivatives. XIII. Synthesis of imidazolo-[4,5-d]- and v-triazolo[4,5-d]pyridazine derivatives and reaction of 4-alkoxy-v-triazolo[4,5-d]pyridazines with various amines. Chem. Pharm. Bull. 1970, 18, 1685–1692. [Google Scholar] [CrossRef]
- Chen, S.-F.; Panzica, R.P. Synthesis and biological evaluation of certain 4-alkylaine and 4-arylalkylamino derivatives of the imidazolo[4,5-d]pyridazine and v-triazolo[4,5-d]pyridazine ring systems (1a). J. Heterocycl. Chem. 1982, 19, 285–288. [Google Scholar] [CrossRef]
- Draper, R.E.; Castle, R.N. The synthesis of 3,5-dimethylpyrazol-1-yl-v-triazolo[4,5-d]pyridazines and substituted 3,5-dimethylpyrazol-1-ylimidazo[4,5-d]pyridazines. J. Heterocycl. Chem. 1983, 20, 193–197. [Google Scholar] [CrossRef]
- Mataka, S.; Misumi, O.; Lin, W.H.; Tashiro, M. The effect of fused heterocycles on the liquid crystalline properties of di(alkoxy-substituted-phenyl)pyridazines and di(alkoxy-substittued-phenyl)pyridines. J. Heterocycl. Chem. 1992, 29, 87–92. [Google Scholar] [CrossRef]
- Smolyar, N.N.; Yutilov, Y.M. Cyclotransformation in the series of fused 5-nitropyridin-2(1H)-ones. Russ. J. Org. Chem. 2008, 44, 274–281. [Google Scholar] [CrossRef]
- Schofield, K.; Theobald, R.S. Cinnolines. XXIII. Some derivatives of 5-, 7-, and 8-nitro-4-hydroxycinnoline. 4-hydroxy-7-acetylcinnoline. J. Chem. Soc. 1949, 2404–2408. [Google Scholar] [CrossRef]
- Evans, N.A.; Johns, R.B.; Markham, K.R. II Syntheses of substituted pyridazines. Aust. J. Chem. 1967, 20, 713–722. [Google Scholar] [CrossRef]
- Reidl, Z.; Hajós, G.; Messmer, A. Synthesis and selective reactions of v-triazolo-[1,5-b]pyridazinium salts with nucleophiles. A facile access to functionalized ethenyl-1,2,3-triazoles. J. Heterocycl. Chem. 1993, 30, 819–823. [Google Scholar] [CrossRef]
- Vasko, G.A.; Riedl, Z.; Egyed, O.; Hajos, G. Synthesis of a new tricyclic ring system: [1,2,3]triazolo[1,5-b]cinnolinium salt. Arkivoc 2008, 3, 25–32. [Google Scholar] [CrossRef]
- Kosary, J. Synthesis of some derivatives of 1,2,3-triazolo[1,5-b]pyridazine. Studies in the field of pyridazine compounds. Magy. Kem. Foly. 1980, 86, 564–566. [Google Scholar] [CrossRef]
- Kvaskoff, D.; Bednarek, P.; Wentrup, C. 2-Pyridylnitrene and 3-pyridazylcarbene and their relationship via ring-expansion, ring-opening, ring-contraction, and fragmentation. J. Org. Chem. 2010, 75, 1600–1611. [Google Scholar] [CrossRef]
- Gerhardt, G.A.; Castle, R.N. The synthesis of v-triazolo[4,5-c]pyridazines, a new heterocyclic ring system as potential purine antagonists. J. Heterocycl. Chem. 1964, 1, 247–250. [Google Scholar] [CrossRef]
- Murakami, H.; Castle, R.N. Synthesis of imidazo[4,5-c]- and v-triazolo-[4,5-c]pyridazines. J. Heterocycl. Chem. 1967, 4, 555–563. [Google Scholar] [CrossRef]
- Lunt, E.; Washbourn, K.; Wragg, W.R. A new cinnoline synthesis. Part IV: Nitration and sulphonation of chloro-(5,6,7,8)-4-hydroxy-cinnolines. J. Chem. Soc. C. 1968, 687–695. [Google Scholar] [CrossRef]
- Pokhodylo, N.T.; Shyyka, O.Y. New cascade reaction of azides with malononitrile dimer to polyfunctional [1,2,3]triazolo[4,5-b]pyridine. Synth. Commun. 2017, 47, 1096–1101. [Google Scholar] [CrossRef]
