Next Article in Journal
The Effect of Hispidulin, a Flavonoid from Salvia plebeia, on Human Nasopharyngeal Carcinoma CNE-2Z Cell Proliferation, Migration, Invasion, and Apoptosis
Next Article in Special Issue
Unexpectedly Long Lifetime of the Excited State of Benzothiadiazole Derivative and Its Adducts with Lewis Acids
Previous Article in Journal
In Vivo Biological Behavior of Polymer Scaffolds of Natural Origin in the Bone Repair Process
Previous Article in Special Issue
Substituted 2-Phenacylbenzoxazole Difluoroboranes: Synthesis, Structure and Properties
 
 
Font Type:
Arial Georgia Verdana
Font Size:
Aa Aa Aa
Line Spacing:
Column Width:
Background:
Article

Polymer-Supported Synthesis of Various Pteridinones and Pyrimidodiazepinones

Department of Organic Chemistry, Faculty of Science, Palacký University, 17. listopadu 12, 771 46 Olomouc, Czech Republic
*
Author to whom correspondence should be addressed.
Molecules 2021, 26(6), 1603; https://doi.org/10.3390/molecules26061603
Submission received: 3 March 2021 / Revised: 12 March 2021 / Accepted: 12 March 2021 / Published: 14 March 2021
(This article belongs to the Special Issue Synthetic Heterocyclic Chemistry)

Abstract

In this report, we employed the solid-phase synthetic approach to prepare variously substituted dihydropteridinones, tetrahydropyrrolopteridinones, and pyrimidodiazepinones, using a versatile building block-4,6-dichloro-5-nitropyrimidine. All these compounds are pharmacologically significant scaffolds of the great importance of medicinal chemists. The fast and efficient synthetic methodology is highly desirable for defining their structure-activity relationship (SAR) and optimizing pharmacokinetic properties. Our research efforts utilize simple synthetic methods to generate a library of analogues for future SAR studies. The efficiency of our approach was exemplified in various pteridinones as well as pyrimidodiazepinones.

1. Introduction

Pteridinones and pyrimidodiazepinones represent an important group of heterocyclic compounds that have attracted enormous attention within medicinal research, especially in the last decade [1,2,3,4,5,6,7,8,9,10,11,12,13,14,15]. Many of them have been intensively studied as Polo-like kinases inhibitors (serine/threonine kinases playing a crucial role during mitosis, and their deregulation can be observed in many types of tumors) [2,3,4,5,7,8,10,11,12,15]. Of these compounds, dihydropteridinone BI-2536 [3,12,13,15] or pyrimidodiazepinone TAK-960 [16] (Figure 1) reached advanced clinical trials and have been taken into considerable attention due to their anticancer effects in any kind of tumors. Another example is 2-butoxy-7,8-dihydropteridin-6(5H)-one analogue GS9620 (Vesatolimod, Figure 1) discovered as Toll-like receptor agonists being currently under clinical evaluation for the treatment of HBV and HIV positive patients [17,18]. Interestingly, pyrrolopteridinone ATPA18 (Figure 1) was identified as a nontoxic, cell-permeable, and reversible inhibitor of the RNA interference pathway [14].
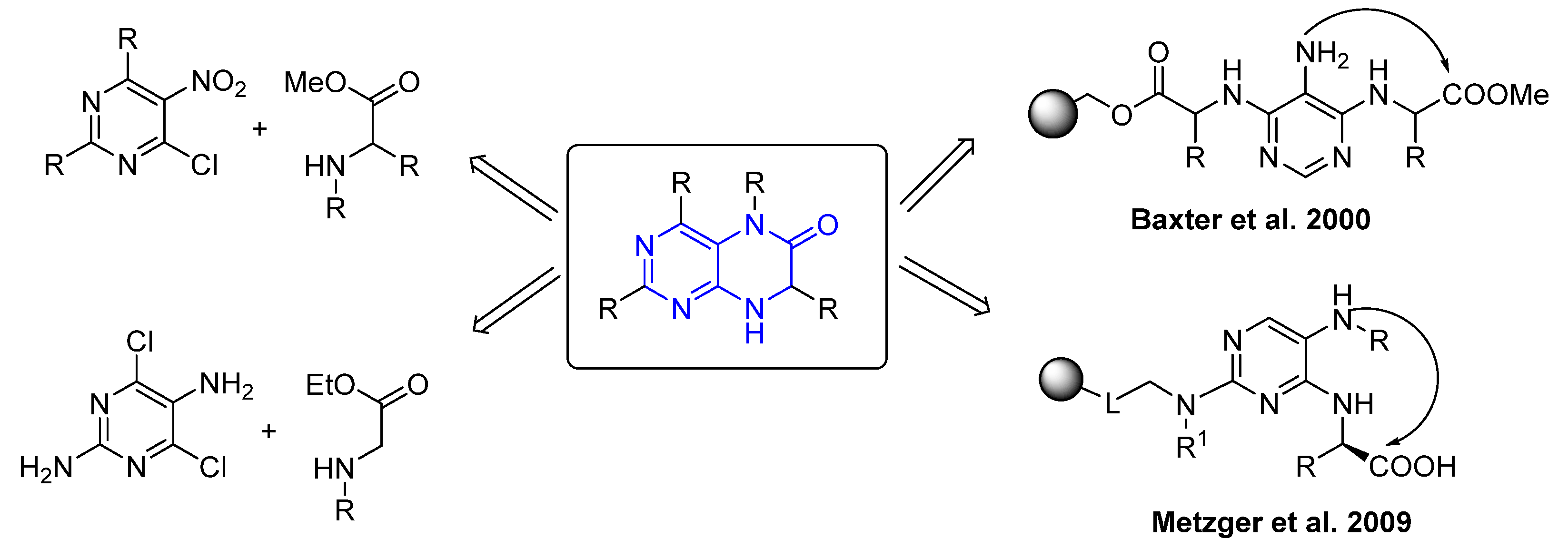
The literature described methodologies leading to the synthesis of 7,8-dihydropteridin-6(5H)-ones based on various synthetic approaches comprising either traditional solution-phase synthesis or solid-phase synthesis (Figure 2) [1,2,8,19,20,21,22,23]. The most convenient solution-phase synthesis of dihydropteridinone heterocycle consists of the cyclization of appropriately substituted pyrimidine with modified amino ester. The successful solid-phase synthesis of dihydropteridinones lies in preparing a suitable resin-bound intermediate that is cyclized and subsequently cleaved from the resin. In 2000, Baxter et al. published the first solid-phase synthesis of dihydropteridinones using Wang resin (Figure 3) [19]. This work was followed by Metzger et al., who used ArgoGel resin instead [21].
In contrast to dihydropteridinones, the number of synthetic strategies leading to fused pyrrolopteridinone or pyrimidodiazepinone is rather limited.
The abovementioned examples of biologically active compounds (Figure 1) demonstrate the extensive application of dihydropteridinone-based compounds in the field of medicinal chemistry. Dihydropteridinone offers a diverse range of modifications that may significantly contribute to comprehensive SAR studies. Given this fact, it is highly desirable to find an advantageous synthetic methodology to implement structural diversity from the readily available building blocks through minimum synthetic operations. For this reason, we selected the fast and straightforward solid-phase synthesis strategy leading to the generation of pteridinone and pyrimidodiazepinone libraries for future SAR studies utilizing one versatile building block (Figure 3).

2. Results and Discussion

Utilizing the versatile building block 4,6-dichloro-5-nitropyrimidine, we synthesized structurally three different types of compounds 13 from pyrimidine precursor 4 (Figure 3). To determine the scope and limitations of our synthetic pathway leading to cyclized products, we tested a combination of different amino acids R and primary and secondary amines of varying sizes. The synthesis was enabled by immobilization of amino acids via esters on a Wang resin in all cases.

2.1. Synthesis of Dihydropteridinones

Synthetic strategy leading to target dihydropteridinones 1 is depicted in Scheme 1. The solid-phase synthesis of intermediate 7 was performed according to our previous reports [24,25,26]. Briefly, the Wang resin was acylated with Fmoc protected Phe, Val, or Met. This reaction was followed by cleavage of the Fmoc-protecting group and nucleophilic reaction with 4,6-dichloro-5-nitropyrimidine giving intermediates 6. As we described earlier, these intermediates are not stable and were immediately reacted with an appropriate amine, affording resin-bound nitro derivatives 7.
Further, the nitro group of 7 was reduced using sodium dithionite under phase-transfer catalysis conditions in a DCM–water solution. Finally, TFA-mediated cleavage from the polymer supports triggered cyclization of the dihydropteridinone heterocycles 1. All products 1 were obtained in excellent crude purities (estimated from UV−vis spectra at 210–400 nm). However, overall yields were meagre, especially for methionine amino acid (below 20%). Subsequently, we found out that cyclization leading to dihydropteridinones 1 occurred spontaneously during the nitro group reduction and inadvertently cleaved desired products were wash out with washing solvents.
For this reason, we changed the strategy and cleaved intermediate 7 from the resin before the nitro group reduction. After simple evaporation of the cleavage cocktail, crude intermediates 9 were subjected to reducing nitro groups using Zn in acetic acid simultaneously, followed by immediate acid-catalyzed cyclization. Products 1 were obtained in excellent crude purities in most cases and overall yields 41–92% after column chromatography (Table 1).

2.2. Synthesis of Tetrahydropyrrolopteridinones

Similarly, as dihydropteridinones 1, a series of tetrahydropyrrolopteridinones 2 was prepared, as shown in Scheme 2. Briefly, nitro derivatives 12 were prepared from Wang resin acylated with Fmoc protected proline followed by deprotection, nucleophilic substitution with 4,6-dichloro-5-nitropyrimidine, further nucleophilic substitution with various amines, and subsequent cleavage from the resin. Zinc-mediated reduction of the nitro group in acetic acid for 3 h yielded desired pyrrolopteridinones 2 (Table 2). The willingness to cyclization is a bit lower compared to the higher mentioned dihydropteridinones 1. When a shorter reaction time was used, amino derivatives 13 were also observed.

