Abstract
An expansion of the structure–activity relationship study of CXCR4 antagonists led to the synthesis of a series of isoquinolines, bearing a tetrahydroquinoline or a 3-methylpyridinyl moiety as head group. All compounds were investigated for CXCR4 affinity and antagonism in competition binding and calcium mobilization assays, respectively. In addition, the anti-HIV activity of all analogues was determined. All compounds showed excellent activity, with compound 24c being the most promising one, since it displayed consistently low nanomolar activity in the various assays.
1. Introduction
The CXC chemokine receptor 4 (CXCR4) is a seven transmembrane G protein-coupled receptor (GPCR), whose only endogenous ligand is the CXC chemokine ligand 12 (CXCL12), also known as stromal cell-derived factor 1 (SDF-1). Binding of CXCL12 to CXCR4 activates different signaling pathways, leading to various biological responses such as chemotaxis, cell survival and proliferation, intracellular calcium flux and gene transcription. Under normal physiological conditions, binding of CXCL12 induces leukocytes to migrate along chemokine gradients toward sites with high concentrations of CXCL12 [1]. Aberant CXCL12/CXCR4 signaling plays an important role in various pathological processes. Initially, CXCR4 was discovered as a coreceptor, in conjunction with the host CD4 receptor, for the entry of the T-tropic human immunodeficiency virus (HIV) into T-lymphocytes. CXCR4 is the main coreceptor of HIV-1 in the later stages of infection, that leads to a decrease in CD4 cell count and is linked to a higher chance of advancing to the acquired immune deficiency syndrome (AIDS) [2].
Mutations in the gene encoding for CXCR4 lead to truncation of its C-terminal tail and enhanced receptor activity. Clinically, it causes a rare combined immunodeficiency, characterized by warts, hypogammaglobulinemia, recurrent bacterial infection, and myelokathexis, which is known as the WHIM syndrome [3]. Overexpression of CXCR4 is reported for more than 20 types of solid and hematological cancers and is correlated with poor prognosis. CXCR4 was shown to be essential for various fundamental aspects of cancer, such as primary tumor growth, cancer cell migration, and the establishment of metastatic sites. This points toward CXCR4 as a general driver of human malignancies [4]. CXCR4 has also been implicated in various inflammatory disorders, such as rheumatoid arthritis, inflammatory bowel disease, and asthma [5].
The promise of CXCR4 as drug target spurred the search for small molecule CXCR4 antagonists [6,7]. AMD3100 (Plerixafor, compound 1, Figure 1) received marketing approval for hematopoietic stem cell mobilization for transplantations in case of non-Hodgkin lymphoma and multiple myeloma [8]. In addition, AMD3100 has been used as a chemical tool to demonstrate that small molecule antagonism of CXCR4 is a promising strategy for the treatment of different cancers, such as breast cancer [9], prostate cancer [10], and ovarian cancer [11]. The lack of oral bioavailability of AMD3100 prompted the search for orally bioavailable small molecules. Different scaffolds have been elaborated, but most studies dealt with the tetrahydroquinoline-based derivatives. Among this class of compounds, AMD11070 (mavorixafor, compound 2, Figure 1) is noteworthy. This analogue has been clinically evaluated as an antiretroviral agent, but was then halted for further development as an anti-HIV drug [12]. Recently, a phase 3 clinical trial for the treatment of the WHIM syndrome was initiated. Since then, many structural modifications have been pursued within this series. In most of these efforts, the 8-aminotetrahydroquinoline head piece was kept intact and structural variation was pursued on the lower part of the molecule. The basic n-butylamine side chain was removed and a piperazine ring was appended to the lower part, giving rise to GSK-812397 (compound 3, Figure 1) [13]. It has been demonstrated that the benzimidazole moiety can be replaced by various mono- and bicyclic heteroaromatics, as exemplified by the isoquinoline congener 4 [14]. Substitution of the bicyclic heteroaromatic moiety by a partially saturated ring system yielded the tetrahydroisoquinoline derivative 5 (also known as TIQ15, Figure 1), which is a highly potent and selective CXCR4 antagonist [15]. Further optimization yielded compound 6, which has improved in vitro ADME properties compared to compound 5 [16]. In contrast to the lower part, the upper tetrahydroquinoline moiety of AMD-11070 has been left relatively unexplored. It was shown that the stereochemistry of the tetrahydroquinoline moiety plays an important role in CXCR4 antagonism, with the (S)-enantiomer being more active than the (R)-enantiomer [17]. Structural simplification of the tetrahydroquinoline moiety afforded a series of 2-(aminomethyl)pyridine analogues, from which compound 7 (Figure 1) is a representative example. This compound displayed excellent CXCR4 antagonism and showed an improved metabolic stability (when compared to the corresponding tetrahydroquinoline congeners) [18]. Recently, it was shown that aromatization of the tetrahydroquinoline core yielded the aminoquinoline derivative 8 that displayed very potent CXCR4 affinity [19]. A major advantage of the open scaffolds and the fully aromatic compounds is the absence of chirality.
Figure 1.
Small molecule CXCR4 antagonists.
In 2016, our group reported a metal-free three-component reaction for the synthesis of 1,5-disubstituted 1,2,3-triazoles [20,21,22], known as the “triazolization reaction of ketones”. In 2020, it was shown by our laboratory that the acid-mediated denitrogenative ring opening of triazoloisoquinolines furnished various 1-methyleneisoquinolines [23]. In this manuscript, these synthetic methodologies were applied for the synthesis of a series of novel isoquinoline-based CXCR4 antagonists, derived from the lead compound 4. To probe the optimal substitution pattern for CXCR4 antagonism, various small substituents (R = F, Br, OCH3) were introduced on the isoquinoline moiety. In order to delineate if CXCR4 antagonism depends on the presence of a bicyclic isoquinoline moiety, the corresponding pyridine congeners were also prepared. As head groups, the classical 8-aminotetrahydroquinoline moiety, as well as the simplified 3-methylpyridinyl group, were selected (Figure 2).
Figure 2.
Newly designed CXCR4 antagonists.
