Metal-based Heterogeneous Catalysts for One-Pot Synthesis of Secondary Anilines from Nitroarenes and Aldehydes
Abstract
1. Introduction
1.1. General Considerations
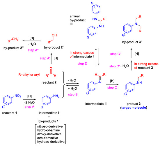
1.2. Mechanism of the One-pot Synthesis of A Secondary Aniline from Nitroarene and Aldehyde
1.3. Mechanism Pathways of the Nitroarene Reduction (Step A of Scheme 1)
1.4. Mechanism Pathways of the Imine Formation (Step B of Scheme 1)
1.5. Kinetic Considerations on the Imine Hydrogenation (Step C of Scheme 1)
2. Metal-Catalyzed One-pot Reductive Amination Reaction
2.1. Platinum Group Metals: Palladium
2.2. Platinum Group Metals: Platinum
2.3. Platinum Group Metals: Iridium
2.4. Platinum Group Metals: Ruthenium
2.5. Platinum Group Metals: Rhodium
2.6. Other Noble Metals (Group 11): Gold
2.7. Other Noble Metals (Group 11): Silver
2.8. Other Metals (Group 11): Copper
2.9. Transition Metals of the First Row of Group VIII: Iron
2.10. Transition Metals of the First Row of Group VIII: Cobalt
2.11. Transition Metals of the First Row of Group VIII: Nickel
2.12. MoS2 Catalyst
2.13. Heterobimetallic Catalysts
2.13.1. PdAg
2.13.2. PdAu
2.13.3. PdPt
2.13.4. CoRh
2.13.5. FeNi
3. Conclusions
Author Contributions
Funding
Conflicts of Interest
References
- Lawrence, S.A. Amines: Synthesis Properties and Applications; Cambridge University Press: Cambridge, UK, 2004. [Google Scholar]
- Ricci, A. (Ed.) Amino Group Chemistry: From Synthesis to the Life Sciences; Wiley-VCH: Weinheim, Germany, 2008. [Google Scholar]
- Ricci, A. (Ed.) Modern Amination Methods; Wiley-VCH: Weinheim, Germany, 2000. [Google Scholar]
- Salvatore, R.N.; Yoon, C.H.; Jung, K.W. Synthesis of secondary amines. Tetrahedron 2001, 57, 7785–7811. [Google Scholar] [CrossRef]
- Janey, J.M. Amine Synthesis. In Name Reactions for Functional Group Transformations; Li, J.J., Corey, E.J., Eds.; John Wiley & Sons, Inc.: New York, NY, USA, 2007; Chapter 5; pp. 423–437. [Google Scholar]
- Smith, M.B. March’s Advanced Organic Chemistry, 7th ed.; John Wiley & Sons, Inc.: Hoboken, NJ, USA, 2013; pp. 1090–1093. [Google Scholar]
- Gomez, S.; Peters, J.A.; Maschmeyer, T. The Reductive Amination of Aldehydes and Ketones and the Hydrogenation of Nitriles: Mechanistic Aspects and Selectivity Control. Adv. Synth. Catal. 2002, 344, 1037–1058. [Google Scholar] [CrossRef]
- Baxter, E.W.; Reitz, A.B. Reductive Aminations of Carbonyl Compounds with Borohydride and Borane Reducing Agents. In Organic Reactions; Overman, L.E., Ed.; John Wiley & Sons, Inc.: New York, NY, USA, 2002; Volume 59. [Google Scholar]
- Tripathi, R.P.; Verma, S.S.; Pandey, J.; Tiwari, V.K. Recent Development on Catalytic Reductive Amination and Applications. Curr. Org. Chem. 2008, 12, 1093–1115. [Google Scholar] [CrossRef]
- Alinezhad, H.; Yavari, H.; Salehian, F. Recent Advances in Reductive Amination Catalysis and Its Applications. Curr. Org. Chem. 2015, 19, 1021–1049. [Google Scholar] [CrossRef]
- Gusak, K.N.; Ignatovich, Z.V.; Koroleva, E.V. New potential of the reductive alkylation of amines. Russ. Chem. Rev. 2015, 84, 288–309. [Google Scholar] [CrossRef]
- Fu, B.; Li, N.; Liang, X.-M.; Dong, Y.-H.; Wang, D.-Q. Recent Progress in Reductive Amination Reaction. Chin. J. Org. Chem. 2007, 27, 1–7. [Google Scholar]
- Podyacheva, E.; Afanasyev, O.I.; Tsygankov, A.A.; Makarova, M.; Chusov, D. Hitchhiker’s Guide to Reductive Amination. Synthesis 2019, 51, 2667–2677. [Google Scholar] [CrossRef]
- Afanasyev, O.I.; Kuchuk, E.; Usanov, D.L.; Chusov, D. Reductive Amination in the Synthesis of Pharmaceuticals. Chem. Rev. 2019, 119, 11857–11911. [Google Scholar] [CrossRef]
- Abdel-Magid, A.F.; Carson, K.G.; Harris, B.D.; Maryanoff, C.A.; Shah, R.D. Reductive Amination of Aldehydes and Ketones with Sodium Triacetoxyborohydride. Studies on Direct and Indirect Reductive Amination Procedures. J. Org. Chem. 1996, 61, 3849–3862. [Google Scholar] [CrossRef]
