In Vitro Activity of Water Extracts of Olive Oil against Planktonic Cells and Biofilm Formation of Arcobacter-like Species
Abstract
:1. Introduction
2. Results
2.1. Chromatographic Analysis of the Extracts
2.2. Total Polyphenol Content of the Extracts
2.3. Antimicrobial Activity of Oil Extracts—Time Kill Curves of BEOO
2.4. Antimicrobial Activity of Oil Extracts—Time Kill Curves of WEOO
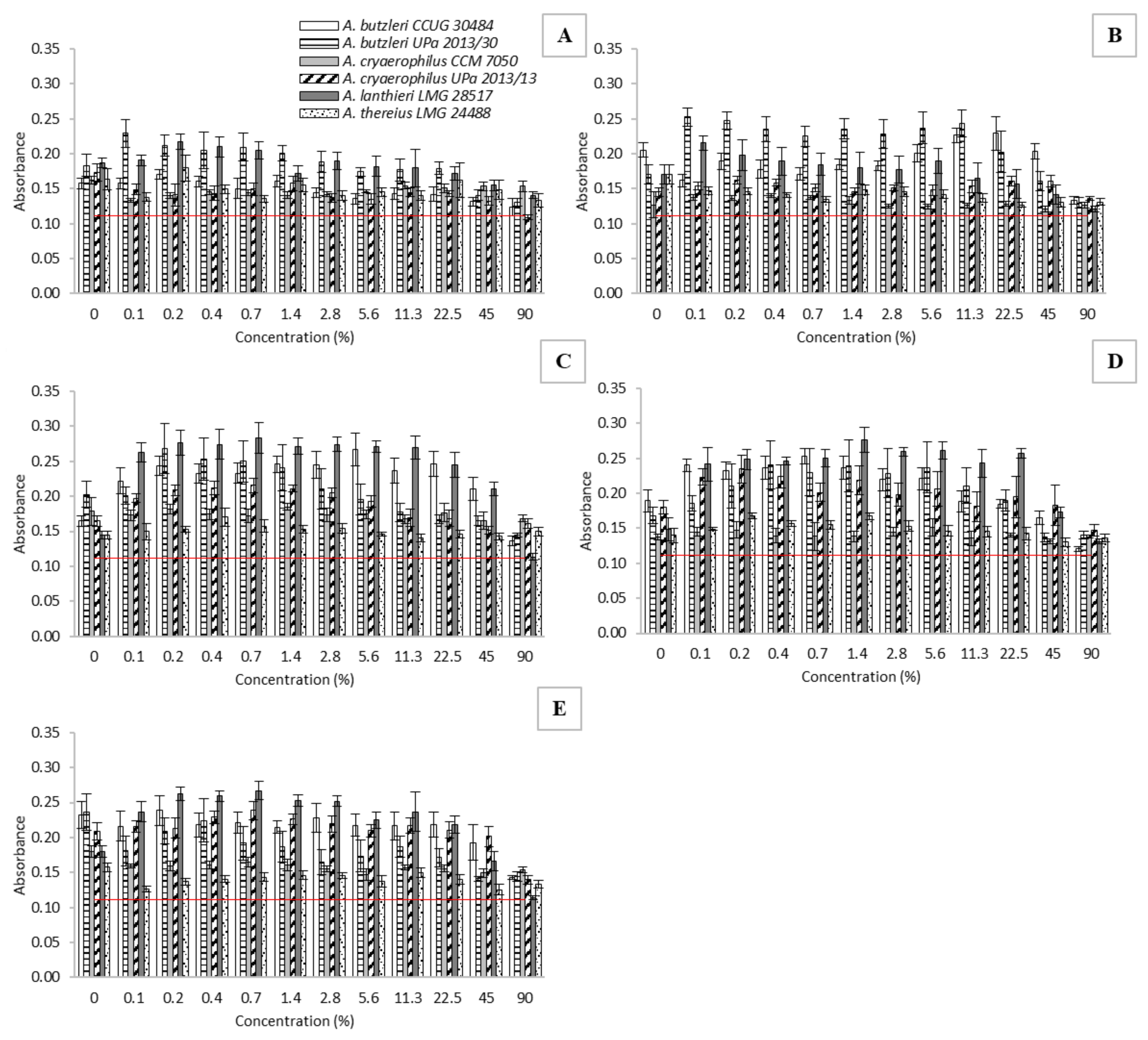
2.5. Biofilm Formation Assay in the Presence of BEOO
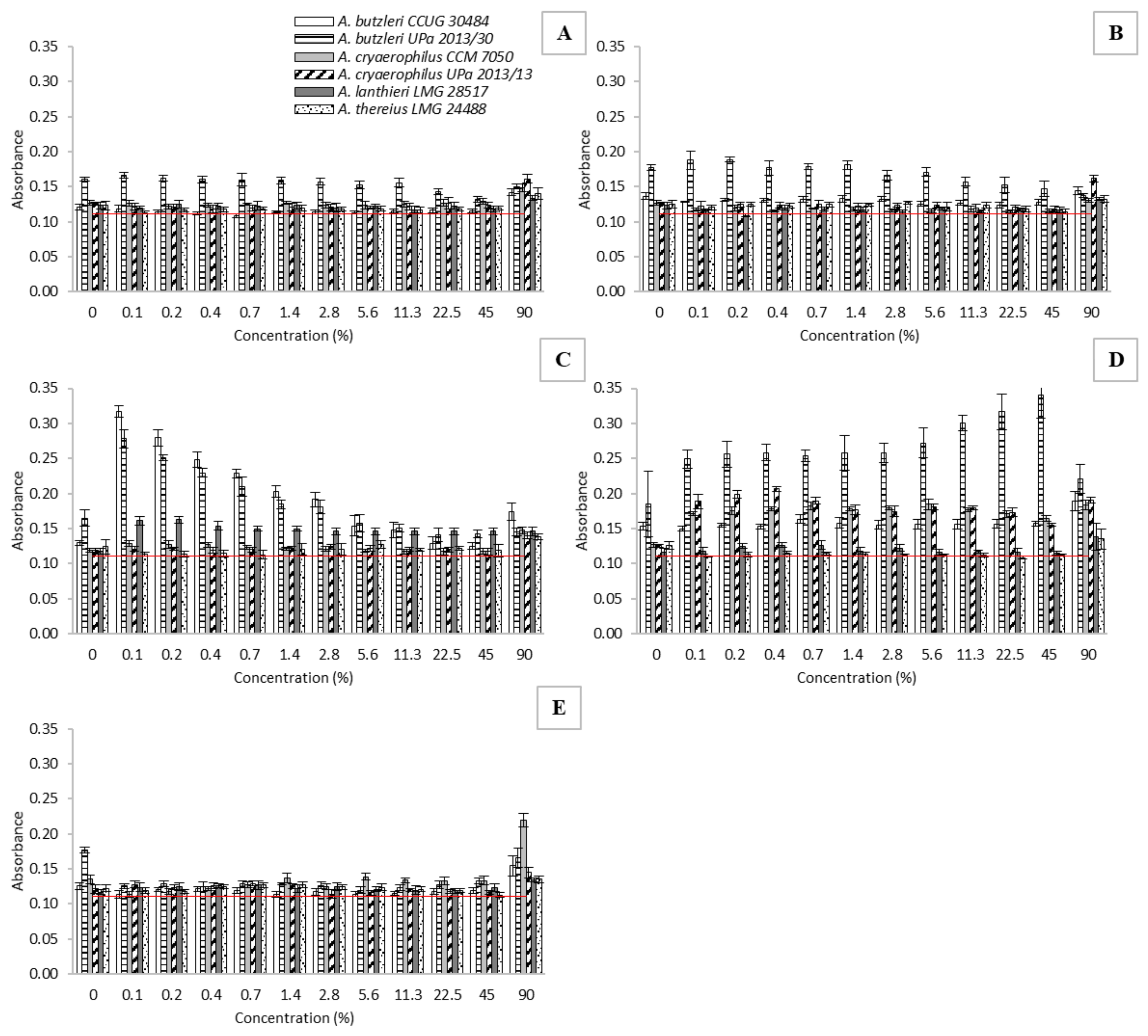
2.6. Biofilm Formation Assay in the Presence of WEOO
3. Discussion
4. Materials and Methods
4.1. Olive Oils and Sample Preparation
4.2. Chemicals
4.3. Chromatographic Analysis
4.4. Total Polyphenol Content (TPC) Determination
4.5. Antimicrobial Effect of WEOO and BEOO
4.6. Biofilm Formation Testing in Presence of WEOO and BEOO
4.7. Statistical Analysis
5. Conclusions
Author Contributions
Funding
Institutional Review Board Statement
Informed Consent Statement
Data Availability Statement
Conflicts of Interest
Sample Availability
References
- Vandamme, P.; Falsen, E.; Rossau, R.; Hoste, B.; Segers, P.; Tytgat, R.; De Ley, J. Revision of Campylobacter, Helicobacter, and Wolinella Taxonomy: Emendation of Generic Descriptions and Proposal of Arcobacter gen. nov. Int. J. Syst. Bacteriol. 1991, 41, 88–103. [Google Scholar] [CrossRef] [PubMed] [Green Version]
- Chieffi, D.; Fanelli, F.; Fusco, F. Arcobacter butzleri: Up-to-date taxonomy, ecology, and pathogenicity of an emerging pathogen. Compr. Rev. Food Sci. Food Saf. 2020, 19, 2071–2109. [Google Scholar] [CrossRef] [PubMed]
- Pérez-Cataluña, A.; Salas-Massó, N.; Diéguez, A.L.; Balboa, S.; Lema, A.; Romalde, J.L.; Figueras, M.J. Revisiting the Taxonomy of the Genus Arcobacter: Getting Order From the Chaos. Front. Microbiol. 2018, 9, 2077. [Google Scholar] [CrossRef] [PubMed]
- Waite, D.W.; Vanwonterghem, I.; Rinke, C.; Parks, D.H.; Zhang, Y.; Takai, K.; Sievert, S.M.; Simon, J.; Campbell, B.J.; Hanson, T.E.; et al. Addendum: Comparative Genomic Analysis of the Class Epsilonproteobacteria and Proposed Reclassification to Epsilonbacteraeota (phyl. nov.). Front. Microbiol. 2018, 9, 772. [Google Scholar] [CrossRef] [PubMed]
