Characteristics of Volcanic Tuff from Macicasu (Romania) and Its Capacity to Remove Ammonia from Contaminated Air
Abstract
:1. Introduction
2. Results and Discussion
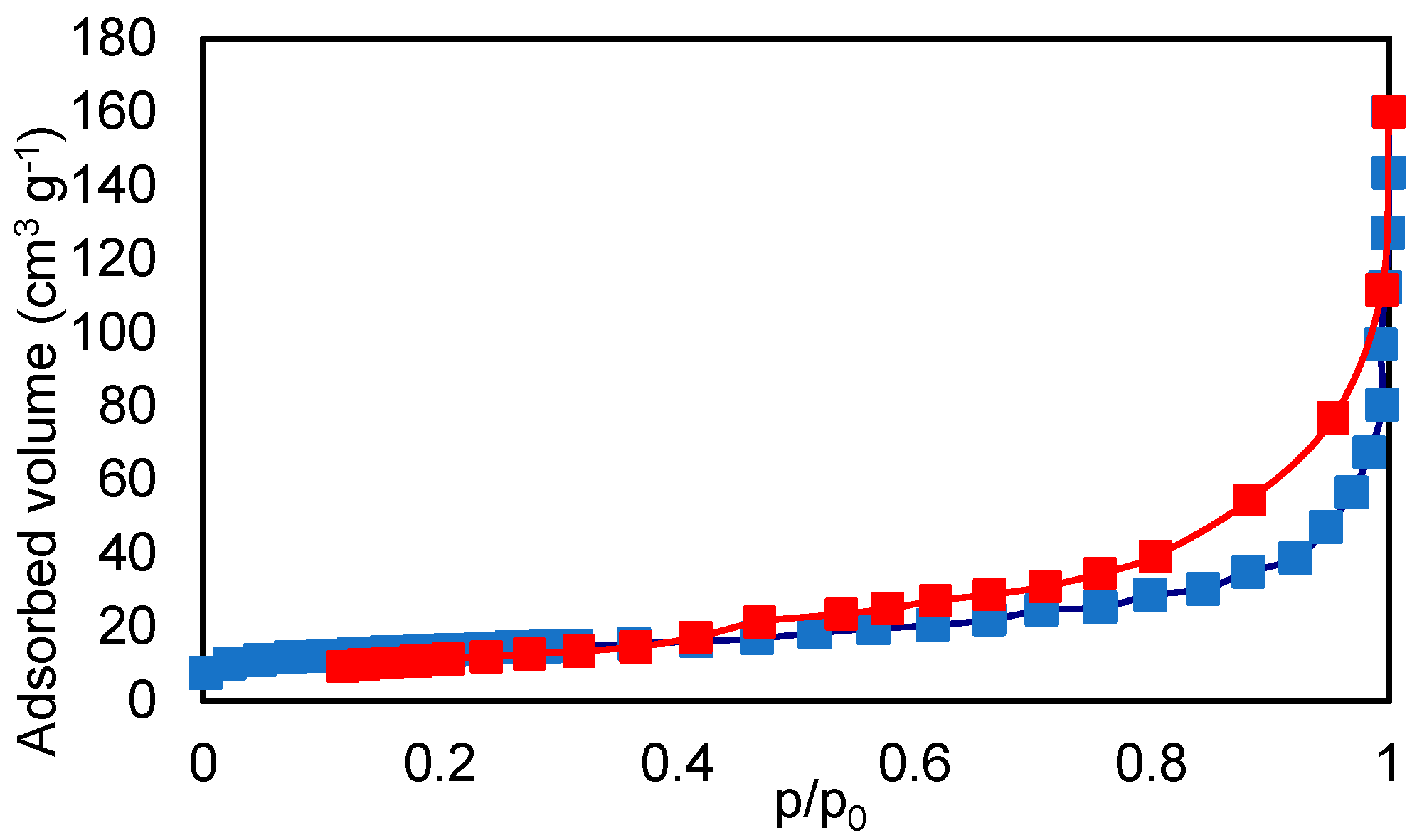
2.1. Volcanic Tuff Characteristics
2.2. Experiments for NH3 Adsorption of from the Air
2.2.1. Adsorption of NH3 Released from 0.5 mL NH4OH 25%
2.2.2. Adsorption of NH3 Released from 1 mL NH4OH 25%
2.2.3. Adsorption of NH3 Released from 5 mL NH4OH 25%
2.2.4. Sorption Rate (Rs%) of NH3 Released from 0.5 mL, 1 mL, and 5 mL NH4OH 25%
2.2.5. Adsorption Capacity
2.3. Isotherm Modeling
2.4. Kinetic Modeling
3. Materials and Methods
3.1. Materials
3.2. Characterization
3.3. Experimental Set-Up
3.4. Sorption Rate (Rs%) and Adsorption Capacity Calculation
3.5. Isotherm Modeling
3.6. Kinetic Modeling
4. Conclusions
Author Contributions
Funding
Institutional Review Board Statement
Informed Consent Statement
Data Availability Statement
Conflicts of Interest
Sample Availability
References
- European Comission (EC). Envirmonment, Air Pollution from the Main Sources/Air Emissions from Agriculture. Available online: https://ec.europa.eu/environment/air/sources/agriculture.htm (accessed on 5 April 2022).