- Formenti, D.; Ferretti, F.; Scharnagl, F.K.; Beller, M. Reduction of Nitro Compounds Using 3d-Non-Noble Metal Catalysts. Chem. Rev. 2019, 119, 2611–2680. [Google Scholar] [CrossRef]
- Orlandi, M.; Brenna, D.; Harms, R.; Jost, S.; Benaglia, M. Recent Developments in the Reduction of Aromatic and Aliphatic Nitro Compounds to Amines. Org. Process Res. Dev. 2018, 22, 430–445. [Google Scholar] [CrossRef]
- Kadam, H.K.; Tilve, S.G. Advancement in methodologies for reduction of nitroarenes. RSC Adv. 2015, 5, 83391–83407. [Google Scholar] [CrossRef]
- Ono, N. The Nitro Group in Organic Synthesis; Wiley: New York, NY, USA, 2001. [Google Scholar]
- Climent, M.J.; Corma, A.; Iborra, S. Heterogeneous Catalysts for the One-Pot Synthesis of Chemicals and Fine Chemicals. Chem. Rev. 2011, 111, 1072–1133. [Google Scholar] [CrossRef]
- Hayashi, Y. Pot economy and one-pot synthesis. Chem. Sci. 2016, 7, 866–880. [Google Scholar] [CrossRef]
- Sukhorukov, A.Y. Catalytic Reductive Amination of Aldehydes and Ketones with Nitro Compounds: New Light on an Old Reaction. Front. Chem. 2020, 8, 215. [Google Scholar] [CrossRef] [PubMed]
- Murugesan, K.; Senthamarai, T.; Chandrashekhar, V.G.; Natte, K.; Kamer, P.C.J.; Beller, M.; Jagadeesh, R.V. Catalytic reductive aminations using molecular hydrogen for synthesis of different kinds of amines. Chem. Soc. Rev. 2020, 49, 6273–6328. [Google Scholar] [CrossRef]
- Torsten, I.; Kempe, R. Transition-Metal-Catalyzed Reductive Amination Employing Hydrogen. Chem. Rev. 2020, 120, 9583–9674. [Google Scholar]
- Corma, A.; Concepcion, P.; Serna, P. A Different Reaction Pathway for the Reduction of Aromatic Nitro Compounds on Gold Catalysts. Angew. Chem. Int. Ed. 2007, 46, 7266–7269. [Google Scholar] [CrossRef] [PubMed]
- Dubois, V.; Jannes, G.; Verhasselt, P. Heterogeneous Catalysis and Fine Chemicals IV; Blaser, H.U., Baiker, A., Prins, R., Eds.; Elsevier: Amsterdam, The Netherlands, 1997; pp. 263–271. [Google Scholar]
- Burge, H.D.; Collins, D.J. Intermediates in the Raney Nickel Catalyzed Hydrogenation of Nitrobenzene to Aniline. Ind. Eng. Chem. Prod. Res. Dev. 1980, 19, 389–391. [Google Scholar] [CrossRef]
- Höller, V.; Wegricht, D.; Yuranov, I.; Kiwi-Minsker, L.; Renken, A. Three-Phase Nitrobenzene Hydrogenation over Supported Glass Fiber Catalysts: Reaction Kinetics Study. Chem. Eng. Technol. 2000, 23, 251–255. [Google Scholar] [CrossRef]
- Figueras, F.; Coq, B. Hydrogenation and hydrogenolysis of nitro-, nitroso-, azo-, azoxy and other nitrogen-containing compounds on palladium. J. Mol. Catal. A-Chem. 2001, 173, 223–230. [Google Scholar] [CrossRef]
- Huang, J.; Jiang, Y.; Van Vegten, N.; Hunger, M.; Baiker, A. Tuning the support acidity of flame-made Pd/SiO2–Al2O3 catalysts for chemoselective hydrogenation. J. Catal. 2011, 281, 352–360. [Google Scholar] [CrossRef]
- La Sorella, G.; Sperni, L.; Canton, P.; Coletti, L.; Fabris, F.; Strukul, G.; Scarso, A. Selective Hydrogenations and Dechlorinations in Water Mediated by Anionic Surfactant-Stabilized Pd Nanoparticles. J. Org. Chem. 2018, 83, 7438–7446. [Google Scholar] [CrossRef]
- Blaser, H.-U.; Steiner, H.; Studer, M. Selective Catalytic Hydrogenation of Functionalized Nitroarenes: An Update. ChemCatChem 2009, 1, 210–221. [Google Scholar] [CrossRef]
- Wang, X.; Liang, M.; Zhang, J.; Wang, Y. Selective Hydrogenation of Aromatic Chloronitro Compounds. Curr. Org. Chem. 2007, 11, 299–314. [Google Scholar] [CrossRef]
- Song, S.; Wang, Y.; Yan, N. A remarkable solvent effect on reductive amination of ketones. Mol. Catal. 2018, 454, 87–93. [Google Scholar] [CrossRef]
- Raoufmoghaddam, S. Recent advances in catalytic C–N bond formation: A comparison of cascade hydroaminomethylation and reductive amination reactions with the corresponding hydroamidomethylation and reductive amidation reactions. Org. Biomol. Chem. 2014, 12, 7179–7193. [Google Scholar] [CrossRef] [PubMed]