- Pérez-Cataluña, A.; Salas-Massó, N.; Diéguez, A.L.; Balboa, S.; Lema, A.; Romalde, J.L.; Figueras, M.J. Corrigendum (2): Revisiting the Taxonomy of the Genus Arcobacter: Getting Order From the Chaos. Front. Microbiol. 2019, 10, 2253. [Google Scholar] [CrossRef]
- Lastovica, A.J.; On, S.L.W.; Zhang, L. The Family Campylobacteraceae. Prokaryotes 2014, 11, 307–335. [Google Scholar] [CrossRef]
- Lawley, R.; Curtis, L.; Davis, J. The Food Safety Hazard Guidebook, 2nd ed.; Royal Society of Chemistry Publishing: London, UK, 2012. [Google Scholar]
- Van Den Abeele, A.-M.; Vogelaers, D.; Vanlaere, E.; Houf, K. Antimicrobial susceptibility testing of Arcobacter butzleri and Arcobacter cryaerophilus strains isolated from Belgian patients. J. Antimicrob. Chemother. 2016, 71, 1241–1244. [Google Scholar] [CrossRef] [Green Version]
- Chuan, J.; Belov, A.; Cloutier, M.; Li, X.; Khan, I.U.H.; Chen, W. Comparative genomics analysis and virulence-related factors in novel Aliarcobacter faecis and Aliarcobacter lanthieri species identified as potential opportunistic pathogens. BMC Genom. 2022, 23, 471. [Google Scholar] [CrossRef]
- Plyuta, V.; Zaitseva, J.; Lobakova, E.; Zagoskina, N.; Kuznetsov, A.; Khmel, I. Effect of plant phenolic compounds on biofilm formation by Pseudomonas aeruginosa. APMIS 2013, 121, 1073–1081. [Google Scholar] [CrossRef]
- Nazzaro, F.; Fratianni, F.; De Martino, L.; Coppola, R.; De Feo, V. Effect of Essential Oils on Pathogenic Bacteria. Pharmaceuticals 2013, 6, 1451–1474. [Google Scholar] [CrossRef]
- Drašar, P.; Moravcova, J. Recent advances in analysis of Chinese medical plants and traditional medicines. J. Chromatogr. B 2004, 812, 3–21. [Google Scholar] [CrossRef] [PubMed]
- Jimenez-Lopez, C.; Carpena, M.; Lourenço-Lopes, C.; Gallardo-Gomez, M.; Lorenzo, J.M.; Barba, F.J.; Prieto, M.A.; Simal-Gandara, J. Bioactive Compounds and Quality of Extra Virgin Olive Oil. Foods 2020, 9, 1014. [Google Scholar] [CrossRef]
- Jukić Špika, M.; Perica, S.; Žanetić, M.; Škevin, D. Virgin Olive Oil Phenols, Fatty Acid Composition and Sensory Profile: Can Cultivar Overpower Environmental and Ripening Effect? Antioxidants 2021, 10, 689. [Google Scholar] [CrossRef] [PubMed]
