Discovery of Potential, Dual-Active Histamine H3 Receptor Ligands with Combined Antioxidant Properties
Abstract
1. Introduction
2. Results and Discussion
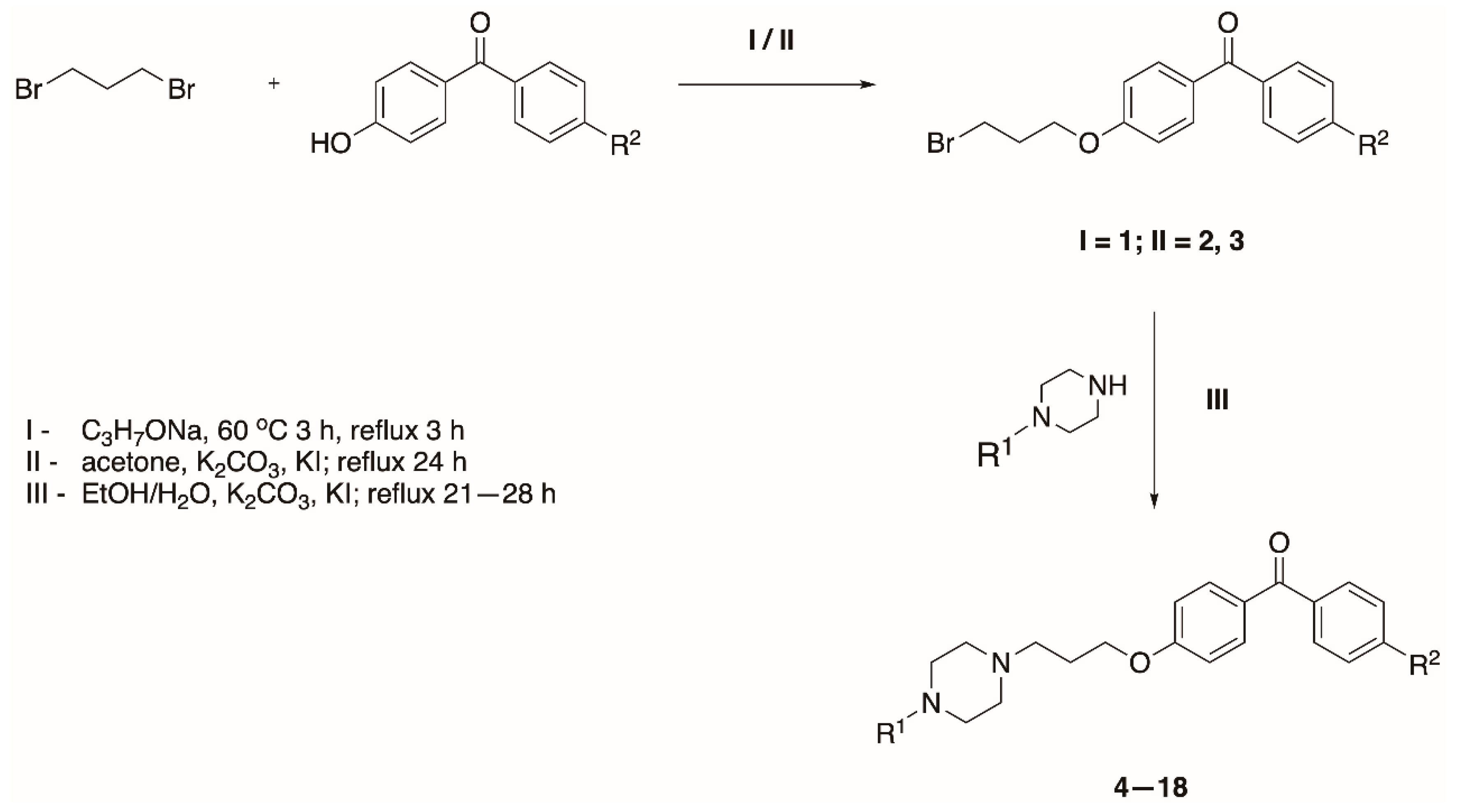
2.1. Chemistry
2.2. Biological Evaluation
2.3. Antioxidative Properties
2.4. Docking Studies
3. Materials and Methods
3.1. Chemistry
3.1.1. Procedure 1
3.1.2. Procedure 2
3.1.3. Procedure 3
3.2. Pharmacology
[3H]Nα-Methylhistamine hH3R Displacement Assay
3.3. In Vitro Antioxidant Activity
3.3.1. DPPH Assay
3.3.2. FRAP Assay
3.4. Molecular Modeling
4. Conclusions
Supplementary Materials
Author Contributions
Funding
Institutional Review Board Statement
Informed Consent Statement
Data Availability Statement
Conflicts of Interest
References
- Arrang, J.M.; Garbarg, M.; Schwartz, J.C. Auto-inhibition of brain histamine release mediated by a novel class (H3) of histamine receptor. Nature 1983, 302. [Google Scholar] [CrossRef]
- Berlin, M.; Boyce, C.W.; De Lera Ruiz, M. Histamine H3 receptor as a drug discovery target. J. Med. Chem. 2011, 54, 26–53. [Google Scholar] [CrossRef] [PubMed]
- Schlicker, E.; Malinowska, B.; Kathmann, M.; Göthert, M. Modulation of neurotransmitter release via histamine H3 heteroreceptors. Fundam. Clin. Pharmacol. 1994, 8, 128–137. [Google Scholar] [CrossRef] [PubMed]
