Unprecedented Coordination-Induced Bright Red Emission from Group 12 Metal-Bound Triarylazoimidazoles
Abstract
1. Introduction
2. Results and Discussion
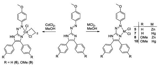
2.1. Synthesis and Structural Characterization
2.2. Absorption and Emission Profiles
2.3. Cytotoxicity Evaluation
3. Conclusions
4. Materials and Methods
Supplementary Materials
Author Contributions
Funding
Institutional Review Board Statement
Informed Consent Statement
Acknowledgments
Conflicts of Interest
Sample Availability
References
- Xu, H.; Chen, R.; Sun, Q.; Lai, W.; Su, Q.; Huang, W.; Liu, X. Recent progress in metal–organic complexes for optoelectronic applications. Chem. Soc. Rev. 2014, 43, 3259–3302. [Google Scholar] [CrossRef] [PubMed]
- Yersin, H.; Rausch, A.F.; Czerwieniec, R.; Hofbeck, T.; Fischer, T. The triplet state of organo-transition metal compounds. Triplet harvesting and singlet harvesting for efficient OLEDs. Coord. Chem. Rev. 2011, 255, 2622–2652. [Google Scholar] [CrossRef]
- Zhou, G.; Wong, W.-Y.; Poon, S.-Y.; Ye, C.; Lin, Z. Symmetric Versus Unsymmetric Platinum(II) Bis(aryleneethynylene)s with Distinct Electronic Structures for Optical Power Limiting/Optical Transparency Trade-off Optimization. Adv. Funct. Mater. 2009, 19, 531–544. [Google Scholar] [CrossRef]
- Dai, F.-R.; Zhan, H.-M.; Liu, Q.; Fu, Y.-Y.; Li, J.-H.; Wang, Q.-W.; Xie, Z.; Wang, L.; Yan, F.; Wong, W.-Y. Platinum(II)–Bis(aryleneethynylene) Complexes for Solution-Processible Molecular Bulk Heterojunction Solar Cells. Chem. A Eur. J. 2012, 18, 1502–1511. [Google Scholar] [CrossRef] [PubMed]
- Zhao, Q.; Li, F.; Huang, C. Phosphorescent chemosensors based on heavy-metal complexes. Chem. Soc. Rev. 2010, 39, 3007–3030. [Google Scholar] [CrossRef]
- Liu, Z.; He, W.; Guo, Z. Metal coordination in photoluminescent sensing. Chem. Soc. Rev. 2013, 42, 1568–1600. [Google Scholar] [CrossRef] [PubMed]
- Loudet, A.; Burgess, K. BODIPY dyes and their derivatives: Syntheses and spectroscopic properties. Chem. Rev. 2007, 107, 4891–4932. [Google Scholar] [CrossRef]
- Monro, S.; Colón, K.L.; Yin, H.; Roque, J.; Konda, P.; Gujar, S.; Thummel, R.P.; Lilge, L.; Cameron, C.G.; McFarland, S.A. Transition Metal Complexes and Photodynamic Therapy from a Tumor-Centered Approach: Challenges, Opportunities, and Highlights from the Development of TLD1433. Chem. Rev. 2019, 119, 797–828. [Google Scholar] [CrossRef]
- Prier, C.K.; Rankic, D.A.; MacMillan, D.W.C. Visible Light Photoredox Catalysis with Transition Metal Complexes: Applications in Organic Synthesis. Chem. Rev. 2013, 113, 5322–5363. [Google Scholar] [CrossRef]
- Xuan, J.; Xiao, W.-J. Visible-Light Photoredox Catalysis. Angew. Chemie Int. Ed. 2012, 51, 6828–6838. [Google Scholar] [CrossRef]
- Zhang, Y.; Lee, T.S.; Favale, J.M.; Leary, D.C.; Petersen, J.L.; Scholes, G.D.; Castellano, F.N.; Milsmann, C. Delayed fluorescence from a zirconium(iv) photosensitizer with ligand-to-metal charge-transfer excited states. Nat. Chem. 2020, 12, 345–352. [Google Scholar] [CrossRef]
- Sarker, K.K.; Chand, B.G.; Suwa, K.; Cheng, J.; Lu, T.H.; Otsuki, J.; Sinha, C. Structural studies and photochromism of mercury(II)-iodo complexes of (arylazo)imidazoles. Inorg. Chem. 2007, 46, 670–680. [Google Scholar] [CrossRef]