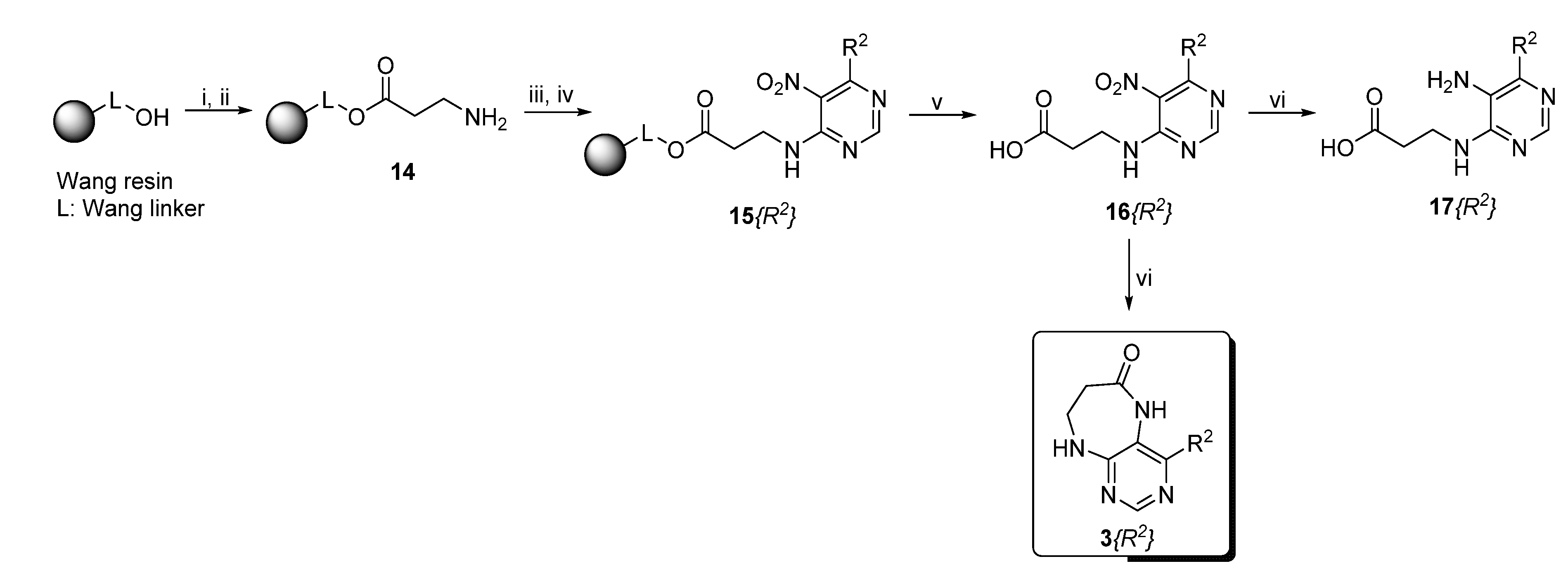
2.3. Synthesis of Pyrimidodiazepinones

Finally, we tested the scope and limitations of reported cyclization during the preparation of pyrimidodiazepinones 3 (Scheme 3). The required β-alanine intermediates 16 were synthesized in a similar way to previous dihydropteridinones. However, β-alanine substituent emerged unwilling to cyclize giving desired pyrimidodiazepinones 3. When the reduction with expected simultaneous cyclization was performed at room temperature for 3 h, as in the previous case of pyrrolopteridinones 3, only noncyclized amino derivatives 17 were observed. For this reason, a prolonged time of 16 h was applied; however, only traces of product 3a were apparent after this reaction time, as shown in Table 3.
Subsequently, we found out that heating to higher reaction temperature accelerated the conversion. When the reaction was carried out at 50 °C, cyclized products 3 were apparent beside noncyclized amines 17 (according to LC-MS traces at 205−400 nm). Finally, we found out that the cyclization could be achieved at 80 °C using at least 3 h reaction time. It is worth noticing that the willingness to cyclize depends on the type of modification R2 (Table 3). Products 3 were obtained in crude purities 49–69% and overall yields 38–55% after column chromatography (Table 4).

3. Materials and Methods

Solvents and chemicals were purchased from Sigma-Aldrich (St. Louis, MO, USA) or Fluorochem (Hadfield, UK). The polystyrene resins were purchased from Aapptec (Brossard, Canada). The synthesis was performed on Domino Blocks in disposable polypropylene reaction vessels obtained from Torviq (Niles, MI, USA). Analytical thin-layer chromatography (TLC) was performed using aluminum plates precoated with silica gel (silica gel 60 F254).
All reactions were carried out at room temperature (21 °C) unless stated otherwise. Resin slurry was washed with the appropriate solvent (10 mL per 1 g) by shaking for 1 min. All intermediates were characterized by the LC-MS analysis. For this purpose, a sample of the polymer-bound compound (~5 mg) was treated with 50% trifluoroacetic acid (TFA) in dichloromethane (DCM) for 30 min. Residual solvents were evaporated by a stream of nitrogen and residuum extracted into 1 mL of MeOH.
The LC-MS analyses were carried out on the UHPLC-MS system (Waters, Santa Clara, USA). This system consists of UHPLC chromatograph Acquity with photodiode array detector and single quadrupole mass spectrometer and uses a XSelect C18 column (2.1 × 50 mm) at 30 °C and flow rate of 600 μL/min. The mobile phase was (A) 10 mM ammonium acetate in HPLC grade water and (B) HPLC grade acetonitrile. A gradient was formed from 10% A to 80% of B in 2.5 min; kept for 1.5 min. The column was re-equilibrated with a 10% solution of B for 1 min. The ESI source operated at a discharge current of 5 μA, vaporizer temperature of 350 °C and capillary temperature of 200 °C.
NMR 1H/13C spectra were recorded on JEOL ECX-500SS (500 MHz, JEOL Ltd., Tokyo, Japan) or JEOL ECA400II (400 MHz, JEOL Ltd., Tokyo, Japan) spectrometer at magnetic field strengths of 11.75 T (with operating frequencies 500.16 MHz for 1H and 125.77 MHz for 13C) and 9.39 T (with operating frequencies 399.78 MHz for 1H and 100.53 MHz for 13C) at ambient temperature (∼21 °C). Chemical shifts (δ) are reported in parts per million (ppm), and coupling constants (J) are reported in Hertz (Hz). NMR spectra are recorded at room temperature (21°C) and referenced to the residual signals of DMSO-d6. All recorded 1H- and 13C-NMR spectra are available as Supplementary Materials online
HRMS analysis was performed on LC chromatograph (Dionex UltiMate 3000, Thermo Fischer Scientific, MA, USA) with mass spectrometer Exactive Plus Orbitrap high-resolution (Thermo Fischer Scientific, MA, USA) operating in positive scan mode in the range of 1000–1500 m/z. Electrospray was used as a source of ionization. Samples were diluted to a final concentration of 0.1 mg/mL in a solution of water and acetonitrile (50:50, v/v). The samples were injected into the mass spectrometer following HPLC separation on a Phenomenex Gemini column (C18, 50 × 2 mm, 3 µm particle) using an isocratic mobile phase of 0.01 M MeCN/ammonium acetate (80/20) at a flow rate of 0.3 mL/min.

3.1. Chemistry

3.1.1. Acylation with Amino Acids

The Wang resin (loading 1.0 mmol/g, ~1 g) was washed three times with DCM. A solution consisting of amino acid (2 mmol), HOBt (2 mmol), DMAP (0.5 mmol), and DIC (2 mmol) in DMF/DCM (1:1, v/v, 10 mL) was added to the resin. The resin slurry was shaken at rt for 16 h. The resin was washed three times with DMF and three times with DCM. Next, the Fmoc protecting group was removed by exposure to 50% piperidine in DMF (v/v 10 mL) for 15 min, and then the resin was washed three times with DMF and three times with DCM.

3.1.2. Reaction with 4,6-dichloro-5-nitropyrimidines and Amines (Resins 7, 11, and 15)

Resins 5, 10, and 14 (~1 g) was washed three times with dry DMF and reacted with a solution consisting of 4,6-dichloro-5-nitropyrimidine (5 mmol) and DIEA (5 mmol) in dry DMF (10 mL) at rt for 16 h. The resin was washed five times with DMF and three times with DCM and reacted with a solution consisting of amine (1.25 mmol) and DIEA (1.25 mmol) in DMF (2.5 mL) at rt for 2 h. The resin was then washed three times with DMF and three times with DCM.

3.1.3. Reduction of the Nitro Group on Solid-phase Support (Resins 8)

Resins 7 (~250 mg) was washed three times with DCM. A solution of Na2S2O4 (2.5 mmol), K2CO3 (3.0 mmol), and ethyl viologen diiodide (0.25 mmol) in water (2.5 mL) and DCM (2.5 mL) was added to the resin. The resin slurry was shaken at rt for 16 h. The resin was then washed three times with each solvent: DCM/water (1:1, v/v), DMF, and DCM.

3.1.4. Cleavage from Resin with TFA (Compounds 9, 12, and 16)

Resins 7, 11, and 15 (~250 mg) were each treated with 2 mL of a solution consisting of TFA/DCM (1:1, v/v) for 1 h. The cleavage cocktail was collected, and the resin was washed three times with 50% TFA in DCM. The combined extracts were evaporated by a stream of nitrogen.

3.1.5. Reduction with Simultaneous Cyclization and Isolation (Compounds 13)

The oily nitro derivatives 9, 12, and 16 were dissolved in acetic acid (3 mL), and powdered zinc (0.5 g) was added. The reaction mixture was stirred at room temperature for 1 h to obtain dihydropteridinones 1, at room temperature for 3 h to get tetrahydropyrrolopteridinones 2, and at 80 °C for 3–13 h to obtain pyrimidodiazepinones 3. The solution was filtered, evaporated to dryness, and purified by column chromatography.

