Next Article in Journal
Suppression of Rice Cryptochrome 1b Decreases Both Melatonin and Expression of Brassinosteroid Biosynthetic Genes Resulting in Salt Tolerance
Previous Article in Journal
A Facile Strategy for Fabrication Lysozyme-Loaded Mesoporous Silica Nanotubes from Electrospun Silk Fibroin Nanofiber Templates
 
 
Font Type:
Arial Georgia Verdana
Font Size:
Aa Aa Aa
Line Spacing:
Column Width:
Background:
Article

Demonstration of Green Solvent Performance on O,S,N-Heterocycles Synthesis: Metal-Free Click Chemistry and Buchwald—Hartwig Coupling

1
Institut de Chimie Organique et Analytique (ICOA), Université d’Orléans UMR-CNRS 7311, BP 6759, Rue de Chartres, 45067 Orléans CEDEX 2, France
2
Normandie Univ., UNIROUEN, INSA Rouen, CNRS, COBRA UMR 6014, 76000 Rouen, France
*
Author to whom correspondence should be addressed.
Molecules 2021, 26(4), 1074; https://doi.org/10.3390/molecules26041074
Submission received: 27 January 2021 / Revised: 15 February 2021 / Accepted: 16 February 2021 / Published: 18 February 2021

Abstract

The development of new and greener approaches to organic synthesis has been a trend in recent years. Continuing the latest publications of our team, in this work, we demonstrate the efficiency of three solvents: eucalyptol (1,8-cineole), cyclopentyl methyl ether (CPME), and 2-methyltetrahydrofuran (2-MeTHF) for the synthesis of O,S,N-heterocyclic compounds.

1. Introduction

The main goal of this work was to demonstrate the efficiency of new solvents as alternatives for the synthesis of O,S,N-heterocyclic compounds. In organic synthesis, the solvent is the component present in the greatest amount and is the basic element of the environmental performance of a process [1,2,3]. The search for alternative solvents with a lower environmental impact has increased in recent years, with several articles describing green solvents as effective alternatives to conventional petroleum solvents [4,5,6,7,8,9]. In our recent work, we have endeavored to show that eucalyptol could be an extremely interesting alternative as a solvent for various chemical transformations. Its use is all the more interesting as it contributes to the recycling of waste produced by the wood and paper industries. Eucalyptol is extracted from eucalyptus leaves, which are increasingly cultivated due to their rapid growth. Therefore it seemed relevant to compare it to other ether-type solvents deemed to be green. In order to continue to develop new and green methods to construct heterocyclic rings containing oxygen, sulfur, and nitrogen [10,11,12,13,14], we report here the use of eucalyptol (1,8-cineole), cyclopentyl methyl ether (CPME), and 2-methyltetrahydrofuran (2-MeTHF) as alternative solvents for metal-free click chemistry and Buchwald–Hartwig coupling (Figure 1). 2-methyltetrahydrofuran (2-MeTHF) is already well known to generate fewer peroxides than when tetrahydrofuran (THF) is obtained from renewable corncobs and bagasse resources. Cyclopentyl methyl ether (CPME) was also described to be a good alternative, more stable than THF and 2-MeTHF, and it has improved laboratory safety, minimizing the formation of peroxides.
Substituted triazole derivatives are an important class of nitrogen-fused heterocycles, which are abundant in many pharmaceutical compounds. Over the past decades, the Food and Drug Administration (FDA) has increasingly approved drugs with these skeletons for their important biological activities (Figure 2) [15,16].
To the best of our knowledge, there is no report in the literature to date on the use of eucalyptol, CPME, and 2-MeTHF to construct O,S,N-heterocycles by metal-free click chemistry. Therefore it seemed relevant to study solvent alternatives for this methodology. A literature review on the Buchwald–Hartwig reaction, carried out by palladium catalysis, revealed two examples of the application of green solvents: CPME (Figure 3a) [17] and eucalyptol (Figure 3b) [10]. The objective of the present study was to further enhance the greener side and try to make its use compatible with microwave-assisted synthesis and, consequently, to reduce the duration of the reaction.

2. Results and Discussion

The study presented herein is divided into three parts, each of them corresponding to a type of reaction developed and evaluated in the different solvents investigated.

2.1. Metal-Free Click Chemistry

This part of the work was based on our previous conditions published in 2017 [18]. The intention was to make the reaction conditions more efficient and sustainable. A one-pot methodology was first successfully developed, using only toluene as solvent. The scope and limitations of the process were then analyzed using several propargyl derivatives. The reaction using toluene as a solvent served as a standard of comparison for the results obtained with the three green solvents. For this evaluation, several heterocyclic compounds containing oxygen, sulfur, and nitrogen were chosen as starting materials. The results obtained are given by the class of heterocycle.

2.1.1. 7-Amino-2,3-dihydro-benzo[1,4]dioxine-6-carboxylic Acid Methylester

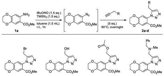
The commercially available 7-amino-2,3-dihydro-benzo[1,4]dioxine-6-carboxylic acid methyl ester (1a) was reacted first with tBuONO and TMSN3 for 1 h, and then stirred with several propargyl derivatives in toluene without the use of any metal catalyst (Figure 4).
The new compounds 2ad were obtained in moderate to good yields. We focused on product 2a, obtained from propargyl bromide because it can be functionalized at a later stage, which makes it possible to increase molecular diversity. Therefore, the next step was to test the yield of compound 2a using these reaction conditions in the three green solvents selected (Table 1).
Compound 2a was successfully obtained in the three experiments carried out in CPME, 2-MeTHF, and eucalyptol (Table 1) instead of toluene. The highest yield was obtained with 2-MeTHF (Table 1, Entry 2). Moreover, the yield increased from 57% with toluene to 70% when using a green solvent.

2.1.2. Methyl 6-amino-1H-indazole-7-carboxylate

The commercially available methyl 6-amino-1H-indazole-7-carboxylate (1b) was submitted to the same conditions as 7-amino-2,3-dihydro-benzo[1,4]dioxine-6-carboxylic acid methyl ester (1a). In this case, also, we were able to synthesize the desired new compounds 3ad in moderate to good yields in toluene (Figure 5).
With this heterocycle derived from indazole, obtaining the brominated compound using CPME, 2-MeTHF and eucalyptol were only achieved with very average yields (Table 2, Entries 1–3). However, these results, although disappointing, were envisaged because the synthesis yield of this brominated derivative under conventional solvent (toluene) conditions was already low (48%) and not very far from that obtained with 2-MeTHF, or even with eucalyptol. 2-MeTHF was, in this case, also the solvent that achieved the best result (Table 1 and Table 2, Entry 2).

2.1.3. Methyl 3-amino-5-phenylthiophene-2-carboxylate

The commercially available methyl 3-amino-5-phenylthiophene-2-carboxylate (1c) underwent the same metal-free click chemistry under the same conditions in the presence of various propargyl derivatives, leading to the expected compounds in very good yields (Figure 6).
With the same objective as in the previous series, the functionalizable brominated compound 4a was synthesized in the three solvents. The results obtained were excellent, and in all green solvents, the yield was higher than that obtained with toluene as solvent (Table 3, Entries 1–3).
In view of the good results obtained from methyl 3-amino-5-phenylthiophene-2-carboxylate (1c) as starting material, we decided to use the green solvent that performed best (i.e., CPME) to test a microwave-assisted methodology. In the first stage of the one-pot process, the same reaction conditions were used since the reaction was easily carried out in 1 h at room temperature. Then, for the second step, the reaction was stirred for 1 h under microwave irradiation at 140 °C in a Biotage microwave apparatus. The result obtained using CPME as solvent did not allow us to carry out the reaction efficiently under microwave irradiation (Table 3, Entry 4).

2.1.4. Methyl 3-aminothiophene-2-carboxylate

Starting from commercially available methyl 3-aminothiophene-2-carboxylate (1d), we obtained the same results, and the desired compounds were synthesized in good to excellent yields (Figure 7).
As in the other series, the brominated product 5a was tested using the three green solvents (Table 4, Entries 1–3). The highest yield was obtained with eucalyptol for this starting material. It gave an excellent result, higher than that presented by toluene. For this reason, we also tested a microwave-assisted methodology in eucalyptol, but again, the yield decreased considerably when, in step two of the one-pot process, the reaction was placed in the microwave at 140 °C for 1 h. The use of microwave irradiation did not seem effective under these conditions (Table 4, Entry 4).

