Abstract
A series of triazole derivatives containing phenylethynyl pyrazole moiety as side chain were designed, synthesized, and most of them exhibited good in vitro antifungal activities. Especially, compounds 5k and 6c showed excellent in vitro activities against C. albicans (MIC = 0.125, 0.0625 μg/mL), C. neoformans (MIC = 0.125, 0.0625 μg/mL), and A. fumigatus (MIC = 8.0, 4.0 μg/mL). Compound 6c also exerted superior activity to compound 5k and fluconazole in inhibiting hyphae growth of C. albicans and inhibiting drug-resistant strains of C. albicans, and it could reduce fungal burdens in mice kidney at a dosage of 1.0 mg/kg. An in vivo efficacy evaluation indicated that 6c could effectively protect mice models from C. albicans infection at doses of 0.5, 1.0, and 2.0 mg/kg. These results suggested that compound 6c deserves further investigation.
1. Introduction
During the last four decades, the morbidity of invasive fungal infections (IFIs) has been increasing in patients which acquired immunodeficiency, and the mortality keeps high [1,2]. According to the clinic report, Candida albicans, Cryptococcus neoformans and Aspergillus fumigatus are the three most common human pathogenic fungi [3,4]. It is estimated that more than 300 million people suffer from serious fungal-related diseases, and fungi collectively kill over 1.6 million people annually, which is more severe than malaria and similar to tuberculosis [5]. Moreover, the rate of emergence of drug resistance is greater than the discovery pace of antifungal research. Therefore, it is urgent to develop novel antifungal agents [6].
Compared with the other few antifungal agents, including amphotericin B, flucytosine and echinocandins, azole antifungals, especially triazoles, were widely applied in treating IFIs and were much more concerned in research due to their higher therapeutic index, broader-spectrum, lower toxicity and superior druggability [7,8,9]. However, their extensive use has led to the occurrence of resistant fungi, which may cause the failure of antifungal treatment and greatly limit therapeutic options [10]. Hence, new antifungal azoles are therefore highly needed.
Azoles antifungal agents act by inhibition of fungal lanosterol 14α-demethylase (CYP51), which is a necessary enzyme for catalyzing the oxidative removal of the 14α-methyl in sterol biosynthesis of fungi [11]. By summarizing the structures of triazole antifungals approved for the treatment of invasive fungal infections, as shown in Figure 1, a clear pharmacophore can be concluded to possess a triazole and a halophenyl ring, which have been proved to bind the heme iron and the hydrophobic pocket of CYP51 [12]. The side chain in the right part of each structure, shown in Figure 1, occupies the substrate access channel of CYP51. Structurally, the difference between newer azole antifungals mainly focuses on the type of side chain attached to the carbinol center of the triazole alcohol scaffold. Accordingly, most of the recent efforts aimed to optimize this part of the molecule correspondingly. Therefore, the study of antifungal azoles has been mainly focused on the structural optimization and SAR research on the side chain for new drugs [13].
Figure 1.
Several triazole drugs for IFIs in clinic and the structures of our lead compounds.
Guided by the binding modes of triazole antifungal agents, a number of new triazoles were rationally designed and synthesized by our group [14,15,16,17,18]. Among them, a series of triazoles containing alkynyl side chains showed good antifungal activity with a broad spectrum [18]. They exhibited superior activity to fluconazole and comparable activity to voriconazole, and specially compound A5 (Figure 2) was subjected to evaluate its in vivo efficacy as a promising compound. Unfortunately, it possessed inferior activity in the murine model of disseminated C. albicans infection. Considering the lack of hydrogen bond donors and acceptors as well as the number of rotatable bonds in compound A5, further lead optimization was focused on ameliorating drug-likeness in order to improve the in vivo potency. Herein, a series of novel side chains of triazole antifungals were designed by hybridizing the side chains in lead compound A5 and fluconazole and replacing the 1,2,4-triazole with pyrazole based on the bioisosterism principle [19] to construct a phenylethynyl pyrazole side chain in Figure 2. Herein, we reported in vitro antifungal activity and SAR of all the target compounds 5a–v and 6a–e, and in vivo antifungal potency of 6c.
Figure 2.
Design strategy of target compounds.