3.2. Analytical Data of Individual Compounds

7-Isopropyl-4-(propylamino)-7,8-dihydropteridin-6(5H)-one (1a).Pale-yellow solid. Yield: 87% (27.3 mg). 1H-NMR (400 MHz, CDCl3) δ 10.86 (s, 1H), 7.96 (s, 1H), 5.88 (br. s, 1H), 5.64 (br. s, 1H), 4.07 (d, J = 3.2 Hz, 1H), 3.51–3.38 (m, 2H), 2.39–2.24 (m, 1H), 1.73–1.59 (m, 2H), 1.08 (d, J = 7.0 Hz, 3H), 1.04–0.97 (m, 6H). 13C-NMR (101 MHz, CDCl3) δ 168.07, 151.86, 149.49, 148.11, 98.10, 61.32, 43.50, 32.56, 22.88, 18.82, 17.12, 11.70. HRMS: m/z: calcd for C12H20N5O+: 250.1662 [M + H]+; found: 250.1663.
Molecules 26 01603 i056
4-(Hexylamino)-7-isopropyl-7,8-dihydropteridin-6(5H)-one (1b). Pale-yellow solid. Yield: 67% (21.8 mg). 1H-NMR (400 MHz, DMSO-d6) δ 9.71 (s, 1H), 7.74 (s, 1H), 7.01 (br. s, 1H), 6.25 (t, J = 4.8 Hz, 1H), 3.79–3.75 (m, 1H), 2.12–1.97 (m, 1H), 1.60–1.45 (m, 2H), 1.41–1.21 (m, 8H), 0.98–0.78 (m, 9H). 13C-NMR (101 MHz, DMSO-d6) δ 165.65, 152.05, 149.29, 148.52, 98.67, 60.90, 41.00, 32.97, 31.59, 29.62, 26.67, 22.61, 18.81, 18.02, 14.45). HRMS: m/z: calcd for C15H26N5O+: 292.2132 [M + H]+; found: 292.2130.
Molecules 26 01603 i057
4-(Diethylamino)-7-isopropyl-7,8-dihydropteridin-6(5H)-one (1c). Pale-yellow solid. Yield: 74% (22.1 mg). 1H-NMR (400 MHz, DMSO-d6) δ 9.45 (s, 1H), 7.83 (s, 1H), 7.51 (d, J = 2.5 Hz, 1H), 3.59 (dd, J = 5.7, 2.9 Hz, 1H), 3.50–3.38 (m, 2H), 3.15 (dq, J = 14.0, 7.0 Hz, 2H), 1.91 (dq, J = 13.3, 6.6 Hz, 1H), 0.99 (t, J = 7.0 Hz, 6H), 0.91 (d, J = 6.9 Hz, 3H), 0.85 (d, J = 6.8 Hz, 3H). 13C-NMR (101 MHz, DMSO-d6) δ 164.77, 151.98, 151.34, 150.91, 103.66, 60.81, 42.74, 31.43, 18.35, 17.83, 12.84. HRMS: m/z: calcd for C13H22N5O+: 264.1819 [M + H]+; found: 264.1821.
Molecules 26 01603 i058
4-(Benzylamino)-7-isopropyl-7,8-dihydropteridin-6(5H)-one (1d). Pale-yellow solid. Yield: 75% (25.0 mg). 1H-NMR (400 MHz, DMSO-d6) δ 9.74 (s, 1H), 7.75 (s, 1H), 7.42–7.28 (m, 4H), 7.28–7.20 (m, 1H), 7.07 (br. s, 1H), 6.75 (t, J = 5.5 Hz, 1H), 4.66–4.47 (m, 2H), 3.79 (dd, J = 4.1, 2.3 Hz, 1H), 2.05 (dq, J = 11.2, 6.9 Hz, 1H), 0.92 (d, J = 7.0 Hz, 3H), 0.85 (d, J = 6.8 Hz, 3H). 13C-NMR (101 MHz, DMSO-d6) δ 165.07, 151.54, 149.08, 147.70, 139.89, 128.24, 127.43, 126.73, 98.40, 60.36, 43.82, 32.45, 18.27, 17.47. HRMS: m/z: calcd for C16H20N5O+: 298.1662 [M + H]+; found: 298.1662.
Molecules 26 01603 i059
4-(Cyclohexylamino)-7-isopropyl-7,8-dihydropteridin-6(5H)-one (1e). Pale-yellow solid. Yield: 66% (21.5 mg). 1H-NMR (400 MHz, DMSO-d6) δ 9.75 (s, 1H), 7.72 (s, 1H), 6.95 (d, J = 2.1 Hz, 1H), 6.08 (d, J = 7.2 Hz, 1H), 3.88–3.77 (m, 1H), 3.75 (dd, J = 4.3, 2.3 Hz, 1H), 2.03 (dtd, J = 13.8, 6.9, 4.5 Hz, 1H), 1.93–1.84 (m, 2H), 1.77–1.64 (m, 2H), 1.62–1.53 (m, 1H), 1.37–1.08 (m, 5H), 0.91 (d, J = 7.0 Hz, 3H), 0.84 (d, J = 6.8 Hz, 3H). 13C-NMR (101 MHz, DMSO-d6) δ 165.13, 151.65, 148.94, 147.32, 97.95, 60.34, 48.79, 32.87, 32.32, 25.38, 24.68, 18.29, 17.48. HRMS: m/z: calcd for C15H24N5O+: 290.1975 [M + H]+; found: 290.1973.
Molecules 26 01603 i060
4-(Cyclooctylamino)-7-isopropyl-7,8-dihydropteridin-6(5H)-one (1f). Pale-yellow solid. Yield: 91% (32.2 mg). 1H-NMR (400 MHz, DMSO-d6) δ 9.79 (s, 1H), 7.72 (s, 1H), 6.93 (d, J = 2.0 Hz, 1H), 6.08 (d, J = 7.5 Hz, 1H), 4.16–4.06 (m, 1H), 3.75 (dd, J = 4.2, 2.3 Hz, 1H), 2.10–1.97 (m, 1H), 1.85–1.72 (m, 2H), 1.72–1.62 (m, 2H), 1.62–1.41 (m, 10H), 0.91 (d, J = 7.0 Hz, 3H), 0.83 (d, J = 6.8 Hz, 3H). 13C-NMR (101 MHz, DMSO-d6) δ 165.18, 151.67, 148.89, 147.15, 98.06, 60.32, 49.62, 32.33, 31.37, 27.07, 25.05, 23.22, 18.29, 17.48. HRMS: m/z: calcd for C17H28N5O+: 318.2288 [M + H]+; found: 318.2288.
Molecules 26 01603 i061
7-Isopropyl-4-(piperidin-1-yl)-7,8-dihydropteridin-6(5H)-one (1g). Pale-yellow solid. Yield: 90% (28.0 mg). 1H-NMR (400 MHz, DMSO-d6) δ 9.53 (s, 1H), 7.85 (s, 1H), 7.54 (d, J = 2.8 Hz, 1H), 3.63 (dd, J = 5.3, 3.0 Hz, 1H), 3.30–3.21 (m, 2H), 3.12–3.01 (m, 2H), 1.96 (dq, J = 13.5, 6.8 Hz, 1H), 1.77–1.65 (m, 2H), 1.58–1.41 (m, 4H), 0.91 (d, J = 6.9 Hz, 3H), 0.84 (d, J = 6.8 Hz, 3H). 13C-NMR (101 MHz, DMSO-d6) δ 164.69, 152.07, 151.88, 151.42, 103.70, 60.68, 48.03, 31.84, 24.91, 24.12, 18.39, 17.73. HRMS: m/z: calcd for C14H22N5O+: 276.1819 [M + H]+; found: 276.1821.
Molecules 26 01603 i062
7-Isopropyl-4-morpholino-7,8-dihydropteridin-6(5H)-one (1h). Pale-yellow solid. Yield: 92% (28.9 mg). 1H-NMR (400 MHz, DMSO-d6) δ 9.79 (s, 1H), 7.88 (s, 1H), 7.64 (d, J = 2.5 Hz, 1H), 3.85–3.76 (m, 2H), 3.69–3.57 (m, 3H), 3.30–3.22 (m, 2H, overlapped with water), 3.06–2.97 (m, 2H), 2.03–1.92 (m, 1H), 0.91 (d, J = 6.9 Hz, 3H), 0.84 (d, J = 6.8 Hz, 3H). 13C-NMR (101 MHz, DMSO-d6) δ 164.81, 151.93, 151.39, 151.34, 104.34, 65.65, 60.63, 47.53, 31.97, 18.39, 17.72. HRMS: m/z: calcd for C13H20N5O2+: 278.1612 [M + H]+; found: 278.1609.
Molecules 26 01603 i063
7-Benzyl-4-(propylamino)-7,8-dihydropteridin-6(5H)-one (1i). Yellow solid. Yield: 89% (29.8 mg). 1H-NMR (400 MHz, DMSO-d6) δ 9.61 (s, 1H), 7.68 (s, 1H), 7.24–7.09 (m, 5H), 6.83 (d, J = 1.4 Hz, 1H), 6.14 (t, J = 5.2 Hz, 1H), 4.28 (td, J = 5.1, 1.8 Hz, 1H), 3.26–3.16 (m, 2H), 3.03 (dd, J = 13.6, 5.1 Hz, 1H), 2.92 (dd, J = 13.6, 5.2 Hz, 1H), 1.54–1.40 (m, 2H), 0.87 (t, J = 7.4 Hz, 3H). 13C-NMR (101 MHz, DMSO-d6) δ 165.25, 151.54, 148.48, 148.02, 136.60, 129.86, 127.79, 126.31, 98.41, 56.17, 42.16, 38.38, 22.31, 11.42. HRMS: m/z: calcd for C16H20N5O+: 298.1662 [M + H]+; found: 298.1662.
Molecules 26 01603 i064
7-Benzyl-4-(hexylamino)-7,8-dihydropteridin-6(5H)-one (1j). Yellow solid. Yield: 76% (19.3 mg). 1H-NMR (400 MHz, DMSO-d6) δ 9.60 (s, 1H), 7.68 (s, 1H), 7.22–7.12 (m, 5H), 6.83 (d, J = 1.5 Hz, 1H), 6.10 (t, J = 5.2 Hz, 1H), 4.28 (td, J = 5.1, 1.8 Hz, 1H), 3.24 (qd, J = 6.7, 1.2 Hz, 2H), 3.02 (dd, J = 13.6, 5.1 Hz, 1H), 2.91 (dd, J = 13.6, 5.2 Hz, 1H), 1.49–1.40 (m, 2H), 1.32–1.22 (m, 6H), 0.89–0.84 (m, 3H). 13C-NMR (101 MHz, DMSO-d6) δ 165.25, 151.55, 148.46, 148.00, 136.60, 129.86, 127.78, 126.29, 98.40, 56.17, 40.30, 38.38, 31.05, 29.04, 26.09, 22.08, 13.91. HRMS: m/z: calcd for C19H26N5O+: 340.2132 [M + H]+; found: 340.2131.