2. Results and Discussion
2.1. Chemistry
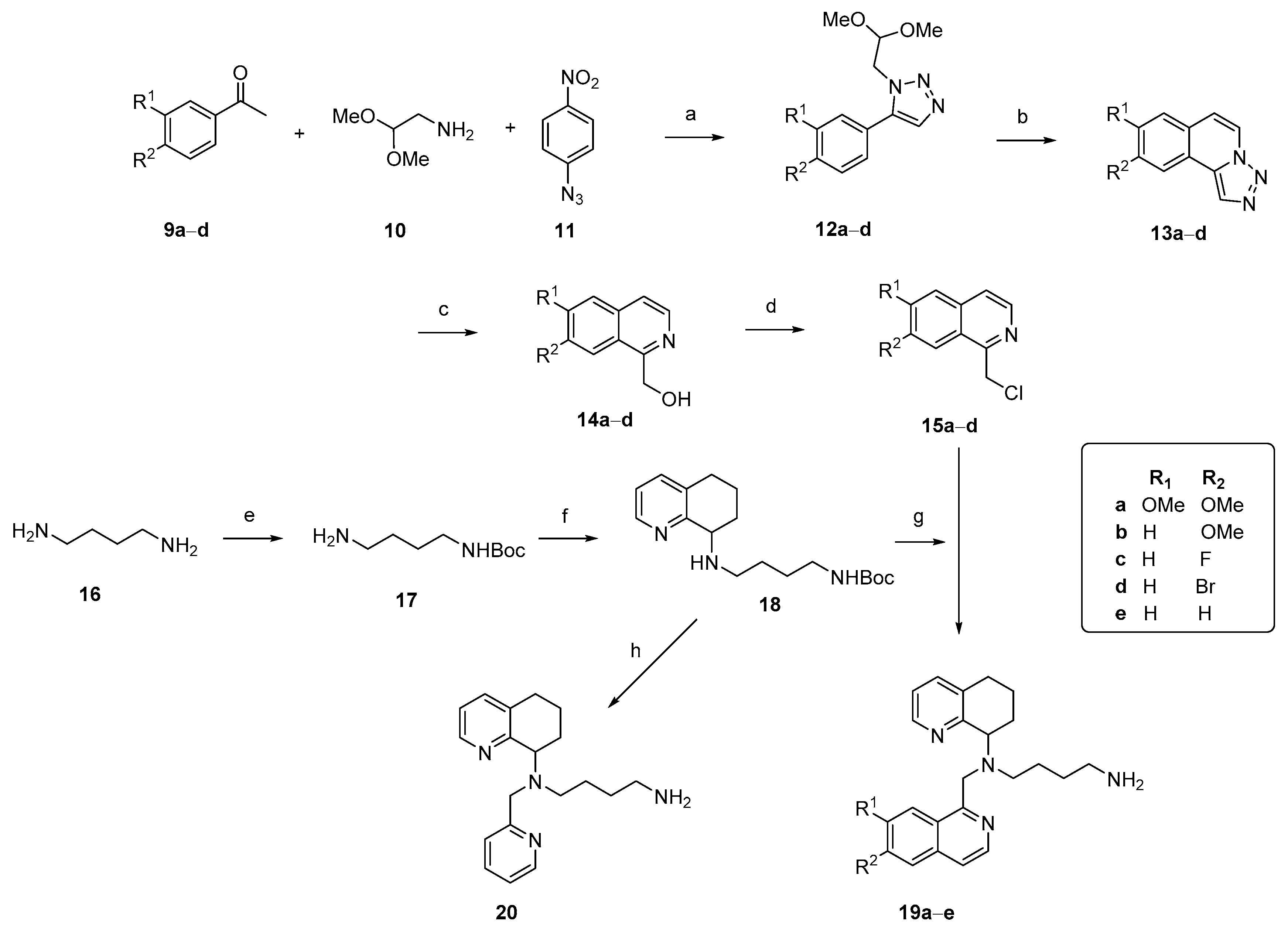
The synthesis of the tetrahydroquinoline derivatives is shown in Scheme 1. A multi-component reaction between acetophenone derivatives 9a–d, 2,2-dimethoxyethan-1-amine 10 and 4-nitrophenyl azide (4-NPA) 11 in toluene at 100 °C yielded the dimethyl acetal-substituted triazoles 12a–d. Conversion into the triazolo[5,1-a]isoquinolines 13a–d was achieved using concentrated sulfuric acid in a modified Pomeranz-Fritsch reaction [23]. This was followed by an acid-catalyzed ring opening of the triazole moiety [24] using water as the nucleophile to afford the 1-hydroxymethylisoquinolines 14a–d. Upon treatment with SOCl2 at room temperature, the desired 1-chloromethyl isoquinoline derivatives 15a–d were obtained.
Scheme 1.
Reagents and conditions: (a) toluene, 100 °C, 17 h (62–89% yield); (b) H2SO4 (80–99 wt%), rt, 1–2 d (87–99% yield); (c) 2.5 M H2SO4, 120 °C, 1–2 d (76–92% yield); (d) SOCl2, DCM, rt, 3 h (90–99% yield); (e) Boc2O, DCM, rt, 17 h (65% yield); (f) 6,7-dihydroquinolin-8(5H)-one, NaBH(OAc)3, rt, 48 h (64% yield); (g): (i) K2CO3, MeCN, reflux, 2 d (61–86% yield); (ii) TFA, DCM, rt, 1 h (92–99% yield); (h) (i) picolinaldehyde, NaBH(OAc)3, DCE, rt, 2 d (63% yield); (ii) TFA, DCM, rt, 1 h (99% yield).
The selective mono-protection [25,26] of butane-1,4-diamine 16 with di-tert-butyl dicarbonate afforded intermediate 17, which was used for further reaction without any purification. Reductive amination with 6,7-dihydroquinolin-8(5H)-one in the presence of NaBH(OAc)3 at room temperature, yielded compound 18 in 73% yield. The subsequent alkylation of amine 18 by treatment with 1-chloromethylisoquinolines 15a–e in the presence of K2CO3 under reflux temperature was followed by acidic cleavage of the Boc protecting group, yielding final compounds 19a–e. A reductive amination between amine 18 and the commercially available picolinaldehyde in presence of NaBH(OAc)3, followed by Boc deprotection, furnished the final compound 20 [14,27].
The synthesis of the 3-methylpyridine derivatives is depicted in Scheme 2. Formylation of the lithium salt of 2-bromo-3-methylpyridine 21 with DMF afforded 3-methylpicolinaldehyde 22 [28], which was then used in a reductive amination with amine 17, yielding the key intermediate 23. Alkylation of 23 with 1-chloromethylisoquinolines 15a–e or a reductive amination with picolinaldehyde yielded target compounds 24a–e and 25, respectively [27].
Scheme 2.
Reagents and conditions: (a) nBuLi (1.6 M in hexane), DMF, Et2O, 24 h (62% yield); (b) 17, NaBH(OAc)3, DCE, rt, 48 h (74% yield); (c): (i) 15a–d, K2CO3, MeCN, reflux, 2 d (57–84% yield); (ii) TFA, DCM, rt, 1 h (99% yield); (d): (i) picolinaldehyde, NaBH(OAc)3, DCE, rt, 2 d (52% yield); (ii) TFA, DCM, rt, 1 h (81% yield).
2.2. Biological Evaluation
Compounds 19a–e, 20, 24a–e, and 25 were evaluated in a panel of in vitro cell-based assays (Table 1) [29]. First, the ability of the compounds to compete with fluorescently labeled CXCL12 (CXCL12AF647) for binding at CXCR4 was determined. Second, since binding of CXCL12 to CXCR4 results into a transient increase of cytosolic calcium levels, the inhibition of this CXCL12-induced calcium mobilization by the various compounds was also investigated. Finally, given the role of CXCR4 as a major coreceptor for HIV entry, the antiviral activity of the compounds against the X4-tropic wild type HIV-1 NL4–3 strain and the HIV-2 ROD strain was determined in MT-4 cells. In parallel, the cytotoxicity of the compounds for uninfected MT-4 cells was assessed. In each of these assays, plerixafor was included as positive control and showed potent inhibitory activity in the various assays.
Table 1.
CXCR4 and HIV data of final compounds.
All newly synthesized isoquinoline-based derivatives were able to compete with CXCL12 for binding to CXCR4, as evidenced by IC50 values of less than 40 nM for all analogues, the only exception being compound 24b that displayed an IC50 value of 0.89 µM in the binding assay. It is noteworthy that a structurally simplified analogue 25 carrying a 3-methylpyridinyl moiety (instead of the THQ group) and a pyridinyl ring (instead of the isoquinoline ring) is still endowed with very potent CXCR4-binding affinity (IC50 = 0.6 nM), making this a very ligand-efficient molecule. A similar trend was found in the CXCR4 calcium mobilization assay: all compounds were active (IC50 values of less than 1 µM), with compound 24b being the least active (IC50 = 3.85 µM). However, all compounds do show a diminished potency in the calcium flux assay, when compared to the binding assay, which is also observed for plerixafor. The HIV screening revealed a number of analogues (compounds 19a–c, 19e, 20, 24a, and 24c) that show excellent antiviral activity against HIV-1 and HIV-2 (EC50 < 100 nM) and at the same time, lack cytotoxicity for the MT4 cell line. Compounds that were less active in the calcium mobilization assay (such as compounds 19b, 24b, 24d–e, and 25) also displayed a diminished activity as anti-HIV agent. Overall, the biological profile of compound 24c looks very promising, since it shows low nM activity in all assays (IC50 values between 0.6 and 6 nM) and lacks cytotoxicity (CC50 = 31 µM).