2.1.5. Methyl 4-amino-5-thiazolecarboxylate

The commercially available methyl 4-amino-5-thiazolecarboxylate (1e) was submitted to the same protocol as the other classes of heterocycles in toluene (Figure 8). The reactivity of methyl 4-amino-5-thiazolecarboxylate (1e) was found to be lower than that of the other classes of heterocycles tested (Figure 8). One reason may be the lower solubility of the compound in the medium since even when the medium was diluted, no complete dissolution was ever observed.
Although the yield of the brominated compound 6a in this series was only 38%, the same tests using the different solvents were carried out (Table 5).
Compound 6a was obtained with the three solvents, but as expected, the yields were very low when compared to the other series of heterocycles performed earlier in this study (Table 5). In this case, the best yield was obtained with CPME.
To optimize conditions for the synthesis of heterocycles in green solvents using microwave irradiation as an activation method, we decided to use the conditions previously published by our team [10] for the synthesis of 10H-pyrido[1,2-a]thieno[3,2-d]pyrimidin-10-one.

2.2. Buchwald-Hartwig Coupling/Pyridine Dearomatization Sequence

The purpose was to accomplish a microwave-assisted synthesis using green solvents to obtain 10H-pyrido[1,2-a]thieno[3,2-d]pyrimidin-10-one derivatives. For this examination, the prior methyl 3-aminothiophene-2-carboxylate (1d) and 3-amino-5-phenylthiophene-2-carboxylate (1c) were used as starting material. As demonstrated in [10], we knew that the results obtained in Microwave with eucalyptol were unsatisfactory, so we only tested toluene, CPME, and 2-MeTHF. In order to have standard results to serve as a reference for green solvents, the products were synthesized using eucalyptol (Figure 9 and Figure 10).
Starting from methyl 3-aminothiophene-2-carboxylate (1d) or methyl 3-amino-5-phenylthiophene-2-carboxylate (1c), eight new compounds were obtained in acceptable yields (Figure 9 and Figure 10).
As explained earlier, the objective in this section was to find a methodology that combined the use of a green solvent with the use of microwave irradiation. For this optimization process (Table 6), we chose compound 8a as it showed the highest yield when obtained through classical heating with eucalyptol as an alternative solvent.
The optimization protocol started by using the same reaction conditions (Figure 8), changing only the solvent of the reaction mixture (Table 6, Entries 1–3). The desired product was obtained in good yield. Changing the solvent did not interfere with the reaction performance, and using 2-MeTHF led to a better yield than with eucalyptol (Figure 9; Table 6, Entry 2). Tests were next performed to estimate the compatibility of the two green solvents (CPME and 2-MeTHF) in a microwave-assisted reaction (Table 6, Entries 4 and 5). Toluene was used as a reference for a conventional solvent (Table 6, Entry 6). From methyl 3-aminothiophene-2-carboxylate using Pd(OAc)2 (3mol%), Xantphos (4 mol%), and Cs2CO3 (2.5 equiv) at 140 °C for 1 h under microwave irradiation, the product was obtained in all solvents (Table 6, Entries 4–6). However, yields were slightly lower than reactions stirred in a classical heating system (Table 6, Entries 1–6). It should be noted that the reaction with CPME and 2-MeTHF was not complete, unlike that observed in toluene, which may explain this drop in yield (Table 6, Entries 4 and 5). To check this and try to complete the reactions in green solvents, the microwave irradiation was increased to 2 h (Table 6, Entries 7 and 8). With a longer reaction time, the conversion was total (no traces of starting materials), but there were signs of degradation. After purification of the desired product, the yields remained unchanged (Table 6, Entries 4–5 and 7–8). As the increase in the reaction time did not allow a significant improvement, we kept the initial reaction time to limit possible degradation of the medium while increasing the temperature of the reaction to 160 °C so as to enhance the reaction speed. The results were satisfactory (Table 6, Entries 9 and 10). CPME showed an improved yield (Table 6, Entry 9) with 1 h of microwave irradiation at 160 °C. With2-MeTHF, the yield obtained was similar (Table 6, Entry 10) but in a shorter reaction time at 160° compared to 140 °C, where the reaction was not complete.
With this optimization study (Table 6), we can conclude that CPME and 2-MeTHF are valid options for this reaction and allow a significant reduction in the reaction time, even if it is at the expense of a slight decrease in the yield of the desired final product.
The same optimization process was used from 3-amino-5-phenylthiophene-2-carboxylate (1c) under the same reaction conditions (Figure 10), just changing the solvent of the reaction mixture. The desired product was obtained in good to excellent yields (Table 7, Entries 1–3). The change of solvent improved the yield, and for all tests, the results were higher than those obtained with eucalyptol (Figure 10; Table 7, Entries 1–3). After performing the method with classical heating, we tested for each solvent the best conditions found in the study carried out from 3-aminothiophene-2-carboxylate (Table 6, Entries 6, 8 and 9).
The desired product 9a was obtained, but the reaction was not complete; the presence of starting product was still observed (Table 7, Entries 4, 6, and 8). Under microwave irradiation, for the three solvents, it was necessary to double the reaction time to obtain a total conversion (Table 7, Entries 5, 7, and 9). In this case, among all the solvents tested in the reaction involving 3-amino-5-phenylthiophene-2-carboxylate, CPME showed by far the highest yields in both heating systems (Table 7, Entries 1 and 9).

2.3. Buchwald–Hartwig Amination of Bromo Derivatives (26a)

In the last part of our study, the proposed objective was to functionalize the brominated products synthesized previously. For this purpose, the reaction was first optimized using the compound 4a and aniline. The choice of the catalytic system, base, and temperature was based on our previous work [12]. Once again, toluene was used as a conventional solvent reference (Table 8, Entry 1).
The desired product 11a was obtained, but the yield was below expectations (Table 8, Entry 1). A brief literature review showed that in some cases, it might be beneficial to carry out the reaction at room temperature [19,20]. To test the effectiveness of this aspect and to be able to apply it in our study, the reaction was launched with the solvent commonly used in these cases, N,N-dimethylformamide. The base selected was K2CO3, reported to be the right choice in these reaction systems [19]. After these changes in the reaction conditions, the yield improved satisfactorily (Table 8, Entry 2). To confirm the influence of the base, a test was performed replacing K2CO3 with Cs2CO3 (Table 8, Entry 3). The yield decreased, so K2CO3 was kept as the base. Finally and after having all the conditions in hand, we proceeded to determine the performance of the three solvents. The product was obtained in good yield in toluene and CPME (Table 8, Entries 4 and 6). The reaction stirred in 2-MeTHF led to the lowest yield and the longest reaction time, five days (Table 8, Entry 6). CPME was therefore chosen for the tests under MW. The aim was to see if it would be possible to significantly reduce the reaction time found in classic heating, i.e., three days. Surprisingly, stirring the reaction mixture for 1 h at 110 °C with microwave irradiation resulted in a complete reaction and consequently a good yield of the desired product (Table 8, Entry 7). The initial goal had been successfully achieved. Based on our results, the scope and limitations of this procedure were assessed using aniline and the brominated compounds synthesized earlier in this study (Figure 11).
Several methyl-{[(hetero)aryl-methyl]-1H-1,2,3-triazol-1-yl}-(hetero)aryl-carboxylate derivatives (1115a and 11b) were synthesized in moderate to good yields, demonstrating the generalizability of this method (Figure 11). We also used 4-aminobenzofuran (10b) to diversify the type of amine in our series and demonstrate the potential of the methodology.

3. Materials and Methods

3.1. General Methods

All reagents were purchased from commercial suppliers Sigma Aldrich, St Quentin Fallavier CEDEX, France; Fluorochem, Derbyshire, SK131QH, UK, and were used without further purification. The reactions were monitored by thin-layer chromatography (TLC) analysis using silica gel (60 F254) plates. Compounds were visualized by UV irradiation (Merck, St Quentin Fallavier CEDEX, France). Flash column chromatography was performed on silica gel 60 (230–400 mesh, 0.040–0.063 mm). Melting points (mp (°C)) were taken on samples in open capillary tubes and are uncorrected. 1H- and 13C- nuclear magnetic resonance (NMR) spectra were recorded on a Bruker AVANCE II spectrometer (Bruker, Wissembourg, France) at 250 MHz (13C, 62.9 MHz) and on a Bruker AVANCE III HD nanobay (Bruker, Wissembourg, France) 400 MHz (13C 100.62 MHz). Chemical shifts are given in parts per million from tetramethylsilane (TMS) or deuterated solvent (MeOH-d4, Chloroform-d) as an internal standard. The following abbreviations are used for the proton spectra multiplicities: b: broad, s: singlet, d: doublet, t: triplet, q: quartet, p: pentuplet, and m: multiplet. Coupling constants (J) are reported in Hertz (Hz). Multiplicities were determined by the DEPT 135 sequence. High-resolution mass spectra (HRMS) were performed on a Maxis UHR-q-TOF mass spectrometer (Bruker, Wissembourg, France) Bruker 4G with an electrospray ionisation (ESI) mode (Bruker, Wissembourg, France).