- Maalouf, J.; Tomazou, J.C.; Azar, S.; Bou-Mitri, C.; Doumit, J.; Youssef, A.; Andary, R.B.; Skaff, W.A.; El Riachy, M.G. Determinant factors of olive oil stability, phenolic content and antioxidant capacity. Nutr. Food Sci. 2021, 52, 86–105. [Google Scholar] [CrossRef]
- Brenes, M.; Medina, E.; Romero, C.; De Castro, A. Antimicrobial activity of olive oil. Agro Food Ind. Hi Tech. 2007, 18, 6–8. [Google Scholar]
- Medina, E.; Romero, C.; Brenes, M.; De Castro, A. Antimicrobial activity of olive oil, vinegar, and various beverages against foodborne pathogens. J. Food Prot. 2007, 70, 1194–1199. [Google Scholar] [CrossRef] [PubMed]
- Hayek, S.A.; Gyawali, R.; Ibrahim, S.A. Antimicrobial natural products. In Microbial Pathogens and Strategies for Combating them: Science, Technology and Education; Formatex Research Center: Badajoz, Spain, 2013; pp. 910–921. [Google Scholar]
- Medina, E.; De Castro, A.; Romero, C.; Brenes, M. Comparison of the concentrations of phenolic compounds in olive oils and other plant oils: Correlation with antimicrobial activity. J. Agric. Food Chem. 2006, 54, 4954–4961. [Google Scholar] [CrossRef]
- Cowan, M.M. Plant products as antimicrobial agents. Clin. Microbiol. Rev. 1999, 12, 564–582. [Google Scholar] [CrossRef] [PubMed] [Green Version]
- Panayotis, S.R.; Karathanos, V.T.; Mantzavinou, A. Partitioning of Olive Oil Antioxidants between Oil and Water Phases. J. Agric. Food Chem. 2002, 50, 596–601. [Google Scholar] [CrossRef]
- Švecová, B.; Bordovská, M.; Kalvachová, D.; Hájek, T. Analysis of Czech meads: Sugar content, organic acids content and selected phenolic compounds content. J. Food Compos. Anal. 2015, 38, 80–88. [Google Scholar] [CrossRef]
- Matić, P.; Sabljić, M.; Jakobek, L. Validation of Spectrophotometric Methods for the Determination of Total Polyphenol and Total Flavonoid Content. J. AOAC Int. 2017, 100, 1795–1803. [Google Scholar] [CrossRef] [PubMed]
- Švarcová, K.; Pejchalová, M.; Šilha, D. The Effect of Antibiotics on Planktonic Cells and Biofilm Formation Ability of Collected Arcobacter-like Strains and Strains Isolated within the Czech Republic. Antibiotics 2022, 11, 87. [Google Scholar] [CrossRef] [PubMed]
- Garrett, T.R.; Bhakoo, M.; Zhang, Z. Bacterial adhesion and biofilms on surfaces. Prog. Nat. Sci. 2008, 18, 1049–1056. [Google Scholar] [CrossRef]