3. Materials and Methods
3.1. General Information
All chemicals were purchased from Acros Organics, Merck, Alfa Aesar, Fluorochem or TCI Europe and were used as received. For column chromatography, 70–230 mesh silica 60 (Acros) was used as the stationary phase. NMR spectra were recorded on commercial instruments (Bruker Avance 300 or Bruker Avance III HD 400 or Bruker Avance II+ 600) and chemical shifts (δ) are reported in parts per million (ppm) referenced to tetramethylsilane (1H), or the internal (NMR) solvent signal (13C). High-resolution mass spectra were acquired on a quadrupole orthogonal acceleration time-of-flight mass spectrometer (Synapt G2 HDMS, Waters, Milford, MA, USA). Samples were infused at 3 µL/min and spectra were obtained in positive ionization mode with a resolution of 15,000 (FWHM) using leucine enkephalin as lock mass. Melting points were determined using a Reichert Thermovar apparatus. Recombinant human CXCL12 was purchased from Peprotech and human CXCL12-Alexa 647® (CXCL12AF647) was obtained from Almac.
3.2. Chemistry
3.2.1. Synthesis of Dimethyl Acetal-Substituted Triazoles (12a–d)
General procedure
Commercially available substituted acetophenones 9a–d (1 eq., 2.5 mmol) and 2-aminoacetaldehyde dimethyl acetal 10 (1.1 eq., 2.75 mmol, 289 mg) were added to an oven-dried screw-capped reaction tube equipped with a magnetic stirring bar. The mixture was dissolved in dry toluene (2 mL) followed by addition of 4-nitrophenyl azide 11 (1.5 eq., 3.75 mmol, 615 mg) and stirred overnight at 100 °C in an aluminum heating block. The crude residue was purified via silica gel flash chromatography, yielding the title compounds. The following compounds were made according to this general procedure.
- 1-(2,2-Dimethoxyethyl)-5-(3,4-dimethoxyphenyl)-1H-1,2,3-triazole (12a)
This compound was prepared from 3′,4′-dimethoxyacetophenone 9a (415.45 mg, 2.50 mmol). The crude residue was purified by silica gel flash chromatography using DCM/EtOAc (95:5) as mobile phase, yielding the title compound as a yellowish-orange solid (654 mg, 89%); mp 90–92 °C. 1H NMR (400 MHz, CDCl3) δ: 7.67 (s, 1H), 7.10 (d, J = 2.0 Hz, 1H), 7.06 (dd, J = 8.2, 2.0 Hz, 1H), 6.97 (d, J = 8.2 Hz, 1H), 4.93 (t, J = 5.6 Hz, 1H), 4.41 (d, J = 5.7 Hz, 2H), 3.94 (s, 3H), 3.92 (s, 3H), 3.37 (s, 6H). 13C NMR (101 MHz, CDCl3) δ: 150.0, 149.3, 139.0, 132.6, 122.1, 119.2, 112.4, 111.5, 103.7, 56.1, 56.1, 55.4, 49.7. HRMS (ESI-Q-TOF): m/z [M + H]+ calcd for C14H19N3O4: 294.1448; found: 294.1455.
- 1-(2,2-Dimethoxyethyl)-5-(4-methoxyphenyl)-1H-1,2,3-triazole (12b)
This compound was prepared from 4′-methoxyacetophenone 9b (375.45 mg, 2.50 mmol). The crude residue was purified by silica gel flash chromatography using DCM/EtOAc (95:5) as mobile phase, yielding the title compound as a yellowish-orange viscous oil (488 mg, 74%). 1H NMR (400 MHz, CDCl3) δ: 7.64 (s, 1H), 7.42 (d, J = 8.7 Hz, 2H), 7.01 (d, J = 8.7 Hz, 2H), 4.88 (t, J = 5.6 Hz, 1H), 4.39 (d, J = 5.7 Hz, 2H), 3.85 (s, 3H), 3.33 (s, 6H). 13C NMR (101 MHz, CDCl3) δ: 160.4, 138.7, 132.5, 130.5, 118.9, 114.4, 103.3, 55.3, 55.1, 49.4. HRMS (ESI-Q-TOF): m/z [M + H]+ calcd for C13H17N3O3: 264.1343; found: 264.1346.
- 1-(2,2-Dimethoxyethyl)-5-(4-fluorophenyl)-1H-1,2,3-triazole (12c)
This compound was prepared from 4′-fluoroacetophenone 9c (345.35 mg, 2.50 mmol). The crude residue was purified by silica gel flash chromatography using DCM/EtOAc (95:5) as the mobile phase, yielding the title compound as a reddish viscous oil (447 mg, 71%). 1H NMR (400 MHz, CDCl3) δ: 7.65 (s, 1H), 7.47 (dd, J = 8.8, 5.2 Hz, 2H), 7.16 (t, J = 8.6 Hz, 2H), 4.86 (t, J = 5.6 Hz, 1H), 4.35 (d, J = 5.6 Hz, 2H), 3.33 (s, 6H). 13C NMR (101 MHz, CDCl3) δ: 164.6, 162.1, 138.0, 132.9, 131.2, 122.9, 116.2, 103.6, 55.5, 49.6. HRMS (ESI-Q-TOF): m/z [M + H]+ calcd for C12H14FN3O2: 252.1143; found: 252.1139.
- 5-(4-Bromophenyl)-1-(2,2-dimethoxyethyl)-1H-1,2,3-triazole (12d)
This compound was prepared from 4′-bromoacetophenone 9d (497.6 mg, 2.50 mmol). The crude residue was purified by silica gel flash chromatography using DCM/EtOAc (95:5) as mobile phase, yielding the title compound as an orange viscous oil (485 mg, 62%). 1H NMR (400 MHz, CDCl3) δ: 7.68 (s, 1H), 7.62 (d, J = 8.5 Hz, 2H), 7.37 (d, J = 8.5 Hz, 2H), 4.87 (t, J = 5.6 Hz, 1H), 4.36 (d, J = 5.6 Hz, 2H), 3.34 (s, 6H). 13C NMR (101 MHz, CDCl3) δ: 138.1, 133, 132.4, 130.9, 125.9, 124.2, 103.7, 55.6, 49.8. HRMS (ESI-Q-TOF): m/z [M + H]+ calcd for C12H14BrN3O2: 312.0343; found: 312.0338.
3.2.2. Synthesis of 1,2,3-Triazolo[5,1-a]isoquinolines (13a–d)
General procedure
To an open round-bottom flask equipped with a magnetic stirring bar containing the triazole 12a–d (1.2 mmol) was added concentrated H2SO4 (80–95%, 2.5–4 mL), while stirring at 0 °C in an ice bath. After cooling for 30 min, the reaction mixture was stirred overnight at room temperature. The reaction mixture was poured over ice and neutralized by slowly adding a 3 M aqueous NaOH solution. The aqueous phase was subsequently extracted five times with dichloromethane. The combined organic layers were dried over MgSO4 and concentrated in vacuo. The crude residue was purified by flash chromatography, yielding the title compound. The following compounds were made according to this procedure.