- Ciaccia, M.; Di Stefano, S. Mechanisms of Imine Exchange Reactions in Organic Solvents. Org. Biomol. Chem. 2015, 13, 646–654. [Google Scholar] [CrossRef] [PubMed]
- Saha, A.; Ranu, B. Highly Chemoselective Reduction of Aromatic Nitro Compounds by Copper Nanoparticles/Ammonium Formate. J. Org. Chem. 2008, 73, 6867–6870. [Google Scholar] [CrossRef]
- Bullock, R.M. Catalytic Ionic Hydrogenations. Chem. Eur. J. 2004, 10, 2366–2374. [Google Scholar] [CrossRef]
- Major, R.T. Catalytic reduction of mixtures of para-nitro- and nitrosophenols with aldehydes and ketones. J. Am. Chem. Soc. 1931, 53, 1901–1908. [Google Scholar] [CrossRef]
- Emerson, W.S.; Mohrman, H.W. Secondary amines from nitro compounds. J. Am. Chem. Soc. 1940, 62, 69–70. [Google Scholar] [CrossRef]
- Emerson, W.S.; Uraneck, C.A. Secondary and tertiary amines from nitro compounds. J. Am. Chem. Soc. 1941, 63, 749–751. [Google Scholar] [CrossRef]
- Adams, R.; Shriner, R.L. Platinum oxide as a catalyst in the reduction of organic compounds. III. Preparation and properties of the oxide of platinum obtained by the fusion of chloroplatinic acid with sodium nitrate. J. Am. Chem. Soc. 1923, 45, 2171–2179. [Google Scholar] [CrossRef]
- Bae, J.W.; Cho, Y.J.; Lee, S.H.; Yoon, C.-O.M.; Yoon, C.M. A one-pot synthesis of N-alkylaminobenzenes from nitroaromatics: Reduction followed by reductive amination using B10H14. Chem. Commun. 2000, 1857–1858. [Google Scholar] [CrossRef]
- Jung, Y.J.; Bae, J.W.; Park, E.S.; Chang, Y.M.; Yoon, C.M. An efficient conversion of nitroaromatics and aromatic amines to tertiary amines in one-pot way. Tetrahedron 2003, 59, 10331–10338. [Google Scholar] [CrossRef]
- Byun, E.; Hong, B.; De Castro, K.A.; Lim, M.; Rhee, H. One-Pot Reductive Mono-N-alkylation of Aniline and Nitroarene Derivatives Using Aldehydes. J. Org. Chem. 2007, 72, 9815–9817. [Google Scholar] [CrossRef]
- Sydnes, M.O.; Isobe, M. One-pot reductive monoalkylation of nitro aryls with hydrogen over Pd/C. Tetrahedron Lett. 2008, 49, 1199–1202. [Google Scholar] [CrossRef]
- Sydnes, M.O.; Kuse, M.; Isobe, M. Reductive monoalkylation of nitro aryls in one-pot. Tetrahedron 2008, 64, 6406–6414. [Google Scholar] [CrossRef]
- Kudo, D.; Masui, Y.; Onaka, M. An Efficient Heterogeneous Pd Catalyst for the Suzuki Coupling: Pd/Al2O3. Chem. Lett. 2007, 36, 918–919. [Google Scholar] [CrossRef]
- Zhou, Y.; Zhou, H.; Liu, S.; Pi, D.; Shen, G. Water as a hydrogen source in palladium-catalyzed reduction and reductive amination of nitroarenes mediated by diboronic acid. Tetrahedron 2017, 73, 3898–3904. [Google Scholar] [CrossRef]
- Sreedhar, B.; Reddy, P.S.; Devi, D.K. Direct One-Pot Reductive Amination of Aldehydes with Nitroarenes in a Domino Fashion: Catalysis by Gum-Acacia-Stabilized Palladium Nanoparticles. J. Org. Chem. 2009, 74, 8806–8809. [Google Scholar] [CrossRef] [PubMed]
- Nasrollahzadeh, M. Green synthesis and catalytic properties of palladium nanoparticles for the direct reductive amination of aldehydes and hydrogenation of unsaturated ketones. New J. Chem. 2014, 38, 5544–5550. [Google Scholar] [CrossRef]
- Reina, A.; Pradel, C.; Martin, E.; Teuma, E.; Gomez, M. Palladium nanoparticles stabilised by cinchona-based alkaloids in glycerol: Efficient catalysts for surface assisted processes. RSC Adv. 2016, 6, 93205–93216. [Google Scholar] [CrossRef]
- Dell’Anna, M.M.; Mastrorilli, P.; Rizzuti, A.; Leonelli, C. One-pot synthesis of aniline derivatives from nitroarenes under mild conditions promoted by a recyclable polymer-supported palladium catalyst. Appl. Catal. A Gen. 2011, 401, 134–140. [Google Scholar] [CrossRef]
- Dell’Anna, M.M.; Intini, S.; Romanazzi, G.; Rizzuti, A.; Leonelli, C.; Piccinni, F.; Mastrorilli, P. Polymer supported palladium nanocrystals as efficient and recyclable catalyst for the reduction of nitroarenes to anilines under mild conditions in water. J. Mol. Catal. A Chem. 2014, 395, 307–314. [Google Scholar] [CrossRef]