- Funatogawa, K.; Hayashi, S.; Shimomura, H.; Yoshida, T.; Hatano, T.; Ito, H.; Hirai, Y. Antibacterial activity of hydrolyzable tannis derived from medicinal plants against Helicobacter pylori. Microb. Immunol. 2004, 48, 251–261. [Google Scholar] [CrossRef] [PubMed]
- Nohynek, L.J.; Alakomi, H.; Khäkönen, M.P.; Heinonen, M.; Helander, I.M.; Oksman-Caldentey, K.; Puupponen-Pimiä, R.H. Berry phenolics: Antimicrobial properties and mechanism of action against severe human pathogens. Nutr. Cancer 2006, 54, 18–32. [Google Scholar] [CrossRef]
- Nazzaro, F.; Fratianni, F.; Cozzolino, R.; Martignetti, A.; Malorni, L.; De Feo, V.; Cruz, A.G.; d’Acierno, A. Antibacterial Activity of Three Extra Virgin Olive Oils of the Campania Region, Southern Italy, Related to Their Polyphenol Content and Composition. Microorganisms 2019, 7, 321. [Google Scholar] [CrossRef] [Green Version]
- Gutierrez, J.; Rodriguez, G.; Barry-Ryan, C.; Bourke, P. Efficacy of plant essential oils against foodborne pathogens and spoilage bacteria associated with ready-to-eat vegetables: Antimicrobial and sensory screening. J. Food Prot. 2008, 71, 1846–1854. [Google Scholar] [CrossRef]
- Keceli, T.; Robinson, R.K. Antimicrobial activity of phenolic extracts from virgin olive oil. Milchwissenschaft 2002, 57, 436–440. [Google Scholar]
- Romero, C.; Medina, E.; Vargas, J.; Brenes, M.; De Castro, A. In vitro activity of olive oil polyphenols against Helicobacter pylori. J. Agric. Food Chem. 2007, 55, 680–686. [Google Scholar] [CrossRef]
- Girbau, C.; Martinez-Malaxetxebarria, I.; Muruaga, G.; Carmona, S.; Alonso, R.; Fernandez-Astorga, A. Study of Biofilm Formation Ability of Foodborne Arcobacter butzleri under Different Conditions. J. Food Prot. 2017, 80, 758–762. [Google Scholar] [CrossRef]
- Kjeldgaard, J.; Jørgensen, K.; Ingmer, H. Growth and survival at chiller temperatures of Arcobacter butzleri. Int. J. Food Microbiol. 2009, 131, 256–259. [Google Scholar] [CrossRef] [PubMed]
- Šilha, D.; Sirotková, S.; Švarcová, K.; Hofmeisterová, L.; Koryčanová, K.; Šilhová, L. Biofilm Formation Ability of Arcobacter-Like and Campylobacter Strains under Different Conditions and on Food Processing Materials. Microorganisms 2021, 9, 2017. [Google Scholar] [CrossRef] [PubMed]