- 8,9-Dimethoxy-[1,2,3]triazolo[5,1-a]isoquinoline (13a)
This compound was prepared from triazole 12a (354 mg, 1.21 mmol). The crude residue was purified by silica gel flash chromatography using DCM/EtOAc (80:20) as the mobile phase, yielding the title compound as an off-white solid (274 mg, 99%). mp 221–224 °C. 1H NMR (400 MHz, CDCl3) δ: 8.42 (d, J = 7.3 Hz, 1H), 8.29 (s, 1H), 7.39 (s, 1H), 7.13 (s, 1H), 7.07 (d, J = 7.3 Hz, 1H), 4.05 (s, 3H), 4.02 (s, 3H). 13C NMR (101 MHz, CDCl3) δ: 150.7, 150.6, 132.3, 124.5, 123.9, 121.0, 117.3, 115.4, 107.9, 104.5, 56.3, 56.2. HRMS (ESI-Q-TOF): m/z [M + H]+ calcd for C12H11N3O2: 230.0924; found: 230.0936.
- 8-Methoxy-[1,2,3]triazolo[5,1-a]isoquinoline (13b)
This compound was prepared from triazole 12b (301 mg, 1.14 mmol). The crude residue was purified by silica gel flash chromatography using DCM/EtOAc (80:20) as the mobile phase, yielding the title compound as an off-white solid (226 mg, 99%). mp 133–134 °C. 1H NMR (400 MHz, CDCl3) δ: 8.43 (d, J = 7.4 Hz, 1H), 8.26 (s, 1H), 7.96 (d, J = 8.8 Hz, 1H), 7.20 (dd, J = 8.8, 2.6 Hz, 1H), 7.12 (d, J = 2.5 Hz, 1H), 7.06 (d, J = 7.4 Hz, 1H), 3.92 (s, 3H). 13C NMR (101 MHz, CDCl3) δ: 160.0, 132.5, 130.7, 125.5, 124.6, 122.8, 118.3, 116.7, 115.6, 108.8, 55.5. HRMS (ESI-Q-TOF): m/z [M + H]+ calcd for C11H9N3O: 200.0818; found: 200.0826.
- 8-Fluoro-[1,2,3]triazolo[5,1-a]isoquinoline (13c)
This compound was prepared from triazole 12c (301 mg, 1.2 mmol) and H2SO4 (80%, aq.). The crude residue was purified by silica gel flash chromatography using DCM/EtOAc (80:20) as the mobile phase, yielding the title compound as an off-white solid (196 mg, 87%). mp 123–126 °C. 1H NMR (400 MHz, CDCl3) δ: 8.55 (d, J = 7.4 Hz, 1H), 8.38 (s, 1H), 8.15 (dd, J = 8.6, 5.3 Hz, 1H), 7.47 (d, J = 9 Hz, 1H), 7.4 (d, J = 8.4 Hz, 1H), 7.15 (d, J = 7.4 Hz, 1H). 13C NMR (101 MHz, CDCl3) δ 162.71 (d, J = 250.3 Hz), 138.48, 133.55, 130.96 (d, J = 8.5 Hz), 126.62 (d, J = 9.1 Hz), 125.63, 123.90, 117.79 (d, J = 23.9 Hz), 115.42 (d, J = 3.4 Hz), 113.05 (d, J = 22.2 Hz). HRMS (ESI-Q-TOF): m/z [M + H]+ calcd for C10H6FN3: 188.0618; found: 188.0617.
- 8-Bromo-[1,2,3]triazolo[5,1-a]isoquinoline (13d)
This compound was prepared from triazole 12d (375 mg, 1.2 mmol). The crude residue was purified by silica gel flash chromatography using DCM/EtOAc (80:20) as the mobile phase, yielding the title compound as an off-white solid (285 mg, 95%). mp 209–211 °C. 1H NMR (400 MHz, CDCl3) δ: 8.54 (d, J = 7.4 Hz, 1H), 8.42 (s, 1H), 8.02 (d, J = 8.5 Hz, 1H), 7.97 (d, J = 1.9 Hz, 1H), 7.78 (dd, J = 8.5, 1.9 Hz, 1H), 7.3 (d, J = 7.4 Hz, 1H). 13C NMR (101 MHz, CDCl3) δ: 131.8, 131.7, 130.3, 129.8, 125.7, 125.3, 123.5, 1229, 121.4, 114.6. HRMS (ESI-Q-TOF): m/z [M + H]+ calcd for C10H6BrN3: 247.9818; found: 247.9812.
3.2.3. Synthesis of 1-Hydroxymethylisoquinolines (14a–d)
General procedure
A solution of the triazoloisoquinoline 13a–d (1.2 mmol) in a 2.5M H2SO4 solution (8–10 mL) was heated at 120 °C until completion of the reaction (24–36 h). Subsequently, the reaction mixture was poured over ice and neutralized by adding a saturated aqueous NaHCO3 solution. The aqueous phase was extracted three times with dichloromethane. The combined organic phases were dried over MgSO4 and concentrated in vacuo to afford the title compound, which was used for the next step without further purification. The following compounds were made according to this procedure.
- (6,7-Dimethoxyisoquinolin-1-yl)methanol (14a)
This compound was prepared from triazoloisoquinoline 13a (275 mg, 1.2 mmol). The title compound was isolated as an off-white solid (242 mg, 92%). mp 131–133 °C. 1H NMR (400 MHz, CDCl3) δ: 8.33 (d, J = 5.7, 1H), 7.46 (d, J = 5.6, 1H), 7.11 (s, 1H), 7.05 (s, 1H), 5.13 (s, 2H), 4.04 (s, 3H), 4.03 (s, 3H). 13C NMR (101 MHz, CDCl3) δ: 155.5, 153.7, 151.1, 140.1, 133.5, 119.9, 106.1, 101.9, 62.1, 56.8. HRMS (ESI-Q-TOF): m/z [M + H]+ calcd for C12H13NO3: 220.0968; found: 220.0974.
- (6-Methoxyisoquinolin-1-yl)methanol (14b)
This compound was prepared from triazoloisoquinoline 13b (240 mg, 1.2 mmol). The title compound was isolated as an off-white solid (173 mg, 76%); mp 63–65 °C. 1H NMR (400 MHz, CDCl3) δ: 8.30 (d, J = 5.8 Hz, 1H), 7.76 (d, J = 9.2 Hz, 1H), 7.43 (d, J = 5.7 Hz, 1H), 7.19 (s, 1H), 7.04 (s, 1H), 5.11 (s, 2H), 3.88 (s, 3H). 13C NMR (101 MHz, CDCl3) δ: 160.7, 156.5, 140.5, 137.9, 124.8, 120.2, 120.1, 119.5, 104.8, 60.9, 55.2. HRMS (ESI-Q-TOF): m/z [M + H]+ calcd for C11H11NO2: 190.0862; found: 190.0869.
- (6-Fluoroisoquinolin-1-yl)methanol (14c)
This compound was prepared from triazoloisoquinoline 13c (225 mg, 1.2 mmol). The title compound was isolated as an off-white solid (194 mg, 91%). mp 72–74°C. 1H NMR (400 MHz, CDCl3) δ: 8.45 (d, J = 5.8 Hz, 1H), 7.96 (dd, J = 9.1, 5.3 Hz, 1H), 7.57 (d, J = 5.8 Hz, 1H), 7.48 (dd, J = 9.2, 2.5 Hz, 1H), 7.3 (td, J = 8.5, 2.5 Hz, 1H), 5.22 (s, 2H), 4.93 (s, 1H). 13C NMR (101 MHz, CDCl3) δ: 163.9, 161.4, 156.9, 140.8, 137.1, 125.8, 121.6, 119.4, 117.4, 110.3. HRMS (ESI-Q-TOF): m/z [M + H]+ calcd for C10H8FNO: 178.0663; found: 178.0659.
