Insight into the Reaction of Alexidine with Sodium Hypochlorite: A Potential Error in Endodontic Treatment
Abstract
1. Introduction
2. Results
2.1. Mixture of CHX and NaOCl
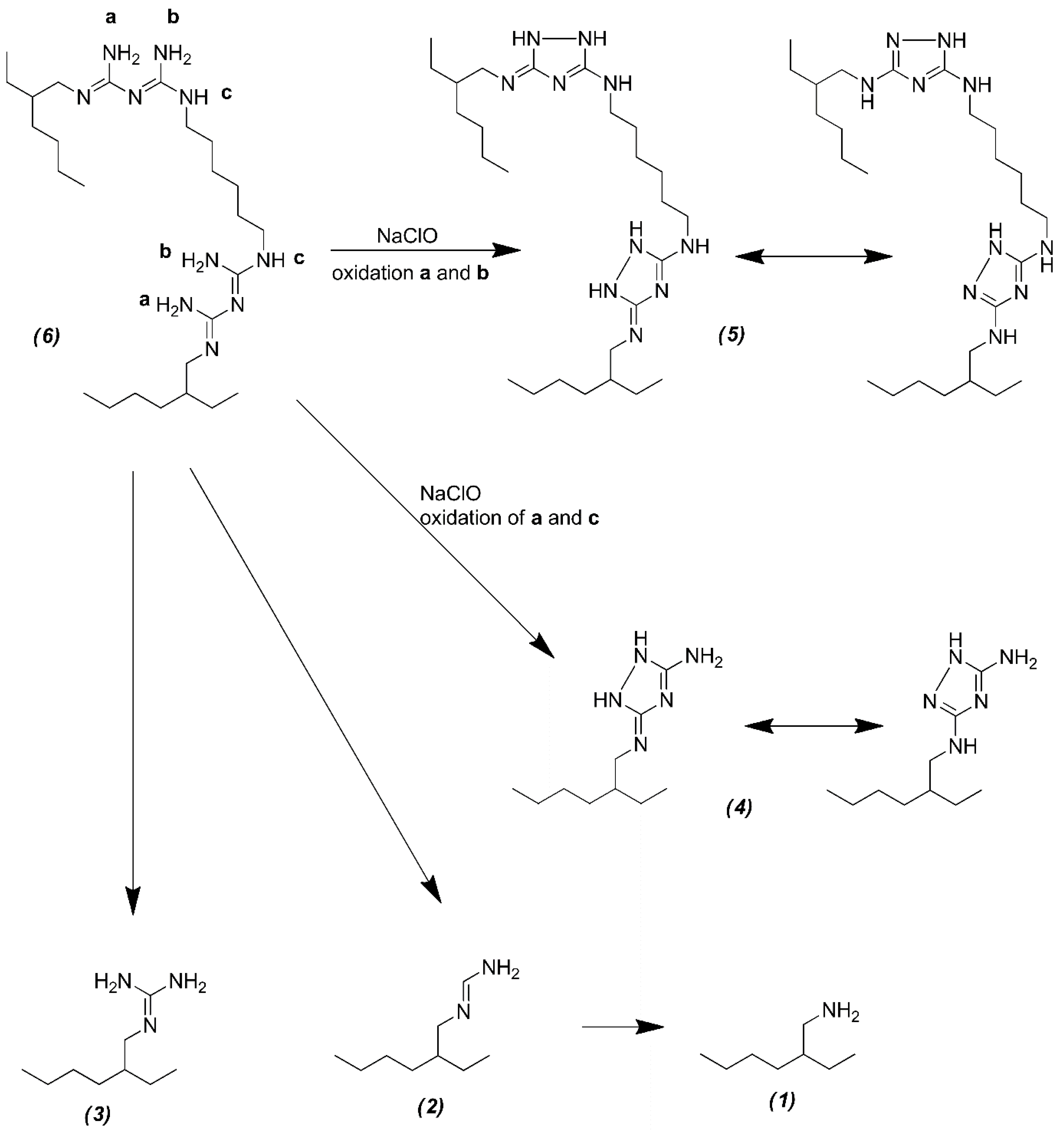
2.2. Mixture of ALX and NaOCl
3. Discussion
4. Materials and Methods
4.1. Materials
4.2. Preparing of Stock and Standard Solutions
4.3. Sample Preparation Procedure
4.4. UHPLC-MS Analysis
5. Conclusions
Supplementary Materials
Author Contributions
Funding
Data Availability Statement
Conflicts of Interest
Sample Availability
References
- Kakehashi, S.; Stanley, H.R.; Fitzgerald, R.J. The effects of surgical exposures of dental pulps in germ-free and conventional laboratory rats. Oral Surg. 1965, 20, 340–349. [Google Scholar] [CrossRef]
- Chugal, N.M.; Clive, J.M.; Spangberg, L.S. A prognostic model for assessment of the outcome of endodontic treatment: Effect of biologic and diagnostic variables. Oral Surg. Oral Med. Oral Pathol. 2001, 91, 342–352. [Google Scholar] [CrossRef]
- Byström, A.; Sundqvist, G. The antibacterial action of sodium hypochlorite and EDTA in 60 cases of endodontic therapy. Int. Endod. J. 1985, 18, 35–40. [Google Scholar] [CrossRef]
- Kuruvilla, J.P.; Kamath, P. Antimicrobial activity of 2.5% sodium hypochlorite and 0.2% chlorhexidine gluconate separately and combined endodontic irrigants. J. Endod. 1998, 24, 472–476. [Google Scholar] [CrossRef]
- Russell, A.D.; Day, M.J. Antibacterial activity of chlorhexidine. J. Hosp. Infect. 1993, 25, 229–238. [Google Scholar] [CrossRef]
- Komorowski, R.; Grad, H.; Wu, X.Y.; Friedman, S. Antimicrobial substantivity of chlorhexidine-treated bovine root dentin. J. Endod. 2000, 26, 315–317. [Google Scholar] [CrossRef] [PubMed]
- Rosenthal, S.; Spangberg, L.; Safavi, K. Chlorhexidine substantivity in root canal dentin. Oral Surg. Oral Med. Oral Pathol. Oral Radiol. Endod. 2004, 98, 488–492. [Google Scholar] [CrossRef] [PubMed]
- Zehnder, M. Root canal irrigants. J. Endod. 2006, 32, 389–398. [Google Scholar] [CrossRef]
- Berutti, E.; Marini, R.; Angeretti, A. Penetration ability of different irrigants into dentinal tubules. J. Endod. 1997, 23, 725–727. [Google Scholar] [CrossRef]
- Basrani, B.R.; Manek, S.; Sodhi, R.N.; Fillery, E.; Manzur, A. Interaction between sodium hypochlorite and chlorhexidine gluconate. J. Endod. 2007, 8, 966–969. [Google Scholar] [CrossRef]
- Basrani, B.R.; Manek, S.; Mathers, D.; Fillery, E.; Sodhi, R.N. Determination of 4-chloroaniline and its derivatives formed in the interaction of sodium hypochlorite and chlorhexidine by using gas chromatography. J. Endod. 2010, 36, 312–314. [Google Scholar] [CrossRef]
- Thomas, J.; Sem, D. An in vitro spectroscopic analysis to determine whether para-chloroaniline is produced from mixing sodium hypochlorite and chlorhexidine. J. Endod. 2010, 36, 315–317. [Google Scholar] [CrossRef]