3.2. General Procedure for the Synthesis of Compounds 26ad

A solution of methyl anthranilate (50 mg, 1 equiv.) in toluene (50 mL) was cooled to 0 °C, and t-BuONO (1.5 equiv.) followed by TMSN3 (1.5 equiv.) were added dropwise. The resulting solution was stirred at r.t. for 1 h. Then, the respective alkyne derivative (5 equiv.) was added, and the reaction mixture was heated at 90 °C overnight. After completion, the mixture was concentrated under vacuum. The solid obtained was purified by flash chromatography. The solvent polarity was increased via a gradient from neat petroleum ether to a mixture of ethyl acetate/petroleum ether (Supplementary Materials).
Methyl 7-(5-(bromomethyl)-1H-1,2,3-triazol-1-yl)-2,3-dihydrobenzo[b][1,4]dioxine-6-carboxylate2a: white solid (48 mg, 57%), m.p. 133–135 °C. 1H-NMR (400 MHz, CDCl3) δ 3.65 (s, 3H), 4.32–4.35 (m, 4H), 4.65 (s, 2H), 6.97 (s, 1H), 7.57 (s, 1H), 7.77 (s, 1H) ppm. 13C-NMR (101 MHz, CDCl3) δ 21.7 (CH), 52.4 (CH), 64.3 (CH), 64.7 (CH), 116.8 (CH), 120.1 (C), 120.6 (CH), 125.5 (CH), 130.1 (C), 143.9 (C), 144.5 (C), 146.9 (C), and 164.5 (C) ppm. HRMS: calculated (calcd) for C13H13BrN3O4 [M + H]+ 354.0084, found 354.0082.
Methyl 7-(5-(hydroxymethyl)-1H-1,2,3-triazol-1-yl)-2,3-dihydrobenzo[b][1,4]dioxine-6-carboxylate2b: white solid (61 mg, 88%), m.p. 204–206 °C.1H-NMR (400 MHz, CDCl3) δ 7.73 (s, 1H), 3.64 (s, 3H), 4.33 (s, 4H), 4.85 (s, 2H), 6.93 (d, J = 10.7 Hz, 1H), 7.57 (d, J = 9.2 Hz, 1H) ppm. 13C-NMR (101 MHz, CDCl3) δ 52.4 (CH), 56.4 (CH), 64.3 (CH), 64.7 (CH), 116.7 (CH), 120.0 (C), 120.4 (CH), 124.3 (CH), 130.5 (C), 144.3 (C), 146.8 (C), 147.1 (C), and 164.6 (C) ppm. HRMS: calcd for C13H14N3O5 [M + H]+ 292.0928, found 292.0933.
Methyl 7-(5-(acetoxymethyl)-1H-1,2,3-triazol-1-yl)-2,3-dihydrobenzo[b][1,4]dioxine-6-carboxylate2c: white solid (41 mg, 51%), m.p. 141–143 °C.1H-NMR (400 MHz, CDCl3) δ 2.08 (s, 3H), 3.64 (s, 3H), 4.33 (s, 4H), 5.27 (s, 2H), 6.96 (s, 1H), 7.57 (s, 1H), 7.79 (s, 1H) ppm. 13C-NMR (101 MHz, CDCl3) δ 20.9 (CH), 52.3 (CH), 57.6 (CH), 64.3 (CH), 64.7 (CH), 116.8 (CH), 120.0 (C), 120.5 (CH), 126.3 (CH), 130.3 (C), 142.2 (C), 144.4 (C), 146.8 (C), 164.5 (C), and 170.8 (C) ppm. HRMS: calcd for C15H16N3O6 [M + H]+ 334.1034, found 334.1033.
Methyl 7-(5-((benzyl(methyl)amino)methyl)-1H-1,2,3-triazol-1-yl)-2,3-dihydrobenzo[b][1,4]dioxine-6-carboxylate2d: yellow oil (47 mg, 50%).1H-NMR (400 MHz, CDCl3) δ 2.29 (s, 3H), 3.60 (s, 2H), 3.62 (s, 3H), 3.80 (s, 2H), 4.31–4.34 (m, 4H), 6.96 (s, 1H), 7.21–7.37 (m, 5H), 7.56 (s, 1H), 7.67 (s, 1H) ppm.13C-NMR (101 MHz, CDCl3) δ 42.1 (CH), 52.0 (CH), 52.3 (CH), 61.3 (CH), 64.3 (CH), 64.6 (CH), 116.7 (CH), 120.2 (C), 120.4 (CH), 125.0 (CH), 127.0 (CH), 128.3 (2 × CH), 129.0 (2 × CH), 130.6 (C), 138.8 (C), 144.2 (C), 144.6 (C), 146.7 (C), and 164.7 (C) ppm. HRMS: calcd for C21H23N4O4 [M + H]+ 395.1714, found 395.1712.
Methyl 6-(5-(bromomethyl)-1H-1,2,3-triazol-1-yl)-1H-indazole-7-carboxylate3a: white solid (42mg, 48%), m.p. 287–289 °C.1H-NMR (400 MHz, CDCl3) δ 3.77 (s, 3H), 4.71 (s, 2H), 7.28 (d, J = 8.3 Hz, 1H), 7.88 (s, 1H), 8.10 (d, J = 8.3 Hz, 1H), 8.26 (s, 1H), 11.50 (s, 1H) ppm. 13C-NMR (101 MHz, CDCl3) δ 21.4 (CH), 52.9 (CH), 109.1 (C), 120.7 (CH), 125.2 (C), 125.5 (CH), 126.5 (CH), 135.4 (CH), 135.6 (C), 139.3 (C), 144.4 (C), and 164.7 (C) ppm. HRMS: calcd for C12H11BrN5O2 [M + H]+ 336.0091, found 336.0088.
Methyl 6-(5-(hydroxymethyl)-1H-1,2,3-triazol-1-yl)-1H-indazole-7-carboxylate3b: white solid (55 mg, 77%), m.p. 177–179 °C. 1H-NMR (400 MHz, CDCl3) δ 3.80 (d, J = 3.5 Hz, 3H), 7.28 (d, J = 1.8 Hz, 2H), 7.86 (s, 1H), 8.13 (dd, J = 10.8, 8.3 Hz, 1H), 8.29 (d, J = 5.7 Hz, 1H), 11.45 (s, 1H) ppm. 13C-NMR (101 MHz, CDCl3) δ 21.4 (CH), 52.9 (CH), 109.1 (C), 120.7 (CH), 125.2 (C), 125.5 (CH), 126.5 (CH), 135.4 (CH), 135.6 (C), 139.3 (C), 144.4 (C), and 164.7 (C) ppm. HRMS: calcd for C12H12N5O3 [M + H]+ 274.0935, found 274.0938.
Methyl 6-(5-(acetoxymethyl)-1H-1,2,3-triazol-1-yl)-1H-indazole-7-carboxylate3c: white solid (66 mg, 71%), m.p. 132–134 °C. 1H-NMR (400 MHz, CDCl3) δ 2.09 (s, 3H), 3.73 (s, 3H), 5.32 (s, 2H), 7.23 (d, J = 8.3 Hz, 1H), 7.91 (s, 1H), 8.05 (d, J = 8.3 Hz, 1H), 8.23 (s, 1H), 11.79 (s, 1H) ppm. 13C-NMR (101 MHz, CDCl3) δ 20.9 (CH), 52.8 (CH), 57.6 (CH), 120.6 (CH), 109.0 (C), 125.1 (C), 126.4 (CH), 126.4 (CH), 135.3 (CH), 135.7 (C), 139.2 (C), 142.5 (C), 164.7 (C), and 170.9 (C) ppm. HRMS: calcd for C14H14N5O4 [M + H]+ 316.1040, found 316.1040.
Methyl 6-(5-((benzyl(methyl)amino)methyl)-1H-1,2,3-triazol-1-yl)-1H-indazole-7-carboxylate3d: yellow oil (64 mg, 65%). 1H-NMR (400 MHz, CDCl3) δ 2.35 (s, 3H), 3.66 (s, 2H), 3.74 (s, 3H), 3.89 (s, 2H), 7.27–7.41 (m, 6H), 7.82 (s, 1H), 8.08 (d, J = 8.3 Hz, 1H), 8.27 (s, 1H), 11.78 (s, 1H) ppm.13C-NMR (101 MHz, CDCl3) δ 42.2 (CH), 52.0 (CH), 52.8 (CH), 61.3 (CH), 109.0 (C), 120.6 (CH), 125.0 (C), 125.1 (CH), 126.3 (CH), 127.1 (CH), 128.3 (2 × CH), 129.0 (2 × CH), 135.3 (CH), 136.1 (C), 138.7 (C), 139.3 (C), 145.1 (C), and 164.9 (C) ppm. HRMS: calcd for C20H21N6O2 [M + H]+ 377.1721, found 377.1722.
Methyl 3-(5-(bromomethyl)-1H-1,2,3-triazol-1-yl)-5-phenylthiophene-2-carboxylate4a: white solid (70mg, 86%), m.p. 138–140 °C. 1H-NMR (400 MHz, CDCl3) δ 3.86 (s, 3H), 4.67 (s, 2H), 7.41–7.46 (m, 3H), 7.64 (dd, J = 7.7, 1.7 Hz, 2H), 7.73 (s, 1H), 8.52 (s, 1H) ppm.13C-NMR (101 MHz, CDCl3) δ 21.5 (CH), 52.7 (CH), 119.6 (C), 121.8 (CH), 125.7 (CH), 126.0 (2 × CH), 129.3 (2 × CH), 129.8 (CH), 132.0 (C), 138.4 (C), 143.8 (C), 149.4 (C), and 160.7 (C) ppm. HRMS: calcd for C15H13BrN3O2S [M + H]+ 377.9906, found 377.9906.