Molecules 26 01603 i065
7-Benzyl-4-(diethylamino)-7,8-dihydropteridin-6(5H)-one (1k). Yellow solid. Yield: 91% (31.6 mg). 1H-NMR (400 MHz, DMSO-d6) δ 9.29 (s, 1H), 7.79 (s, 1H), 7.37 (d, J = 2.2 Hz, 1H), 7.20–7.11 (m, 5H), 4.22 (td, J = 5.3, 2.3 Hz, 1H), 3.18 (dq, J = 14.1, 7.0 Hz, 2H), 3.04 (dq, J = 14.1, 7.1 Hz, 2H), 2.93 (qd, J = 13.6, 5.5 Hz, 2H), 0.91 (t, J = 7.1 Hz, 6H). 13C-NMR (101 MHz, DMSO-d6) δ 164.66, 151.61, 151.17, 150.97, 136.26, 129.74, 127.90, 126.45, 104.21, 56.35, 42.55, 38.31, 12.68. HRMS: m/z: calcd for C17H22N5O+: 312.1819 [M + H]+; found: 312.1818.
Molecules 26 01603 i066
7-Benzyl-4-(benzylamino)-7,8-dihydropteridin-6(5H)-one (1l). Yellow solid. Yield: 80% (30.1 mg). 1H-NMR (400 MHz, DMSO-d6) δ 9.63 (s, 1H), 7.68 (s, 1H), 7.35–7.29 (m, 2H), 7.26–7.21 (m, 3H), 7.20–7.12 (m, 5H), 6.95 (br s, 1H), 6.63 (t, J = 5.6 Hz, 1H), 4.50 (qd, J = 15.2, 5.5 Hz, 2H), 4.31 (td, J = 4.9, 1.6 Hz, 1H), 3.04 (dd, J = 13.6, 4.9 Hz, 1H), 2.93 (dd, J = 13.6, 5.1 Hz, 1H). 13C-NMR (101 MHz, DMSO-d6) δ 165.22, 151.48, 148.78, 147.62, 139.91, 136.50, 129.90, 128.19, 127.78, 127.25, 126.67, 126.33, 98.53, 56.18, 43.58, 38.56. HRMS: m/z: calcd for C20H20N5O+: 346.1662 [M + H]+; found: 346.1662.
Molecules 26 01603 i067
7-Benzyl-4-(cyclohexylamino)-7,8-dihydropteridin-6(5H)-one (1m). Yellow solid. Yield: 82% (30.2 mg). 1H-NMR (400 MHz, DMSO-d6) δ 9.66 (s, 1H), 7.67 (s, 1H), 7.22–7.11 (m, 5H), 6.81 (br s, 1H), 5.98 (d, J = 7.3 Hz, 1H), 4.28 (td, J = 5.0, 1.6 Hz, 1H), 3.85–3.70 (m, 1H), 3.03 (dd, J = 13.6, 5.0 Hz, 1H), 2.91 (dd, J = 13.6, 5.2 Hz, 1H), 1.83 (br s, 2H), 1.73–1.65 (m, 2H), 1.61–1.52 (m, 1H), 1.35–1.21 (m, 2H), 1.21–1.05 (m, 3H). 13C-NMR (101 MHz, DMSO-d6) δ 165.30, 151.53, 148.60, 147.28, 136.62, 129.86, 127.77, 126.32, 98.24, 56.12, 48.65, 38.32, 32.79, 25.35, 24.60. HRMS: m/z: calcd for C19H24N5O+: 338.1975 [M + H]+; found: 338.1974.
Molecules 26 01603 i068
7-Benzyl-4-(cyclooctylamino)-7,8-dihydropteridin-6(5H)-one (1n). Yellow solid. Yield: 92% (36.3 mg). 1H-NMR (400 MHz, DMSO-d6) δ 9.70 (s, 1H), 7.67 (s, 1H), 7.24–7.08 (m, 5H), 6.80 (s, 1H), 5.97 (d, J = 7.4 Hz, 1H), 4.28 (br s, 1H), 4.05 (br s, 1H), 3.03 (dd, J = 13.5, 4.9 Hz, 1H), 2.92 (dd, J = 13.5, 5.0 Hz, 1H), 1.76–1.39 (m, 14H). 13C-NMR (101 MHz, DMSO-d6) δ 165.34, 151.53, 148.54, 147.10, 136.60, 129.87, 127.76, 126.30, 98.34, 56.12, 49.51, 38.36, 31.24, 31.16, 27.09, 27.06, 25.02, 23.14. HRMS: m/z: calcd for C21H28N5O+: 366.2288 [M + H]+; found: 366.2288.
Molecules 26 01603 i069
7-Benzyl-4-(piperidin-1-yl)-7,8-dihydropteridin-6(5H)-one (1o). Yellow solid. Yield: 89% (36.3 mg). 1H-NMR (400 MHz, DMSO-d) δ 9.35 (s, 1H), 7.77 (s, 1H), 7.40 (d, J = 1.8 Hz, 1H), 7.17–7.08 (m, 5H), 4.28–4.22 (m, 1H), 3.08–2.80 (m, 6H), 1.67–1.57 (m, 2H), 1.49 (dt, J = 10.6, 5.2 Hz, 2H), 1.45–1.36 (m, 2H). 13C-NMR (101 MHz, DMSO-d6) δ 164.60, 151.88, 151.51, 151.23, 136.11, 129.80, 127.85, 126.39, 103.62, 56.36, 48.04, 38.57, 24.87, 24.06. HRMS: m/z: calcd for C18H22N5O+: 324.1819 [M + H]+; found: 324.1818.
Molecules 26 01603 i070
7-Benzyl-4-morpholino-7,8-dihydropteridin-6(5H)-one (1p). Yellow solid. Yield: 70% (22.8 mg). 1H-NMR (400 MHz, DMSO-d6) δ 9.62 (s, 1H), 7.79 (s, 1H), 7.52 (d, J = 1.6 Hz, 1H), 7.16–7.06 (m, 5H), 4.31 –4.24 (m, 1H), 3.76–3.66 (m, 2H), 3.58–3.49 (m, 2H), 3.07–2.96 (m, 3H), 2.90 (dd, J = 13.5, 5.0 Hz, 1H), 2.83–2.74 (m, 2H). 13C-NMR (101 MHz, DMSO-d6) δ 164.80, 151.66, 151.18, 151.01, 136.03, 129.86, 127.87, 126.41, 104.09, 65.56, 56.34, 47.54, one carbon overlapped with DMSO (according to HMQC). HRMS: m/z: calcd for C17H20N5O2+: 326.1612 [M + H]+; found: 326.1611.
Molecules 26 01603 i071
7-(2-(Methylthio)ethyl)-4-(propylamino)-7,8-dihydropteridin-6(5H)-one (1q). Yellow solid. Yield: 68% (19.6 mg). 1H-NMR (500 MHz, DMSO-d6) δ 9.71 (s, 1H), 7.75 (s, 1H), 7.01 (d, J = 1.3 Hz, 1H), 6.29 (t, J = 5.2 Hz, 1H), 4.05 (td, J = 5.6, 1.7 Hz, 1H), 3.30–3.23 (m, 2H), 2.64–2.49 (m, 2H, overlapped with DMSO), 2.03 (s, 3H), 1.96–1.86 (m, 2H), 1.51 (dt, J = 14.5, 7.2 Hz, 2H), 0.90 (t, J = 7.4 Hz, 3H). 13C-NMR (126 MHz, DMSO-d6) δ 165.72, 151.71, 148.71, 148.34, 98.70, 53.85, 42.27, 32.00, 28.71, 22.35, 14.47, 11.47. HRMS: m/z: calcd for C12H20N5OS+: 282.1383 [M + H]+; found: 282.1382.
Molecules 26 01603 i072
4-(Hexylamino)-7-(2-(methylthio)ethyl)-7,8-dihydropteridin-6(5H)-one (1r). Yellow solid. Yield: 66% (21.4 mg). 1H-NMR (400 MHz, DMSO-d6) δ 9.71 (s, 1H), 7.75 (s, 1H), 7.00 (d, J = 1.3 Hz, 1H), 6.26 (t, J = 5.1 Hz, 1H), 4.05 (td, J = 5.6, 1.7 Hz, 1H), 3.34–3.27 (m, 2H, overlapped with water), 2.64–2.49 (m, 2H, overlapped with DMSO), 2.03 (s, 3H), 1.97–1.87 (m, 2H), 1.54–1.46 (m, 2H), 1.35–1.25 (m, 6H), 0.87 (t, J = 6.9 Hz, 3H). 13C-NMR (101 MHz, DMSO-d6) δ 165.71, 151.71, 148.69, 148.32, 98.68, 53.84, 40.42, 32.00, 31.05, 29.07, 28.70, 26.13, 22.07, 14.46, 13.91. HRMS: m/z: calcd for C15H26N5OS+: 324.1853 [M + H]+; found: 324.1852.
Molecules 26 01603 i073
4-(Diethylamino)-7-(2-(methylthio)ethyl)-7,8-dihydropteridin-6(5H)-one (1s). Yellow solid. Yield: 76% (22.8 mg). 1H-NMR (500 MHz, DMSO-d6) δ 9.47 (s, 1H), 7.86 (s, 1H), 7.45 (d, J = 2.0 Hz, 1H), 3.96–3.91 (m, 1H), 3.42–3.34 (m, 2H), 3.33–3.23 (m, 2H), 2.62–2.52 (m, 2H), 2.03 (s, 3H), 1.95–1.87 (m, 1H), 1.86–1.78 (m, 1H), 1.01 (t, J = 7.1 Hz, 6H). 13C-NMR (101MHz, DMSO-d6) δ 165.34, 152.15, 151.40, 151.25, 103.67, 53.73, 42.76, 30.79, 28.79, 14.45, 12.85. HRMS: m/z: calcd for C13H22N5OS+: 296.1540 [M + H]+; found: 296.1539.
Molecules 26 01603 i074