- Betz, U.; Otto, G.P. Pharmaceutical Compositions Comprising CMET Kinase Inhibitors for the Treatment of Viral Infections Such as Coronavirus and COVID-19 and Methods of Preparation Thereof. WO 2022063869A2, 31 March 2022. [Google Scholar]
- Cui, J.J.; Shen, H.; Tran-Dubé, M.; Nambu, M.; McTigue, M.; Grodsky, N.; Ryan, K.; Yamazaki, S.; Aguirre, S.; Parker, M.; et al. Lessons from (S)-6-(1-(6-(1-methyl-1H-pyrazol-4-yl)-[1,2,4]triazolo[4,3-b]pyridazin-3-yl)ethyl)quinoline (PF-04254644), an inhibitor of receptor tyrosine kinase c-Met with high protein kinase selectivity but broad phosphodiesterase family inhibition leading to myocardial degeneration in rats. J. Med. Chem. 2013, 56, 6651–6665. [Google Scholar] [CrossRef]
- Markham, A. Savolitinib: First approval. Drugs 2021, 81, 1665–1670. [Google Scholar] [CrossRef]
- Santarpia, M.; Massafra, M.; Gebbia, V.; D’Aquino, A.; Garipoli, C.; Altavilla, G.; Rosell, R. A narrative review of MET inhibitors in non-small cell lung cancer with MET exon 14 skipping mutations. Transl. Lung Cancer Res. 2021, 10, 1536–1556. [Google Scholar] [CrossRef]
- Legentil, P.; Chadeyron, G.; Therias, S.; Chopin, N.; Sirbu, D.; Suzenet, F.; Leroux, F. Luminescent N-heterocycles based molecular backbone interleaved within LDH host structure and dispersed into polymer. Appl. Clay Sci. 2020, 189, 105561. [Google Scholar] [CrossRef]
- Nadiya, S.; Rauful, A.M.; Michael, A.A.; Suresh, B.; Anuradha, B.; Guangming, C.; Aleksey, I.G.; Mitchell, K.G.; Andrew, J.K.; Anthony, R.M.; et al. Preparation of Heterocyclic and Heteroaryl Compounds for Treating Huntington’s Disease. WO2020005873, 2 January 2020. [Google Scholar]
- Barawkar, D.; Bandyopadhyay, A.; Zahler, R.; Sarangthem, R.; Waman, Y.; Bonagiri, R.; Jadhav, D.; Mukhopadhyay, P. Preparation of Tricyclic Compounds as JAK Modulators for Treatment of JAK-Associated Diseases. WO 2014045305A1, 27 March 2014. [Google Scholar]
- Scutt, J.N.; Willetts, N.J.; Sonawane, R.; Kandukuri, S.R. Preparation of Herbicidal Fused Pyridazine Compounds. WO 2020161209A1, 13 August 2020. [Google Scholar]
- Scutt, J.N.; Willetts, N.J. Preparation of Pyridazinium Compounds for Use in Controlling Unwanted Plant Growth. WO 2020164973A1, 20 August 2020. [Google Scholar]
- Biagi, G.; Giorgio, I.; Livi, O.; Scartoni, V.; Lucacchini, A. Synthesis of 4,6-disubstituted- and 4,5,6-trisubstituted-2-phenyl-pyrimidines and their affinity towards A1 adenosine receptors. Farmaco 1997, 52, 61–65. [Google Scholar]
- Morales, T.G.P.; Ratia, K.; Wang, D.-S.; Gogos, A.; Driver, T.G.; Federle, M.J. A novel chemical inducer of streptococcus quorum sensing acts by inhibiting the pheromone-degrading endopeptidase PepO. J. Biol. Chem. 2018, 293, 931–940. [Google Scholar] [CrossRef]
- Zhang, Y.; Deng, J.; Jiang, L.; Lu, X.; Shang, K.; Shou, J.; Wang, B.; Xu, X.; Xu, Y. Preparation and Application of Class of N-Containing Heterocyclic Compounds Having Immunoregulatory Function. CN 110790758A, 14 February 2020. [Google Scholar]
Publisher’s Note: MDPI stays neutral with regard to jurisdictional claims in published maps and institutional affiliations. |
© 2022 by the authors. Licensee MDPI, Basel, Switzerland. This article is an open access article distributed under the terms and conditions of the Creative Commons Attribution (CC BY) license (https://creativecommons.org/licenses/by/4.0/).







