- Shih, J.-S.; Burtraw, D.; Palmer, K.; Siikamaki, J. Air Emissions of Ammonia and Methane from Livestock Operations: Valuation and Policy Options. J. Air Waste Manag. Assoc. 2008, 58, 1117–1129. [Google Scholar] [CrossRef] [PubMed]
- Agency for Toxic Substances and Disease Registry (ASDTR). Toxicological Profile for Ammonia. Available online: https://www.atsdr.cdc.gov/toxprofiles/tp126.pdf (accessed on 5 April 2022).
- Ma, R.; Li, K.; Guo, Y.; Zhang, B.; Zhao, X.; Linder, S.; Guan, C.H.; Chen, G.; Gan, Y.; Men, J. Mitigation potential of global ammonia emissions and related health impacts in the trade network. Nat. Commun. 2021, 12, 6308. [Google Scholar] [CrossRef] [PubMed]
- United Nations ECE (UNECE). Guidance Document on Preventing and Abating Ammonia Emissions from Agricultural Sources. Available online: https://unece.org/fileadmin/DAM/env/documents/2012/EB/ECE_EB.AIR_120_ENG.pdf (accessed on 5 April 2022).
- Directive (EU) 2016/2284 of the European Parliament and of the Council of 14 December 2016 on the Reduction of National Emissions of Certain Atmospheric Pollutants, Amending Directive 2003/35/EC and Repealing Directive 2001/81/EC. Available online: https://eur-lex.europa.eu/legal-content/EN/TXT/PDF/?uri=CELEX:32016L2284&rid=9 (accessed on 5 April 2022).