4-(Benzylamino)-7-(2-(methylthio)ethyl)-7,8-dihydropteridin-6(5H)-one (1t). Yellow solid. Yield: 41% (13.4 mg). 1H-NMR (400 MHz, DMSO-d6) δ 9.71 (s, 1H), 7.73 (s, 1H), 7.32–7.25 (m, 4H), 7.23–7.17 (m, 1H), 7.05 (s, 1H), 6.75 (t, J = 5.4 Hz, 1H), 4.59–4.46 (m, 2H), 4.07–4.00 (m, 1H), 2.60–2.49 (m, 2H, overlapped with DMSO), 1.98 (s, 3H), 1.95–1.85 (m, 2H). 13C-NMR (101 MHz, DMSO-d6): δ 165.70, 151.70, 148.99, 148.02, 139.86, 128.27, 127.47, 126.78, 98.94, 53.87, 43.84, 32.07, 28.73, 14.50. HRMS: m/z: calcd for C16H20N5OS+: 330.1383 [M + H]+; found: 330.1382.
Molecules 26 01603 i075
4-(Cyclohexylamino)-7-(2-(methylthio)ethyl)-7,8-dihydropteridin-6(5H)-one (1u). Yellow solid. Yield: 79% (25.7 mg). 1H-NMR (400 MHz, DMSO-d6) δ 9.77 (s, 1H), 7.74 (s, 1H), 7.00 (d, J = 1.4 Hz, 1H), 6.13 (d, J = 7.2 Hz, 1H), 4.05 (td, J = 5.6, 1.7 Hz, 1H), 3.91–3.78 (m, 1H), 2.64–2.48 (m, 2H, overlapped with DMSO), 2.03 (s, 3H), 1.98–1.83 (m, 4H), 1.75–1.67 (m, 2H), 1.62–1.54 (m, 1H), 1.36–1.09 (m, 5H). 13C-NMR (101 MHz, DMSO-d6) δ 165.72, 151.71, 148.81, 147.57, 98.48, 53.81, 48.79, 32.85, 31.99, 28.71, 25.36, 24.64, 14.47. HRMS: m/z: calcd for C15H24N5OS+: 322.1696 [M + H]+; found: 322.1694.
Molecules 26 01603 i076
4-(Cyclooctylamino)-7-(2-(methylthio)ethyl)-7,8-dihydropteridin-6(5H)-one (1v). Yellow solid. Yield: 60% (20.9 mg). 1H-NMR (400 MHz, DMSO-d6) δ 9.81 (s, 1H), 7.75 (s, 1H), 6.98 (d, J = 1.4 Hz, 1H), 6.13 (d, J = 7.5 Hz, 1H), 4.18–4.08 (m, 1H), 4.05 (td, J = 5.6, 1.6 Hz, 1H), 2.65–2.50 (m, 2H), 2.03 (s, 3H), 1.99–1.84 (m, 2H), 1.83–1.73 (m, 2H), 1.72–1.63 (m, 2H), 1.61–1.40 (m, 10H). 13C-NMR (101 MHz, DMSO-d6) δ 166.31, 152.29, 149.30, 147.95, 99.13, 54.36, 50.18, 32.53, 31.85, 29.27, 27.63, 25.59, 23.74, 15.02. HRMS: m/z: calcd for C17H28N5OS+: 350.2009 [M + H]+; found: 350.2011.
Molecules 26 01603 i077
7-(2-(Methylthio)ethyl)-4-(piperidin-1-yl)-7,8-dihydropteridin-6(5H)-one (1w). Yellow solid. Yield: 63% (19.5 mg). 1H-NMR (500 MHz, DMSO-d6) δ 9.55 (s, 1H), 7.88 (s, 1H), 7.49 (d, J = 1.9 Hz, 1H), 3.98–3.93 (m, 1H), 3.26–3.20 (m, 2H), 3.19–3.12 (m, 2H), 2.62–2.52 (m, 2H), 2.03 (s, 3H), 1.97–1.89 (m, 1H), 1.88–1.80 (m, 1H), 1.69–1.60 (m, 2H), 1.59–1.51 (m, 4H). 13C-NMR (126 MHz, DMSO-d6) δ 165.21, 152.41, 151.94, 151.46, 103.96, 53.75, 48.09, 30.77, 28.79, 24.94, 24.10, 14.45. HRMS: m/z: calcd for C14H22N5OS+: 308.1540 [M + H]+; found: 308.1538.
Molecules 26 01603 i078
7-(2-(Methylthio)ethyl)-4-morpholino-7,8-dihydropteridin-6(5H)-one (1x). Yellow solid. Yield: 65% (20.5 mg). 1H-NMR (500 MHz, DMSO-d6) δ 9.81 (s, 1H), 7.91 (s, 1H), 7.59 (d, J = 1.9 Hz, 1H), 4.01–3.96 (m, 1H), 3.76–3.72 (m, 2H), 3.71–3.65 (m, 2H), 3.24–3.18 (m, 2H), 3.16–3.10 (m, 2H), 2.62–2.51 (m, 2H), 2.03 (s, 3H), 1.97–1.82 (m, 2H). 13C-NMR (126 MHz, DMSO-d6) δ 165.36, 151.97, 151.66, 151.41, 104.57, 65.67, 53.72, 47.58, 30.96, 28.77, 14.46. HRMS: m/z: calcd for C13H20N5OS+: 310.1332 [M + H]+; found: 310.1331.
Molecules 26 01603 i079
4-(Propylamino)-6a,7,8,9-tetrahydropyrrolo [2,1-h]pteridin-6(5H)-one (2a). Dark-yellow solid. Yield: 75% (21.3 mg). 1H-NMR (500 MHz, DMSO-d6) δ 9.70 (s, 1H), 7.84 (s, 1H), 6.26 (t, J = 5.2 Hz, 1H), 3.99–3.92 (m, 1H), 3.63–3.54 (m, 1H), 3.43–3.36 (m, 1H), 3.33–3.25 (m, 2H, overlapped with water), 2.23–2.11 (m, 1H), 1.99–1.83 (m, 3H), 1.52 (sx, J = 7.3 Hz, 2H), 0.90 (t, J = 7.4 Hz, 3H). 13C-NMR (126 MHz, DMSO-d6) 165.24, 151.59, 148.16, 148.11, 100.69, 58.62, 45.09, 42.30, 27.68, 22.39, 21.80, 11.44. HRMS: m/z: calcd for C12H18N5O+: 248.1506 [M + H]+; found: 248.1507.
Molecules 26 01603 i080
4-(Hexylamino)-6a,7,8,9-tetrahydropyrrolo[2,1-h]pteridin-6(5H)-one (2b). Dark-yellow solid. Yield: 47% (15.3 mg). 1H-NMR (400 MHz, DMSO-d6) δ 9.66 (s, 1H), 7.80 (s, 1H), 6.19 (t, J = 5.1 Hz, 1H), 3.95–3.88 (m, 1H), 3.58–3.49 (m, 1H), 3.39–3.32 (m, 1H), 3.31–3.24 (m, 2H), 2.18–2.05 (m, 1H), 1.94–1.79 (m, 3H), 1.52–1.41 (m, 2H), 1.34–1.16 (m, 6H), 0.83 (t, J = 6.9 Hz, 3H). 13C-NMR (126 MHz, DMSO-d6) δ 165.24, 151.59, 148.14, 148.09, 100.68, 58.62, 45.08, 40.44, 31.05, 29.12, 27.68, 26.12, 22.07, 21.80, 13.90. HRMS: m/z: calcd for C15H24N5O+: 290.1975 [M + H]+; found: 290.1974.
Molecules 26 01603 i081
4-(Diethylamino)-6a,7,8,9-tetrahydropyrrolo[2,1-h]pteridin-6(5H)-one (2c). Dark-yellow solid. Yield: 87% (25.8 mg). 1H-NMR (400 MHz, DMSO-d6) δ 9.46 (s, 1H), 7.92 (s, 1H), 3.95 (dd, J = 8.9, 6.9 Hz, 1H), 3.60–3.44 (m, 4H), 3.24–313 (m, 2H), 2.23–2.12 (m, 1H), 2.09–1.91 (m, 3H), 1.03 (t, J = 7.1 Hz, 6H). 13C-NMR (126 MHz, DMSO-d6) δ 165.34, 151.78, 151.66, 151.36, 105.65, 58.80, 45.74, 43.21, 27.54, 22.99, 13.37. HRMS: m/z: calcd for C13H20N5O+: 262.1662 [M + H]+; found: 262.1663.
Molecules 26 01603 i082
4-(Benzylamino)-6a,7,8,9-tetrahydropyrrolo[2,1-h]pteridin-6(5H)-one (2d). Dark-yellow solid. Yield: 81% (26.9 mg). 1H-NMR (500 MHz, DMSO-d6) δ 9.75 (s, 1H), 7.86 (s, 1H), 7.35–7.29 (m, 4H), 7.26–7.21 (m, 1H), 6.78 (t, J = 5.6 Hz, 1H), 4.58 (d, J = 5.6 Hz, 2H), 4.02–3.95 (m, 1H), 3.63–3.55 (m, 1H), 3.45–3.37 (m, 1H), 2.22–2.13 (m, 1H), 1.98–1.84 (m, 3H). 13C-NMR (126 MHz, DMSO-d6) δ 165.18, 151.54, 148.34, 147.74, 139.94, 128.22, 127.40, 126.71, 100.92, 58.63, 45.14, 43.84, 27.73, 21.81. HRMS: m/z: calcd for C16H18N5O+: 296.1506 [M + H]+; found: 296.1505.
Molecules 26 01603 i083
4-(Cyclohexylamino)-6a,7,8,9-tetrahydropyrrolo[2,1-h]pteridin-6(5H)-one (2e). Dark-yellow solid. Yield: 80% (25.8 mg). 1H-NMR (400 MHz, DMSO-d6) δ 9.76 (s, 1H), 7.83 (s, 1H), 6.10 (d, J = 7.3 Hz, 1H), 3.98–3.91 (m, 1H), 3.91–3.80 (m, 1H), 3.62–3.53 (m, 1H), 3.43–3.34 (m, 1H), 2.21–2.10 (m, 1H), 1.98–1.82 (m, 5H), 1.77–1.66 (m, 2H), 1.62–1.53 (m, 1H), 1.38–1.10 (m, 5H). 13C-NMR (101 MHz, DMSO-d6) δ 165.25, 151.59, 148.26, 147.36, 100.51, 58.60, 48.84, 45.10, 32.94, 32.76, 27.70, 25.37, 24.64, 21.80. HRMS: m/z: calcd for C15H22N5O+: 288.1819 [M + H]+; found: 288.1818.
Molecules 26 01603 i084