2. Results and Discussion
2.1. Chemistry
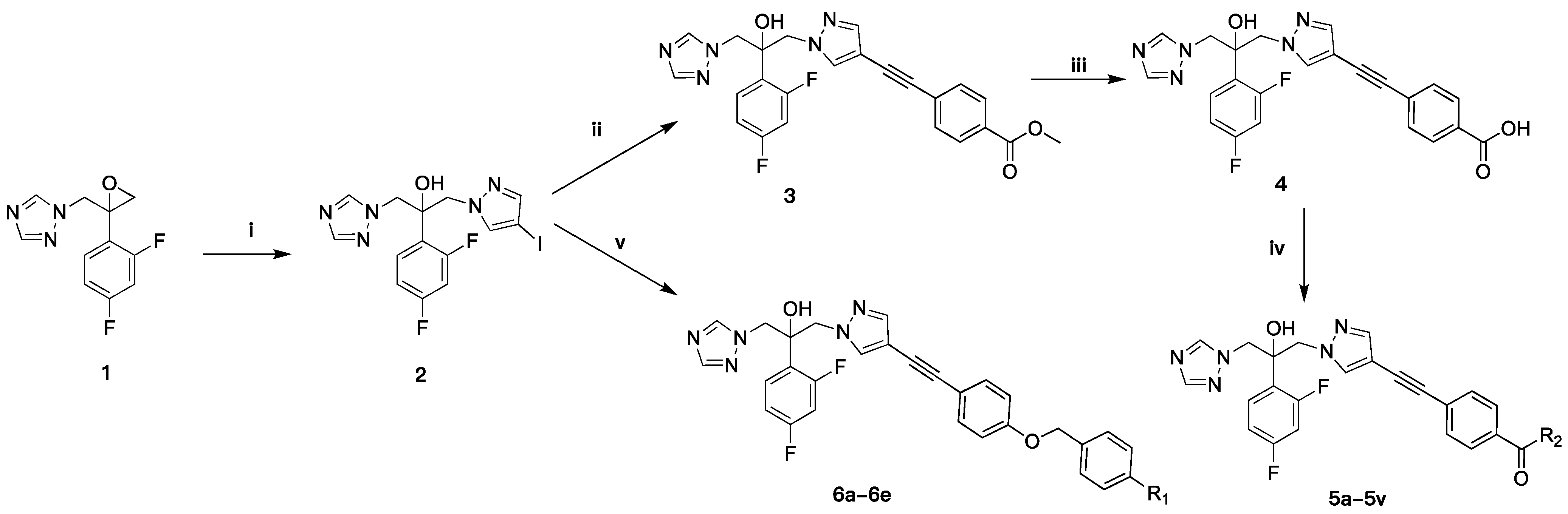
As depicted in Scheme 1, the target compounds were synthesized, starting from 1-((2-(2,4-difluorophenyl)oxiran-2-yl)methyl)-1H-1,2,4-triazole methane sulfonate (1), which the opening-ring reacted with 4-iodo-1H-pyrazole in the presence of K2CO3 in DMF. Sonogashira reaction of the key intermediate (2) with substituted (4-ethynylphenoxy)methyls or aryl alkyne was conducted in an NMP solution of Pd(PPh3)2Cl2, CuI and DIEA at 60 °C to afford (3) or 6a–e. In addition, the ester hydrolysis reaction of methyl 4-((1-(2-(2,4-difluorophenyl)-2-hydroxy-3-(1H-1,2,4-triazol-1-yl)propyl)-1H-pyrazol-4-yl)ethynyl)benzoate (4) was reacted with LiOH in a mixed solvent of H2O and THF, which was then subjected to the amidation reaction conditions with substituted alkyl amine or aromatic amine to give target compounds 5a–5v.
Scheme 1.
Synthesis of the target compounds. (i) 4-Iodo-1H-pyrazole, K2CO3, DMF, 80 °C, 4 h; (ii) Methyl 4-ethynylbenzoate, PdCl2(PPh3)2, CuI, DIEA, NMP, 60 °C, 6 h; (iii) LiOH, THF/H2O (V/V= 1:1), 50 °C, 6 h; (iv) Alkyl amines or aromatic amines, DIEA, PyBOP, 50 °C, 4~8 h; (v) substituted (4-ethynylphenoxy)methyls, PdCl2(PPh3)2, CuI, DIEA, NMP, 60 °C, 6 h.
2.2. In Vitro Antifungal Activity
All 29 compounds were evaluated by means of the minimum inhibitory concentration (MIC) according to the regulations recommended by the National Committee for Clinical Laboratory Standards (NCCLS) [20,21]. MIC was defined as the first well with an approximate 80% reduction in growth compared to the growth of the drug-free well. The three most common human pathogenic fungi, including Candida albicans, Cryptococcus neoformans and Aspergillus fumigatus, were tested. Clinic antifungal drugs fluconazole (FCZ) and posaconazole (POS) were used as the reference drugs to compare with target compounds. All data were the means of three replicate tests performed with each target compound and are summarized in Table 1.
Table 1.
In vitro antifungal activity of the target compounds (MIC, μg/mL).
In this study, the grades of MIC values were regarded as: excellent: <0.25 μg/mL; good: 0.25–1 μg/mL; moderate: 1–64 μg/mL. As shown in Table 1. Most of the target compounds exhibited good to excellent inhibitory activity against C. albicans and C. neoformans with MIC values ranging from 1 to 0.0625 μg/mL. Especially, compounds 5a, 5b, 5j, 5k, 5o, 6a and 6c exhibited MIC values of 0.0625 μg/mL against C. albicans. Compounds 6a and 6c exhibited MIC values of 0.0625 μg/mL against C. neoformans. These compounds showed superior activity to fluconazole (FCZ) and posaconazole (POS). Moreover, compounds 5k, 5t, 5u, 5v, 6c exhibited moderate activity against A. fumigatus (MIC = 8.0 μg/mL). However, fluconazole (FCZ) is inactive against A. fumigatus (MIC > 64.0 μg/mL). Among all the compounds, 5k and 6c are promising leads for the development of new generations of triazole antifungal agents. These results suggested that phenylethynyl pyrazole could be considered a novel privileged structure of side chain that deserves further investigation.