Methyl 3-(5-(hydroxymethyl)-1H-1,2,3-triazol-1-yl)-5-phenylthiophene-2-carboxylate4b: white solid (57mg, 84%), m.p. 161–163°C. 1H-NMR (400 MHz, CDCl3) δ 3.87 (s, 3H), 4.90 (s, 2H), 7.44 (td, J = 5.5, 2.8 Hz, 3H), 7.66 (dd, J = 7.9, 1.6 Hz, 2H), 7.73 (s, 1H), 8.43 (s, 1H) ppm. 13C-NMR (101 MHz, CDCl3) δ 52.6 (CH), 56.6 (CH), 119.6 (C), 122.0 (CH), 124.6 (CH), 126.1 (2 × CH), 129.3 (2 × CH), 129.8 (CH), 132.1 (C), 138.7 (C), 146.8 (C), 149.3 (C), and 160.7 (C) ppm. HRMS: calcd for C15H14N3O3S [M + H]+ 316.0750, found 316.0744.
Methyl 3-(5-(acetoxymethyl)-1H-1,2,3-triazol-1-yl)-5-phenylthiophene-2-carboxylate4c: white solid (67 mg, 88%), m.p. 147–149°C. 1H-NMR (400 MHz, CDCl3) δ 2.09 (s, 3H), 3.85 (s, 3H), 5.30 (s, 2H), 7.40–7.45 (m, 3H), 7.62–7.65 (m, 2H), 7.70 (s, 1H), 8.49 (s, 1H) ppm. 13C-NMR (101 MHz, CDCl3) δ 20.9 (CH), 52.6 (CH), 57.5 (CH), 119.7 (C), 121.9 (CH), 126.0 (2 × CH), 126.6 (CH), 129.3 (2 × CH), 129.8 (CH), 132.0 (C), 138.5 (C), 142.0 (C), 149.3 (C), 160.6 (C), and 170.8 (C) ppm. HRMS: calcd for C17H16N3O4S [M + H]+ 358.0856, found 358.0850.
Methyl 3-(5-((benzyl(methyl)amino)methyl)-1H-1,2,3-triazol-1-yl)-5-phenylthiophene-2-carboxylate4d: yellow oil (68 mg, 76%). 1H-NMR (400 MHz, CDCl3) δ 2.35 (s, 3H), 3.65 (s, 2H), 3.88 (s, 5H), 7.27 –7.31 (m, 1H), 7.35 (t, J = 7.3 Hz, 2H), 7.45 (ddd, J = 13.4, 8.7, 6.5 Hz, 5H), 7.67–7.70 (m, 2H), 7.77 (s, 1H), 8.40 (s, 1H) ppm. 13C-NMR (101 MHz, CDCl3) δ 42.1 (CH), 51.9 (CH), 52.5 (CH), 61.2 (CH), 119.5 (C), 122.0 (CH), 125.6 (CH), 126.1 (2xCH), 127.1 (CH), 128.3 (2 × CH), 129.1 (2 × CH), 129.3 (2 × CH), 129.7 (CH), 132.1 (C), 138.8 (C), 138.9 (C), 144.3 (C), 149.2 (C), and 160.7 (C) ppm. HRMS: calcd for C23H23N4O2S [M + H]+ 419.1536, found 419.1540.
Methyl 3-(5-(bromomethyl)-1H-1,2,3-triazol-1-yl)thiophene-2-carboxylate5a: yellow solid (89mg, 92%), m.p. 121–123 °C. 1H-NMR (400 MHz, CDCl3) δ 3.81 (s, 3H), 4.62 (s, 2H), 7.47 (d, J = 5.4 Hz, 1H), 7.60 (d, J = 5.4 Hz, 1H), 8.42 (s, 1H) ppm. 13C-NMR (101 MHz, CDCl3) δ 21.5 (CH), 52.7 (CH), 122.0 (C), 125.7 (CH), 126.4 (CH), 131.3 (CH), 138.0 (C), 143.7 (C), 160.6 (C) ppm (Chemical Abstracts Service Registry Number: 1203476-09-8).
Methyl 3-(5-(hydroxymethyl)-1H-1,2,3-triazol-1-yl)thiophene-2-carboxylate5b: white solid (55mg, 72%), m.p. 94–96 °C. 1H-NMR (400 MHz, CDCl3) δ 3.84 (s, 3H), 4.88 (d, J = 5.0 Hz, 2H), 7.49 (d, J = 5.4 Hz, 1H), 7.61 (d, J = 5.4 Hz, 1H), 8.34 (s, 1H) ppm. 13C-NMR (101 MHz, CDCl3) δ 52.6 (CH), 56.4 (CH), 122.0 (C), 124.6 (CH), 126.6 (CH), 131.1 (CH), 138.4 (C), 146.9 (C), and 160.6 (C) ppm (CAS: 1203476-11-2).
Methyl 3-(5-(acetoxymethyl)-1H-1,2,3-triazol-1-yl)thiophene-2-carboxylate5c: white solid (62 mg, 69%), m.p. 163–165 °C. 1H-NMR (400 MHz, CDCl3) δ 2.06 (s, 3H), 3.82 (s, 3H), 5.26 (s, 2H), 7.47 (d, J = 5.4 Hz, 1H), 7.60 (d, J = 5.4 Hz, 1H), 8.40 (s, 1H) ppm. 13C-NMR (101 MHz, CDCl3) δ 20.9 (CH), 52.6 (CH), 57.5 (CH), 122.0 (C), 126.5 (CH), 126.6 (CH), 131.2 (CH), 138.1 (C), 142.0 (C), 160.5 (C), and 170.7 (C) ppm. HRMS: calcd for C11H12N3O4S [M + H]+ 282.0543, found 282.0540.
Methyl 3-(5-((benzyl(methyl)amino)methyl)-1H-1,2,3-triazol-1-yl)thiophene-2-carboxylate5d: white solid (48 mg, 44%), m.p. 181–183 °C. 1H-NMR (400 MHz, CDCl3) δ 2.34 (s, 3H), 3.65 (s, 2H), 3.87 (s, 5H), 7.26–7.30 (m, 1H), 7.35 (t, J = 7.4 Hz, 2H), 7.40–7.43 (m, 2H), 7.56 (d, J = 5.4 Hz, 1H), 7.64 (d, J = 5.4 Hz, 1H), 8.34 (s, 1H) ppm. 13C-NMR (101 MHz, CDCl3) δ 42.1 (CH), 51.9 (CH), 52.5 (CH), 61.2 (CH), 121.8 (C), 125.5 (CH), 126.6 (CH), 127.0 (CH), 128.3 (2 × CH), 129.1 (2 × CH), 131.0 (CH), 138.6 (C), 138.8 (C), 144.3 (C), and 160.6 (C) ppm. HRMS: calcd for C17H19N4O2S [M + H]+ 343.1223, found 343.1216.
Methyl 4-(5-(bromomethyl)-1H-1,2,3-triazol-1-yl)thiazole-5-carboxylate6a: white solid (36 mg, 38%), m.p. 123–125 °C. 1H-NMR (400 MHz, CDCl3) δ 3.87 (s, 3H), 4.67 (s, 2H), 8.27 (s, 1H), 8.95 (s, 1H) ppm. 13C-NMR (101 MHz, CDCl3) δ 159.6 (C), 155.9 (CH), 147.4 (C), 144.1 (C), 124.8 (CH), 119.6 (C), 53.2 (CH), and 21.1 (CH) ppm. HRMS: calcd for C8H8BrN4O2S [M + H]+ 302.9546, found 302.9546.
Methyl 4-(5-(hydroxymethyl)-1H-1,2,3-triazol-1-yl)thiazole-5-carboxylate6b: white solid (20mg, 26%), m.p. 95–97 °C. 1H-NMR (400 MHz, CDCl3) δ 3.86 (s, 3H), 4.91 (d, J = 5.7 Hz, 2H), 8.20 (s, 1H), 8.93 (s, 1H) ppm. 13C-NMR (101 MHz, CDCl3) δ 53.2 (CH), 56.5 (CH), 119.3 (C), 123.6 (CH), 147.2 (C), 147.7 (C), 155.7 (CH), and 159.7 (C) ppm. HRMS: calcd for C8H9N4O3S [M + H]+ 241.0390, found 241.0390.
Methyl 4-(5-(acetoxymethyl)-1H-1,2,3-triazol-1-yl)thiazole-5-carboxylate6c: yellow oil (64 mg, 72%). 1H-NMR (400 MHz, CDCl3) δ 2.08 (s, 3H), 3.84 (s, 3H), 5.29 (s, 2H), 8.25 (s, 1H), 8.93 (s, 1H) ppm. 13C-NMR (101 MHz, CDCl3) δ 20.9 (CH), 53.2 (CH), 57.4 (CH), 119.5 (C), 125.7 (CH), 142.3 (C), 147.5 (C), 155.9 (CH), 159.6 (C), and 170.8 (C) ppm. HRMS: calcd for C10H11N4O4S [M + H]+ 283.0496, found 283.0495.
Methyl 4-(5-((benzyl(methyl)amino)methyl)-1H-1,2,3-triazol-1-yl)thiazole-5-carboxylate6d: yellow oil (62 mg, 57%). 1H-NMR (400 MHz, CDCl3) δ 2.34 (s, 3H), 3.65 (s, 2H), 3.88 (d, J = 5.3 Hz, 5H), 7.27–7.42 (m, 5H), 8.18 (s, 1H), 8.97 (s, 1H), ppm. 13C-NMR (101 MHz, CDCl3) δ 42.1 (CH), 51.8 (CH), 53.1 (CH), 61.3 (CH), 119.3 (C), 124.5 (CH), 127.1 (CH), 128.3 (2 × CH), 129.0 (2 × CH), 138.7 (C), 144.8 (C), 147.9 (C), 155.7 (CH), and 159.7 (C) ppm. HRMS: calcd for C16H18N5O2S [M + H]+ 344.1176, found 344.1172.