- (6-Bromoisoquinolin-1-yl)methanol (14d)
This compound was prepared from triazoloisoquinoline 13d (298 mg, 1.2 mmol). The title compound was isolated as an off-white solid (238 mg, 83%). mp 143–145°C. 1H NMR (400 MHz, CDCl3) δ: 8.47 (d, J = 5.4 Hz, 1H), 8.03 (d, J = 1.8 Hz, 1H), 7.79 (d, J = 8.9 Hz, 1H), 7.69 (dd, J = 8.9, 1.9 Hz, 1H), 7.51 (d, J = 5.7 Hz, 1H), 5.20 (s, 2H), 4.89 (s, 1H). 13C NMR (101 MHz, CDCl3) δ: 158.2, 137.5, 131.6, 130, 125.7, 125.4, 123.8, 119.7, 61.8. HRMS (ESI-Q-TOF): m/z [M + H]+ calcd for C10H8BrNO: 237.9862; found: 237.9851
3.2.4. Synthesis of 1-(Chloromethyl)isoquinolines (15a–d)
General procedure
To a solution of 1-hydroxymethylisoquinoline 14a–d (1.2 mmol) in dry dichloromethane (1 mL) was added an excess of SOCl2. The resulting reaction mixture was stirred for 3 h at room temperature. After completion of the reaction, the reaction mixture was neutralized with an aqueous saturated NaHCO3 solution. The aqueous phase was extracted several times with dichloromethane. The combined organic layers were dried over MgSO4 and concentrated under vacuum to afford the title compound, that was used for the next step without further purification. The following compounds were made according to this procedure.
- 1-(Chloromethyl)-6,7-dimethoxyisoquinoline (15a)
This compound was prepared from 1-hydroxymethylisoquinoline 14a (263 mg, 1.2 mmol). The title compound was isolated as a red-orange solid; yield: 285 mg (99%); mp 148–150 °C. 1H NMR (400 MHz, CDCl3) δ: 8.34 (d, J = 5.8 Hz, 1H), 7.50 (d, J = 5.5 Hz, 1H), 7.42 (s, 1H), 7.09 (s, 1H), 5.09 (s, 2H), 4.07 (s, 3H), 4.03 (s, 3H). 13C NMR (101 MHz, CDCl3) δ: 153.1, 153.0, 150.6, 141.0, 133.8, 122.7, 120.7, 105.4, 103.2, 56.2, 56.2, 45.7. HRMS (ESI-Q-TOF): m/z [M + H]+ calcd for C12H12ClNO2: 238.0629; found: 238.0631.
- 1-(Chloromethyl)-6-methoxyisoquinoline (15b)
This compound was prepared from 1-hydroxymethylisoquinoline 14b (227 mg, 1.2 mmol). The title compound was isolated as a dark red solid (225 mg, 90%). mp 85–87 °C. 1H NMR (400 MHz, CDCl3) δ: 8.40 (d, J = 5.7 Hz, 1H), 8.15 (d, J = 9.2 Hz, 1H), 7.55 (d, J = 5.7 Hz, 1H), 7.29 (dd, J = 9.2, 2.5 Hz, 1H), 7.10 (d, J = 2.5 Hz, 1H), 5.09 (s, 2H), 3.96 (s, 3H). 13C NMR (101 MHz, CDCl3) δ: 160.9, 154.7, 141.7, 138.9, 126.8, 121.0, 120.8, 104.8, 55.4, 44.3. HRMS (ESI-Q-TOF): m/z [M + H]+ calcd for C11H10ClNO: 208.0524; found: 208.0516.
- 1-(Chloromethyl)-6-fluoroisoquinoline (15c)
This compound was prepared from 1-hydroxymethylisoquinoline 14c (213 mg, 1.2 mmol). The title compound was isolated as a red solid (224 mg, 95%). mp 65–67 °C. 1H NMR (600 MHz, CDCl3) δ: 8.47 (d, J = 5.7 Hz, 1H), 8.30 (dd, J = 9.1, 5.3 Hz, 1H), 7.62 (d, J = 5.7 Hz, 1H), 7.52–7.39 (m, 2H), 5.12 (s, 2H). 13C NMR (151 MHz, CDCl3) δ: 164, 162.4, 155.9, 142.9, 138.6, 128.5, 123.8, 121.6, 118.5, 110.9, 45. HRMS (ESI-Q-TOF): m/z [M + H]+ calcd for C10H7ClFN: 196.0324; found: 196.0316.
- 6-Bromo-1-(chloromethyl)isoquinoline (15d)
This compound was prepared from 1-hydroxymethylisoquinoline 14d (286 mg, 1.2 mmol). The title compound was isolated as a reddish solid (301 mg, 98%). mp 108–110 °C. 1H NMR (400 MHz, CDCl3) δ: 8.50 (d, J = 5.7 Hz, 1H), 8.14 (d, J = 9 Hz, 1H), 8.05 (d, J = 1.9 Hz, 1H), 7.75 (dd, J = 9, 1.9 Hz, 1H), 7.58 (d, J = 7.6 Hz, 1H), 5.12 (s, 2H). 13C NMR (101 MHz, CDCl3) δ: 156.1, 143.1, 137.9, 131.5, 129.8, 127, 125.4, 125, 120.8, 44.8. HRMS (ESI-Q-TOF): m/z [M + H]+ calcd for C10H7BrClN: 255.9524; found: 255.9520.
3.2.5. tert-Butyl (4-aminobutyl) carbamate (17)
To a solution of 1,4-diaminobutane 16 (10 eq., 56.7 mmol, 5 g) in dichloromethane (62.5 mL) was added a solution of Boc2O (1 eq., 5.67 mmol, 1.238 g) in dichloromethane (62.5 mL) through a dropping funnel. The reaction mixture was stirred at room temperature for 16 h. After filtering the suspension, the filtrate was evaporated under vacuum. The oily residue was washed with brine and extracted with EtOAc to remove the excess amount of diamine. The organic layer was dried over anhydrous Na2SO4 and evaporated under vacuum, yielding the title compound as a colorless oil (6.9 g, 65%). 1H NMR (400 MHz, CDCl3) δ: 4.77 (s, 1H), 3.07 (t, J = 6.0 Hz, 2H), 2.66 (t, J = 6.6 Hz, 2H), 1.52–1.42 (m, 4H), 1.39 (s, 9H), 1.09 (s, 2H). 13C NMR (75 MHz, CDCl3) δ: 155.88, 78.41, 41.51, 40.09, 30.59, 28.17, 27.19. HRMS (ESI-Q-TOF): m/z [M + H]+ calcd for C9H20N2O2: 189.1597; found: 189.1597.