- Sarker, K.K.; Sardar, D.; Suwa, K.; Otsuki, J.; Sinha, C. Cadmium(II) complexes of (Arylazo)imidazoles: Synthesis, structure, photochromism, and density functional theory calculation. Inorg. Chem. 2007, 46, 8291–8301. [Google Scholar] [CrossRef] [PubMed]
- Schütt, C.; Heitmann, G.; Wendler, T.; Krahwinkel, B.; Herges, R. Design and synthesis of photodissociable ligands based on azoimidazoles for light-driven coordination-induced spin state switching in homogeneous solution. J. Org. Chem. 2016, 81, 1206–1215. [Google Scholar] [CrossRef]
- Das, D.; Nayak, M.K.; Sinha, C. Chemistry of azoimidazoles. Synthesis, spectral characterization and redox studies of N(1)-benzyl-2-(arylazo)imidazolepalladium(II)chloride. Transit. Met. Chem. 1997, 22, 172–175. [Google Scholar] [CrossRef]
- Misra, T.K.; Das, D.; Sinha, C. Chemistry of azoimidazoles: Synthesis, spectral characterization and redox properties of bis(N(1)-alkyl-2-(arylazo)imidazole) copper(I) and silver(I) complexes. Polyhedron 1997, 16, 4163–4170. [Google Scholar] [CrossRef]
- Tskhovrebov, A.G.; Naested, L.C.E.; Solari, E.; Scopelliti, R.; Severin, K. Synthesis of azoimidazolium dyes with nitrous oxide. Angew. Chem. Int. Ed. 2015, 54, 1289–1292. [Google Scholar] [CrossRef]
- Eymann, L.Y.M.; Tskhovrebov, A.G.; Sienkiewicz, A.; Bila, J.L.; Živković, I.; Rønnow, H.M.; Wodrich, M.D.; Vannay, L.; Corminboeuf, C.; Pattison, P.; et al. Neutral Aminyl Radicals Derived from Azoimidazolium Dyes. J. Am. Chem. Soc. 2016, 138, 15126–15129. [Google Scholar] [CrossRef]
- Liu, Y.; Varava, P.; Fabrizio, A.; Eymann, L.Y.M.; Tskhovrebov, A.G.; Planes, O.M.; Solari, E.; Fadaei-Tirani, F.; Scopelliti, R.; Sienkiewicz, A.; et al. Synthesis of aminyl biradicals by base-induced Csp3–Csp3 coupling of cationic azo dyes. Chem. Sci. 2019, 10, 5719–5724. [Google Scholar] [CrossRef]
- Otsuki, J.; Suwa, K.; Sarker, K.K.; Sinha, C. Photoisomerization and thermal isomerization of arylazoimidazoles. J. Phys. Chem. A 2007, 111, 1403–1409. [Google Scholar] [CrossRef]
- Crespi, S.; Simeth, N.A.; König, B. Heteroaryl azo dyes as molecular photoswitches. Nat. Rev. Chem. 2019, 3, 133–146. [Google Scholar] [CrossRef]
- Presa, A.; Brissos, R.F.; Caballero, A.B.; Borilovic, I.; Korrodi-Gregório, L.; Pérez-Tomás, R.; Roubeau, O.; Gamez, P. Photoswitching the Cytotoxic Properties of Platinum(II) Compounds. Angew. Chem. Int. Ed. 2015, 54, 4561–4565. [Google Scholar] [CrossRef] [PubMed]
- Tskhovrebov, A.G.; Vasileva, A.A.; Goddard, R.; Riedel, T.; Dyson, P.J.; Mikhaylov, V.N.; Serebryanskaya, T.V.; Sorokoumov, V.N.; Haukka, M. Palladium(II)-Stabilized Pyridine-2-Diazotates: Synthesis, Structural Characterization, and Cytotoxicity Studies. Inorg. Chem. 2018, 57, 930–934. [Google Scholar] [CrossRef]
- Hammam, A.M.; Rageh, N.M.; Ibrahim, S.A. Solvatochromic studies on 2-[(2-hydroxypheny)azo]-4-5-diphenylimidazole. Dye Pigment. 1997, 35, 289–296. [Google Scholar] [CrossRef]
- Mahmoud, M.R.; Hammam, A.M.; El-Gyar, S.A.; Ibrahim, S.A. Coordination compounds of heterocyclic azo derivatives. III. Co(II), Ni(II) and Cu(II) complexes of some arylazo-4,5-diphenylimidazole derivatives. Mon. Chem. Chem. Mon. 1986, 117, 313–325. [Google Scholar] [CrossRef]