Preliminary structure-activity relationships (SARs) of compounds 5a–i with alkyl-substituted amides as side chains shorter or longer in length and smaller or bulkier in size, were investigated. Smaller and shorter side chains in compounds 5a–i are favorable to the antifungal activity against C. albicans and C. neoformans. For example, the MIC values of compounds 5a and 5b, which bear methyl and isopropyl, respectively, were better than that of the other compounds, FCZ, and POS against C. albicans and C. neoformans. The main problem of the design of compounds 5a–i with substituents R as aliphatic groups is that all compounds exhibited inactive against A. fumigatus.
Compounds 5j–v, as derivatives of 5a with one more aromatic ring introduced to the side chain, showed good in vitro antifungal activity. Especially, compounds 5k, 5o, 5t, 5u, and 5v exhibited excellent activities against C. albicans (MIC = 0.0625~0.25 μg/mL), C. neoformans (MIC = 0.125~0.25 μg/mL), and moderate activities against A. fumigatus (MIC = 8.0~16.0 μg/mL). Furthermore, compounds 6a–e, designed by converting the amide side chain of 5a–v into an ether bond-linked side chain, exerted very good antifungal activity. Compound 6c showed the most potent activity against C. albicans (MIC = 0.0625 μg/mL), C. neoformans (MIC = 0.0625 μg/mL), and A. fumigatus (MIC = 4.0 μg/mL).
Based on the results of the in vitro antifungal activity of fluconazole-sensitive strains, the active compounds 5a, 5b, 5j, 5k, 6a and 6c were further evaluated against fluconazole-resistant strains of C. albicans 100 and 103. As summarized in Table 2, the compounds showed moderate antifungal activities against fluconazole-resistant strains of C. albicans with MIC values in the range of 2.0 to 16.0 µg/mL. Compound 6c also exhibited higher activity than other compounds against both tested drug-resistant strains with MIC values of 4.0 µg/mL.
Table 2.
In vitro antifungal activity of the target compounds (MIC, μg/mL).
2.3. Theoretical Evaluation of ADME/T Properties
Since compounds 5a, 5b, 5j, 5k, 6a and 6c exhibited excellent antifungal activity, their ADMET prediction was performed using the DS-ADMET and DS-TOPKAT modules to evaluate their druggability, and the predicted data are summarized in Figure 3 and Table S1.
Figure 3.
The evaluation chart of Alog P and PSA of target compounds. The 95% and 99% confidence limit ellipses of blood–brain barrier (BBB) and human intestinal absorption (Absorption) models.
Most compounds were positioned in the 95% and 99% confidence ellipses for human intestinal absorption (absorption), and only compound 6c was positioned between the interval of 95% and 99% confidence ellipses (Figure 3). Meanwhile, compounds 5a and 5b were positioned between the interval of 95% and 99% confidence ellipses for blood–brain barrier (BBB) penetration, and compounds 5j, 5k, 6a and 6c were beyond the 99% confidence ellipse of the BBB model. These results indicated that these compounds with proper aqueous solubility and relatively low BBB penetration may enter blood circulation through intestinal absorption and exert their antifungal effect in vivo without causing nervous system damage.
Next, we analyzed the A logP and PSA of these compounds, and their values were distributed within a reasonable absorption range, suggesting that these compounds can achieve appropriate drug concentrations in vivo (Table S1). In addition, the toxicological properties of target compounds were further predicted according to the TOPKAT calculation module. We found these compounds had the characteristics of non-mutagen, non-irritant, and non-carcinogen, which greatly reduces the drug risk. Although all compounds showed strong skin sensitization, we did not consider this side effect as a concern, as the control drug fluconazole had the same predicted results.
2.4. Anti-Hyphal Activity
Hyphae growth is a significant morphological feature of fungi and is one of the virulent factors [22]. Morphological transitions from yeast to filamentous forms are the major contributor to the in vivo pathogenicity of C. albicans [23,24,25,26]. As the basis for studying in vivo potency, we further investigated the activity of compounds 5k and 6c against the yeast-to-hyphae transition of C. albicans with fluconazole as the control drug. As shown in Figure 4, compounds 5k and 6c exhibited mild activity against fungi hyphal formation, with fewer hyphae and more pseudohyphal cells compared with the group without drug treatment at 1.0 μg/mL or higher concentrations. Even at the concentration of 0.0625 μg/mL, compound 6c showed an obvious difference between compound 5k and fluconazole, which grew more hyphaes.
Figure 4.
Anti-hyphal effects of different concentrations of compounds 5k and 6c with FCZ (fluconazole) as a positive agent. Exponentially growing C. albicans SC5314 cells were transferred to hypha-inducing Spider liquid medium. The cellular morphology was photographed after incubation at 37 °C for 3 h. Scale bar = 20 μm.