- Sadek, B.; Saad, A.; Sadeq, A.; Jalal, F.; Stark, H. Histamine H3 receptor as a potential target for cognitive symptoms in neuropsychiatric diseases. Behav. Brain Res. 2016, 312, 415–430. [Google Scholar] [CrossRef] [PubMed]
- Haas, H.L.; Sergeeva, O.A.; Selbach, O. Histamine in the nervous system. Physiol. Rev. 2008, 88, 1183–1241. [Google Scholar] [CrossRef]
- Łażewska, D.; Kieć-Kononowicz, K. Progress in the development of histamine H3 receptor antagonists/inverse agonists: A patent review (2013-2017). Expert Opin. Ther. Pat. 2018, 28, 175–196. [Google Scholar] [CrossRef] [PubMed]
- Tiligada, E.; Zampeli, E.; Sander, K.; Stark, H. Histamine H3 and H4 receptors as novel drug targets. Expert Opin. Investig. Drugs 2009, 18, 1519–1531. [Google Scholar] [CrossRef]
- Syed, Y.Y. Pitolisant: First Global Approval. Drugs 2016, 76, 1313–1318. [Google Scholar] [CrossRef]
- Troxler, T.; Feuerbach, D.; Zhang, X.; Yang, C.R.; Lagu, B.; Perrone, M.; Wang, T.L.; Briner, K.; Bock, M.G.; Auberson, Y.P. The Discovery of LML134, a Histamine H3 Receptor Inverse Agonist for the Clinical Treatment of Excessive Sleep Disorders. ChemMedChem 2019, 14. [Google Scholar] [CrossRef]
- A Study to Assess the Wakefulness Promoting Effect, Safety, Tolerability, and Pharmacokinetics (PK) of LML134 in Shift Work Disorder. Available online: http://clinicaltrials.gov/ct2/show/NCT03141086 (accessed on 13 April 2021).