3.3. General Procedure for the Synthesis of Compounds 8 and 9ad

A mixture of methyl anthranilate (50 mg, 1 equiv.), 2-bromopyridine (2 equiv.), Pd(OAc)2 (0.03 equiv.), Xantphos (0.04 equiv.), and Cs2CO3 (2.5 equiv.) in eucalyptol (1.5 mL) was stirred at 120 °C for 18–24 h. The reaction was followed by TLC. After completion, the reaction was then cooled to room temperature, and the mixture was concentrated under vacuum. The solid obtained was purified by flash chromatography using a mixture of ethyl acetate/petroleum ether.
10H-pyrido[1,2-a]thieno[3,2-d]pyrimidin-10-one8a: Yellow solid (56 mg, 87%), m.p. 208–210 °C. 1H-NMR (400 MHz, CDCl3) δ 6.99 (ddd, J = 7.6, 5.3, 2.6 Hz, 1H), 7.35 (d, J = 5.3 Hz, 1H), 7.56–7.61 (m, 2H), 7.91 (d, J = 5.3 Hz, 1H), 8.97 (d, J = 7.3 Hz, 1H) ppm. 13C-NMR (101 MHz, CDCl3) δ 113.6 (CH), 115.4 (C), 124.9 (CH), 126.0 (CH), 126.3 (CH), 134.3 (CH), 136.6 (CH), 149.0 (C), 154.3 (C), and 157.8 (C) ppm (CAS: 1934255-23-8).
7-Chloro-10H-pyrido[1,2-a]thieno[3,2-d]pyrimidin-10-one8b: Yellow solid (34 mg, 45%), m.p. 195–197 °C. 1H-NMR (400 MHz, CDCl3) δ 7.39 (d, J = 5.3 Hz, 1H), 7.55 (dd, J = 2.9, 1.5 Hz, 2H), 7.96 (d, J = 5.3 Hz, 1H), 9.00–9.05 (m, 1H) ppm. 13C-NMR (101 MHz, CDCl3) δ 115.9 (C), 122.2 (C), 124.0 (CH), 125.0 (CH), 127.1 (CH), 135.6 (CH), 136.9 (CH), 147.3 (C), and 153.4 (C), 157.6 (C) ppm. HRMS: calcd for C10H6ClN2OS [M + H]+ 236.9884, found 236.9885.
7-Methyl-10H-pyrido[1,2-a]thieno[3,2-d]pyrimidin-10-one8c: White solid (28 mg, 40%), m.p. 177–179 °C. 1H-NMR (400 MHz, CDCl3) δ 2.42 (s, 3H), 7.38 (d, J = 5.4 Hz, 1H), 7.49 (dd, J = 9.2, 2.0 Hz, 1H), 7.56 (d, J = 9.2 Hz, 1H), 7.92 (d, J = 5.4 Hz, 1H), 8.83 (s, 1H) ppm.13C-NMR (101 MHz, CDCl3) δ 18.4 (CH), 115.4 (C), 123.5 (CH), 123.8 (C), 124.8 (CH), 125.5 (CH), 136.3 (CH), 137.5 (CH), 148.2 (C), 154.3 (C), and 157.7 (C) ppm. HRMS: calcd for C11H9N2OS [M + H]+ 217.0430, found 217.0435.
7-Methoxy-10H-pyrido[1,2-a]thieno[3,2-d]pyrimidin-10-one8d: Yellow solid (32 mg, 43%), m.p. 183–185 °C. 1H-NMR (400 MHz, CDCl3) δ 3.94 (s, 3H), 7.39 (d, J = 5.4 Hz, 1H), 7.43 (dd, J = 9.7, 2.7 Hz, 1H), 7.57 (d, J = 9.7 Hz, 1H), 7.91 (d, J = 5.4 Hz, 1H), 8.49 (d, J = 2.7 Hz, 1H) ppm. 13C-NMR (101 MHz, CDCl3) δ 56.4 (CH), 105.4 (CH), 115.3 (C), 124.8 (CH), 126.8 (CH), 130.5 (CH), 135.9 (CH), 146.5 (C), 149.5 (C), 154.2 (C), and 157.2 (C) ppm. HRMS: calcd for C11H9N2O2S [M + H]+ 233.0379, found 233.0381.
2-Phenyl-10H-pyrido[1,2-a]thieno[3,2-d]pyrimidin-10-one9a: White solid (40 mg, 67%), m.p. 210–212 °C. 1H-NMR (400 MHz, CDCl3) δ 7.00 (ddd, J = 7.6, 5.0, 2.8 Hz, 1H), 7.39–7.47 (m, 3H), 7.55 (s, 1H), 7.57–7.62 (m, 2H), 7.74 (d, J = 6.8 Hz, 2H), 9.00 (d, J = 7.3 Hz, 1H) ppm. 13C-NMR (101 MHz, CDCl3) δ 113.6 (CH), 114.8 (C), 120.0 (CH), 126.0 (CH), 126.4 (CH), 126.6 (2 × CH), 129.2 (2 × CH), 129.8 (CH), 133.1 (C), 134.3 (CH), 149.3 (C), 153.9 (C), 154.6 (C), and 158.5 (C) ppm. HRMS: calcd for C16H11N2OS [M + H]+ 279.0587, found 279.0587.
7-Chloro-2-phenyl-10H-pyrido[1,2-a]thieno[3,2-d]pyrimidin-10-one9b: Yellow solid (44 mg, 65%), m.p. 230–232 °C. 1H-NMR (400 MHz, CDCl3) δ 7.43–7.49 (m, 3H), 7.54–7.56 (m, 3H), 7.75 (dd, J = 8.0, 1.4 Hz, 2H), 9.02–9.04 (m, 1H) ppm. 13C-NMR (101 MHz, CDCl3) δ 115.2 (C), 120.0 (CH), 122.2 (C), 124.1 (CH), 126.6 (2 × CH), 129.3 (2 × CH), 130.0 (CH), 133.0 (C), 135.6 (CH), 127.0 (CH), 147.6 (C), 153.0 (C), 155.0 (C), and 158.2 (C) ppm. HRMS: calcd for C16H10ClN2OS [M + H]+ 313.0197, found 313.0196.
7-Methyl-2-phenyl-10H-pyrido[1,2-a]thieno[3,2-d]pyrimidin-10-one9c: White solid (44 mg, 70%), m.p. 197–199 °C. 1H-NMR (400 MHz, CDCl3) δ 2.42 (s, 3H), 7.42–7.51 (m, 4H), 7.55 (d, J = 7.5 Hz, 2H), 7.75–7.78 (m, 2H), 8.82–8.85 (m, 1H) ppm. 13C-NMR (101 MHz, CDCl3) δ 18.4 (CH), 114.8 (C), 120.0 (CH), 123.6 (CH), 123.7 (C), 125.5 (CH), 126.6 (2 × CH), 129.2 (2 × CH), 129.7 (CH), 133.3 (C), 137.5 (CH), 148.5 (C), 153.9 (C), 154.3 (C), and 158.4 (C) ppm. HRMS: calcd for C17H13N2OS [M + H]+ 293.0743, found 293.0745.
7-Methoxy-2-phenyl-10H-pyrido[1,2-a]thieno[3,2-d]pyrimidin-10-one9d: Yellow solid (43 mg, 65%), m.p. 184–186 °C. 1H-NMR (400 MHz, CDCl3) δ 3.95 (s, 3H), 7.42–7.50 (m, 4H), 7.55–7.59 (m, 2H), 7.75–7.78 (m, 2H), 8.51 (d, J = 2.7 Hz, 1H) ppm.13C-NMR (101 MHz, CDCl3) δ 56.4 (CH), 105.6 (CH), 114.7 (C), 119.9 (CH), 126.6 (2 × CH), 126.8 (CH), 129.2 (2 × CH), 129.7 (CH), 130.5 (CH), 133.3 (C), 146.8 (C), 149.6 (C), 153.8 (C), 153.9 (C), and 157.8 (C) ppm. HRMS: calcd for C17H13N2O2S [M + H]+ 309.0692, found 309.0692.