2.5. Fungal Burden Evaluation
C. albicans has a strong tropism in kidney tissue, so the fungal burden is an important indicator for evaluating systemic fungal infection. Compound 6c, which demonstrated significant in vitro and anti-hyphal activity, was tested for the evaluation of the fungal burden of systemic C. albicans SC5314 in ICR mice. Following 3 days of treatment, we determined the changes in the fungal burdens in the kidney by measuring the number of CFU in Figure 5. Significant reductions in fungal burdens were observed with compound 6c in a dose-dependent manner compared with the vehicle control. Meanwhile, there is no significant difference between compound 6c (at the dosage of 1.0 mg/kg) and FCZ (at the dosage of 0.3 mg/kg). The results highlighted the antifungal potential of compound 6c.
Figure 5.
Effects of the antifungal treatments on the tissue burden. Each mouse was intravenously infected with C. albicans SC5314 5 × 106. Saline, FCZ (fluconazole, 0.3 mg/kg), compound 6c (0.3 mg/kg and 1.0 mg/kg) were administered orally once daily for 3 days after infection. Kidneys of mice were harvested on day 4 and colony-forming units were measured. * p < 0.05, ** p < 0.01, *** p < 0.001, determined by ANOVA.
2.6. In Vivo Potency
Considering the good evaluation of the fungal burden of compound 6c, an in vivo potency study was evaluated in disseminated C. albicans SC5314 models. As summarized in Figure 6, interestingly, compound 6c showed potent in vivo antifungal activity. The survival rate of compound 6c exhibited a dose-dependent manner. At the dose of 0.5 mg/kg, 20% of ICR mice survived at the end of the test, which was moderate to that of the fluconazole group (0.5 mg/kg). Meanwhile, it could effectively protect mice from fungal infection at the dose of 2.0 mg/kg (p < 0.001). This result indicated that it possessed potent activity, which could effectively protect mice from C. albicans infection.
Figure 6.
In vivo efficacy of compound 6c (0.5, 1.0 and 2.0 mg/kg) and FCZ (fluconazole, 0.5 mg/kg) in a systemic infection of an ICR mouse model (n = 10) with C. albicans SC5314. ** p < 0.01, *** p < 0.001, determined by ANOVA.
2.7. Molecular Docking
In order to investigate whether the target compounds could have a well binding with CYP51, a molecular docking study was performed. All compounds were docked into the active site and scored using the Surflex-Dock program in the SYBYL-X 2.0 software (Table S2). The published crystal structures of C. albicans CYP51 (PDB ID: 5TZ1) served as a useful template for generating binding modes [27]. The most active compound, 6c, will be shown in Figure 7 as a representative. As shown in Figure 7, the iron in the heme group was coordinated by triazole moiety, meanwhile, the 2,4-difluorophenyl could be placed into the hydrophobic pocket formed by Tyr-132, Phe-126, Met-306 and Phe-145. As surmised, the rigid linear phenylethynyl moiety was designed as a bar to anchor the side chain into the hydrophobic channel. The hydroxyl group in compound 6c formed a hydrogen-bonding interaction with Tyr-132 (2.4 Å). The long alkynyl side chain extended into a hydrophobic channel formed by the surrounding residues Tyr-118, Phe-228, Leu-376 and Phe-380 to form van der Waals and hydrophobic interactions. It is worth noting that the π–π stacking interaction was found between 2,4-difluorophenyl and Phe-126 and between pyrazole and Tyr-118, respectively. This may further improve the affinity and specificity of the inhibitors. Due to flexibility, the benzyloxy produced a bend in the channel. Especially, the strong hydrogen bonds existing between terminal nitrile and Lys-90 (1.9 Å) and between benzyloxy and His-377 (3.0 Å) may be a significant factor in the effective antifungal activity.
Figure 7.
The binding mode of compound 6c in the active site of CYP51. Compound 6c, heme group, residues are shown in brown, yellow or green sticks, respectively. Hydrogen-bonding interaction was shown in red and π–π stacking interaction was shown in forest green. Image depicting the proposed binding mode was generated using PyMOL.
3. Materials and Methods
3.1. Chemistry
1H and 13C nuclear magnetic resonance (NMR) spectra were reported in DMSO-d6 unless otherwise indicated, by a Bruker AC-300P spectrometer. Tetramethylsilane (TMS) was considered as the internal standard. Chemical shifts (δ values) and coupling constants (J values) are given in ppm and Hz, respectively. HPLC purity was determined by Agilent Technologies 6120 Quadrupole LC-MS. HRMS analyses were produced on an Agilent Technologies 6538 UHD Accurate-Mass Q-TOF LC/MS. Silica gel plates GF254 (Yantai Huanghai Chemical, Yantai, China) were applied to thin-layer chromatography (TLC) analysis. All the solvents and reagents were purchased from commercial vendors and were used as received or dried prior to use as needed.