- Bhowmik, M.; Khanam, R.; Vohora, D. Histamine H3 receptor antagonists in relation to epilepsy and neurodegeneration: A systemic consideration of recent progress and perspectives. Br. J. Pharmacol. 2012, 167, 1398–1414. [Google Scholar] [CrossRef]
- Badenhorst, H.E.; Maharaj, D.S.; Malan, S.F.; Daya, S.; van Dyk, S. Histamine-3 receptor antagonists reduce superoxide anion generation and lipid peroxidation in rat brain homogenates. J. Pharm. Pharmacol. 2005, 57, 781–785. [Google Scholar] [CrossRef] [PubMed]
- Mani, V.; Jaafar, S.M.; Azahan, N.S.M.; Ramasamy, K.; Lim, S.M.; Ming, L.C.; Majeed, A.B.A. Ciproxifan improves cholinergic transmission, attenuates neuroinflammation and oxidative stress but does not reduce amyloid level in transgenic mice. Life Sci. 2017, 180, 23–35. [Google Scholar] [CrossRef] [PubMed]
- Akhtar, M.; Pillai, K.K.; Vohora, D. Effect of thioperamide on oxidative stress markers in middle cerebral artery occlusion model of focal cerebral ischemia in rats. Hum. Exp. Toxicol. 2008, 27, 761–767. [Google Scholar] [CrossRef] [PubMed]
- Akhtar, M.; Pillai, K.K.; Yohora, D. Effect of thioperamide on modified forced swimming test-induced oxidative stress in mice. Basic Clin. Pharmacol. Toxicol. 2005, 97, 218–221. [Google Scholar] [CrossRef]
- Alachkar, A.; Azimullah, S.; Ojha, S.K.; Beiram, R.; Łazewska, D.; Kieć-Kononowicz, K.; Sadek, B. The neuroprotective effects of histamine h3 receptor antagonist E177 on pilocarpine-induced status epilepticus in rats. Molecules 2019, 24, 4106. [Google Scholar] [CrossRef] [PubMed]
- Alachkar, A.; Azimullah, S.; Lotfy, M.; Adeghate, E.; Ojha, S.K.; Beiram, R.; Łażewska, D.; Kieć-Kononowicz, K.; Sadek, B. Antagonism of histamine H3 receptors alleviates pentylenetetrazole-induced kindling and associated memory deficits by mitigating oxidative stress, central neurotransmitters, and c-fos protein expression in rats. Molecules 2020, 25, 1575. [Google Scholar] [CrossRef]
- Mahmood, D.; Khanam, R.; Pillai, K.K.; Akhtar, M. Reversal of oxidative stress by histamine H 3 receptor-ligands in experimental models of schizophrenia. Arzneim. Forsch. Drug Res. 2012, 62, 222–229. [Google Scholar] [CrossRef]
- Eissa, N.; Jayaprakash, P.; Azimullah, S.; Ojha, S.K.; Al-Houqani, M.; Jalal, F.Y.; Łażewska, D.; Kieć-Kononowicz, K.; Sadek, B. The histamine H3R antagonist DL77 attenuates autistic behaviors in a prenatal valproic acid-induced mouse model of autism. Sci. Rep. 2018, 8. [Google Scholar] [CrossRef]
- Hass, C.; Panda, B.P.; Khanam, R.; Najmi, A.K.; Akhtar, M. Histamine H3 Receptor Agonist Imetit Attenuated Isoproterenol Induced Renin Angiotensin System and Sympathetic Nervous System Overactivity in Myocardial Infarction of Rats. Drug Res. 2016, 66, 324–329. [Google Scholar] [CrossRef]
- Walter, M.; Stark, H. Histamine receptor subtypes: A century of rational drug design. Front. Biosci. Sch. 2012, 4, 461–488. [Google Scholar] [CrossRef]