- Akisue, E.; Tomita, V.S.; Gavini, G.; de Figueiredo, J.A. Effect of the Combination of Sodium Hypochlorite and Chlorhexidine on Dentinal Permeability and Scanning Electron Microscopy Precipitate Observation. J. Endod. 2010, 36, 847–850. [Google Scholar] [CrossRef]
- Souza, M.; Cecchin, D.; Barbizam, J.V.; Almeida, J.F.; Zaia, A.A.; Gomes, B.P.; Ferraz, C.C. Evaluation of the colour change in enamel and dentine promoted by the interaction between 2% chlorhexidine and auxiliary chemical solutions. Aust. Endod. J. 2013, 39, 107–111. [Google Scholar] [CrossRef]
- Roberts, W.R.; Addy, M. Comparison of the bisbiguanide antiseptics alexidine and chlorhexidine: I. Effect on plaque accumulation and salivary bacteria. J. Clin. Periodontol. 1981, 8, 213–219. [Google Scholar] [CrossRef] [PubMed]
- Zorko, M.; Jerala, R. Alexidine and chlorhexidine bind to lipopolysaccharide and lipoteichoic acid and prevent cell activation by antibiotics. J. Antimicrob. Chemother. 2008, 62, 730–737. [Google Scholar] [CrossRef] [PubMed]
- Kim, H.S.; Chang, S.W.; Baek, S.H.; Han, S.H.; Lee, Y.; Zhu, Q.; Kum, K.Y. Antimicrobal effect of alexidine and chlorhexidine against Enterococcus foecalis infection. Int. J. Oral Sci. 2013, 5, 26–31. [Google Scholar] [CrossRef]
- Barrios, R.; Ferrer-Luque, C.M.; Arias-Moliz, M.T.; Ruiz-Linares, M.; Bravo, M.; Baca, P. Antimicrobial substantivity of alexidine and chlorhexidine in dentin. J. Endod. 2013, 39, 1413–1415. [Google Scholar] [CrossRef] [PubMed]
- Kim, H.-S.; Zhu, Q.; Baek, S.-H.; Jung, I.-Y.; Son, W.-J.; Chang, S.-W.; Lee, W.; Gu, Y.; Lee, Y.; Hong, S.-T.; et al. Chemical interaction of alexidine and sodium hypochlorite. J. Endod. 2012, 38, 112–116. [Google Scholar] [CrossRef] [PubMed]
- Nowicki, J.B.; Sem, D.S. An in vivo spectroscopic analysis to determine the chemical composition of the precipitate formed by mixing sodium hypochlorite and chlorhexidine. J. Endod. 2011, 37, 983–988. [Google Scholar] [CrossRef] [PubMed]
- Lüttringhaus, A.; Jander, J.; Schneider, R. Cyclische Hydrazine aus α,ω-Diaminen. Chem. Ber. 1959, 92, 1756–1765. [Google Scholar] [CrossRef]
- Boehncke, A.; Kielhorn, J.; Konnecker, G.; Pohlenz-Michel, C.; Mangelsdorf, I. 4-Chloroaniline (CICADS 37, 2002); World Health Organization: Geneva, Switzerland, 2003. [Google Scholar]
- Dial, L.D.; Anestis, D.K.; Kennedy, S.R.; Rankin, G.O. Tissue distribution, subcellular localization and covalent binding of 2-chloroaniline and 4-chloroaniline in Fischer 344 rats. Toxicology 1998, 131, 109–119. [Google Scholar] [CrossRef]
- Jain, K.; Agarwal, P.; Jain, S.; Seal, M.; Adlakha, T. Alexidine versus chlorhexidine for endodontic irrigation with sodium hypochlorite. Eur. J. Dent. 2018, 12, 398–402. [Google Scholar] [CrossRef] [PubMed][Green Version]