- Jabra-Rizk, M.A.; Meiller, T.F.; James, C.E.; Shirtli, M.E. Effect of farnesol on Staphylococcus aureus biofilm formation and antimicrobial susceptibility. Antimicrob. Agents Chemoter. 2006, 50, 1463–1469. [Google Scholar] [CrossRef] [PubMed] [Green Version]
- Palombo, E.A. Traditional Medicinal Plant Extracts and Natural Products with Activity against Oral Bacteria: Potential Application in the Prevention and Treatment of Oral Diseases. Evid. Based Complement. Alternat. Med. 2011, 2011, 680354. [Google Scholar] [CrossRef] [PubMed] [Green Version]
- Quave, C.L.; Plano, L.R.; Pantuso, T.; Bennett, B.C. Effects of extracts from Italian medicinal plants on planktonic growth, biofilm formation and adherence of methicillin-resistant Staphylococcus aureus. J. Ethnopharmacol. 2008, 118, 418–428. [Google Scholar] [CrossRef] [Green Version]
- Rasmussen, T.B.; Givskov, M. Quorum sensing inhibitors: A bargain of effects. Microbiology 2006, 152, 895–904. [Google Scholar] [CrossRef] [Green Version]
- Pereira, A.P.; Ferreira, I.; Marcelino, F.; Valentão, P.; Andrade, P.B.; Seabra, R.; Estevinho, L.; Bento, A.; Pereira, J.A. Phenolic Compounds and Antimicrobial Activity of Olive (Olea europaea L. Cv. Cobrançosa) Leaves. Molecules 2007, 12, 1153–1162. [Google Scholar] [CrossRef]
- Friedman, M.; Henika, P.R.; Mandrell, R.E. Antibacterial activities of phenolic benzaldehydes and benzoic acids against Campylobacter jejuni, Escherichia coli, Listeria monocytogenes, and Salmonella enterica. J. Food Prot. 2003, 66, 1811–1821. [Google Scholar] [CrossRef]
- Furneri, P.M.; Piperno, A.; Saija, A.; Bisignano, G. Antimicoplasmal activity of hydroxytyrosol. Antimicrob. Agents Chemother. 2004, 20, 293–296. [Google Scholar] [CrossRef]
- Kubo, I.; Matsumoto, A.; Takase, I. A multichemical defense mechanism of bitter olive Olea europaea (Oleaceae). Is oleuropein a phytoalexin precursor? J. Chem. Ecol. 1985, 11, 251–263. [Google Scholar] [CrossRef]
- Perri, E.; Rafaelli, A.; Sindona, G. Quantitation of oleuropein in virgin olive oil by ion spray mass spectrometry-selected reaction monitoring. J. Agric. Food Chem. 1999, 47, 4156–4160. [Google Scholar] [CrossRef] [PubMed]