- Szczepańska, K.; Karcz, T.; Mogilski, S.; Siwek, A.; Kuder, K.J.; Latacz, G.; Kubacka, M.; Hagenow, S.; Lubelska, A.; Olejarz, A.; et al. Synthesis and biological activity of novel tert-butyl and tert-pentylphenoxyalkyl piperazine derivatives as histamine H3R ligands. Eur. J. Med. Chem. 2018, 152, 223–234. [Google Scholar] [CrossRef] [PubMed]
- Szczepańska, K.; Karcz, T.; Kotańska, M.; Siwek, A.; Kuder, K.J.; Latacz, G.; Mogilski, S.; Hagenow, S.; Lubelska, A.; Sobolewski, M.; et al. Optimization and preclinical evaluation of novel histamine H3 receptor ligands: Acetyl and propionyl phenoxyalkyl piperazine derivatives. Bioorg. Med. Chem. 2018, 26, 6056–6066. [Google Scholar] [CrossRef] [PubMed]
- Szczepańska, K.; Karcz, T.; Siwek, A.; Kuder, K.J.; Latacz, G.; Bednarski, M.; Szafarz, M.; Hagenow, S.; Lubelska, A.; Olejarz-Maciej, A.; et al. Structural modifications and in vitro pharmacological evaluation of 4-pyridyl-piperazine derivatives as an active and selective histamine H3 receptor ligands. Bioorg. Chem. 2019, 91. [Google Scholar] [CrossRef]
- Schwartz, J.C. The histamine H3 receptor: From discovery to clinical trials with pitolisant. Br. J. Pharmacol. 2011, 163, 713–721. [Google Scholar] [CrossRef] [PubMed]
- Bautista-Aguilera, Ó.M.; Hagenow, S.; Palomino-Antolin, A.; Farré-Alins, V.; Ismaili, L.; Joffrin, P.L.; Jimeno, M.L.; Soukup, O.; Janočková, J.; Kalinowsky, L.; et al. Multitarget-Directed Ligands Combining Cholinesterase and Monoamine Oxidase Inhibition with Histamine H3R Antagonism for Neurodegenerative Diseases. Angew. Chem. Int. Ed. 2017, 56. [Google Scholar] [CrossRef] [PubMed]
- Szczepanska, K.; Kuder, K.; Kiec-Kononowicz, K. Histamine H3 receptor ligands in the group of (homo)piperazine derivatives. Curr. Med. Chem. 2017, 25, 1609–1626. [Google Scholar] [CrossRef] [PubMed]
- Mayo, J.C.; Sainz, R.M. Melatonin from an antioxidant to a classic hormone or a tissue factor: Experimental and clinical aspects 2019. Int. J. Mol. Sci. 2020, 21, 3645. [Google Scholar] [CrossRef]
- Bautista-Aguilera, Ó.M.; Budni, J.; Mina, F.; Medeiros, E.B.; Deuther-Conrad, W.; Entrena, J.M.; Moraleda, I.; Iriepa, I.; López-Muñoz, F.; Marco-Contelles, J. Contilisant, a Tetratarget Small Molecule for Alzheimer’s Disease Therapy Combining Cholinesterase, Monoamine Oxidase Inhibition, and H3R Antagonism with S1R Agonism Profile. J. Med. Chem. 2018, 61. [Google Scholar] [CrossRef]
- Kuder, K.; Łazewska, D.; Latacz, G.; Schwed, J.S.; Karcz, T.; Stark, H.; Karolak-Wojciechowska, J.; Kieć-Kononowicz, K. Chlorophenoxy aminoalkyl derivatives as histamine H3<R ligands and antiseizure agents. Bioorg. Med. Chem. 2016, 24. [Google Scholar] [CrossRef]
- Kottke, T.; Sander, K.; Weizel, L.; Schneider, E.H.; Seifert, R.; Stark, H. Receptor-specific functional efficacies of alkyl imidazoles as dual histamine H3/H4 receptor ligands. Eur. J. Pharmacol. 2011, 654, 200–208. [Google Scholar] [CrossRef] [PubMed]
- Khanfar, M.A.; Reiner, D.; Hagenow, S.; Stark, H. Design, synthesis, and biological evaluation of novel oxadiazole- and thiazole-based histamine H3R ligands. Bioorg. Med. Chem. 2018, 26, 4034–4046. [Google Scholar] [CrossRef]