3.4. General Procedure for the Synthesis of Compounds 1115a, and 11b

A mixture of bromo compound (50 mg), amino derivative (2 eq.), Pd(OAc)2 (0.05 eq.), (±)-BINAP, 2,2′-Bis(diphenylphosphino)-1,1′-binaphthalene (0.1 eq.), K2CO3 (2 eq.) in CPME (1.5 mL) was stirred in MW at 110 °C. After completion the reaction was then cooled to room temperature and the mixture was concentrated under vacuum. The solid obtained was purified by flash chromatography using a mixture of ethyl acetate/petroleum ether
Methyl 5-phenyl-3-(5-((phenylamino)methyl)-1H-1,2,3-triazol-1-yl)thiophene-2-carboxylate11a: yellow oil (43 mg, 84%). 1H-NMR (400 MHz, CDCl3) δ 8.32 (s, 1H), 7.71 (s, 1H), 7.67–7.64 (m, 2H), 7.45 (d, J = 7.4 Hz, 3H), 7.20 (t, J = 7.8 Hz, 2H), 6.73 (t, J = 7.1 Hz, 3H), 4.57 (s, 2H), 3.81 (s, 3H) ppm. 13C-NMR (101 MHz, CDCl3) δ 160.7 (C), 149.3 (C), 147.5 (C), 145.4 (C), 138.7 (C), 132.1 (C), 129.8 (CH), 129.3 (2 × CH), 129.3 (2 × CH), 126.1 (2 × CH), 124.5 (CH), 122.0 (CH), 118.1 (CH), 113.2 (2 × CH), 100.0 (C), 52.5 (CH), and 39.8 (CH) ppm. HRMS: calcd for C21H19N4O2S [M + H]+ 391.1223, found 391.1224.
Methyl 7-(5-((phenylamino)methyl)-1H-1,2,3-triazol-1-yl)-2,3-dihydrobenzo[b][1,4]dio-xine-6-carboxylate12a: orange oil (19 mg, 37%). 1H-NMR (400 MHz, CDCl3) δ 7.64 (s, 1H), 7.56 (s, 1H), 7.18 (t, J = 7.9 Hz, 2H), 6.94 (s, 1H), 6.71 (t, J = 8.1 Hz, 3H), 4.54 (s, 2H), 4.34 (d, J = 5.7 Hz, 5H), 3.57 (s, 3H) ppm.13C-NMR (101 MHz, CDCl3) δ 164.6 (C), 147.6 (C), 146.8 (C), 145.6 (C), 144.3 (C), 130.5 (C), 129.3 (2 × CH), 124.5 (CH), 120.5 (CH), 120.1 (C), 118.0 (CH), 116.7 (CH), 113.2 (2 × CH), 64.6 (CH), 64.3 (CH), 52.3 (CH), and 39.8 (CH) ppm. HRMS: calcd for C19H19N4O4 [M + H]+ 367.1401, found 367.1398.
Methyl 6-(5-((phenylamino)methyl)-1H-1,2,3-triazol-1-yl)-1H-indazole-7-carboxylate13a: orange solid (33 mg, 63%), m.p. 107–109 °C. 1H-NMR (400 MHz, CDCl3) δ 3.63 (s, 3H), 4.63 (s, 2H), 6.77 (dd, J = 12.0, 8.1 Hz, 3H), 7.27–7.20 (m, 3H), 7.76 (s, 1H), 8.08 (d, J = 8.2 Hz, 1H), 8.26 (s, 1H), 11.45 (s, 1H) ppm. 13C-NMR (101 MHz, CDCl3) δ 161.1 (C), 147.4 (C), 146.7 (C), 146.0 (C), 142.1 (C), 138.1 (C), 134.8 (CH), 130.2 (2 × CH), 126.4 (CH), 123.6 (CH), 119.6 (CH), 117.6 (CH), 116.3 (C), 113.3 (2 × CH), 52.2 (CH), and 40.4 (CH) ppm. HRMS: calcd for C18H17N6O2 [M + H]+ 349.1408, found 349.1405.
Methyl 3-(5-((phenylamino)methyl)-1H-1,2,3-triazol-1-yl)thiophene-2-carboxylate14a: yellow solid (23 mg, 44%), m.p. 99–101 °C. 1H-NMR (400 MHz, CDCl3) δ 8.26 (s, 1H), 7.60 (d, J = 5.4 Hz, 1H), 7.50 (d, J = 5.4 Hz, 1H), 7.19 (t, J = 7.9 Hz, 2H), 6.76–6.70 (m, 3H), 4.56 (s, 2H), 4.30 (s, 1H), 3.79 (s, 3H) ppm. 13C-NMR (101 MHz, CDCl3) δ 160.7 (C), 147.5 (C), 145.4 (C), 138.4 (C), 131.0 (CH), 129.3 (2 × CH), 126.7 (CH), 124.5 (CH), 122.0 (C), 118.1 (CH), 113.2 (2 × CH), 52.5 (CH), and 39.8 (CH) ppm. HRMS: calcd for C15H15N4O2S [M + H]+ 315.0910, found 315.0909.
Methyl 4-(5-((phenylamino)methyl)-1H-1,2,3-triazol-1-yl)thiazole-5-carboxylate15a: yellow oil (37 mg, 72%). 1H-NMR (400 MHz, CDCl3) δ 8.90 (s, 1H), 8.10 (s, 1H), 7.19 (t, J = 7.9 Hz, 2H), 6.72 (dd, J = 19.0, 7.9 Hz, 3H), 4.58 (s, 2H), 4.31 (s, 1H), 3.81 (s, 3H) ppm. 13C-NMR (101 MHz, CDCl3) δ 159.7 (C), 155.7 (CH), 147.7 (C), 147.4 (C), 145.8 (C), 129.3 (2 × CH), 123.5 (CH), 119.4 (C), 118.1 (CH), 113.2 (2 × CH), 53.1 (CH), and 39.8 (CH) ppm. HRMS: calcd for C14H14N5O2S [M + H]+ 316.0863, found 316.0862.
Methyl3-(5-((benzofuran-5-ylamino)methyl)-1H-1,2,3-triazol-1-yl)-5-phenylthiophene-2-carboxylate11b: orange oil (33 mg, 58%). 1H-NMR (400 MHz, CDCl3) δ 3.79 (s, 3H), 4.59 (s, 2H), 6.63 (s, 1H), 6.73 (dd, J = 8.8, 2.7 Hz, 1H), 6.88 (d, J = 2.7 Hz, 1H), 7.32 (d, J = 8.8 Hz, 1H), 7.43 (d, J = 7.2 Hz, 3H), 7.53 (s, 1H), 8.33 (s, 1H), 7.64 (d, J = 8.1 Hz, 2H), 7.71 (s, 1H) ppm. 13C-NMR (101 MHz, CDCl3) δ 40.8 (CH), 52.5 (CH), 103.5 (CH), 106.4 (CH), 111.8 (CH), 112.9 (CH), 119.7 (C), 122.0 (CH), 124.6 (CH), 126.1 (2 × CH), 128.2 (C), 129.3 (2 × CH), 129.8 (CH), 132.1 (C), 138.7 (C), 143.7 (C), 145.3 (CH), 145.5 (C), 149.3 (C), 149.3 (C), and 160.7 (C) ppm. HRMS: calcd for C23H19N4O3S [M + H]+ 431.1172, found 431.1170.