3.1.1. Procedure for the Synthesis of 2-(2,4-Difluorophenyl)-1-(4-iodo-1H-pyrazol-1-yl)-3-(1H-1,2,4-triazol-1-yl)propan-2-ol (2)
To a solution of compound 1 (50 mmol) and 4-Iodo-1H-pyrazole (50 mmol) in DMF (150 mL) was added K2CO3 (100 mmol). The mixture was stirred continuously for 4 h and heated at 80 °C. The reaction was monitored by TLC. After the reaction was finished, the mixture was cooled to room temperature, poured into ice water, then stirred for 1 h. The product solid was filtered and then dried at 50 °C to obtain compound 2 (15.5 g, yellow solid, yield 72%).
3.1.2. Procedure for the Synthesis of Methyl 4-((1-(2-(2,4-Difluorophenyl)-2-hydroxy-3-(1H-1,2,4-triazol-1-yl)propyl)-1H-pyrazol-4-yl)ethynyl)benzoate (3)
Under nitrogen atmosphere, compound 2 (40 mmol) and Methyl 4-ethynylbenzoate (40 mmol) were dissolved in NMP (140 mL). To this solution was added CuI (20 mmol%), Pd(PPh3)2Cl2 (5 mmol%) and DIEA (200 mmol). The mixture was degassed under a nitrogen atmosphere prior to heating at 60 °C for 6 h. The reaction was monitored by TLC. After the reaction was finished, the mixture was poured into ice water, and then extracted with ethyl acetate (3 × 250 mL). The organic phases were combined, washed with saturated aqueous sodium chloride solution (2 × 300 mL), dried over anhydrous Na2SO4 and evaporated under reduced pressure. The crude products were purified by chromatography on silica gel (PE:EA = 20:1~5:1) to obtain compound 3 (14.57 g, yellow solid, yield 78%).
3.1.3. Procedure for the Synthesis of 4-((1-(2-(2,4-Difluorophenyl)-2-hydroxy-3-(1H-1,2,4-triazol-1-yl)propyl)-1H-pyrazol-4-yl)ethynyl)benzoic acid (4)
To a solution of compound 3 (31 mmol) in a mixed solution of THF (100 mL) and H2O (100 mL), were added LiOH (200 mmol). The mixture was stirred continuously for 6 h and heated at 50 °C. The reaction was monitored by TLC. After the reaction was finished, THF was evaporated under reduced pressure. Aqueous hydrochloric acid (5 mol/L) was dropped into the remaining liquid to adjust pH to 3–4. After stirring for 1 h, the precipitated solid was filtered and dried to obtain compound 4 (12.1 g, yellow solid, yield 67%).
3.1.4. General Procedure for the Synthesis of Target Compound (5a–5v)
To a solution of compound 4 (1.0 mmol) and amines (1.0 mmol) in DMF (5 mL), were added DIEA (2.0 mmol) and PyBOP (1.1 mmol). The mixture was stirred continuously for 4–8 h and heated at 50 °C. The reaction was monitored by TLC. After the reaction was finished, the mixture was poured into ice water, and then extracted with ethyl acetate (3 × 20 mL). The organic phases were combined, washed with saturated aqueous sodium chloride solution (2 × 30 mL), dried over anhydrous Na2SO4 and evaporated under reduced pressure. The crude products were purified by reverse phase (mobile phase was A: H2O, B: acetonitrile, gradient elution, 0–20 min, 30–90% B) and then lyophilized to obtain the target compounds.
3.1.5. General Procedure for the Synthesis of Target Compound (6a–6e)
Under nitrogen atmosphere, compound 2 (1.0 mmol) and alkynes (1.0 mmol) were dissolved in NMP (10 mL). To this solution was added CuI (20 mmol%), Pd(PPh3)2Cl2 (5 mmol%) and DIEA (5 mmol). The mixture was degassed under nitrogen prior to heating at 60 °C for 6 h. The reaction was monitored by TLC. After the reaction was finished, the mixture was poured into ice water, and then extracted with ethyl acetate (3 × 20 mL). The organic phases were combined, washed with saturated aqueous sodium chloride solution (2 × 30 mL), dried over anhydrous Na2SO4 and evaporated under reduced pressure. The crude products were purified by chromatography on silica gel (PE:EA = 10:1~5:1).
3.2. In Vitro Antifungal Activities Assay
In vitro antifungal activity was measured according to the protocols from the National Committee for Clinical Laboratory Standards (NCCLS) [20,21]. The serial dilution method in a 96-well microtest plate was used to measure the minimum inhibitory concentration (MIC) of the target compounds. For C. albicans and C. neoformans, the initial concentration of fungal suspension in the RPMI 1640 medium was 103 CFU/mL. For A. fumigatus, the initial concentration of fungal suspension in the RPMI 1640 medium was 5 × 103 CFU/mL. Targeted compounds were dissolved in DMSO and serially diluted in a growth medium. The final concentrations of each well ranged from 0.125 to 64 µg/mL. The yeasts were incubated at 35 °C and the filamentous fungi were incubated at 37 °C. After 48 h incubation, the optical density (OD630 nm) in each well was measured by spectrophotometer. The MICs were defined as the minimum concentration of drugs to inhibit ≥80% growth of fungal cells compared to that of a drug-free control at 30 °C at 48 h incubation.