- Ríos, J.J.; Gil, M.J.; Gutiérrez-Rosales, F. Solid-phase extraction gas chromatography-ion trap-mass spectrometry qualitative method for evaluation of phenolic compounds in virgin olive oil and structural confirmation of oleuropein and ligstroside aglycons and their oxidation products. J. Chromatogr. A 2005, 1093, 167–176. [Google Scholar] [CrossRef] [PubMed]
- Klikarová, J.; Rotondo, A.; Cacciola, F.; Česlová, L.; Dugo, P.; Mondello, L.; Rigano, F. The Phenolic Fraction of Italian Extra Virgin Olive Oils: Elucidation Through Combined Liquid Chromatography and NMR Approaches. Food Anal. Meth. 2019, 12, 1759–1770. [Google Scholar] [CrossRef]
- Šilha, D.; Švarcová, K.; Bajer, T.; Královec, K.; Tesařová, E.; Moučková, K.; Pejchalová, M.; Bajerová, P. Chemical Composition of Natural Hydrolates and Their Antimicrobial Activity on Arcobacter-Like Cells in Comparison with Other Microorganisms. Molecules 2020, 25, 5654. [Google Scholar] [CrossRef] [PubMed]





| Compound | LOD (mg/L) | LOQ (mg/L) | Calibration Range (mg/L) | Regression Equation | R2 |
|---|---|---|---|---|---|
| Hydroxytyrosol | 0.068 | 0.227 | 0.5–25.0 | y = 16.796x − 5.9317 | 0.9714 |
| Tyrosol | 0.025 | 0.083 | 0.5–25.0 | y = 17.622x + 18.891 | 0.9654 |
| Oleuropein | 0.126 | 0.423 | 0.5–25.0 | y = 3.833x + 0.1662 | 0.9963 |
| Chemical Compound | Extra-Virgin Olive Oil (Ballester) | Extra-Virgin Olive Oil (Kyosos) | Blended Olive and Sunflower Oil (Ondoliva) | Refined Olive Oil (Borges) | Olive Pomace Oil (Ondoliva) | |
|---|---|---|---|---|---|---|
| WEOO | Hydroxytyrosol | 9.82 ± 0.12 a | 9.01 ± 0.24 b | 0.40 ± 0.01 c | <LOD | <LOD |
| Tyrosol | 8.93 ± 0.12 a | 10.17 ± 0.06 b | <LOQ | <LOD | <LOD | |
| Oleuropein derivates | 52.64 ± 1.84 a | 29.20 ± 1.95 b | 0.99 ± 0.15 c | <LOD | <LOD | |
| BEOO | Hydroxytyrosol | 9.97 ± 1.81 a | 7.97 ± 0.08 b | 0.93 ± 0.08 c | <LOD | <LOD |
| Tyrosol | 12.30 ± 2.04 a | 12.49 ± 0.72 a | 2.70 ± 0.07 b | <LOD | <LOD | |
| Oleuropein derivates | 10.26 ± 0.44 a | 7.69 ± 0.01 b | 0.79 ± 0.15 c | <LOD | <LOD |
| Extra-Virgin Olive Oil (Ballester) | Extra-Virgin Olive Oil (Kyosos) | Blended Olive and Sunflower Oil (Ondoliva) | Refined Olive Oil (Borges) | Olive Pomace Oil (Ondoliva) | |