4. Conclusions

In summary, we have disclosed a synthesis of triazole scaffolds using greener alternatives as solvents. The conditions reported for all classes of heterocycles studied make this methodology an interesting alternative to conventional strategies, as it avoids the use of metal catalysts, several-step reactions, and conventional petroleum solvents.
We have also developed an efficient, environmentally sound microwave-assisted method for a Buchwald–Hartwig Coupling/Pyridine Dearomatization Sequence. Applying CPME and 2-MeTHF as solvents, from methyl 3-aminothiophene-2-carboxylate and 3-amino-5-phenylthiophene-2-carboxylate, the final compounds were obtained with interesting yields.
In the last part of this manuscript, we demonstrated a Buchwald–Hartwig amination of bromo derivatives synthesized at the beginning of this work. Once again, we were able to successfully find an approach making use of microwave heating that was compatible with a green solvent. In this case, this achievement allowed a threefold improvement: shortening of the usual reaction time, CPME as an alternative to the solvents generally used in this type of reaction (DMF, for example), and good yields.

Supplementary Materials

The following are available online: 1H-NMR and 13C-NMR Spectra of all Products.

Author Contributions

Conceptualization and methodology, J.F.C. and S.B.-R.; investigation and data curation, J.F.C.; Performance of the experiments, J.F.C., M.C., R.C. and B.P.; 99 writing—original draft preparation, J.F.C.; writing—review and editing, T.B. and S.B.-R.; supervision, project administration, and funding acquisition, S.B.-R. All authors have read and agreed to the published version of the manuscript.

Funding

This research received no external funding.

Data Availability Statement

The data presented in this study are available in Supplementary Materials.

Conflicts of Interest

The authors declare no conflict of interest.

Sample Availability

Samples of all compounds used are available from the authors.