3.3. Hyphal Formation Assay
Firstly, C. albicans SC5314 cells were harvested by centrifugation (3000 rpm, 5 min) and washed with PBS three times. The C. albicans suspension was then adjusted to 1 × 106 cells/mL with Spider medium. The C. albicans suspension was divided into every well in 6-well plates with different concentrations of compounds 5k/6c added. Then the 6-well plates were incubated at 37 °C. After 3 h incubation, the cellular morphology was photographed.
3.4. Fungal Burden Evaluation
In the fungal burden study, antifungal treatments began 1 day after fungal inoculation and continued for 3 days. The day after therapy had stopped, mice were humanely euthanized and the kidneys were collected for the quantitative determination of the tissue fungal burden. After the weights of kidneys were determined, tissues were homogenized in 1 mL PBS. Homogenates were serially diluted in 10-fold steps and aliquots (100 μL) of homogenate were plated on Sabouraud dextrose agar (SDA) plates. The plates were incubated at 30 °C for 72 h, and the numbers of CFU were counted. The fungal burdens were indicated as Log10CFU/g.
3.5. In Vivo Antifungal Potency
All animal experiments were done according to institutional guidelines and were approved by the Institutional Animal Care and Use Committee (IACUC) of Second Military Medical University. Female ICR mice (weighing between 18 to 22 g) were housed and fed to acclimatize for 3 days. All mice were operated on intraperitoneal injection with 0.4 mL of cyclophosphamide (100 mg/kg, 3 days, qd). Then, mice were administered orally with 0.2 mL of a suspension containing 5 × 106 CFU/mL of C. albicans SC5314. In this model, compound 6c and FCZ (as a suspension in 0.5% carboxymethylcellulose in distilled water) were administered orally 2 h after infection fungi (7 days, qd). The control group consisted of mice treated with NS. Mice were monitored and recorded for survival conditions once daily for a total period of 20 days post-infection. At the end of the observation period, the surviving mice were humanely sacrificed.
3.6. Statistics
Survival was plotted by Kaplan–Meier analysis, and a log-rank test was used to assess for significant differences in median survival time. Differences in fungal burdens between groups were assessed for significance by analysis of variance (ANOVA) with Tukey’s posttest for multiple comparisons. A p-value of <0.05 was considered statistically significant, a p-value of <0.01 was considered statistically highly significant, and a p-value of <0.001 was considered statistically extremely significant.
3.7. Computational Methodology
3.7.1. ADME/T Prediction
All target compounds were predicted using DS-ADMET and DS-TOPKAT modules. The operation process was performed as follows: the target compound files were imported into the program, and “ADMET descriptors” and “Toxicity Prediction” modules were selected, respectively. The prediction items (aqueous solubility, blood brain barrier penetration, intestinal absorption, plasma protein binding, FDA rodent carcinogenicity, Ames mutagenicity, Skin_Irritancy, Skin_sensitization) were set as research objects in the parameter browser, respectively. Finally, the program was run to obtain the corresponding result.
3.7.2. Molecular Docking
The structure of compound 6c was drawn by SYBYL-X 2.0 software, optimized using the standard Tripos molecular mechanics force field with a Gasteiger–Hückel charge, and other parameters were set as default values. Import the PDB (5TZ1) file into SYBYL-X 2.0, first remove water molecules and the ligand, then analyze the protein structure, repair the terminal side chains, and add hydrogen to amino acid residues. The protein structure was optimized using the standard Tripos molecular mechanics force field with the AMBER7 FF99 charge. Next, the active pocket was generated, and molecule 6c was docked into the active pocket through the “Surface Dock” module. Finally, this module will score the interaction between 6c and CYP51 protein and retain the 20 highest scoring ligand-protein complex structures for analysis. The docking results were plotted by Pymol software.
4. Conclusions
In summary, a series of novel triazole derivatives containing alkynyl side chains have been designed, synthesized, and their antifungal activities were evaluated for the three most common human pathogenic fungi. Most of the target compounds have strong antifungal activities against the tested fungi, including fluconazole-resistant strains, and especially, compound 6c exhibited potent in vitro antifungal activity against the three tested fungi strains and in vivo efficacy in the mice model of disseminated C. albicans infection. It could effectively protect mice models from C. albicans infection at doses of 0.5, 1.0, and 2.0 mg/kg. A molecular docking study also demonstrated that the long alkynyl side chain could form closely the van der Waals and hydrophobic interactions with CYP51. The strong hydrogen bond existing between 4-cyanobenzyloxy and residues played an important role in the binding affinity and antifungal activity. Further pharmacokinetic evaluation and structure optimization on compound 6c is under investigation.