- Hoeve, M.T.; Nyord, T.; Peters, G.M.; Hutchings, N.J.; Jensen, L.S.; Bruun, S. A life cycle perspective of slurry acidification strategies under different nitrogen regulations. J. Clean. Prod. 2016, 127, 591–599. [Google Scholar] [CrossRef]
- Im, S.; Mostafa, A.; Shin, S.-R.; Kim, D.-H. Combination of H2SO4-acidification and temperature-decrease for eco-friendly storage of pig slurry. J. Hazard. Mater. 2020, 399, 123063. [Google Scholar] [CrossRef] [PubMed]
- Regueiro, I.; Coutinho, J.; Fangueiro, D. Alternatives to sulfuric acid for slurry acidification: Impact on slurry composition and ammonia emissions during storage. J. Clean. Prod. 2016, 127, 591–599. [Google Scholar] [CrossRef]
- Fangueiro, D.; Hjorth, M.; Gioelli, F. Acidification of animal slurry—A review. J. Environ. Manag. 2015, 149, 46–56. [Google Scholar] [CrossRef] [PubMed]
- Senila, M.; Cadar, O.; Hoaghia, A.; Miu, I. Mercury Determination in Natural Zeolites by Thermal Decomposition Atomic Absorption Spectrometry: Method Validation in Compliance with Requirements for Use as Dietary Supplements. Molecules 2019, 24, 4023. [Google Scholar] [CrossRef] [Green Version]
- Li, Y.; Simon, A.O.; Jiao, C.; Zhang, M.; Yan, W.; Rao, H.; Liu, J.; Zhang, J. Rapid removal of Sr2+, Cs+ and UO22+ from solution with surfactant and amino acid modified zeolite Y. Microporous Mesoporous Mater. 2020, 302, 110244. [Google Scholar] [CrossRef]
- Senila, M.; Cadar, O.; Senila, L.; Angyus, B.S. Simulated Bioavailability of Heavy Metals (Cd, Cr, Cu, Pb, Zn) in Contaminated Soil Amended with Natural Zeolite Using Diffusive Gradients in Thin-Films (DGT) Technique. Agriculture 2022, 12, 321. [Google Scholar] [CrossRef]
- Belviso, C. Zeolite for Potential Toxic Metal Uptake from Contaminated Soil: A Brief Review. Processes 2020, 8, 820. [Google Scholar] [CrossRef]
- Pabiś-Mazgaj, E.; Gawenda, T.; Pichniarczyk, P.; Stempkowska, A. Mineral Composition and Structural Characterization of the Clinoptilolite Powders Obtained from Zeolite-Rich Tuffs. Minerals 2021, 11, 1030. [Google Scholar] [CrossRef]
- Mansouri, N.; Rikhtegar, N.; Panahi, H.A.; Atabi, F.; Shahraki, B.K. Porosity, characterization and structural properties of natural zeolite—Clinoptilolite—As a sorbent. Environ. Prot. Eng. 2013, 39, 139–152. [Google Scholar]
- Boros-Lajszner, E.; Wyszkowska, J.; Kucharski, J. Use of zeolite to neutralise nickel in a soil environment. Environ. Monit. Assess. 2017, 190, 54. [Google Scholar] [CrossRef] [Green Version]
- Pavelić, S.K.; Medica, J.S.; Gumbarević, D.; Filošević, A.; Przulj, N.; Pavelić, K. Critical Review on Zeolite Clinoptilolite Safety and Medical Applications In Vivo. Front. Pharmacol. 2018, 9, 1350. [Google Scholar] [CrossRef]
- Mastinu, A.; Kumar, A.; Maccarinelli, G.; Bonini, S.A.; Premoli, M.; Aria, F.; Gianoncelli, A.; Memo, M. Zeolite Clinoptilolite: Therapeutic Virtues of an Ancient Mineral. Molecules 2019, 27, 1517. [Google Scholar] [CrossRef] [Green Version]