4-(Cyclooctylamino)-6a,7,8,9-tetrahydropyrrolo[2,1-h]pteridin-6(5H)-one (2f). Dark-yellow solid. Yield: 34% (12.0 mg). 1H-NMR (400 MHz, DMSO-d6) δ 9.81 (s, 1H), 7.84 (s, 1H), 6.10 (d, J = 7.5 Hz, 1H), 4.20–4.09 (m, 1H), 4.00–3.91 (m, 1H), 3.61–3.53 (m, 1H), 3.43–3.34 (m, 1H), 2.21–2.10 (m, 1H), 1.98–1.85 (m, 3H), 1.85–1.73 (m, 2H), 1.71–1.62 (m, 2H), 1.62–1.42 (m, 10H). 13C-NMR (126 MHz, DMSO-d6) δ 165.29, 151.61, 148.19, 147.18, 100.59, 58.60, 49.68, 45.12, 31.44, 31.21, 27.70, 27.07, 25.05, 23.20, 23.16, 21.80. HRMS: m/z: calcd for C17H26N5O+: 316.2132 [M + H]+; found: 316.2130.
Molecules 26 01603 i085
4-(Piperidin-1-yl)-6a,7,8,9-tetrahydropyrrolo[2,1-h]pteridin-6(5H)-one (2g). Dark-yellow solid. Yield: 60% (18.6 mg). 1H-NMR (400 MHz, DMSO-d6) δ 9.54 (s, 1H), 7.93 (s, 1H), 3.97 (dd, J = 8.9, 6.9 Hz, 1H), 3.61–3.45 (m, 2H), 3.43–3.34 (m, 2H), 3.15–3.04 (m, 2H), 2.23–2.12 (m, 1H), 2.09–1.91 (m, 3H), 1.80–1.69 (m, 2H), 1.55 (dt, J = 11.2, 5.6 Hz, 2H), 1.50–1.40 (m, 2H). 13C-NMR (126 MHz, DMSO-d6) δ 164.66, 151.86, 151.31, 150.83, 105.35, 58.37, 48.08, 45.19, 27.10, 24.99, 24.14, 22.35. HRMS: m/z: calcd for C14H20N5O+: 274.1662 [M + H]+; found: 274.1661.
Molecules 26 01603 i086
4-Morpholino-6a,7,8,9-tetrahydropyrrolo[2,1-h]pteridin-6(5H)-one (2h). Dark-yellow solid. Yield: 57% (17.9 mg). 1H-NMR (400 MHz, DMSO-d6) δ 9.75 (s, 1H), 7.92 (s, 1H), 3.95 (dd, J = 8.9, 6.9 Hz, 1H), 3.82–3.74 (m, 2H), 3.60–3.43 (m, 4H), 3.39–3.31 (m, 2H), 3.04–2.97 (m, 2H), 2.20–2.09 (m, 1H), 2.06–1.83 (m, 3H). 13C-NMR (126 MHz, DMSO-d6) δ 164.83, 151.26, 151.12, 150.82, 105.96, 65.70, 58.35, 47.56, 45.25, 27.17, 22.29. HRMS: m/z: calcd for C13H18N5O2+: 276.1455 [M + H]+; found: 276.1456.
Molecules 26 01603 i087
4-(Propylamino)-5,7,8,9-tetrahydro-6H-pyrimido[4,5-b][1,4]diazepin-6-one (3a). White solid. Yield: 45% (11.7 mg). 1H-NMR (500 MHz, DMSO-d6) δ 8.41 (s, 1H), 7.75 (s, 1H), 6.67 (t, J = 4.2 Hz, 1H), 6.36 (t, J = 5.3 Hz, 1H), 3.51 (td, J = 4.6, 2.2 Hz, 2H), 3.28–3.22 (m, 2H), 2.49–2.47 (m, 2H), 1.58–1.47 (m, 2H), 0.89 (t, J = 7.4 Hz, 3H). 13C-NMR (126 MHz, DMSO-d6) δ 172.69, 155.18, 153.13, 152.94, 96.95, 43.17, 42.66, 36.46, 22.26, 11.48. HRMS: m/z: calcd for C10H16N5O+: 222.1349 [M + H]+; found: 222.1349.
Molecules 26 01603 i088
4-(Hexylamino)-5,7,8,9-tetrahydro-6H-pyrimido[4,5-b][1,4]diazepin-6-one (3b). White solid. Yield: 42% (12.5 mg). 1H-NMR (500 MHz, DMSO-d6) δ 8.40 (s, 1H), 7.75 (s, 1H), 6.67 (t, J = 4.2 Hz, 1H), 6.33 (t, J = 5.3 Hz, 1H), 3.50 (td, J = 4.7, 2.2 Hz, 2H), 3.27 (td, J = 7.1, 5.7 Hz, 2H), 2.49–2.46 (m, 2H, overlapped with DMSO), 1.55–1.47 (m, 2H), 1.35–1.25 (m, 6H), 0.86 (t, J = 6.9 Hz, 3H). 13C-NMR (126 MHz, DMSO-d6) δ 172.71, 155.16, 153.12, 152.96, 96.96, 43.18, 40.86, 36.47, 31.12, 29.02, 26.18, 22.08, 13.92. HRMS: m/z: calcd for C13H22N5O+: 264.1819 [M + H]+; found: 264.1816.
Molecules 26 01603 i089
4-(Diethylamino)-5,7,8,9-tetrahydro-6H-pyrimido[4,5-b][1,4]diazepin-6-one (3c). White solid. Yield: 55% (15.1 mg). 1H-NMR (500 MHz, DMSO-d6) δ 8.24 (s, 1H), 7.84 (s, 1H), 6.92 (t, J = 3.3 Hz, 1H), 3.58–3.52 (m, 2H), 3.34–3.26 (m, 4H, overlapped with residual water), 2.59–2.53 (m, 2H), 1.06 (t, J = 7.0 Hz, 6H). 13C-NMR (126 MHz, DMSO-d6) δ 171.73, 158.17, 156.14, 152.79, 101.02, 43.56, 43.29, 35.09, 13.19. HRMS: m/z: calcd for C11H18N5O+: 236.1506 [M + H]+; found: 236.1505.
Molecules 26 01603 i090
4-(Benzylamino)-5,7,8,9-tetrahydro-6H-pyrimido[4,5-b][1,4]diazepin-6-one (3d). White solid. Yield: 45% (13.8 mg). 1H-NMR (500 MHz, DMSO-d6) δ 8.49 (s, 1H), 7.75 (s, 1H), 7.36–7.32 (m, 2H), 7.32–7.28 (m, 2H), 7.24–7.20 (m, 1H), 6.92 (t, J = 5.7 Hz, 1H), 6.76 (t, J = 4.2 Hz, 1H), 4.52 (d, J = 5.7 Hz, 2H), 3.54–3.50 (m, 2H), 2.53–2.50 (m, 2H, overlapped with DMSO). 13C-NMR (126 MHz, DMSO-d6) δ 172.70, 155.02, 153.34, 152.93, 140.09, 128.06, 127.44, 126.52, 97.15, 44.16, 43.12, 36.46. HRMS: m/z: calcd for C14H16N5O+: 270.1349 [M + H]+; found: 270.1346.
Molecules 26 01603 i091
4-(Cyclohexylamino)-5,7,8,9-tetrahydro-6H-pyrimido[4,5-b][1,4]diazepin-6-one (3e). White solid. Yield: 40% (11.8 mg). 1H-NMR (500 MHz, DMSO-d6) δ 8.53 (s, 1H), 7.74 (s, 1H), 6.68 (t, J = 4.2 Hz, 1H), 6.06 (d, J = 7.4 Hz, 1H), 3.82 (dtd, J = 10.6, 7.0, 3.8 Hz, 1H), 3.50 (td, J = 4.7, 2.1 Hz, 2H), 2.50–2.47 (m, 2H, overlapped with DMSO), 1.93–1.83 (m, 2H), 1.78–1.67 (m, 2H), 1.62–1.55 (m, 1H), 1.33–1.08 (m, 5H). 13C-NMR (126 MHz, DMSO-d6) δ 172.78, 154.23, 153.21, 152.87, 96.87, 49.28, 43.13, 36.60, 32.59, 25.41, 24.82. HRMS: m/z: calcd for C13H20N5O+: 262.1662 [M + H]+; found: 262.1663.
Molecules 26 01603 i092
4-(Cyclooctylamino)-5,7,8,9-tetrahydro-6H-pyrimido[4,5-b][1,4]diazepin-6-one (3f). White solid. Yield: 38% (12.3 mg). 1H-NMR (500 MHz, DMSO-d6) δ 8.57 (s, 1H), 7.75 (s, 1H), 6.66 (t, J = 4.2 Hz, 1H), 6.07 (d, J = 7.5 Hz, 1H), 4.14–4.04 (m, 1H), 3.53–3.47 (m, 2H), 2.50–2.46 (m, 2H, overlapped with DMSO), 1.82–1.73 (m, 2H), 1.72–1.42 (m, 12H). 13C-NMR (126 MHz, DMSO-d6) δ 172.81, 153.98, 153.15, 152.89, 96.97, 50.13, 43.16, 36.63, 31.44, 26.97, 25.05, 23.34. HRMS: m/z: calcd for C15H24N5O+: 290.1975 [M + H]+; found: 290.1974.
Molecules 26 01603 i093
4-(Piperidin-1-yl)-5,7,8,9-tetrahydro-6H-pyrimido[4,5-b][1,4]diazepin-6-one (3g). White solid. Yield: 46% (13.2 mg). 1H-NMR (500 MHz, DMSO-d6) δ 8.14 (s, 1H), 7.87 (s, 1H), 7.05 (t, J = 3.2 Hz, 1H), 3.56–3.50 (m, 2H), 3.20–3.14 (m, 4H), 2.58–2.54 (m, 2H), 1.62–1.53 (m, 6H). 13C-NMR (126 MHz, DMSO-d6) δ 171.75, 159.07, 155.65, 152.81, 102.31, 48.65, 42.67, 35.64, 25.24, 24.14. HRMS: m/z: calcd for C12H18N5O+: 248.1506 [M + H]+; found: 248.1506.
Molecules 26 01603 i094
4-Morpholino-5,7,8,9-tetrahydro-6H-pyrimido[4,5-b][1,4]diazepin-6-one (3h). White solid. Yield: 51% (14.7 mg). 1H-NMR (500 MHz, DMSO-d6) δ 8.39 (s, 1H), 7.89 (s, 1H), 7.13 (t, J = 3.2 Hz, 1H), 3.72–3.66 (m, 4H), 3.58–3.51 (m, 2H), 3.26–3.19 (m, 4H), 2.59–2.53 (m, 2H). 13C-NMR (126 MHz, DMSO-d6) δ 171.88, 158.27, 155.88, 152.84, 102.30, 65.80, 47.87, 42.81, 35.57. HRMS: m/z: calcd for C11H16N5O2+: 250.1299 [M + H]+; found: 250.1297.
Molecules 26 01603 i095