References

  1. Clarke, C.J.; Tu, W.-C.; Levers, O.; Bröhl, A.; Hallett, J.P. Green and Sustainable Solvents in Chemical Processes. Chem. Rev. 2018, 118, 747–800. [Google Scholar] [CrossRef] [PubMed]
  2. Laird, T. Green Chemistry is Good Process Chemistry. Org. Process Res. Dev. 2012, 16, 1–2. [Google Scholar] [CrossRef]
  3. Henderson, R.K.; Jiménez-González, C.; Constable, D.J.C.; Alston, S.R.; Inglis, G.G.A.; Fisher, G.; Sherwood, J.; Binks, S.P.; Curzons, A.D. Expanding GSK’s solvent selection guide—embedding sustainability into solvent selection starting at medicinal chemistry. Green Chem. 2011, 13, 854–862. [Google Scholar] [CrossRef]
  4. Capello, C.; Fischer, U.; Hungerbühler, K. What is a green solvent? A comprehensive framework for the environmental assessment of solvents. Green Chem. 2007, 9, 927–934. [Google Scholar] [CrossRef]
  5. Alfonsi, K.; Colberg, J.; Dunn, P.J.; Fevig, T.; Jennings, S.; Johnson, T.A.; Kleine, H.P.; Knight, C.; Nagy, M.A.; Perry, D.A.; et al. Green chemistry tools to influence a medicinal chemistry and research chemistry based organization. Green Chem. 2008, 10, 31–36. [Google Scholar] [CrossRef]
  6. Prat, D.; Pardigon, O.; Flemming, H.W.; Letestu, S.; Ducandas, V.; Isnard, P.; Guntrum, E.; Senac, T.; Ruisseau, S.; Cruciani, P.; et al. Sanofi’s Solvent Selection Guide: A Step Toward More Sustainable Processes. Org. Process Res. Dev. 2013, 17, 1517–1525. [Google Scholar] [CrossRef]
  7. Diorazio, L.J.; Hose, D.R.J.; Adlington, N.K. Toward a More Holistic Framework for Solvent Selection. Org. Process Res. Dev. 2016, 20, 760–773. [Google Scholar] [CrossRef]
  8. Prat, D.; Wells, A.; Hayler, J.; Sneddon, H.; McElroy, C.R.; Abou-Shehada, S.; Dunn, P.J. CHEM21 selection guide of classical- and less classical-solvents. Green Chem. 2016, 18, 288–296. [Google Scholar] [CrossRef]
  9. Alder, C.M.; Hayler, J.D.; Henderson, R.K.; Redman, A.M.; Shukla, L.; Shuster, L.E.; Sneddon, H.F. Updating and further expanding GSK’s solvent sustainability guide. Green Chem. 2016, 18, 3879–3890. [Google Scholar] [CrossRef]
  10. Campos, J.F.; Pacheco-Benichou, A.; Fruit, C.; Besson, T.; Berteina-Raboin, S. Synthesis of Benzo-Fused 11H-Pyrido[2,1-b]quinazolin-11-ones by a Buchwald–Hartwig Coupling/Pyridine Dearomatization Sequence in Eucalyptol. Synthesis 2020, 52, A–F. [Google Scholar] [CrossRef]
  11. Campos, J.F.; Berteina-Raboin, S. Eucalyptol as bio-based solvent for Migita-Kosugi-Stille coupling reaction on O,S,N-Heterocycles. Catal. Today 2020, 358, 138–142. [Google Scholar] [CrossRef]
  12. Campos, J.F.; Berteina-Raboin, S. Eucalyptol as a Bio-Based Solvent for Buchwald-Hartwig Reaction on O,S,N-Heterocycles. Catalysts 2019, 9, 840. [Google Scholar] [CrossRef]
  13. Campos, J.F.; Scherrmann, M.-C.; Berteina-Raboin, S. Eucalyptol: A new solvent for the synthesis of heterocycles containing oxygen, sulfur and nitrogen. Green Chem. 2019, 21, 1531–1539. [Google Scholar] [CrossRef]
  14. Campos, J.F.; Loubidi, M.; Scherrmann, M.-C.; Berteina-Raboin, S. A greener and efficient method for nucleophilic aromatic substitution of nitrogen-containing fused heterocycles. Molecules 2018, 23, 684. [Google Scholar] [CrossRef] [PubMed]
  15. Taylor, R.D.; MacCoss, M.; Lawson, A.D.G. Rings in Drugs. J. Med. Chem. 2014, 57, 5845–5859. [Google Scholar] [CrossRef] [PubMed]
  16. Vitaku, E.; Smith, D.T.; Njardarson, J.T. Analysis of the Structural Diversity, Substitution Patterns, and Frequency of Nitrogen Heterocycles among U.S. FDA Approved Pharmaceuticals. J. Med. Chem. 2014, 57, 10257–10274. [Google Scholar] [CrossRef] [PubMed]
  17. Monguchi, Y.; Kitamoto, K.; Ikawa, T.; Maegawa, T.; Sajiki, H. Evaluation of Aromatic Amination Catalyzed by Palladium on Carbon: A Practical Synthesis of Triarylamines. Adv. Synth. Catal. 2008, 350, 2767–2777. [Google Scholar] [CrossRef]
  18. Campos, J.F.; Queiroz, M.-J.R.P.; Berteina-Raboin, S. Synthesis of New Annulated Pyrazinothienotriazolopyrimidinones and Triazolylthienopyrazines. Synthesis 2018, 50, 1159–1165. [Google Scholar] [CrossRef]
  19. Kannadasan, S.; Srinivasan, P.C. A Facile Synthesis of 3,4-Benzo-β-carbolines. Synth Commun. 2004, 34, 1325–1335. [Google Scholar] [CrossRef]
  20. Pippione, A.C.; Sainas, S.; Goyal, P.; Fritzson, I.; Cassiano, G.C.; Giraudo, A.; Giorgis, M.; Tavella, T.A.; Bagnati, R.; Rolando, B.; et al. Hydroxyazole scaffold-based Plasmodium falciparum dihydroorotate dehydrogenase inhibitors: Synthesis, biological evaluation and X-ray structural studies. Eur. J. Med. Chem. 2019, 163, 266–280. [Google Scholar] [CrossRef] [PubMed]
Figure 1. Green solvents used in this work.
Figure 1. Green solvents used in this work.
Molecules 26 01074 g001
Figure 2. Structures of some Food and Drug Administration (FDA) approved drugs with heterocyclic scaffolds reported in this study.
Figure 2. Structures of some Food and Drug Administration (FDA) approved drugs with heterocyclic scaffolds reported in this study.
Molecules 26 01074 g002
Figure 3. Study of scope and limitations of Buchwald–Hartwig Coupling/Pyridine Dearomatization Sequence from methyl 3-aminothiophene-2-carboxylate. (a) methodology developped by Y.Monguchi et al. (2008) (b) work reported by our team in 2020.
Figure 3. Study of scope and limitations of Buchwald–Hartwig Coupling/Pyridine Dearomatization Sequence from methyl 3-aminothiophene-2-carboxylate. (a) methodology developped by Y.Monguchi et al. (2008) (b) work reported by our team in 2020.
Molecules 26 01074 g003
Figure 4. Study of scope and limitations of Metal-free Click Chemistry from 7-amino-2,3-dihydro-benzo[1,4]dioxine-6-carboxylic acid methyl ester.
Figure 4. Study of scope and limitations of Metal-free Click Chemistry from 7-amino-2,3-dihydro-benzo[1,4]dioxine-6-carboxylic acid methyl ester.
Molecules 26 01074 g004
Figure 5. Study of scope and limitations of Metal-free Click Chemistry from methyl 6-amino-1H-indazole-7-carboxylate.
Figure 5. Study of scope and limitations of Metal-free Click Chemistry from methyl 6-amino-1H-indazole-7-carboxylate.
Molecules 26 01074 g005
Figure 6. Study of scope and limitations of Metal-free Click Chemistry from methyl 3-amino-5-phenylthiophene-2-carboxylate.
Figure 6. Study of scope and limitations of Metal-free Click Chemistry from methyl 3-amino-5-phenylthiophene-2-carboxylate.
Molecules 26 01074 g006
Figure 7. Study of scope and limitations of Metal-free Click Chemistry from methyl 3-aminothiophene-2-carboxylate.
Figure 7. Study of scope and limitations of Metal-free Click Chemistry from methyl 3-aminothiophene-2-carboxylate.
Molecules 26 01074 g007
Figure 8. Study of scope and limitations of Metal-free Click Chemistry from methyl 4-amino-5-thiazolecarboxylate.
Figure 8. Study of scope and limitations of Metal-free Click Chemistry from methyl 4-amino-5-thiazolecarboxylate.
Molecules 26 01074 g008
Figure 9. Study of scope and limitations of Buchwald–Hartwig Coupling/Pyridine Dearomatization Sequence from methyl 3-aminothiophene-2-carboxylate 1d.
Figure 9. Study of scope and limitations of Buchwald–Hartwig Coupling/Pyridine Dearomatization Sequence from methyl 3-aminothiophene-2-carboxylate 1d.
Molecules 26 01074 g009
Figure 10. Study of scope and limitations of Buchwald–Hartwig Coupling/Pyridine Dearomatization Sequence from methyl 3-amino-5-phenylthiophene-2-carboxylate.
Figure 10. Study of scope and limitations of Buchwald–Hartwig Coupling/Pyridine Dearomatization Sequence from methyl 3-amino-5-phenylthiophene-2-carboxylate.
Molecules 26 01074 g010
Figure 11. Study of scope and limitations of Buchwald–Hartwig Coupling.
Figure 11. Study of scope and limitations of Buchwald–Hartwig Coupling.
Molecules 26 01074 g011
Table 1. Synthesis of 2a using several green solvents.
Table 1. Synthesis of 2a using several green solvents.
Molecules 26 01074 i001
EntrySolventYield a (%)
1CPME40
22-MeTHF70
3Eucalyptol54
a Isolated yield after purification by flash chromatography.
Table 2. Synthesis of 3a using several green solvents.
Table 2. Synthesis of 3a using several green solvents.
Molecules 26 01074 i002
EntrySolventYield a (%)
1CPME33
22-MeTHF41
3Eucalyptol37
a Isolated yield after purification by flash chromatography.
Table 3. Synthesis of 4a using several green solvents.
Table 3. Synthesis of 4a using several green solvents.
Molecules 26 01074 i003
EntrySolventYield a (%)
1CPME95
22-MeTHF89
3Eucalyptol87
4 bCPME28
a Isolated yield after purification by flash chromatography. b Microwave, 140 °C, 1 h.
Table 4. Synthesis of 5a using several green solvents.
Table 4. Synthesis of 5a using several green solvents.
Molecules 26 01074 i004
EntrySolventYield a (%)
1CPME74
22-MeTHF71
3Eucalyptol95
4 bEucalyptol40
a Isolated yield after purification by flash chromatography. b MW, 140 °C, 1 h.
Table 5. Synthesis of 6a using several green solvents.
Table 5. Synthesis of 6a using several green solvents.
Molecules 26 01074 i005
EntrySolventYield a (%)
1CPME29
22-MeTHF12
3Eucalyptol18
a Isolated yield after purification by flash chromatography.
Table 6. Synthesis of 8a varying the solvent and heating system.
Table 6. Synthesis of 8a varying the solvent and heating system.
Molecules 26 01074 i006
EntrySolventT (°C)t (h)Catalyst%
Pd(OAc)2/Xantphos
Heating SystemYield a (%)
1CPME120overnight3/4Classical82
22-MeTHF120overnight3/4Classical89
3Toluene120overnight3/4Classical86
4CPME14013/4MW55
52-MeTHF14013/4MW65
6Toluene14013/4MW72
7CPME14023/4MW55
82-MeTHF14023/4MW65
9CPME16013/4MW71
102-MeTHF16013/4MW64
a Isolated yield after purification by flash chromatography.
Table 7. Synthesis of 9a varying the solvent and heating system.
Table 7. Synthesis of 9a varying the solvent and heating system.
Molecules 26 01074 i007
EntrySolventT (°C)t (h)Catalyst%
Pd(OAc)2/Xantphos
Heating SystemYield a (%)
1CPME120overnight3/4Classical96
22-MeTHF120overnight3/4Classical86
3Toluene120overnight3/4Classical86
4Toluene14013/4MW39
5Toluene14023/4MW43
62-MeTHF14023/4MW19
72-MeTHF14043/4MW35
8CPME16013/4MW53
9CPME16023/4MW87
a Isolated yield after purification by flash chromatography.
Table 8. Synthesis optimization of 11a by varying the solvent, base, and heating system.
Table 8. Synthesis optimization of 11a by varying the solvent, base, and heating system.
Molecules 26 01074 i008
EntrySolventT (°C)tCatalyst%
Pd(OAc)2/BINAP
BaseYield a (%)
1Toluene11022 h5/10Cs2CO345
2DMFr.t17 h5/10K2CO384
3DMFr.t17 h5/10Cs2CO354
4Toluener.t18 h5/10K2CO376
52-MeTHFr.t5 days5/10K2CO346
6CPMEr.t3 days5/10K2CO370
7CPME b110 1 h5/10K2CO384
a Isolated yield after purification by flash chromatography. b MW. BINAP: (±)-BINAP, 2,2′-Bis(diphenylphosphino)-1,1′-binaphthalene; DMF: N,N-Dimethylformamide.
Publisher’s Note: MDPI stays neutral with regard to jurisdictional claims in published maps and institutional affiliations.

Share and Cite

MDPI and ACS Style

Campos, J.F.; Cailler, M.; Claudel, R.; Prot, B.; Besson, T.; Berteina-Raboin, S. Demonstration of Green Solvent Performance on O,S,N-Heterocycles Synthesis: Metal-Free Click Chemistry and Buchwald—Hartwig Coupling. Molecules 2021, 26, 1074. https://doi.org/10.3390/molecules26041074

AMA Style

Campos JF, Cailler M, Claudel R, Prot B, Besson T, Berteina-Raboin S. Demonstration of Green Solvent Performance on O,S,N-Heterocycles Synthesis: Metal-Free Click Chemistry and Buchwald—Hartwig Coupling. Molecules. 2021; 26(4):1074. https://doi.org/10.3390/molecules26041074

Chicago/Turabian Style

Campos, Joana F., Manon Cailler, Remi Claudel, Benjamin Prot, Thierry Besson, and Sabine Berteina-Raboin. 2021. "Demonstration of Green Solvent Performance on O,S,N-Heterocycles Synthesis: Metal-Free Click Chemistry and Buchwald—Hartwig Coupling" Molecules 26, no. 4: 1074. https://doi.org/10.3390/molecules26041074

APA Style

Campos, J. F., Cailler, M., Claudel, R., Prot, B., Besson, T., & Berteina-Raboin, S. (2021). Demonstration of Green Solvent Performance on O,S,N-Heterocycles Synthesis: Metal-Free Click Chemistry and Buchwald—Hartwig Coupling. Molecules, 26(4), 1074. https://doi.org/10.3390/molecules26041074

Article Metrics

Back to TopTop