- Shimamura, T.; Shiroishi, M.; Weyand, S.; Tsujimoto, H.; Winter, G.; Katritch, V.; Abagyan, R.; Cherezov, V.; Liu, W.; Han, G.W.; et al. Structure of the human histamine H 1 receptor complex with doxepin. Nature 2011, 475. [Google Scholar] [CrossRef] [PubMed]
- Ballesteros, J.A.; Weinstein, H. [19] Integrated methods for the construction of three-dimensional models and computational probing of structure-function relations in G protein-coupled receptors. Methods Neurosci. 1995, 25, 366–428. [Google Scholar] [CrossRef]
- Yung-Chi, C.; Prusoff, W.H. Relationship between the inhibition constant (KI) and the concentration of inhibitor which causes 50 per cent inhibition (I50) of an enzymatic reaction. Biochem. Pharmacol. 1973, 22, 3099–3108. [Google Scholar] [CrossRef]
- Dziubina, A.; Szkatuła, D.; Gdula-Argasińska, J.; Kotańska, M.; Filipek, B. Antinociceptive, antiedematous, and antiallodynic activity of 1H-pyrrolo[3,4-c]pyridine-1,3(2H)-dione derivatives in experimental models of pain. Naunyn. Schmiedebergs. Arch. Pharmacol. 2019, 3, 813–827. [Google Scholar] [CrossRef]
- Kotańska, M.; Mika, K.; Szafarz, M.; Dziubina, A.; Bednarski, M.; Müller, C.E.; Sapa; Kieć-Kononowicz, K. PSB 603—A known selective adenosine A2B receptor antagonist–has anti-inflammatory activity in mice. Biomed. Pharmacother. 2021, 135, 111164. [Google Scholar] [CrossRef]
- Benzie, I.F.F.; Strain, J.J. Ferric reducing/antioxidant power assay: Direct measure of total antioxidant activity of biological fluids and modified version for simultaneous measurement of total antioxidant power and ascorbic acid concentration. Methods Enzymol. 1999, 299, 15–27. [Google Scholar] [CrossRef]
- Schrödinger Release, 2019-1; Schrödinger, LLC: New York, NY, USA, 2019.
- Schrödinger Release, 2019-1: ConfGen; Schrödinger, LLC: New York, NY, USA, 2019.
- Watts, K.S.; Dalal, P.; Murphy, R.B.; Sherman, W.; Friesner, R.A.; Shelley, J.C. ConfGen: A Conformational Search Method for Efficient Generation of Bioactive Conformers. J. Chem. Inf. Model. 2010, 50, 534–546. [Google Scholar] [CrossRef]
- Schrödinger Release, 2019-1; Schrödinger Suite 2019-1 Induced Fit Docking Protocol; Glide, Schrödinger, LLC; Prime, Schrödinger, LLC: New York, NY, USA, 2019.
- Schrödinger Release, 2019-1: Glide; Schrödinger, LLC: New York, NY, USA, 2019.
- Halgren, T.A.; Murphy, R.B.; Friesner, R.A.; Beard, H.S.; Frye, L.L.; Pollard, W.T.; Banks, J.L. Glide: A New Approach for Rapid, Accurate Docking and Scoring. 2. Enrichment Factors in Database Screening. J. Med. Chem. 2004, 47, 1750–1759. [Google Scholar] [CrossRef]
- Schrödinger Release, 2019-1: Jaguar; Schrödinger, LLC: New York, NY, USA, 2019.
- Bochevarov, A.D.; Harder, E.; Hughes, T.F.; Greenwood, J.R.; Braden, D.A.; Philipp, D.M.; Rinaldo, D.; Halls, M.D.; Zhang, J.; Friesner, R.A. Jaguar: A high-performance quantum chemistry software program with strengths in life and materials sciences. Int. J. Quantum Chem. 2013, 113, 2110–2142. [Google Scholar] [CrossRef]
- Molecular Operating Environment (MOE), 2019.01; Chemical Computing Group: Montreal, QC, Canada, 2019.