|---|---|---|---|---|---|
| WEOO | 79.82 ± 5.04 a | 43.50 ± 2.92 b | 11.09 ± 0.80 c | 0.36 ± 0.03 d | 0.49 ± 0.02 e |
| BEOO | 93.23 ± 2.84 a | 49.05 ± 1.65 b | 15.22 ± 0.80 c | 0.43 ± 0.01 d | 0.47 ± 0.01 d |
| Grade of Olive Oil | Trademark | Country of Origin | Manufacturer/Distributor |
|---|---|---|---|
| Extra-virgin olive oil | Ballester | Spain | Juan Ballester Rosés Sucesores SA, Tortosa, Spain |
| Extra-virgin olive oil | Kyosos | Greece | HM Weihs, Vienna, Austria |
| Blended sunflower and extra-virgin olive oil | Ondoliva | Spain | Urzante SL, Tudela, Spain |
| Refined olive oil and extra-virgin olive oil | Borges | Spain | Borges Branded Foods SLU, Reus, Spain |
| Olive pomace oil | Ondoliva | Spain | Urzante SL, Tudela, Spain |
Publisher’s Note: MDPI stays neutral with regard to jurisdictional claims in published maps and institutional affiliations. |
© 2022 by the authors. Licensee MDPI, Basel, Switzerland. This article is an open access article distributed under the terms and conditions of the Creative Commons Attribution (CC BY) license (https://creativecommons.org/licenses/by/4.0/).
Share and Cite
Švarcová, K.; Hofmeisterová, L.; Švecová, B.; Šilha, D. In Vitro Activity of Water Extracts of Olive Oil against Planktonic Cells and Biofilm Formation of Arcobacter-like Species. Molecules 2022, 27, 4509. https://doi.org/10.3390/molecules27144509
Švarcová K, Hofmeisterová L, Švecová B, Šilha D. In Vitro Activity of Water Extracts of Olive Oil against Planktonic Cells and Biofilm Formation of Arcobacter-like Species. Molecules. 2022; 27(14):4509. https://doi.org/10.3390/molecules27144509
Chicago/Turabian StyleŠvarcová, Karolína, Leona Hofmeisterová, Blanka Švecová, and David Šilha. 2022. "In Vitro Activity of Water Extracts of Olive Oil against Planktonic Cells and Biofilm Formation of Arcobacter-like Species" Molecules 27, no. 14: 4509. https://doi.org/10.3390/molecules27144509
APA StyleŠvarcová, K., Hofmeisterová, L., Švecová, B., & Šilha, D. (2022). In Vitro Activity of Water Extracts of Olive Oil against Planktonic Cells and Biofilm Formation of Arcobacter-like Species. Molecules, 27(14), 4509. https://doi.org/10.3390/molecules27144509