4. Conclusions

In conclusion, we have developed an efficient solid-phase synthetic approach leading to various dihydropteridinones, tetrahydropyrrolopteridinones, or pyrimidodiazepinones using one versatile building block. The reduction and cyclization were performed after cleavage from polymer support; however, crude products were obtained after simple filtration of powdered zinc and evaporation of solvents. Final cyclization leading to dihydropteridinones and tetrahydropyrrolopteridinones proceeded smoothly at room temperature. On the other hand, the cyclization of β-alanine precursors had to be accelerated by heating to 80 °C. In summary, we prepared forty heterocycles utilizing one versatile building block modified with other distinct substituents. All derivatives were fully characterized and might be used for future SAR studies.

Supplementary Materials

The following are available online—copies of 1H and 13C-NMR.

Author Contributions

Manuscript conception—L.B.; writing and original draft preparation—L.B., synthesis of derivatives—J.C.; editing, data analysis, and interpretation—J.C. and L.B. All authors have read and agreed to the published version of the manuscript.

Funding

This work was supported by the internal grant from Palacký University IGA_PrF_2020_012 and IGA_PrF_2021_024.

Institutional Review Board Statement

Not applicable.

Informed Consent Statement

Not applicable.

Data Availability Statement

Data is contained within the article.

Acknowledgments

We thank Ondřej Ježowicz and Max Mrštík, for the solid-phase synthesis of several model compounds.

Conflicts of Interest

The authors declare no conflict of interest.

Sample Availability

Samples of the compounds are available from the authors.

References

  1. Li, Q.; Yang, H.K.; Sun, Q.; You, W.W.; Zhao, P.L. Design, Synthesis and Antiproliferative Activity of Novel Substituted 2-Amino-7,8-Dihydropteridin-6(5H)-One Derivatives. Bioorg. Med. Chem. Lett. 2017, 27, 3954–3958. [Google Scholar] [CrossRef] [PubMed]
  2. Bowers, S.; Truong, A.P.; Ye, M.; Aubele, D.L.; Sealy, J.M.; Neitz, R.J.; Hom, R.K.; Chan, W.; Dappen, M.S.; Galemmo, R.A.; et al. Design and Synthesis of Highly Selective, Orally Active Polo-like Kinase-2 (Plk-2) Inhibitors. Bioorg. Med. Chem. Lett. 2013, 23, 2743–2749. [Google Scholar] [CrossRef]
  3. Budin, G.; Yang, K.S.; Reiner, T.; Weissleder, R. Bioorthogonal Probes for Polo-like Kinase 1 Imaging and Quantification. Angew. Chem. Int. Ed. 2011, 50, 9378–9381. [Google Scholar] [CrossRef] [PubMed]
  4. Liu, S.; Yosief, H.O.; Dai, L.; Huang, H.; Dhawan, G.; Zhang, X.; Muthengi, A.M.; Roberts, J.; Buckley, D.L.; Perry, J.A.; et al. Structure-Guided Design and Development of Potent and Selective Dual Bromodomain 4 (BRD4)/Polo-like Kinase 1 (PLK1) Inhibitors. J. Med. Chem. 2018, 61, 7785–7795. [Google Scholar] [CrossRef]
  5. Rudolph, D.; Steegmaier, M.; Hoffmann, M.; Grauert, M.; Baum, A.; Quant, J.; Haslinger, C.; Garin-Chesa, P.; Adolf, G.R. BI 6727, A Polo-like Kinase Inhibitor with Improved Pharmacokinetic Profile and Broad Antitumor Activity. Clin. Cancer Res. 2009, 15, 3094–3102. [Google Scholar] [CrossRef] [PubMed]
  6. Rosse, G. Dihydropteridinone Inhibitors of BRD4. ACS Med. Chem. Lett. 2016, 7, 131. [Google Scholar] [CrossRef] [PubMed][Green Version]
  7. Jeon, M.Y.; Min, K.J.; Woo, S.M.; Seo, S.U.; Kim, S.; Park, J.W.; Kwon, T.K. Volasertib Enhances Sensitivity to TRAIL in Renal Carcinoma Caki Cells through Downregulation of C-FLIP Expression. Int. J. Mol. Sci. 2017, 18, 2568. [Google Scholar] [CrossRef]
  8. Kiryanov, A.; Natala, S.; Jones, B.; McBride, C.; Feher, V.; Lam, B.; Liu, Y.; Honda, K.; Uchiyama, N.; Kawamoto, T.; et al. Structure-Based Design and SAR Development of 5,6-Dihydroimidazolo[1,5-f]Pteridine Derivatives as Novel Polo-like Kinase-1 Inhibitors. Bioorg. Med. Chem. Lett. 2017, 27, 1311–1315. [Google Scholar] [CrossRef] [PubMed]
  9. Hou, Y.; Zhu, L.; Li, Z.; Shen, Q.; Xu, Q.; Li, W.; Liu, Y.; Gong, P. Design, Synthesis and Biological Evaluation of Novel 7-Amino-[1,2,4]Triazolo[4,3-f]Pteridinone, and 7-Aminotetrazolo[1,5-f]Pteridinone Derivative as Potent Antitumor Agents. Eur. J. Med. Chem. 2019, 163, 690–709. [Google Scholar] [CrossRef]
  10. Li, Z.; Xu, L.; Zhu, L.; Zhao, Y.; Hu, T.; Yin, B.; Liu, Y.; Hou, Y. Design, Synthesis and Biological Evaluation of Novel Pteridinone Derivatives Possessing a Hydrazone Moiety as Potent PLK1 Inhibitors. Bioorg. Med. Chem. Lett. 2020, 30, 127329. [Google Scholar] [CrossRef]
  11. Zhan, M.M.; Yang, Y.; Luo, J.; Zhang, X.X.; Xiao, X.; Li, S.; Cheng, K.; Xie, Z.; Tu, Z.; Liao, C. Design, Synthesis, and Biological Evaluation of Novel Highly Selective Polo-like Kinase 2 Inhibitors Based on the Tetrahydropteridin Chemical Scaffold. Eur. J. Med. Chem. 2018, 143, 724–731. [Google Scholar] [CrossRef] [PubMed]
  12. Thrum, S.; Lorenz, J.; Moessner, J.; Wiedmann, M. Polo-like Kinase 1 Inhibition as a New Therapeutic Modality in Therapy of Cholangiocarcinoma. Anticancer Res. 2011, 31, 3289–3299. [Google Scholar]
  13. Watts, E.; Heidenreich, D.; Tucker, E.; Raab, M.; Strebhardt, K.; Chesler, L.; Knapp, S.; Bellenie, B.; Hoelder, S. Designing Dual Inhibitors of Anaplastic Lymphoma Kinase (ALK) and Bromodomain-4 (BRD4) by Tuning Kinase Selectivity. J. Med. Chem. 2019, 62, 2618–2637. [Google Scholar] [CrossRef]
  14. Chiu, Y.L.; Dinesh, C.U.; Chu, C.Y.; Ali, A.; Brown, K.M.; Cao, H.; Rana, T.M. Dissecting RNA-Interference Pathway with Small Molecules. Chem. Biol. 2005, 12, 643–648. [Google Scholar] [CrossRef] [PubMed][Green Version]
  15. Chen, L.; Yap, J.L.; Yoshioka, M.; Lanning, M.E.; Fountain, R.N.; Raje, M.; Scheenstra, J.A.; Strovel, J.W.; Fletcher, S. BRD4 Structure-Activity Relationships of Dual PLK1 Kinase/BRD4 Bromodomain Inhibitor BI-2536. ACS Med. Chem. Lett. 2015, 6, 764–769. [Google Scholar] [CrossRef] [PubMed]
  16. Nie, Z.; Feher, V.; Natala, S.; McBride, C.; Kiryanov, A.; Jones, B.; Lam, B.; Liu, Y.; Kaldor, S.; Stafford, J.; et al. Discovery of TAK-960: An Orally Available Small Molecule Inhibitor of Polo-like Kinase 1 (PLK1). Bioorg. Med. Chem. Lett. 2013, 23, 3662–3666. [Google Scholar] [CrossRef] [PubMed]
  17. Menne, S.; Tumas, D.B.; Liu, K.H.; Thampi, L.; AlDeghaither, D.; Baldwin, B.H.; Bellezza, C.A.; Cote, P.J.; Zheng, J.; Halcomb, R.; et al. Sustained Efficacy and Seroconversion with the Toll-like Receptor 7 Agonist GS-9620 in the Woodchuck Model of Chronic Hepatitis B. J. Hepatol. 2015, 62, 1237–1245. [Google Scholar] [CrossRef]
  18. Lanford, R.E.; Guerra, B.; Chavez, D.; Giavedoni, L.; Hodara, V.L.; Brasky, K.M.; Fosdick, A.; Frey, C.R.; Zheng, J.; Wolfgang, G.; et al. GS-9620, an Oral Agonist of Toll-Like Receptor-7, Induces Prolonged Suppression of Hepatitis B Virus in Chronically Infected Chimpanzees. Gastroenterology 2013, 144, 1508–1517. [Google Scholar] [CrossRef] [PubMed]
  19. Baxter, A.D.; Boyd, E.A.; Cox, P.B.; Loh, V., Jr.; Monteils, C.; Proud, A. 4,6-Dichloro-5-Nitropyrimidine: A Versatile Building Block for the Solid-Phase Synthesis of Dihydropteridinones. Tetrahedron Lett. 2000, 41, 8177–8181. [Google Scholar] [CrossRef]
  20. Nagashima, T.; Zhang, W. Solution-Phase Parallel Synthesis of an N-Alkylated Dihydropteridinone Library from Fluorous Amino Acids. J. Comb. Chem. 2004, 6, 942–949. [Google Scholar] [CrossRef]
  21. Metzger, A.; Qin, L.Y.; Cole, A.G.; Saionz, K.W.; Brescia, M.R.; Gstach, H.; Wareing, J.R.; Zimmermann, J.; Brill, W.K.-D.; Baldwin, J.J.; et al. Combined Solution-Phase and Solid-Phase Synthesis of 2-Amino-7,8-Dihydropteridin-6(5H)-Ones. Tetrahedron Lett. 2009, 50, 7082–7085. [Google Scholar] [CrossRef]
  22. Stone, S.; Wang, T.; Liang, J.; Cochran, J.; Green, J.; Gu, W. Application of Design of Experiments (DoE) Optimisation to the One-Pot Synthesis of 4,6-Dihydropteridinones. Org. Biomol. Chem. 2015, 13, 10471–10476. [Google Scholar] [CrossRef]
  23. Ishimoto, K.; Nakaoka, K.; Yabe, O.; Nishiguchi, A.; Ikemoto, T. A Practical Chromatography-Free Synthesis of a 5,6-Dihydroimidazolo[1,5-f]Pteridine Derivative as a Polo-like Kinase-1 Inhibitor. Tetrahedron 2018, 74, 5779–5790. [Google Scholar] [CrossRef]