Supplementary Materials
The following supporting information can be downloaded at: https://www.mdpi.com/article/10.3390/molecules27113370/s1. Table S1: In silico ADME/T prediction of target compounds with fluconazole; Table S2: Molecular docking results.
Author Contributions
Investigation, T.N. and F.X.; writing—original draft preparation, Z.D.; methodology, J.Z.; writing—review and editing, J.B. and Y.H.; supervision, S.Y.; funding acquisition, T.N., Y.J. and D.Z. All authors have read and agreed to the published version of the manuscript.
Funding
This work was supported by the National Natural Science Foundation of China (No. 81830106; 82103991; 82173786; 82020108032), the Fundamental Research Funds for the Central Universities (No. 22120210587), and the Science and Technology Commission of Shanghai Municipality (No. 21S11901300).
Institutional Review Board Statement
The animal study protocol was approved by the Laboratory Animal Ethics Committee of Shanghai Tenth People’s Hospital (Permit Number: SHDSYY-2021-T0040).
Informed Consent Statement
Not applicable.
Data Availability Statement
Not applicable.
Conflicts of Interest
These authors declare no conflict of interest.
References
- Perfect, J.R. The antifungal pipeline: A reality check. Nat. Rev. Drug Discov. 2017, 16, 603–616. [Google Scholar] [CrossRef] [PubMed] [Green Version]
- Fang, W.; Chen, M.; Liu, J.; Hagen, F.; Zhang, P.; Guo, Y.; Boekhout, T.; Deng, D. Cryptococcal meningitis in systemic lupus erythematosus patients: Pooled analysis and systematic review. Emerg. Microbes Infect. 2016, 5, 95. [Google Scholar] [CrossRef] [PubMed] [Green Version]
- Garbee, D.D.; Pierce, S.S.; Manning, J. Opportunistic Fungal Infections in Critical Care Units. Crit. Care Nurs. Clin. N. Am. 2017, 29, 67–79. [Google Scholar] [CrossRef] [PubMed]
- Brown, G.D.; Denning, D.W.; Gow, N.A.R.; Levitz, S.M.; Netea, M.G.; White, T.C. Hidden Killers: Human Fungal Infections. Sci. Transl. Med. 2012, 4, 165rv13. [Google Scholar] [CrossRef] [Green Version]
- Stop neglecting fungi. Nat. Microbiol. 2017, 2, 17120. [CrossRef] [Green Version]
- Brown, G.D.; Denning, D.W.; Levitz, S.M. Tackling Human Fungal Infections. Science 2012, 336, 647. [Google Scholar] [CrossRef] [Green Version]
- Denning, D.W.; Hope, W. Therapy for fungal diseases: Opportunities and priorities. Trends Microbiol. 2010, 18, 195–204. [Google Scholar] [CrossRef]
- Sant, D.G.; Tupe, S.; Ramana, C.; Deshpande, M. Fungal cell membrane-promising drug target for antifungal therapy. J. Appl. Microbiol. 2016, 121, 1498–1510. [Google Scholar] [CrossRef] [Green Version]
- Victoria Castelli, M.; Derita, M.; López, S.N. Novel antifungal agents: A patent review (2013-present). Expert Opin. Ther. Pat. 2017, 27, 415–426. [Google Scholar] [CrossRef]
- Fisher, M.C.; Hawkins, N.J.; Sanglard, D.; Gurr, S.J. Worldwide emergence of resistance to antifungal drugs challenges human health and food security. Science 2018, 360, 739–742. [Google Scholar] [CrossRef] [Green Version]
- Yuri, A.; Yoshida, Y.; Sato, R. Yeast Cytochrome P-450 Catalyzing Lanosterol 14a-Demethylation. J. Biol. Chem. 1984, 259, 1661–1666. [Google Scholar]
- Hargrove, T.Y.; Wawrzak, Z.; Lamb, D.C.; Guengerich, F.P.; Lepesheva, G.I. Structure-Functional Characterization of Cytochrome P450 Sterol 14α-Demethylase (CYP51B) from Aspergillus fumigatus and Molecular Basis for the Development of Antifungal Drugs. J. Biol. Chem. 2015, 290, 23916–23934. [Google Scholar] [CrossRef] [PubMed] [Green Version]
- Ghobadi, E.; Saednia, S.; Emami, S. Synthetic approaches and structural diversity of triazolylbutanols derived from voriconazole in the antifungal drug development. Eur. J. Med. Chem. 2022, 231, 114161. [Google Scholar] [CrossRef] [PubMed]
- Wang, Y.; Xu, K.; Bai, G.; Huang, L.; Wu, Q.; Pan, W.; Yu, S. Synthesis and Antifungal Activity of Novel Triazole Compounds Containing Piperazine Moiety. Molecules 2014, 19, 11333–11340. [Google Scholar] [CrossRef] [PubMed] [Green Version]