- Dell’Anna, M.M.; Capodiferro, V.F.; Mali, M.; Manno, D.; Cotugno, P.; Monopoli, A.; Mastrorilli, P. Highly selective hydrogena-tion of quinolines promoted by recyclable polymer supported palladium nanoparticles under mild conditions in aqueous me-dium. Appl. Catal. A 2014, 481, 89–95. [Google Scholar] [CrossRef]
- Dell’Anna, M.M.; Romanazzi, G.; Intini, S.; Rizzuti, A.; Leonelli, C.; Piccinni, A.F.; Mastrorilli, P. A polymer supported palla-dium(II) β-ketoesterate complex as active and recyclable pre-catalyst for selective reduction of quinolines in water with sodium borohydride. J. Mol. Catal. A Chem. 2015, 402, 83–91. [Google Scholar] [CrossRef]
- Mastrorilli, P.; Dell’Anna, M.M.; Rizzuti, A.; Mali, M.; Zapparoli, M.; Leonelli, C. Resin-Immobilized Palladium Nanoparticle Catalysts for Organic Reactions in Aqueous Media: Morphological Aspects. Molecules 2015, 20, 18661–18684. [Google Scholar] [CrossRef] [PubMed]
- Dell’Anna, M.M.; Mali, M.; Mastrorilli, P.; Cotugno, P.; Monopoli, A. Oxidation of benzyl alcohols to aldehydes and ketones under air in water using a polymer supported palladium catalyst. J. Mol. Catal. A Chem. 2014, 386, 114–119. [Google Scholar] [CrossRef]
- Dell’Anna, M.M.; Capodiferro, V.F.; Mali, M.; Mastrorilli, P. Esterification, transesterification and hydrogenation reactions of polyunsaturated compounds catalyzed by a recyclable polymer supported palladium catalyst. J. Organomet. Chem. 2016, 818, 106–114. [Google Scholar] [CrossRef]
- Li, H.; Dong, Z.; Wang, P.; Zhang, F.; Ma, J. One-pot reductive monoalkylation of nitro aryls using aromatic aldehydes with H2 over Pd/SiO2. React. Kinet. Mech. Catal. 2012, 108, 107–115. [Google Scholar] [CrossRef]
- Kalbasi, R.J.; Mazaheri, O. Facile one-pot tandem reductive amination of aldehydes from nitroarenes over a hierarchical ZSM-5 zeolite containing palladium nanoparticles. New J. Chem. 2016, 40, 9627–9637. [Google Scholar] [CrossRef]
- Wei, S.; Dong, Z.; Ma, Z.; Sun, J.; Ma, J. Palladium supported on magnetic nanoparticles as recoverable catalyst for one-pot reductive amination of aldehydes with nitroarenes under ambient conditions. Catal. Commun. 2013, 30, 40–44. [Google Scholar] [CrossRef]
- Wang, P.; Liu, H.; Niu, J.; Li, R.; Ma, J. Entangled Pd complexes over Fe3O4@SiO2 as supported catalysts for hydrogenation and Suzuki reactions. Catal. Sci. Technol. 2014, 4, 1333–1339. [Google Scholar] [CrossRef]
- Zhou, J.; Dong, Z.; Wang, P.; Shi, Z.; Zhou, X.; Li, R. Palladium supported on hollow magnetic mesoporous spheres as recoverable catalyst for one-pot reductive amination of aldehydes with nitroarenes under mild conditions. J. Mol. Catal. A Chem. 2014, 382, 15–22. [Google Scholar] [CrossRef]
- Zhou, X.; Li, X.; Jiao, L.; Huo, H.; Li, R. Programmed Synthesis Palladium Supported on Fe3O4@C: An Efficient and Heteroge-neous Recyclable Catalyst for One-Pot Reductive Amination of Aldehydes with Nitroarenes in Aqueous Reaction Medium. Catal. Lett. 2015, 145, 1591–1599. [Google Scholar] [CrossRef]
- Bhardwaj, M.; Sharma, H.; Paul, S.; Clark, J.H. Fe3O4@SiO2/EDAC–Pd(0) as a novel and efficient inorganic/organic magnetic composite: Sustainable catalyst for the benzylic C–H bond oxidation and reductive amination under mild conditions. New J. Chem. 2016, 40, 4952–4961. [Google Scholar] [CrossRef]
- Sharma, H.; Bhardwaj, M.; Kour, M.; Paul, S. Highly efficient magnetic Pd(0) nanoparticles stabilized by amine functionalized starch for organic transformations under mild conditions. Mol. Catal. 2017, 435, 58–68. [Google Scholar] [CrossRef]
- Nasrollahzadeh, M.; Sajadi, S.M. Preparation of Pd/F3O4 nanoparticles by use of Euphorbia stracheyi Boiss root extract: A magnetically recoverable catalyst for one-pot reductive amination of aldehydes at room temperature. J. Colloid Interface Sci. 2016, 464, 147–152. [Google Scholar] [CrossRef] [PubMed]