3.2.6. tert-Butyl (4-((5,6,7,8-tetrahydroquinolin-8-yl)amino)butyl) carbamate (18)
6,7-Dihydroquinolin-8(5H)-one (1.03 eq., 3.40 mmol, 0.500 g) was added to a slurry of NaBH(OAc)3 (1.78 eq., 5.87 mmol, 1.244 g) in dichloroethane (3 mL), followed by the addition of tert-butyl (4-aminobutyl) carbamate 17 (1 eq., 3.30 mmol, 0.621 g). The reaction was stirred at room temperature for 48 h. The reaction mixture was quenched with a 1N NaOH solution to obtain a pH ~ 8 of the aqueous layer. The reaction mixture was extracted three times with dichloromethane (3×) and the combined organic layers were concentrated to a volume of approximately 3 mL. Heptane (10 mL) was added and the volume was concentrated to 5 mL. Upon cooling the reaction mixture to room temperature, a precipitate was formed. After further cooling the suspension to 0 °C, the precipitate was filtered off and dried under vacuum, yielding the title compound as a light brown solid (674 mg, 64%); mp 73–75 °C. 1H NMR (400 MHz, CDCl3) δ: 8.39 (d, J = 4.1 Hz, 1H), 7.82 (s, 1H), 7.41 (d, J = 7.8 Hz, 1H), 7.12 (t, J = 7.4, 4.9 Hz, 1H), 4.01 (s, 1H), 3.09 (t, J = 33.0 Hz, 2H), 2.90–2.70 (m, 4H), 2.32–2.00 (m, 2H), 1.95 (t, J = 16.3 Hz, 2H), 1.73–1.62 (m, 2H), 1.62–1.51 (m, 2H), 1.42 (s, 9H). 13C NMR (101 MHz, CDCl3) δ: 156.31, 147.03, 137.27, 132.95, 122.48, 57.79, 46.09, 28.64, 27.77, 27.40, 26.52, 22.02, 20.18. HRMS (ESI-Q-TOF): m/z [M + H]+ calcd for C18H29N3O2: 320.2332; found: 320.2335.
3.2.7. Coupling of 1-(Chloromethyl)isoquinolines 15a–d with Amine 18
General procedure
To a solution of 1-(chloromethyl)isoquinoline 15a–d (1.5 eq.) and tert-butyl (4-((5,6,7,8-tetrahydroquinolin-8-yl)amino)butyl)carbamate 18 (1 eq.) in dry acetonitrile (5 mL) was added K2CO3 (8 eq.). The reaction mixture was refluxed for 24–48 h. The mixture was cooled to room temperature and filtered through a Celite® pad. The filtrate was evaporated in vacuo and the crude residue was purified via silica gel flash chromatography using a mixture of Et2O/MeOH as the mobile phase (in a gradient gradually ranging from 100:0 to 90:10) yielding the title compounds. The following compounds were made according to this procedure.
- tert-Butyl(4-(((6,7-dimethoxyisoquinolin-1-yl)methyl)(5,6,7,8-tetrahydroquinolin-8 yl)amino)butyl) carbamate
This compound was prepared from 1-(chloromethyl)-6,7-dimethoxyisoquinoline 15a (86 mg, 0.36 mmol) and tert-butyl (4-((5,6,7,8-tetrahydroquinolin-8-yl)amino)butyl)carbamate 18 (100 mg, 0.32 mmol). The title compound was isolated as a brown viscous oil (114 mg, 69%). 1H NMR (300 MHz, CDCl3) δ: 8.52 (s, 1H), 8.43 (d, J = 4.2 Hz, 1H), 8.26 (d, J = 5.6 Hz, 1H), 7.37 (d, J = 5.6 Hz, 1H), 7.30 (d, J = 7.5 Hz, 1H), 7.03–6.97 (m, 2H), 4.62 (s, 1H), 4.35 (dd, J = 56.5, 12.4 Hz, 2H), 4.14 (s, 3H), 4.00 (s, 3H), 2.97–2.46 (m, 6H), 2.12–1.90 (m, J = 22.3, 11.4 Hz, 3H), 1.70–1.54 (m, 1H), 1.39 (s, 9H), 1.34–1.16 (m, J = 28.5, 11.3 Hz, 4H).13C NMR (75 MHz, CDCl3) δ: 156.09, 152.72, 149.61, 147.10, 140.57, 136.49, 134.38, 133.31, 124.39, 121.55, 119.29, 106.62, 104.75, 77.36, 60.90, 58.81, 56.51, 55.99, 50.53, 29.55, 28.54, 27.74, 25.31, 24.94, 21.80. HRMS (ESI-Q-TOF): m/z [M + H]+ calcd for C30H40N4O4: 521.3122; found: 521.3124.
- tert-Butyl(4-(((6-methoxyisoquinolin-1-yl)methyl)(5,6,7,8-tetrahydroquinolin-8-yl) amino)butyl) carbamate
This compound was prepared from 1-(chloromethyl)-6-methoxyisoquinoline 15b (104 mg, 0.33 mmol) and tert-butyl (4-((5,6,7,8-tetrahydroquinolin-8-yl)amino)butyl)carbamate 18 (101.4 mg, 0.49 mmol). The title compound was isolated as a brown viscous oil (136 mg, 85%). 1H NMR (400 MHz, CDCl3) δ: 8.66 (d, J = 9.2 Hz, 1H), 8.54 (d, J = 3.9 Hz, 1H), 8.32 (d, J = 5.8 Hz, 1H), 7.43 (d, J = 5.8 Hz, 1H), 7.36 (d, J = 7.4 Hz, 1H), 7.18 (dd, J = 9.3, 2.5 Hz, 1H), 7.08 (dd, J = 7.6, 4.6 Hz, 1H), 7.01 (d, J = 2.6 Hz, 1H), 4.89 (s, 1H), 4.38 (s, 1H), 4.24 (s, 2H), 3.94 (s, 3H), 2.94–2.56 (m, 6H), 2.42–2.12 (m, 4H), 2.15–1.99 (m, 4H), 1.39 (s, 9H). 13C NMR (101 MHz, CDCl3) δ: 161.5, 156.8, 147.8, 142.5, 139.1, 137.3, 135.2, 129.9, 122.5, 120.6, 120, 105, 56.1, 51.5, 40.5, 30.4, 30, 29.2, 28.2, 25.4, 22.2. HRMS (ESI-Q-TOF): m/z [M + H]+ calcd for C29H38N4O3: 491.3016; found: 491.3017.
- tert-Butyl(4-(((6-fluoroisoquinolin-1-yl)methyl)(5,6,7,8-tetrahydroquinolin-8-yl) amino)butyl) carbamate
This compound was prepared from 1-(chloromethyl)-6-fluoroisoquinoline 15c (117 mg, 0.6 mmol) and tert-butyl (4-((5,6,7,8-tetrahydroquinolin-8-yl)amino)butyl)carbamate 18 (127.8 mg, 0.4 mmol). The title compound was isolated as a brown viscous oil (164 mg, 86%). 1H NMR (400 MHz, CDCl3) δ: 8.95 (dd, J = 8.9, 5.8 Hz, 1H), 8.51 (d, J = 3.9 Hz, 1H), 8.36 (d, J = 5.7 Hz, 1H), 7.47 (d, J = 5.7 Hz, 1H), 7.38–7.29 (m, 3H), 7.05 (dd, J = 7.6, 4.7 Hz, 1H), 4.80 (s, 1H), 4.36 (d, J = 12.5 Hz, 1H), 4.20 (d, J = 3.6 Hz, 2H), 2.95–2.52 (m, 6H), 2.14–1.97 (m, 2H), 1.88–1.63 (m, 4H), 1.39 (s, 9H), 1.30–1.22 (m, 2H). 13C NMR (101 MHz, CDCl3) δ: 155.7, 146.8, 141.9, 137.7, 137.6, 136.3, 134.2, 130.8, 124.9, 121.4, 119.8, 109.6, 109.3, 78.5, 60.8, 57.2, 53.2, 50.6, 39.7, 33.3, 29.4, 29, 28.1, 27.2, 24.5, 24, 21.2. HRMS (ESI-Q-TOF): m/z [M + H]+ calcd for C28H35FN4O2: 479.2817; found: 479.2808.