- Wu, J.; Ni, T.; Chai, X.; Wang, T.; Wang, H.; Chen, J.; Jin, Y.; Zhang, D.; Yu, S.; Jiang, Y. Molecular docking, design, synthesis and antifungal activity study of novel triazole derivatives. Eur. J. Med. Chem. 2018, 143, 1840–1846. [Google Scholar] [CrossRef] [PubMed]
- Xie, F.; Ni, T.; Zhao, J.; Pang, L.; Li, R.; Cai, Z.; Ding, Z.; Wang, T.; Yu, S.; Jin, Y.; et al. Design, synthesis, and in vitro evaluation of novel antifungal triazoles. Bioorganic Med. Chem. Lett. 2017, 27, 2171–2173. [Google Scholar] [CrossRef]
- Xu, K.; Huang, L.; Xu, Z.; Wang, Y.; Bai, G.; Wu, Q.; Wang, X.; Yu, S.; Jiang, Y. Design, synthesis, and antifungal activities of novel triazole derivatives containing the benzyl group. Drug Des. Dev. Ther. 2015, 9, 1459–1467. [Google Scholar]
- Ni, T.; Pang, L.; Cai, Z.; Xie, F.; Ding, Z.; Hao, Y.; Li, R.; Yu, S.; Chai, X.; Wang, T.; et al. Design, synthesis, and in vitro antifungal evaluation of novel triazole derivatives bearing alkynyl side chains. J. Saudi Chem. Soc. 2018, 23, 576–585. [Google Scholar] [CrossRef]
- Küçükgüzel, Ş.G. Recent advances in bioactive pyrazoles. Eur. J. Med. Chem. 2015, 97, 786–815. [Google Scholar] [CrossRef]
- M27ea3; Clinical and Laboratory Standards Institute/National Committee for Clinical Laboratory Standards, Reference Method for Broth Dilution Antifungal Susceptibility Testing of Yeast. 3rd ed. Clinical and Laboratory Standards Institute: Wayne, PA, USA, 2009.
- M38eA2; Clinical and Laboratory Standards Institute/National Committee for Clinical Laboratory Standards, Reference Method for Broth Dilution Antifungal Susceptibility Testing of Yeast. 2nd ed. Clinical and Laboratory Standards Institute: Wayne, PA, USA, 2008.
- Wang, J.; Sánchez-Roselló, M.; Aceña, J.L.; del Pozo, C.; Sorochinsky, A.E.; Fustero, S.; Soloshonok, V.A.; Liu, H. Fluorine in Pharmaceutical Industry: Fluorine-Containing Drugs Introduced to the Market in the Last Decade (2001–2011). Chem. Rev. 2013, 114, 2432–2506. [Google Scholar] [CrossRef]
- Zhou, Y.; Wang, J.; Gu, Z.; Wang, S.; Zhu, W.; Aceña, J.L.; Soloshonok, V.A.; Izawa, K.; Liu, H. Next Generation of Fluorine-Containing Pharmaceuticals, Compounds Currently in Phase II–III Clinical Trials of Major Pharmaceutical Companies: New Structural Trends and Therapeutic Areas. Chem. Rev. 2016, 116, 422–518. [Google Scholar] [CrossRef] [PubMed]
- Maidan, M.M.; Bahn, Y.; Cox, G.M.; Heitman, J. G Protein-coupled Receptor Gpr4 Senses Amino Acids and Activates the cAMP-PKA Pathway in Cryptococcus neoformans. Mol. Biol. Cell 2005, 16, 1971–1986. [Google Scholar] [CrossRef] [Green Version]
- Böhm, L.; Torsin, S.; Tint, S.H.; Eckstein, M.T.; Ludwig, T.; Pérez, J.C. The yeast form of the fungus Candida albicans promotes persistence in the gut of gnotobiotic mice. PLoS Pathog. 2017, 13, e1006699. [Google Scholar] [CrossRef] [PubMed] [Green Version]
- Murad, A.M.; Leng, P.; Straffon, M.; Wishart, J.; Macaskill, S.; MacCallum, D.; Schnell, N.; Talibi, D.; Marechal, D.; Tekaia, F.; et al. NRG1 represses yeast-hypha morphogenesis and hypha-specific gene expression in Candida albicans. EMBO J. 2001, 20, 4742–4752. [Google Scholar] [CrossRef] [PubMed] [Green Version]
- Hargrove, T.Y.; Friggeri, L.; Wawrzak, Z.; Qi, A.; Hoekstra, W.J.; Schotzinger, R.J.; York, J.D.; Guengerich, F.P.; Lepesheva, G.I. Structural analyses of Candida albicans sterol 14 alpha-demethylase complexed with azole drugs address the molecular basis of azole-mediated inhibition of fungal sterol biosynthesis. J. Biol. Chem. 2017, 292, 6728–6743. [Google Scholar] [CrossRef] [Green Version]
Publisher’s Note: MDPI stays neutral with regard to jurisdictional claims in published maps and institutional affiliations. |
© 2022 by the authors. Licensee MDPI, Basel, Switzerland. This article is an open access article distributed under the terms and conditions of the Creative Commons Attribution (CC BY) license (https://creativecommons.org/licenses/by/4.0/).





