- Cao, Y.; Li, Z.; Hou, C.; Cao, X. Nanoporous palladium catalyzed one-pot synthesis N-alkyl amines by hydrogen transfer reaction under mild conditions. Inorg. Chem. Commun. 2020, 120, 108143. [Google Scholar] [CrossRef]
- Hu, L.; Cao, X.; Ge, D.; Hong, H.; Guo, Z.; Chen, L.; Sun, X.; Tang, J.; Zheng, J.; Lu, J.; et al. Ultrathin Platinum Nanowire Catalysts for Direct C—N Coupling of Carbonyls with Aromatic Nitro Compounds under 1 Bar of Hydrogen. Chem. A Eur. J. 2011, 17, 14283–14287. [Google Scholar] [CrossRef] [PubMed]
- Sreedhar, B.; Rawat, V.S. Mild and Efficient PtO2 -Catalyzed One-Pot Reductive Mono- N -alkylation of Nitroarenes. Synth. Commun. 2012, 42, 2490–2502. [Google Scholar] [CrossRef]
- Han, X.; Chen, X.; Zou, Y.; Zhang, S. Electronic state regulation of supported Pt catalysts dictates selectivity of imines/secondary amines from the cascade transformation of nitroarenes and aldehydes. Appl. Catal. B 2020, 268, 118451. [Google Scholar] [CrossRef]
- Pintado-Sierra, M.; Rasero-Almansa, A.M.; Corma, A.; Iglesias, M.; Sánchez, F. Bifunctional iridium-(2-aminoterephthalate)–Zr-MOF chemoselective catalyst for the synthesis of secondary amines by one-pot three-step cascade reaction. J. Catal. 2013, 299, 137–145. [Google Scholar] [CrossRef]
- Sui, D.; Mao, F.; Fan, H.; Qi, Z.; Huang, J. General Reductive Amination of Aldehydes and Ketones with Amines and Ni-troaromatics under H2 by Recyclable Iridium Catalysts. Chin. J. Chem. 2017, 35, 1371–1377. [Google Scholar] [CrossRef]
- Del Pozo, C.; Corma, A.; Iglesias, M.; Sánchez, F. Multisite solid (NHC)NN-Ru-catalysts for cascade reactions: Synthesis of secondary amines from nitro compounds. J. Catal. 2012, 291, 110–116. [Google Scholar] [CrossRef]
- Westerhaus, F.A.; Jagadeesh, R.V.; Wienhöfer, G.; Pohl, M.-M.; Radnik, J.; Surkus, A.-E.; Rabeah, J.; Junge, K.; Junge, H.; Nielsen, M.; et al. Heterogenized cobalt oxide catalysts for nitroarene reduction by pyrolysis of molecularly defined complexes. Nat. Chem. 2013, 5, 537–543. [Google Scholar] [CrossRef]
- Jagadeesh, R.V.; Surkus, A.-E.; Junge, H.; Pohl, M.-M.; Radnik, J.; Rabeah, J.; Huan, H.; Schünemann, V.; Brückner, A.; Beller, M. Nanoscale Fe2O3-Based Catalysts for Selective Hydrogenation of Nitroarenes to Anilines. Science 2013, 342, 1073–1076. [Google Scholar] [CrossRef]
- Huang, L.; Wang, Z.; Geng, L.; Chen, R.; Xing, W.; Wang, Y.; Huang, J. Selective and recyclable rhodium nanocatalysts for the reductive N-alkylation of nitrobenzenes and amines with aldehydes. RSC Adv. 2015, 5, 56936–56941. [Google Scholar] [CrossRef]
- Boronat, M.; Concepción, P.; Corma, A.; González, S.; Illas, F.; Serna, P. A Molecular Mechanism for the Chemoselective Hy-drogenation of Substituted Nitroaromatics with Nanoparticles of Gold on TiO2 Catalysts: A Cooperative Effect between Gold and the Support. J. Am. Chem. Soc. 2007, 129, 16230–16237. [Google Scholar] [CrossRef] [PubMed]
- Santos, L.L.; Serna, P.; Corma, A. Chemoselective Synthesis of Substituted Imines, Secondary Amines, and β-Amino Carbonyl Compounds from Nitroaromatics through Cascade Reactions on Gold Catalysts. Chem. A Eur. J. 2009, 15, 8196–8203. [Google Scholar] [CrossRef]
- Yamane, Y.; Liu, X.; Hamasaki, A.; Ishida, T.; Haruta, M.; Yokoyama, T.; Tokunaga, M. One-Pot Synthesis of Indoles and Aniline Derivatives from Nitroarenes under Hydrogenation Condition with Supported Gold Nanoparticles. Org. Lett. 2009, 11, 5162–5165. [Google Scholar] [CrossRef]
- Artiukha, E.A.; Nuzhdin, A.L.; Bukhtiyarova, G.A.; Zaytsev, S.Y.; Plyusnin, P.E.; Shubin, Y.V.; Bukhtiyarov, V.I. One-pot reductive amination of aldehydes with nitroarenes over an Au/Al2O3 catalyst in a continuous flow reactor. Catal. Sci. Technol. 2015, 5, 4741–4745. [Google Scholar] [CrossRef]