- Teranishi, H.; Takagawa, K.; Arai, Y.; Wakaki, K.; Sumi, Y.; Takaya, K. Histological Staining of Cadmium with 2-(8-quinolylazo)-4,5-diphenylimidazole (QAI) in the Kidneys of Rats Periorally Exposed to Cadmium. J. Occup. Health 2002, 44, 60–62. [Google Scholar] [CrossRef]
- Shabaa, G.J. Cloud point extraction for separation, preconcentration and determination zinc (Ii) in different pharmaceutical samples. Int. J. Res. Pharm. Sci. 2019, 10, 3006–3012. [Google Scholar] [CrossRef]
- Tskhovrebov, A.G.; Novikov, A.S.; Odintsova, O.V.; Mikhaylov, V.N.; Sorokoumov, V.N.; Serebryanskaya, T.V.; Starova, G.L. Supramolecular polymers derived from the PtII and PdII schiff base complexes via C(sp2)–H … Hal hydrogen bonding: Combined experimental and theoretical study. J. Organomet. Chem. 2019, 886, 71–75. [Google Scholar] [CrossRef]
- Repina, O.V.; Novikov, A.S.; Khoroshilova, O.V.; Kritchenkov, A.S.; Vasin, A.A.; Tskhovrebov, A.G. Lasagna-like supramolecular polymers derived from the PdII osazone complexes via C(sp2)–H⋯Hal hydrogen bonding. Inorganica Chim. Acta 2020, 502, 119378. [Google Scholar] [CrossRef]
- Mikhaylov, V.N.; Sorokoumov, V.N.; Novikov, A.S.; Melnik, M.V.; Tskhovrebov, A.G.; Balova, I.A. Intramolecular hydrogen bonding stabilizes trans-configuration in a mixed carbene/isocyanide PdII complexes. J. Organomet. Chem. 2020, 912, 121174. [Google Scholar] [CrossRef]
- Mikhaylov, V.N.; Sorokoumov, V.N.; Liakhov, D.M.; Tskhovrebov, A.G.; Balova, I.A. Polystyrene-supported acyclic diaminocarbene palladium complexes in Sonogashira cross-coupling: Stability vs. catalytic activity. Catalysts 2018, 8, 141. [Google Scholar] [CrossRef]
- Sheldrick, G.M. SHELXT - Integrated space-group and crystal-structure determination. Acta Crystallogr. Sect. A Found. Crystallogr. 2015, 71, 3–8. [Google Scholar] [CrossRef] [PubMed]
- Sheldrick, G.M. Crystal structure refinement with SHELXL. Acta Crystallogr. Sect. C Struct. Chem. 2015, 71, 3–8. [Google Scholar] [CrossRef] [PubMed]
- Dolomanov, O.V.; Bourhis, L.J.; Gildea, R.J.; Howard, J.A.K.; Puschmann, H. OLEX2: A complete structure solution, refinement and analysis program. J. Appl. Crystallogr. 2009, 42, 339–341. [Google Scholar] [CrossRef]
- Tskhovrebov, A.G.; Solari, E.; Scopelliti, R.; Severin, K. Reactions of grignard reagents with nitrous oxide. Organometallics 2014, 33, 2405–2408. [Google Scholar] [CrossRef]
- Nenajdenko, V.G.; Shikhaliyev, N.G.; Maharramov, A.M.; Bagirova, K.N.; Suleymanova, G.T.; Novikov, A.S.; Khrustalev, V.N.; Tskhovrebov, A.G. Halogenated Diazabutadiene Dyes: Synthesis, Structures, Supramolecular Features, and Theoretical Studies. Molecules 2020, 25, 5013. [Google Scholar] [CrossRef] [PubMed]
- Tskhovrebov, A.G.; Lingnau, J.B.; Fürstner, A. Gold Difluorocarbenoid Complexes: Spectroscopic and Chemical Profiling. Angew. Chem. Int. Ed. 2019, 58, 8834–8838. [Google Scholar] [CrossRef]
- Tskhovrebov, A.G.; Goddard, R.; Fürstner, A. Two Amphoteric Silver Carbene Clusters. Angew. Chem. Int. Ed. 2018, 57, 8089–8094. [Google Scholar] [CrossRef]







| 5·CH3OH | 8·CH3OH | 7·CH3OH | 10·CH3OH | 9·2CH3OH | |
|---|---|---|---|---|---|
| M | ZnII | ZnII | HgII | HgII | CdII |
| M–Cl | 2.1929(8)–2.2300(8) | 2.1852(4)–2.2401(4) | 2.337(1)–2.493(1) | 2.366(2)–2.477(2) | 2.441(2)–2.629(1) |
| M–N1Im | 2.023(2) | 2.023(1) | 2.189(3) | 2.224(5) | 2.252(3) |