- tert-Butyl(4-(((6-bromoisoquinolin-1-yl)methyl)(5,6,7,8-tetrahydroquinolin-8-yl) amino)butyl) carbamate
This compound was prepared from 1-(chloromethyl)-6-bromoisoquinoline 15d (142 mg, 0.55 mmol) and tert-butyl (4-((5,6,7,8-tetrahydroquinolin-8-yl)amino)butyl)carbamate 18 (117.9 mg, 0.37 mmol). The title compound was isolated as a brown viscous oil (143 mg, 72%).1H NMR (400 MHz, CDCl3) δ: 8.78 (d, J = 8.9 Hz, 1H), 8.53 (d, J = 3.8 Hz, 1H), 8.40 (d, J = 5.7 Hz, 1H), 7.92 (d, J = 1.9 Hz, 1H), 7.64 (dd, J = 9, 1.97 Hz, 1H), 7.43 (d, J = 5.7 Hz, 1H), 7.35 (d, J = 7.6 Hz, 1H), 7.06 (dd, J = 7.6, 4.69 Hz, 1H), 4.80 (s, 1H), 4.36 (d, J = 12, 1H), 4.20 (d, J = 10 Hz, 2H), 2.95–2.54 (m, 6H), 2.11–2.03 (m, 2H), 1.75–1.58 (m, 4H), 1.41 (s, 9H), 1.21 (t, J = 7 Hz, 2H). 13C NMR (101 MHz, CDCl3) δ: 155.9, 146.8, 141.9, 137.6, 137.3, 136.6, 130.2, 128.9, 128.7, 124.8, 123.2, 121.8, 119.3, 61.2, 57.1, 50.8, 39.6, 30.7, 29.3, 28.9, 28.2, 27.2, 27.5, 26.9, 24.3, 24, 21.2, 19.9. HRMS (ESI-Q-TOF): m/z [M + H]+ calcd for C28H35BrN4O2: 539.2016; found: 539.2021.
- tert-Butyl(4-((isoquinolin-1-ylmethyl)(5,6,7,8-tetrahydroquinolin-8-yl)amino)butyl) carbamate
This compound was prepared from the commercially available 1-(bromomethyl)isoquinoline (200 mg, 0.9 mmol) and tert-butyl (4-((5,6,7,8-tetrahydroquinolin-8-yl)amino)butyl)carbamate 18 (191.78 mg, 0.6 mmol). The title compound was isolated as a brown viscous oil (169 mg, 61%). 1H NMR (400 MHz, CDCl3) δ: 8.52 (d, J = 3.8 Hz, 1H), 8.09 (d, J = 8.5 Hz, 1H), 8.00 (d, J = 8.4 Hz, 1H), 7.94 (d, J = 8.5 Hz, 1H), 7.77 (d, J = 7.7 Hz, 1H), 7.68–7.61 (m, 1H), 7.52–7.43 (m, 1H), 7.33 (d, J = 7.5 Hz, 1H), 7.04 (dd, J = 7.6, 4.7 Hz, 1H), 4.86 (s, 1H), 4.21 (dd, J = 8.3, 6.6 Hz, 1H), 4.01–3.87 (m, 2H), 2.99 (s, 2H), 2.86–2.64 (m, 4H), 2.11–1.87 (m, 2H), 1.54–1.44 (m, 2H), 1.42 (s, 9H), 1.29–1.20 (m, 2H). 13C NMR (101 MHz, CDCl3) δ: 156.5, 147.7, 137.1, 136.6, 134.8, 129.6, 129.2, 128, 127.9, 126.3, 122.1, 121.9, 61.5, 58.9, 53.9, 52.8, 40.7, 30.2, 29.7, 28.9, 28.1, 26, 21.9. HRMS (ESI-Q-TOF): m/z [M + H]+ calcd for C28H36N4O2: 461.2911; found: 461.2935.
3.2.8. Synthesis of 3-Methylpicolinaldehyde (22)
To a flame-dried flask under an inert argon atmosphere was added 2-bromo-3-methyl-pyridine 21 (1 eq., 11.40 mmol, 2 g) and Et2O (1–2 mL) at −78°C, followed by the addition of a 1.6 M butyllithium solution in hexane (0.43 mL). After stirring for 3 h at −78 °C, DMF (2 mL) was added to this deep red-brown solution. The reaction temperature was gradually increased to room temperature and was stirred for an additional 22 h. The reaction mixture was quenched through the dropwise addition of ice-water and extracted with Et2O. The organic layer was washed with a 5% aqueous NaHCO3 solution and brine. The combined organic layers were dried over MgSO4 and concentrated under vacuum. The crude residue was purified by silica gel flash chromatography using Et2O/petroleum ether (80:20) as the eluent, yielding the title compound as an orange-red oil (848 mg, 62%).
3.2.9. tert-Butyl(4-(((3-methylpyridin-2-yl)methyl)amino)butyl) carbamate (23)
3-Methylpicolinaldehyde 22 (1 eq., 8.25 mmol, 1 g) was added to a slurry of NaBH(OAc)3 (1.9 eq., 15.68 mmol, 3.324 g) in dichloroethane (15 mL), followed by the addition of tert-butyl (4-aminobutyl) carbamate 17 (1.4 eq., 11.56 mmol, 2.176 g). The reaction was stirred at room temperature for 48 h. The reaction mixture was quenched with a 1 N NaOH solution to obtain a pH ~ 8 in the aqueous layer. After extracting the mixture with dichloromethane (3×), the combined organic phases were concentrated to a volume of approximately 3 mL. The crude residue was purified by silica gel column chromatography using Et2O/MeOH (96:4) as the eluent, affording the title compound as a yellowish viscous oil (1.8 g, 74%). 1H NMR (400 MHz, CDCl3) δ: 8.37 (d, J = 3.84 Hz, 1H), 7.41 (dd, J = 7.6, 0.64 Hz, 1H), 7.06 (dd, J = 7.5, 4.8 Hz, 1H), 4.79 (s, 1H), 3.86 (s, 2H), 3.17–3.06 (m, 2H), 2.94 (s, 1H), 2.72 (t, J = 6.7 Hz, 2H), 2.29 (s, 3H), 1.64–1.49 (m, 4H), 1.42 (s, 9H). 13C NMR (101 MHz, CDCl3) δ: 157.1, 156.1, 146.5, 137.7, 130.9, 121.9, 79, 52, 49.5, 40.5, 28.5, 27.4, 18.1. HRMS (ESI-Q-TOF): m/z [M + H]+ calcd for C16H27N3O2: 294.2176; found: 294.2169.
3.2.10. Coupling of 1-(Chloromethyl)isoquinolines 15a–d with amine 23
A similar procedure as mentioned earlier for the coupling with amine 18 was used. The following compounds were made according to this procedure.
- tert-Butyl(4-(((6,7-dimethoxyisoquinolin-1-yl)methyl)((3-methylpyridin-2-yl)methyl)amino)butyl) carbamate
This compound was prepared from 1-(chloromethyl)-6,7-dimethoxyisoquinoline 15a (50 mg, 0.21 mmol) and tert-butyl (4-(((3-methylpyridin-2-yl)methyl)amino)butyl)carbamate 23 (48 mg, 0.15 mmol). The title compound was isolated as a brownish viscous oil (76 mg, 73%). 1H NMR (400 MHz, CDCl3) δ: 8.38 (d, J = 4.1 Hz, 1H), 8.30 (d, J = 5.6 Hz, 1H), 7.51 (s, 1H), 7.42 (d, J = 5.6 Hz, 1H), 7.36 (d, J = 7.4 Hz, 1H), 7.08 (dd, J = 7.6, 4.8 Hz, 1H), 7.02 (s, 1H), 4.75 (s, 1H), 4.23 (s, 2H), 4.00 (s, 3H), 3.82 (s, 5H), 2.96–2.83 (m, 2H), 2.59 (s, 2H), 2.10 (s, 3H), 1.64–1.51 (m, 2H), 1.40 (s, 9H), 1.30 (t, J = 6.9 Hz, 2H). 13C NMR (101 MHz, CDCl3) δ: 162.5, 156.8, 155.9, 151.9, 151.3, 147.2, 141.2, 136.8, 133.1, 131.9, 123.9, 121.3, 117.7, 105.4, 79.5, 67.6, 59.1, 56.1, 54, 35.8, 28.4, 27.7, 25.8, 20.4. HRMS (ESI-Q-TOF): m/z [M + H]+ calcd for C28H38N4O4: 495.2966; found: 495.2960.