- Nuzhdin, A.L.; Artiukha, E.A.; Bukhtiyarova, G.A.; Zaytsev, S.Y.; Plyusnin, P.E.; Shubin, Y.V.; Bukhtiyarov, V.I. Synthesis of unsaturated secondary amines by direct reductive amination of aliphatic aldehydes with nitroarenes over Au/Al2O3 catalyst in continuous flow mode. RSC Adv. 2016, 6, 88366–88372. [Google Scholar] [CrossRef]
- Zhang, Q.; Li, S.-S.; Zhu, M.-M.; Liu, Y.-M.; He, H.-Y.; Cao, Y. Direct reductive amination of aldehydes with nitroarenes using bio-renewable formic acid as a hydrogen source. Green Chem. 2015, 18, 2507–2513. [Google Scholar] [CrossRef]
- Fiorio, J.L.; Araújo, T.P.; Barbosa, E.C.; Quiroz, J.; Camargo, P.H.; Rudolph, M.; Hashmi, A.S.K.; Rossi, L.M. Gold-amine cooperative catalysis for reductions and reductive aminations using formic acid as hydrogen source. Appl. Catal. B Environ. 2020, 267, 118728. [Google Scholar] [CrossRef]
- Artiukha, E.A.; Nuzhdin, A.L.; Bukhtiyarova, G.A.; Bukhtiyarov, V.I. Flow synthesis of secondary amines over Ag/Al2O3 catalyst by one-pot reductive amination of aldehydes with nitroarenes. RSC Adv. 2017, 7, 45856–45861. [Google Scholar] [CrossRef]
- Nuzhdin, A.L.; Artiukha, E.A.; Bukhtiyarova, G.A.; Derevyannikova, E.A.; Bukhtiyarov, V.I. Synthesis of secondary amines by reductive amination of aldehydes with nitroarenes over supported copper catalysts in a flow reactor. Catal. Commun. 2017, 102, 108–113. [Google Scholar] [CrossRef]
- Artyukha, E.A.; Nuzhdin, A.L.; Bukhtiyarova, G.A.; Derevyannikova, E.A.; Gerasimov, E.Y.; Gladkii, A.Y.; Bukhtiyarov, V.I. One-Pot Synthesis of Secondary Amines from Nitroarenes and Aldehydes on Supported Copper Catalysts in a Flow Reactor: The Effect of the Support. Kinet. Catal. 2018, 59, 593–600. [Google Scholar] [CrossRef]
- Stemmler, T.; Surkus, A.-E.; Pohl, M.-M.; Junge, K.; Beller, M. Iron-Catalyzed Synthesis of Secondary Amines: On the Way to Green Reductive Aminations. ChemSusChem 2014, 7, 3012–3016. [Google Scholar] [CrossRef] [PubMed]
- Jagadeesh, R.V.; Stemmler, T.; Surkus, A.-E.; Junge, H.; Junge, K.; Beller, M. Hydrogenation using iron oxide–based nanocatalysts for the synthesis of amines. Nat. Protoc. 2015, 10, 548–557. [Google Scholar] [CrossRef] [PubMed]
- Stemmler, T.; Westerhaus, F.A.; Surkus, A.-E.; Pohl, M.-M.; Junge, K.; Beller, M. General and selective reductive amination of carbonyl compounds using a core–shell structured Co3O4/NGr@C catalyst. Green Chem. 2014, 16, 4535–4540. [Google Scholar] [CrossRef]
- Senthamarai, T.; Murugesan, K.; Natte, K.; Kalevaru, N.V.; Neumann, H.; Kamer, P.C.J.; Jagadeesh, R.V. Expedient synthesis of N-methyl- and N-alkylamines by reductive amination using reusable cobalt oxide nanoparticles. ChemCatChem 2018, 10, 1235–1240. [Google Scholar] [CrossRef]
- Jagadeesh, R.V.; Murugesan, K.; Alshammari, A.S.; Neumann, H.; Pohl, M.; Radnik, J.; Beller, M. MOF-derived cobalt na-noparticles catalyze a general synthesis of amines. Science 2017, 358, 326–332. [Google Scholar] [CrossRef]
- Cui, X.; Liang, K.; Tian, M.; Zhu, Y.; Ma, J.; Dong, Z. Cobalt nanoparticles supported on N-doped mesoporous carbon as a highly efficient catalyst for the synthesis of aromatic amines. J. Colloid Interface Sci. 2017, 501, 231–240. [Google Scholar] [CrossRef]
- Zhou, P.; Zhang, Z. One-pot reductive amination of carbonyl compounds with nitro compounds by transfer hydrogenation over Co–Nx as catalyst. ChemSusChem 2017, 10, 1892–1897. [Google Scholar] [CrossRef] [PubMed]
- Zhou, P.; Jiang, L.; Wang, F.; Deng, K.; Lv, K.; Zhang, Z. High performance of a cobalt–nitrogen complex for the reduction and reductive coupling of nitro compounds into amines and their derivatives. Sci. Adv. 2017, 3, e1601945. [Google Scholar] [CrossRef] [PubMed]