| M–N4azo | 2.151(2) | 2.147(1) | 2.536(3) | 2.501(6) | 2.551(3) |
| N1Im–M–N4azo | 78.2(1) | 77.83(5) | 68.0(1) | 69.9(2) | 68.5(1) |
| Cl–M–Cl | 117.43(3) | 119.09(2) | 111.51(4) | 114.22(7) | 89.05(5)–121.45(5) |
| Cl1–M–N | 113.0(1)–122.0(1) | 116.24(3)–118.09(4) | 99.91(9)–105.8(1) | 113.2(2)–136.2(2) | 97.8(1)–118.6(1) |
| Cl2–M–N | 108.82(6)–110.36(7) | 106.57(4)–111.49(4) | 122.6(1)–137.5(1) | 104.9(2)–106.1(2) | 85.43(8)–116.7(1) |
| N1–C | 1.371(3) | 1.371(2) | 1.365(5) | 1.368(8) | 1.366(5) |
| N1=C | 1.339(3) | 1.335(1) | 1.325(5) | 1.335(9) | 1.330(5) |
| C–N(H) | 1.341(3) | 1.346(2) | 1.349(5) | 1.344(8) | 1.338(5) |
| (Ar)C–N1azo | 1.388(3) | 1.381(2) | 1.391(5) | 1.394(8) | 1.387(4) |
| N(H)–C(Ar) | 1.372(3) | 1.378(2) | 1.375(5) | 1.381(8) | 1.372(4) |
| (Ar)C=C(Ar) | 1.396(4) | 1.405(2) | 1.392(5) | 1.398(9) | 1.386(5) |
| N=N | 1.286(3) | 1.287(2) | 1.270(5) | 1.276(7) | 1.273(4) |
| Ar–C | 1.473(4)–1.478(4) | 1.461(2)–1.476(2) | 1.464(4)–1.482(5) | 1.459(8)–1.475(9) | 1.465(5)–1.513(5) |
| Ar–Nazo | 1.404(3) | 1.398(2) | 1.400(5) | 1.398(8) | 1.406(4) |
| HCT116 | MCF7 | A549 | WI38 | |
|---|---|---|---|---|
| 3 | 38.8 ± 0.4 | 27.3 ± 1.5 | 33.5 ± 5.3 | >100 |
| 5 | >100 | >100 | >100 | >100 |
| 5 | >100 | >100 | >100 | >100 |
| 6 | >100 | 42.8 ± 0.1 | 17.1 ± 3.5 | 53.5 ± 2.0 |
| 7 | 10.4 ± 2.4 | 14.2 ± 2.5 | 30.0 ± 3.3 | 6.4 ± 1.3 |
| Cisplatin | 12.3 ± 1.7 | 12.5 ± 1.2 | 8.8 ± 0.9 | 3.0 ± 0.7 |
Publisher’s Note: MDPI stays neutral with regard to jurisdictional claims in published maps and institutional affiliations. |
© 2021 by the authors. Licensee MDPI, Basel, Switzerland. This article is an open access article distributed under the terms and conditions of the Creative Commons Attribution (CC BY) license (http://creativecommons.org/licenses/by/4.0/).
Share and Cite
Astafiev, A.A.; Repina, O.V.; Tupertsev, B.S.; Nazarov, A.A.; Gonchar, M.R.; Vologzhanina, A.V.; Nenajdenko, V.G.; Kritchenkov, A.S.; Khrustalev, V.N.; Nadtochenko, V.N.; et al. Unprecedented Coordination-Induced Bright Red Emission from Group 12 Metal-Bound Triarylazoimidazoles. Molecules 2021, 26, 1739. https://doi.org/10.3390/molecules26061739
Astafiev AA, Repina OV, Tupertsev BS, Nazarov AA, Gonchar MR, Vologzhanina AV, Nenajdenko VG, Kritchenkov AS, Khrustalev VN, Nadtochenko VN, et al. Unprecedented Coordination-Induced Bright Red Emission from Group 12 Metal-Bound Triarylazoimidazoles. Molecules. 2021; 26(6):1739. https://doi.org/10.3390/molecules26061739
Chicago/Turabian StyleAstafiev, Artyom A., Olga V. Repina, Boris S. Tupertsev, Alexey A. Nazarov, Maria R. Gonchar, Anna V. Vologzhanina, Valentine G. Nenajdenko, Andreii S. Kritchenkov, Victor N. Khrustalev, Victor N. Nadtochenko, and et al. 2021. "Unprecedented Coordination-Induced Bright Red Emission from Group 12 Metal-Bound Triarylazoimidazoles" Molecules 26, no. 6: 1739. https://doi.org/10.3390/molecules26061739
APA StyleAstafiev, A. A., Repina, O. V., Tupertsev, B. S., Nazarov, A. A., Gonchar, M. R., Vologzhanina, A. V., Nenajdenko, V. G., Kritchenkov, A. S., Khrustalev, V. N., Nadtochenko, V. N., & Tskhovrebov, A. G. (2021). Unprecedented Coordination-Induced Bright Red Emission from Group 12 Metal-Bound Triarylazoimidazoles. Molecules, 26(6), 1739. https://doi.org/10.3390/molecules26061739