- Senila, M.; Cadar, O.; Miu, I. Determination of Cd and Pb in natural zeolites by graphite furnace atomic absorption spectrometry in compliance with legislation for dietary supplements and safety evaluation. Molecules 2020, 25, 2591. [Google Scholar] [CrossRef]
- Senila, L.; Emilia, N.; Cadar, O.; Becze, A.; Scurtu, D.A.; Tomoiag, C.H.; Senila, M. Removal of Methylene Blue on Thermally Treated Natural Zeolites. Anal. Lett. 2022, 55, 226–236. [Google Scholar] [CrossRef]
- Solińska, A.; Bajda, T. Modified zeolite as a sorbent for removal of contaminants from wet flue gas desulphurization wastewater. Chemosphere 2022, 286, 131772. [Google Scholar] [CrossRef]
- Kumar, L.; Kaur, R.; Sharma, J. The efficiency of zeolites in water treatment for combating ammonia—An experimental study on Yamuna River water & treated sewage effluents. Inorg. Chem. Commun. 2021, 134, 108978. [Google Scholar] [CrossRef]
- Li, X.; Lin, C.; Wang, Y.; Zhao, M.; Hou, Y. Clinoptilolite Adsorption Capability of Ammonia in Pig Farm. Procedia Environ. Sci. 2010, 2, 1598–1612. [Google Scholar] [CrossRef] [Green Version]
- Kang, D.W.; Ju, S.E.; Kim, D.W.; Kang, M.; Kim, H.; Hong, C.S. Emerging Porous Materials and Their Composites for NH3 Gas Removal. Adv. Sci. 2020, 7, 2002142. [Google Scholar] [CrossRef] [PubMed]
- Chicinas, P.R.; Bedelean, H.; Maicaneanu, A. Romanian (Măcicaş) zeolitic volcanic tuff for malachite green removal. Studia UBB Chem. 2016, LXI, 243–254. [Google Scholar]
- Stocker, K.; Ellersdorfer, M.; Lehner, M.; Raith, J.G. Characterization and Utilization of Natural Zeolites in Technical Applications. Berg. Huettenmaenn Mon. 2017, 162, 142–147. [Google Scholar] [CrossRef]
- Cadar, O.; Senila, M.; Hoaghia, M.-A.; Scurtu, D.; Miu, I.; Levei, E.A. Effects of Thermal Treatment on Natural Clinoptilolite-Rich Zeolite Behavior in Simulated Biological Fluids. Molecules 2020, 25, 2570. [Google Scholar] [CrossRef] [PubMed]
- Zhou, X.; Liu, D.; Bu, H.; Deng, L.; Liu, H.; Yuan, P.; Du, P.; Song, H. XRD-based quantitative analysis of clay minerals using reference intensity ratios, mineral intensity factors, Rietveld, and full pattern summation methods: A critical review. Solid Earth Sci. 2018, 3, 16–29. [Google Scholar] [CrossRef]
- Yu, L.; Zhou, S.; Li, L. Evaluation of pozzolanic activity of volcanic tuffs from Tibet, China. Adv. Cem. Res. 2017, 29, 137–146. [Google Scholar] [CrossRef]
- Thommes, M.; Kaneko, K.; Neimark, A.V.; Olivier, J.P.; Rodriguez-Reinoso, F.; Rouquerol, J.; Sing, K.S.W. Physisorption of Gases, with Special Reference to the Evaluation of Surface Area and Pore Size Distribution. Pure Appl. Chem. 2015, 87, 1051–1064. [Google Scholar] [CrossRef] [Green Version]
- Duthade, G.S.; Joshi, U.D.; Kodape, M.M.; Mardikar, S.P.; Uke, S.J.; Pnadit, V.; Lokhande, M.N. Synthesis, X-ray diffraction, physical, thermal behavior and chemical studies of Fe/Zn/Cu-NaX zeolite. Mater. Todays 2022, 53, 15–23. [Google Scholar] [CrossRef]