- Jiang, L.; Zhou, P.; Zhang, Z.; Chi, Q.; Jin, S. Environmentally friendly synthesis of secondary amines via one-pot reductive amination over a heterogeneous Co–Nx catalyst. New J. Chem. 2017, 41, 11991–11997. [Google Scholar] [CrossRef]
- Jiang, L.; Zhou, P.; Zhang, Z.; Jin, S.; Chi, Q. Synthesis of Secondary Amines from One-Pot Reductive Amination with Formic Acid as the Hydrogen Donor over an Acid-Resistant Cobalt Catalyst. Ind. Eng. Chem. Res. 2017, 56, 12556–12565. [Google Scholar] [CrossRef]
- Zhou, P.; Zhang, Z.; Jiang, L.; Yu, C.; Lv, K.; Sun, J.; Wang, S. A versatile cobalt catalyst for the reductive amination of carbonyl compounds with nitro compounds by transfer hydrogenation. Appl. Catal. B Environ. 2017, 210, 522–532. [Google Scholar] [CrossRef]
- Zhou, P.; Yu, C.; Jiang, L.; Lv, K.; Zhang, Z. One-pot reductive amination of carbonyl compounds with nitro compounds with CO/H2O as the hydrogen donor over non-noble cobalt catalyst. J. Catal. 2017, 352, 264–273. [Google Scholar] [CrossRef]
- Guo, H.; Wang, B.; Qiu, P.; Gao, R.; Sun, M.; Chen, L. N,S-Codoped Carbon Shells Embedded with Ultrafine Co NPs for Reductive Amination with Formic Acid. ACS Sustain. Chem. Eng. 2019, 7, 8876–8884. [Google Scholar] [CrossRef]
- Kalbasi, R.J.; Mazaheri, O. Synthesis and characterization of hierarchical ZSM-5 zeolite containing ni nanoparticles for one-pot reductive amination of aldehydes with nitroarenes. Catal. Commun. 2015, 69, 86–91. [Google Scholar] [CrossRef]
- Kalbasi, R.J.; Rezayi, S.F. A novel bi-functional metal/solid acid catalyst for the direct reductive amination of nitroarenes synthesized on a resistant mesoporous carbon (CMK-8) support. J. Porous Mater. 2018, 26, 641–654. [Google Scholar] [CrossRef]
- Li, J.; Wang, B.; Qin, Y.; Tao, Q.; Chen, L. MOF-derived Ni@NC catalyst: Synthesis, characterization, and application in one-pot hydrogenation and reductive amination. Catal. Sci. Technol. 2019, 9, 3726–3734. [Google Scholar] [CrossRef]
- Fiore, A.M.; Romanazzi, G.; Dell’Anna, M.M.; Latronico, M.; Leonelli, C.; Mali, M.; Rizzuti, A.; Mastrorilli, P. Mild and efficient synthesis of secondary aromatic amines by one-pot stepwise reductive amination of arylaldehydes with nitroarenes promoted by reusable nickel nanoparticles. Mol. Catal. 2019, 476, 110507. [Google Scholar] [CrossRef]
- Dell’Anna, M.M.; Romanazzi, G.; Mastrorilli, P. Polymer Supported Catalysts Obtained from Metal-Containing Monomers. Curr. Org. Chem. 2013, 17, 1236–1273. [Google Scholar] [CrossRef]
- Romanazzi, G.; Mastrorilli, P.; Latronico, M.; Mali, M.; Nacci, A.; DelľAnna, M.M. Catalytic activities of heterogeneous catalysts obtained by copolymerization of metal-containing 2-(acetoacetoxy)ethyl methacrylate. Open Chem. 2018, 16, 520–534. [Google Scholar] [CrossRef]
- Romanazzi, G.; Fiore, A.M.; Mali, M.; Rizzuti, A.; Leonelli, C.; Nacci, A.; Mastrorilli, P.; Dell’Anna, M.M. Polymer supported Nickel nanoparticles as recyclable catalyst for the reduction of nitroarenes to anilines in aqueous medium. Mol. Catal. 2018, 446, 31–38. [Google Scholar] [CrossRef]
- Kita, Y.; Kai, S.; Rustad, L.B.S.; Kamata, K.; Hara, M. One-pot reductive amination of carbonyl compounds with nitro compounds over a Ni/NiO composite. RSC Adv. 2020, 10, 32296–32300. [Google Scholar] [CrossRef]
- Zhang, Y.; Gao, Y.; Yao, S.; Li, S.; Asakura, H.; Teramura, K.; Wang, H.; Ma, D. Sublimation-Induced Sulfur Vacancies in MoS2 Catalyst for One-Pot Synthesis of Secondary Amines. ACS Catal. 2019, 9, 7967–7975. [Google Scholar] [CrossRef]
- Li, L.; Niu, Z.; Cai, S.; Zhi, Y.; Li, H.; Rong, H.; Liu, L.; Liu, L.; He, W.; Li, Y. A PdAg bimetallic nanocatalyst for selective reductive amination of nitroarenes. Chem. Commun. 2013, 49, 6843–6845. [Google Scholar] [CrossRef] [PubMed]
- Ergen, S.; Nişanci, B.; Metin, Ö. One-pot reductive amination of aldehydes with nitroarenes using formic acid as the hydrogen donor and mesoporous graphitic carbon nitride supported AgPd alloy nanoparticles as the heterogeneous catalyst. New J. Chem. 2018, 42, 10000–10006. [Google Scholar] [CrossRef]