![]() | |||
|---|---|---|---|
| Compound | R1 | R2 | hH3R Ki [nM] x¯ [CI 95%] |
| 4 QD11 | ![]() | H | 3653 [2024, 6594] |
| 5 QD15 | ![]() | Cl | 1257 [599, 2638] |
| 6 QD4 | ![]() | F | 1100 [535, 2263] |
| 7 QD14 | ![]() | H | 1334 [274, 6505] |
| 8 QD19 | ![]() | Cl | >1000 |
| 9 QD8 | ![]() | F | 1669 [596, 4676] |
| 10 QD10 | ![]() | H | 633 [206, 1942] |
| 11 QD17 | ![]() | Cl | >1000 |
| 12 QD3 | ![]() | F | 1008 [618, 1646] |
| 13 QD12 | ![]() | H | >1000 |
| 14 QD20 | ![]() | Cl | 622 [211, 1832] |
| 15 QD6 | ![]() | F | 580 [177, 1902] |
| 16 QD13 | ![]() | H | 592 a [394, 889] |
| 17 QD18 | ![]() | Cl | 518 a [201, 1336] |
| 18 QD9 | ![]() | F | 715 [352, 1453] |
| Compound | DPPH Assay (λ = 517 nm) | FRAP Assay (λ = 593 nm) |
|---|---|---|
| Absorbance Decrease in 10−4 mol/L Concentration [%] Mean ± SEM | Absorbance Increase in 10−4 mol/L Concentration [%] Mean ± SEM | |
| Ascorbic acid | 20.52 ± 0.51 | 344.20 ± 4.65 |
| 6 | 8.82 ± 0.12 | 0.79 ± 0.39 |
| 7 | 6.23 ± 0.53 | 1.43 ± 0.32 |
| 8 | 6.79 ± 0.51 | 0.48 ± 0.48 |
| 9 | 7.70 ± 0.41 | 1.75 ± 0.22 |
| 10 | 2.44 ± 0.97 | 3.66 ± 0.59 |
| 11 | 3.33 ± 0.45 | 3.34 ± 0.22 |
| 12 | 4.42 ± 0.33 | 2.70 ± 1.15 |
| 14 | 6.31 ± 1.14 | 0.22 ± 0.16 |
| 16 | 12.37 ± 1.31 | 32.91 ± 0.81 |
| 17 | 4.88 ± 0.18 | 40.86 ± 0.98 |
| 18 | 6.35 ± 0.55 | 29.73 ± 0.39 |
Publisher’s Note: MDPI stays neutral with regard to jurisdictional claims in published maps and institutional affiliations. |
© 2021 by the authors. Licensee MDPI, Basel, Switzerland. This article is an open access article distributed under the terms and conditions of the Creative Commons Attribution (CC BY) license (https://creativecommons.org/licenses/by/4.0/).
Share and Cite
Kuder, K.J.; Kotańska, M.; Szczepańska, K.; Mika, K.; Reiner-Link, D.; Stark, H.; Kieć-Kononowicz, K. Discovery of Potential, Dual-Active Histamine H3 Receptor Ligands with Combined Antioxidant Properties. Molecules 2021, 26, 2300. https://doi.org/10.3390/molecules26082300
Kuder KJ, Kotańska M, Szczepańska K, Mika K, Reiner-Link D, Stark H, Kieć-Kononowicz K. Discovery of Potential, Dual-Active Histamine H3 Receptor Ligands with Combined Antioxidant Properties. Molecules. 2021; 26(8):2300. https://doi.org/10.3390/molecules26082300
Chicago/Turabian StyleKuder, Kamil J., Magdalena Kotańska, Katarzyna Szczepańska, Kamil Mika, David Reiner-Link, Holger Stark, and Katarzyna Kieć-Kononowicz. 2021. "Discovery of Potential, Dual-Active Histamine H3 Receptor Ligands with Combined Antioxidant Properties" Molecules 26, no. 8: 2300. https://doi.org/10.3390/molecules26082300
APA StyleKuder, K. J., Kotańska, M., Szczepańska, K., Mika, K., Reiner-Link, D., Stark, H., & Kieć-Kononowicz, K. (2021). Discovery of Potential, Dual-Active Histamine H3 Receptor Ligands with Combined Antioxidant Properties. Molecules, 26(8), 2300. https://doi.org/10.3390/molecules26082300

