- Garcia-Basabe, Y.; Rodriguez-Iznaga, I.; de Menorval, L.-C.; Llewellyn, P.; Maurin, G.; Lewis, D.W.; Binions, R.; Autie, M.; Ruiz-Salvador, A.R. Step-wise dealumination of natural clinoptilolite: Structural and physicochemical characterization. Microporous Mesoporous Mater. 2010, 135, 187–196. [Google Scholar] [CrossRef]
- Asilian, H.; Mortazavi, S.B.; Kazemian, H.; Phaghiehzadeh, S.; Shahtaheri, S.; Salem, M. Removal of ammonia from air, using three Iranian natural zeolites. Iran. J. Publ. Health 2004, 33, 45–51. [Google Scholar]
- Lucero, J.M.; Crawford, J.M.; Wolden, C.A.; Carreon, M.A. Tunability of ammonia adsorption over NaP zeolite. Microporous Mesoporous Mater. 2021, 324, 111288. [Google Scholar] [CrossRef]
- Wlazło, L.; Nowakowicz-Dębek, B.; Kapica, J.; Kwiecień, M.; Pawlak, H. Removal of ammonia from poultry manure by aluminosilicates. J. Environ. Manag. 2016, 183, 722–725. [Google Scholar] [CrossRef] [PubMed]
- Măicăneanu, S.A.; Bedelean, H. Na+-NH4+ cation exchange study on treated zeolitic volcanic tuff in fixed bed column. Studia UBB Chem. 2020, LXV, 89–100. [Google Scholar] [CrossRef]
- Gebreegziabher, T.B.; Wang, S.; Nam, H. Adsorption of H2S, NH3 and TMA from indoor air using porous corncob activated carbon: Isotherm and kinetics study. J. Environ. Chem. Eng. 2019, 7, 103234. [Google Scholar] [CrossRef]
- Langmuir, I. The constitution and fundamental properties of solids and liquids. J. Am. Chem. Soc. 1916, 38, 2221–2295. [Google Scholar] [CrossRef] [Green Version]
- Hadi, M.; McKay, G.; Samarghandi, M.R.; Maleki, A.; Aminabad, M.S. Prediction of optimum adsorption isotherm: Comparison of chi-square and Log-likelihood statistics. Desalin. Water Treat. 2012, 49, 81–94. [Google Scholar] [CrossRef]
- López-Luna, J.; Ramírez-Montes, L.E.; Martinez-Vargas, S.; Martínez, A.I.; Mijangos-Ricardez, O.F.; González-Chávez, M.d.C.A.; Carrillo-González, R.; Solís-Domínguez, F.A.; Cuevas-Díaz, M.d.C.; Vázquez-Hipólito, V. Linear and nonlinear kinetic and isotherm adsorption models for arsenic removal by manganese ferrite nanoparticles. SN Appl. Sci. 2019, 1, 950. [Google Scholar] [CrossRef] [Green Version]
- Freundlich, H.M.F. Over the adsorption in solution. Z. Phys Chem. 1906, 57, 385–470. [Google Scholar]
- Lagergren, S. About the theory of so-called adsorption of soluble substances. K. Sven. Vetensk. Handl. 1898, 24, 1–39. [Google Scholar]
- Ho, S.; McKay, G. Sorption of dye from aqueous solution by peat. Chem. Eng. J. 1998, 70, 115–124. [Google Scholar] [CrossRef]
- Moussout, H.; Ahlafi, H.; Aazza, M.; Maghat, H. Critical of linear and nonlinear equations of pseudo-first order and pseudo-second order kinetic models. Karbala Int. J. Mod. Sci. 2018, 4, 244–254. [Google Scholar] [CrossRef]
- Lin, J.; Wang, L. Comparison between linear and non-linear forms of pseudo-first-order and pseudo-second-order adsorption kinetic models for the removal of methylene blue by activated carbon. Front. Environ. Sci. Eng. China 2009, 3, 320–324. [Google Scholar] [CrossRef]