- Wright, P.P.; Kahler, B.; Walsh, L.J. Alkaline Sodium Hypochlorite Irrigant and Its Chemical Interactions. Materials 2017, 10, 1147. [Google Scholar] [CrossRef]
- 2-Ethylhexylamine | C8H19N—PubChem (nih.gov). Available online: https://pubchem.ncbi.nlm.nih.gov/compound/2-Ethylhexylamine (accessed on 22 January 2021).
- Greim, H.; Bury, D.; Klimisch, H.J.; Oeben-Negele, M.; Ziegler-Skylakakis, K. Toxicity of aliphatic amines: Structure-activity relationship. Chemosphere 1998, 36, 271–295. [Google Scholar] [CrossRef]
- Hawkins, C.L.; Pattison, D.I.; Davies, M.J. Hypochlorite-induced oxidation of amino acids, peptides and proteins. Amino Acids 2003, 25, 259–274. [Google Scholar] [CrossRef] [PubMed]




| No. | Formula | Predicted Structure | Name | Characteristic Ion m/z | Retention Time (min) |
|---|---|---|---|---|---|
| 1 | C8H19N | ![]() | 2-ethylhexylamine | 130.1578 [M + H]+ | 0.57 |
| 2a | C9H20N2 | ![]() | N-(2-ethylhexyl)methanimidamide | 157.1694 [M + H]+ | 0.59 |
| 2b | ![]() | N’-(2-ethylhexyl)methanimidamide | |||
| 3a | C9H21N3 | ![]() | N-(2-ethylhexyl)guanidine | 172.1800 [M + H]+ | 0.61 |
| 3b | ![]() | N’’-(2-ethylhexyl)guanidine | |||
| 4 | C10H21N5 * | ![]() | N-(diaminomethylidene)-N’’-(2-ethylhexyl)guanidine | 212.1861 [M + H]+ | 0.96 |
| 5 | C26H52N10 * | ALX-4H | - | 253.2274 [M + 2H]2+ | 1.14 |
| 6 | C26H56N10 | ** | alexidine (ALX) | 255.2417 [M + 2H]2+ | 1.09 |
| R | C8H17 | ![]() | 2-ethylhexyl- | 113.1330 [M] | - |
Publisher’s Note: MDPI stays neutral with regard to jurisdictional claims in published maps and institutional affiliations. |
© 2021 by the authors. Licensee MDPI, Basel, Switzerland. This article is an open access article distributed under the terms and conditions of the Creative Commons Attribution (CC BY) license (http://creativecommons.org/licenses/by/4.0/).
Share and Cite
Czopik, B.; Ciechomska, M.; Zarzecka, J.; Góra, M.; Woźniakiewicz, M. Insight into the Reaction of Alexidine with Sodium Hypochlorite: A Potential Error in Endodontic Treatment. Molecules 2021, 26, 1623. https://doi.org/10.3390/molecules26061623
Czopik B, Ciechomska M, Zarzecka J, Góra M, Woźniakiewicz M. Insight into the Reaction of Alexidine with Sodium Hypochlorite: A Potential Error in Endodontic Treatment. Molecules. 2021; 26(6):1623. https://doi.org/10.3390/molecules26061623
Chicago/Turabian StyleCzopik, Barbara, Monika Ciechomska, Joanna Zarzecka, Maciej Góra, and Michał Woźniakiewicz. 2021. "Insight into the Reaction of Alexidine with Sodium Hypochlorite: A Potential Error in Endodontic Treatment" Molecules 26, no. 6: 1623. https://doi.org/10.3390/molecules26061623
APA StyleCzopik, B., Ciechomska, M., Zarzecka, J., Góra, M., & Woźniakiewicz, M. (2021). Insight into the Reaction of Alexidine with Sodium Hypochlorite: A Potential Error in Endodontic Treatment. Molecules, 26(6), 1623. https://doi.org/10.3390/molecules26061623