- Zhang, S.; Metin, Ö.; Su, D.; Sun, S. Monodisperse AgPd Alloy Nanoparticles and Their Superior Catalysis for the Dehydro-genation of Formic Acid. Angew. Chem. Int. Ed. 2013, 52, 3681–3684. [Google Scholar] [CrossRef]
- Cho, A.; Byun, S.; Kim, B.M. AuPd–Fe3O4 Nanoparticle Catalysts for Highly Selective, One-Pot Cascade Nitro-Reduction and Reductive Amination. Adv. Synth. Catal. 2018, 360, 1253–1261. [Google Scholar] [CrossRef]
- Yin, D.; Li, C.; Ren, H.; Liu, J.; Liang, C. Gold-Palladium-Alloy-Catalyst Loaded UiO-66-NH2 for Reductive Amination with Nitroarenes Exhibiting High Selectivity. ChemistrySelect 2018, 3, 5092–5097. [Google Scholar] [CrossRef]
- Byun, S.; Song, Y.; Kim, B.M. Heterogenized Bimetallic Pd–Pt–Fe3O4 Nanoflakes as Extremely Robust, Magnetically Recyclable Catalysts for Chemoselective Nitroarene Reduction. ACS Appl. Mater. Interfaces 2016, 8, 14637–14647. [Google Scholar] [CrossRef]
- Kim, H.W.; Byun, S.; Kim, S.M.; Kim, H.J.; Lei, C.; Kang, D.Y.; Cho, A.; Kim, B.M.; Park, J.K. Simple reversible fixation of a magnetic catalyst in a continuous flow system: Ultrafast reduction of nitroarenes and subsequent reductive amination using ammonia borane. Catal. Sci. Technol. 2020, 10, 944–949. [Google Scholar] [CrossRef]
- Park, J.W.; Chung, Y.K. Hydrogen-Free Cobalt–Rhodium Heterobimetallic Nanoparticle-Catalyzed Reductive Amination of Aldehydes and Ketones with Amines and Nitroarenes in the Presence of Carbon Monoxide and Water. ACS Catal. 2015, 5, 4846–4850. [Google Scholar] [CrossRef]
- Choi, I.; Chun, S.; Chung, Y.K. Bimetallic Cobalt–Rhodium Nanoparticle-Catalyzed Reductive Amination of Aldehydes with Nitroarenes Under Atmospheric Hydrogen. J. Org. Chem. 2017, 82, 12771–12777. [Google Scholar] [CrossRef] [PubMed]
- Chikate, R.C.; Petkar, D.R.; Kadu, B.S.; Jakhade, A.P. Fe–Ni/MMT nanocomposites as efficient H2 generation catalyst: Tandem approach towards one-pot synthesis of secondary amines. Int. J. Hydrog. Energy 2020, 45, 31798–31811. [Google Scholar] [CrossRef]
- Chieffi, G.; Braun, M.; Esposito, D. Continuous Reductive Amination of Biomass-Derived Molecules over Carbonized Filter Paper-Supported FeNi Alloy. ChemSusChem 2015, 8, 3590–3594. [Google Scholar] [CrossRef] [PubMed]




























































Publisher’s Note: MDPI stays neutral with regard to jurisdictional claims in published maps and institutional affiliations. |
© 2021 by the authors. Licensee MDPI, Basel, Switzerland. This article is an open access article distributed under the terms and conditions of the Creative Commons Attribution (CC BY) license (http://creativecommons.org/licenses/by/4.0/).
Share and Cite
Romanazzi, G.; Petrelli, V.; Fiore, A.M.; Mastrorilli, P.; Dell’Anna, M.M. Metal-based Heterogeneous Catalysts for One-Pot Synthesis of Secondary Anilines from Nitroarenes and Aldehydes. Molecules 2021, 26, 1120. https://doi.org/10.3390/molecules26041120
Romanazzi G, Petrelli V, Fiore AM, Mastrorilli P, Dell’Anna MM. Metal-based Heterogeneous Catalysts for One-Pot Synthesis of Secondary Anilines from Nitroarenes and Aldehydes. Molecules. 2021; 26(4):1120. https://doi.org/10.3390/molecules26041120
Chicago/Turabian StyleRomanazzi, Giuseppe, Valentina Petrelli, Ambra Maria Fiore, Piero Mastrorilli, and Maria Michela Dell’Anna. 2021. "Metal-based Heterogeneous Catalysts for One-Pot Synthesis of Secondary Anilines from Nitroarenes and Aldehydes" Molecules 26, no. 4: 1120. https://doi.org/10.3390/molecules26041120
APA StyleRomanazzi, G., Petrelli, V., Fiore, A. M., Mastrorilli, P., & Dell’Anna, M. M. (2021). Metal-based Heterogeneous Catalysts for One-Pot Synthesis of Secondary Anilines from Nitroarenes and Aldehydes. Molecules, 26(4), 1120. https://doi.org/10.3390/molecules26041120