| Parameter | Average Value ± stdev. |
|---|---|
| pH | 8.35 ± 0.30 |
| CEC (meq 100 g−1) | 129 ± 6.5 |
| SiO2 (%) | 69.14 ± 2.23 |
| Al2O3 (%) | 13.18 ± 0.44 |
| CaO (%) | 3.90 ± 0.06 |
| MgO (%) | 0.57 ± 0.03 |
| K2O (%) | 1.02 ± 0.12 |
| Na2O (%) | 1.10 ± 0.05 |
| Fe2O3 (%) | 1.99 ± 0.06 |
| MnO (%) | 0.03 ± 0.004 |
| LOI (%) | 9.03 ± 0.90 |
| Measurement Time (h) | Rs% 0.5 mL NH4OH | Rs% 1 mL NH4OH | Rs% 5 mL NH4OH |
|---|---|---|---|
| 1 | 34.4 | 31.5 | 13.2 |
| 2 | 39.4 | 37.2 | 19.0 |
| 3 | 50.5 | 47.0 | 28.1 |
| 6 | 64.1 | 55.0 | 36.4 |
| 9 | 78.1 | 62.6 | 45.2 |
| 16 | 86.7 | 72.5 | 53.2 |
| 24 | 89.5 | 73.4 | 57.5 |
| Langmuir Isotherm | Freundlich Isotherm | ||||
|---|---|---|---|---|---|
| qmax | KL | R2 | KF | n | R2 |
| (mg g−1) | (L mg−1) | (mg 1−1/n L1/n g−1) | |||
| 0.45 | 0.001 | 0.9793 | 0.003 | 0.61 | 0.9916 |
| Model | Parameters | 0.5 mL NH4OH | 1 mL NH4OH | 5 mL NH4OH |
|---|---|---|---|---|
| PFO | k1 (1 min−1) | 0.008 | 0.01 | 0.004 |
| qe, calc (mg g−1) | 0.043 | 0.067 | 0.275 | |
| R2 | 0.9653 | 0.9772 | 0.9871 | |
| PSO | k2 (g mg·min−1) | 0.225 | 0.208 | 0.014 |
| qe, calc (mg g−1) | 0.048 | 0.073 | 0.328 | |
| R2 | 0.9620 | 0.9485 | 0.9868 | |
| Elovich | α (mg g min−1) | 0.002 | 0.007 | 0.003 |
| β (g mg−1) | 123.32 | 94.99 | 12.98 | |
| R2 | 0.9872 | 0.9694 | 0.9844 | |
| qe, exp (mg g−1) | 0.045 | 0.068 | 0.288 |
Publisher’s Note: MDPI stays neutral with regard to jurisdictional claims in published maps and institutional affiliations. |
© 2022 by the authors. Licensee MDPI, Basel, Switzerland. This article is an open access article distributed under the terms and conditions of the Creative Commons Attribution (CC BY) license (https://creativecommons.org/licenses/by/4.0/).
Share and Cite
Senila, M.; Neag, E.; Cadar, O.; Hoaghia, M.-A.; Roman, M.; Moldovan, A.; Hosu, A.; Lupas, A.; Kovacs, E.D. Characteristics of Volcanic Tuff from Macicasu (Romania) and Its Capacity to Remove Ammonia from Contaminated Air. Molecules 2022, 27, 3503. https://doi.org/10.3390/molecules27113503
Senila M, Neag E, Cadar O, Hoaghia M-A, Roman M, Moldovan A, Hosu A, Lupas A, Kovacs ED. Characteristics of Volcanic Tuff from Macicasu (Romania) and Its Capacity to Remove Ammonia from Contaminated Air. Molecules. 2022; 27(11):3503. https://doi.org/10.3390/molecules27113503
Chicago/Turabian StyleSenila, Marin, Emilia Neag, Oana Cadar, Maria-Alexandra Hoaghia, Marius Roman, Ana Moldovan, Alexandru Hosu, Angela Lupas, and Emoke Dalma Kovacs. 2022. "Characteristics of Volcanic Tuff from Macicasu (Romania) and Its Capacity to Remove Ammonia from Contaminated Air" Molecules 27, no. 11: 3503. https://doi.org/10.3390/molecules27113503
APA StyleSenila, M., Neag, E., Cadar, O., Hoaghia, M.-A., Roman, M., Moldovan, A., Hosu, A., Lupas, A., & Kovacs, E. D. (2022). Characteristics of Volcanic Tuff from Macicasu (Romania) and Its Capacity to Remove Ammonia from Contaminated Air. Molecules, 27(11), 3503. https://doi.org/10.3390/molecules27113503