  24. Brulikova, L.; Krupkova, S.; Labora, M.; Motyka, K.; Hradilova, L.; Mistrik, M.; Bartek, J.; Hlavac, J. Synthesis and Study of Novel PH-Independent Fluorescent Mitochondrial Labels Based on Rhodamine B. RSC Adv. 2016, 6, 23242–23251. [Google Scholar] [CrossRef]
  25. Brulikova, L.; Okorochenkova, Y.; Hlavac, J. A Solid-Phase Synthetic Approach to PH-Independent Rhodamine-Type Fluorophores. Org. Biomol. Chem. 2016, 14, 10437–10443. [Google Scholar] [CrossRef]
  26. Machníková, R.; Janovská, L.; Brulíková, L. Solid-Phase Synthetic Approach towards New Pyrimidines as Potential Antibacterial Agents. J. Mol. Struct. 2020, 1200, 127101. [Google Scholar] [CrossRef]
Figure 1. Representative examples of biologically active pteridinones and pyrimidodiazepinones.
Figure 1. Representative examples of biologically active pteridinones and pyrimidodiazepinones.
Molecules 26 01603 g001
Figure 2. Overview of known methodologies.
Figure 2. Overview of known methodologies.
Molecules 26 01603 g002
Figure 3. Overview of the target compounds and used building blocks.
Figure 3. Overview of the target compounds and used building blocks.
Molecules 26 01603 g003
Scheme 1. Reagents and conditions: (i) Fmoc-amino acid, N-hydroxybenzotriazole (HOBt), DMAP, DIC, DMF/DCM (1:1, v/v), rt, 16 h; (ii) 50% piperidine/DMF, rt, 15 min; (iii) 4,6-dichloro-5-nitropyrimidine, DIEA, dry DMF, rt, 2 h; (iv) amine, DIEA, DMF, rt, 16 h; (v) Na2S2O4, K2CO3, ethylviologen diiodide, DCM/H2O (1:1, v/v), rt, 16 h; (vi) 50% TFA/DCM, rt, 1 h; and (vii) Zn, AcOH, rt, 1 h.
Scheme 1. Reagents and conditions: (i) Fmoc-amino acid, N-hydroxybenzotriazole (HOBt), DMAP, DIC, DMF/DCM (1:1, v/v), rt, 16 h; (ii) 50% piperidine/DMF, rt, 15 min; (iii) 4,6-dichloro-5-nitropyrimidine, DIEA, dry DMF, rt, 2 h; (iv) amine, DIEA, DMF, rt, 16 h; (v) Na2S2O4, K2CO3, ethylviologen diiodide, DCM/H2O (1:1, v/v), rt, 16 h; (vi) 50% TFA/DCM, rt, 1 h; and (vii) Zn, AcOH, rt, 1 h.
Molecules 26 01603 sch001
Scheme 2. Reagents and conditions: (i) Fmoc-Pro-OH, N-hydroxybenzotriazole (HOBt), DMAP, DIC, DMF/DCM (1:1, v/v), rt, 16 h; (ii) 50% piperidine/DMF, rt, 15 min; (iii) 4,6-dichloro-5-nitropyrimidine, DIEA, dry DMF, rt, 2 h; (iv) amine, DIEA, DMF, rt, 16 h; (v) 50% TFA/DCM, rt, 1 h; and (vi) Zn, AcOH, rt, 3 h.
Scheme 2. Reagents and conditions: (i) Fmoc-Pro-OH, N-hydroxybenzotriazole (HOBt), DMAP, DIC, DMF/DCM (1:1, v/v), rt, 16 h; (ii) 50% piperidine/DMF, rt, 15 min; (iii) 4,6-dichloro-5-nitropyrimidine, DIEA, dry DMF, rt, 2 h; (iv) amine, DIEA, DMF, rt, 16 h; (v) 50% TFA/DCM, rt, 1 h; and (vi) Zn, AcOH, rt, 3 h.
Molecules 26 01603 sch002
Scheme 3. Reagents and conditions: (i) Fmoc-β-Ala-OH, N-hydroxybenzotriazole (HOBt), DMAP, DIC, DMF/DCM (1:1, v/v), rt, 16 h; (ii) 50% piperidine/DMF, rt, 15 min; (iii) 4,6-dichloro-5-nitropyrimidine, DIEA, dry DMF, rt, 2 h; (iv) amine, DIEA, DMF, rt, 16 h; (v) 50% TFA/DCM, rt, 1 h; and (vi) Zn, AcOH, 80 °C, 3–13 h.
Scheme 3. Reagents and conditions: (i) Fmoc-β-Ala-OH, N-hydroxybenzotriazole (HOBt), DMAP, DIC, DMF/DCM (1:1, v/v), rt, 16 h; (ii) 50% piperidine/DMF, rt, 15 min; (iii) 4,6-dichloro-5-nitropyrimidine, DIEA, dry DMF, rt, 2 h; (iv) amine, DIEA, DMF, rt, 16 h; (v) 50% TFA/DCM, rt, 1 h; and (vi) Zn, AcOH, 80 °C, 3–13 h.
Molecules 26 01603 sch003
Table 1. Overview of synthesized dihydropteridinones 1.
Table 1. Overview of synthesized dihydropteridinones 1.
Molecules 26 01603 i001
ProductR1R2Crude Purity a [%]Final Purity b [%]Overall Yield c [%]
1aMolecules 26 01603 i002Molecules 26 01603 i005929887
1bMolecules 26 01603 i002Molecules 26 01603 i006899967
1cMolecules 26 01603 i002Molecules 26 01603 i007789974
1dMolecules 26 01603 i002Molecules 26 01603 i008849875
1eMolecules 26 01603 i002Molecules 26 01603 i009859766
1fMolecules 26 01603 i002Molecules 26 01603 i010889691
1gMolecules 26 01603 i002Molecules 26 01603 i011759790
1hMolecules 26 01603 i002Molecules 26 01603 i012889892
1iMolecules 26 01603 i003Molecules 26 01603 i013989889
1jMolecules 26 01603 i003Molecules 26 01603 i014749976
1kMolecules 26 01603 i003Molecules 26 01603 i015789991
1lMolecules 26 01603 i003Molecules 26 01603 i016849980
1mMolecules 26 01603 i003Molecules 26 01603 i017779882
1nMolecules 26 01603 i003Molecules 26 01603 i018789892
1oMolecules 26 01603 i003Molecules 26 01603 i019779889
1pMolecules 26 01603 i003Molecules 26 01603 i020809870
1qMolecules 26 01603 i004Molecules 26 01603 i021959768
1rMolecules 26 01603 i004Molecules 26 01603 i022729866
1sMolecules 26 01603 i004Molecules 26 01603 i023699976
1tMolecules 26 01603 i004Molecules 26 01603 i024909841
1uMolecules 26 01603 i004Molecules 26 01603 i025809779
1vMolecules 26 01603 i004Molecules 26 01603 i026889760
1wMolecules 26 01603 i004Molecules 26 01603 i027829863
1xMolecules 26 01603 i004Molecules 26 01603 i028739765
a Overall purity of crude products estimated from LC-MS traces at 210–400 nm; b Determined from the HPLC-UV traces after purification (210−400 nm); and c Isolated yield after purification.
Table 2. Overview of synthesized tetrahydropyrrolopteridinones 2.
Table 2. Overview of synthesized tetrahydropyrrolopteridinones 2.
Molecules 26 01603 i029
ProductR2Crude Purity a [%]Final Purity b [%]Overall Yield c [%]
2aMolecules 26 01603 i030689875
2bMolecules 26 01603 i031639947
2cMolecules 26 01603 i032659887
2dMolecules 26 01603 i033959881
2eMolecules 26 01603 i034799780
2fMolecules 26 01603 i035619734
2gMolecules 26 01603 i036719860
2hMolecules 26 01603 i037749957
a Overall purity of crude products estimated from LC-MS traces at 210–400 nm; b Determined from the HPLC-UV traces after purification (210−400 nm); and c Isolated yield after purification.
Table 3. Summary of reaction conditions for cyclization leading to pyrimidodiazepinones 3.
Table 3. Summary of reaction conditions for cyclization leading to pyrimidodiazepinones 3.
EntryR2The Ratio of 17:3 (%)
Molecules 26 01603 i038
rt50 °C80 °C
aMolecules 26 01603 i03979:21, 16 h61:39, 16 h0:100, 3h
bMolecules 26 01603 i040100:0, 16 h52:48, 16 h0:100, 3h
cMolecules 26 01603 i041100:0, 16 h78:22, 16 h66:34, 3h
0:100, 6h
dMolecules 26 01603 i042100:0, 16 h50:50, 16 h0:100, 3h
eMolecules 26 01603 i043100:0, 16 h69:31, 16 h8:92, 3h
0:100, 4h
fMolecules 26 01603 i044100:0, 16 h56:44, 16 h0:100, 3h
gMolecules 26 01603 i045100:0, 16 h100:0, 16 h22:78, 3h
0:100, 13h
hMolecules 26 01603 i046100:0, 16 h79:21, 16 h54:46, 3h
0:100, 6h
Table 4. Overview of synthesized pyrimidodiazepinones 3.
Table 4. Overview of synthesized pyrimidodiazepinones 3.
Molecules 26 01603 i047
ProductR2Crude Purity a [%]Final Purity b [%]Overall Yield c [%]
3aMolecules 26 01603 i048499845
3bMolecules 26 01603 i049589842
3cMolecules 26 01603 i050699955
3dMolecules 26 01603 i051499745
3eMolecules 26 01603 i052529840
3fMolecules 26 01603 i053519838
3gMolecules 26 01603 i054699946
3hMolecules 26 01603 i055619951
a Overall purity of crude products estimated from LC-MS traces at 210–400 nm; b Determined from the HPLC-UV traces after purification (210−400 nm); and c Isolated yield after purification.
Publisher’s Note: MDPI stays neutral with regard to jurisdictional claims in published maps and institutional affiliations.

Share and Cite

MDPI and ACS Style

Chasák, J.; Brulíková, L. Polymer-Supported Synthesis of Various Pteridinones and Pyrimidodiazepinones. Molecules 2021, 26, 1603. https://doi.org/10.3390/molecules26061603

AMA Style

Chasák J, Brulíková L. Polymer-Supported Synthesis of Various Pteridinones and Pyrimidodiazepinones. Molecules. 2021; 26(6):1603. https://doi.org/10.3390/molecules26061603

Chicago/Turabian Style

Chasák, Jan, and Lucie Brulíková. 2021. "Polymer-Supported Synthesis of Various Pteridinones and Pyrimidodiazepinones" Molecules 26, no. 6: 1603. https://doi.org/10.3390/molecules26061603

APA Style

Chasák, J., & Brulíková, L. (2021). Polymer-Supported Synthesis of Various Pteridinones and Pyrimidodiazepinones. Molecules, 26(6), 1603. https://doi.org/10.3390/molecules26061603

Article Metrics

Back to TopTop