- tert-Butyl(4-(((6-methoxyisoquinolin-1-yl)methyl)((3-methylpyridin-2-yl)methyl) amino)butyl) carbamate
This compound was prepared from 1-(chloromethyl)-6-methoxyisoquinoline 15b (100 mg, 0.48 mmol) and tert-butyl (4-(((3-methylpyridin-2-yl)methyl)amino)butyl)carbamate 23 (94.2 mg, 0.32 mmol). The title compound was isolated as a brownish viscous oil (118 mg, 57%). 1H NMR (400 MHz, CDCl3) δ: 8.38 (d, J = 3.8 Hz, 1H), 8.33 (d, J = 5.8 Hz, 1H), 7.88 (d, J = 9 Hz, 1H), 7.43 (d, J = 5.8 Hz, 1H), 7.40 (d, J = 7.1 Hz, 1H), 7.10 (dd, J = 7.5, 4.8 Hz, 1H), 7.06–6.98 (m, 2H), 4.71 (s, 1H), 4.14 (s, 2H), 3.91 (s, 3H), 3.83 (s, 2H), 2.94–2.82 (m, 2H), 2.57 (t, J = 7.2 Hz, 2H), 2.10 (s, 3H), 1.58–1.46 (m, 2H), 1.44 (s, 9H), 1.32–1.17 (m, 2H). 13C NMR (101 MHz, CDCl3) δ: 160.2, 155.8, 146, 141.8, 138.2, 137.8, 133.2, 128.1, 123.2, 122.3, 119.7, 119.1, 104.1, 78.7, 59.1, 55.2, 53.7, 39.7, 28.2, 27.4, 22.7, 18. HRMS (ESI-Q-TOF): m/z [M + H]+ calcd for C27H36N4O3: 465.2860; found: 465.2863.
- tert-Butyl(4-(((6-fluoroisoquinolin-1-yl)methyl)((3-methylpyridin-2-yl)methyl) amino)butyl) carbamate
This compound was prepared from 1-(chloromethyl)-6-fluoroisoquinoline 15c (120 mg, 0.61 mmol) and tert-butyl (4-(((3-methylpyridin-2-yl)methyl)amino)butyl)carbamate 23 (120 mg, 0.41 mmol). The title compound was isolated as a brown viscous oil (150 mg, 81%). 1H NMR (400 MHz, CDCl3) δ: 8.41 (d, J = 5.7 Hz, 2H), 8.06 (dd, J = 9.2, 5.7 Hz, 1H), 7.49 (d, J = 5.8 Hz, 1H), 7.42 (d, J = 6.9 Hz, 1H), 7.35 (dd, J = 9.3, 2.5 Hz, 1H), 7.17 (dd, J = 8.8, 2.4 Hz, 1H), 7.12 (dd, J = 7.6, 4.9 Hz, 1H), 4.66 (s, 1H), 4.16 (s, 2H), 3.83 (s, 2H), 2.97–2.86 (m, 2H), 2.56 (t, J = 7.3 Hz, 2H), 2.13 (s, 3H), 1.59–1.48 (m, 2H), 1.42 (s, 9H), 1.31–1.19 (m, 2H). 13C NMR (101 MHz, CDCl3) δ: 164.1, 161.6, 159, 156.9, 156.1, 146.4, 142.4, 138, 133.3, 129.9, 125, 122.6, 120.2, 116.9, 110, 79, 59.6, 59.4, 54.1, 40, 28.5, 27.8, 23, 18.3. HRMS (ESI-Q-TOF): m/z [M + H]+ calcd for C26H33FN4O2: 453.2660; found: 453.2651.
- tert-Butyl(4-(((6-bromoisoquinolin-1-yl)methyl)((3-methylpyridin-2-yl)methyl) amino)butyl) carbamate
This compound was prepared from 1-(chloromethyl)-6-bromoisoquinoline 15d (100 mg, 0.39 mmol) and tert-butyl (4-(((3-methylpyridin-2-yl)methyl)amino)butyl)carbamate 23 (76.25 mg, 0.26 mmol). The title compound was isolated as a brown viscous oil (104 mg, 78%). 1H NMR (400 MHz, CDCl3) δ: 8.43 (d, J = 5.8 Hz, 1H), 8.40 (d, J = 3.9 Hz, 1H), 7.93 (d, J = 1.9 Hz, 1H), 7.85 (d, J = 9 Hz, 1H), 7.50–7.41 (m, 3H), 7.12 (dd, J = 7.6, 4.8 Hz, 1H), 4.65 (s, 1H), 4.15 (s, 2H), 3.83 (s, 2H), 2.96–2.87 (m, 2H), 2.56 (t, J = 7.3 Hz, 2H), 2.16 (s, 3H), 1.75–1.60 (m, 2H), 1.58–1.47 (m, 2H), 1.42 (s, 9H). 13C NMR (101 MHz, CDCl3) δ: 157.1, 156.4, 146.7, 142.8, 138.4, 137.9, 133.7, 130.4, 129.3, 128.7, 126.5, 125, 123, 119.9, 79.3, 59.7, 54.5, 40.3, 28.8, 28.1, 23.3, 18.7. HRMS (ESI-Q-TOF): m/z [M + H]+ calcd for C26H33BrN4O2: 513.1860; found: 513.1854.
- tert-Butyl(4-((isoquinolin-1-ylmethyl)((3-methylpyridin-2-yl)methyl)amino)butyl) carbamate
This compound was prepared from 1-(bromomethyl)isoquinoline (100 mg, 0.45 mmol) and tert-butyl (4-(((3-methylpyridin-2-yl)methyl)amino)butyl)carbamate 15 (88 mg, 0.3 mmol). The title compound was isolated as a brown viscous oil (110 mg, 84%). 1H NMR (400 MHz, CDCl3) δ: 8.37 (dd, J = 4.7, 1.1 Hz, 1H), 8.05 (d, J = 8.4 Hz, 2H), 7.77 (dd, J = 8.2, 1.3 Hz, 1H), 7.71–7.65 (m, 1H), 7.54–7.47 (m, 2H), 7.39 (dd, J = 7.7, 0.7 Hz, 1H), 7.06 (dd, J = 7.6, 4.8 Hz, 1H), 4.74 (s, 1H), 3.91 (s, 2H), 3.86 (s, 2H), 3.06–2.93 (m, 2H), 2.57 (t, J = 7.2 Hz, 2H), 2.33 (s, 3H), 1.70–1.61 (m, 2H), 1.59–1.50 (m, 2H), 1.42 (s, 9H). 13C NMR (101 MHz, CDCl3) δ: 161.2, 157.5, 156.4, 147.9, 146.6, 138.4, 136.4, 133.6, 129.7, 129.5, 127.9, 127.7, 126.5, 122.8, 121.9, 61.8, 60.1, 54.7, 40.6, 28.9, 28.2, 24.1, 19. HRMS (ESI-Q-TOF): m/z [M + H]+ calcd for C26H34N4O2: 435.2754; found: 435.2757.
3.2.11. General Procedure for Deprotection of the Basic n-Butylamine Side Chain from Boc-Protected Intermediates
General procedure
To a solution of the Boc-protected intermediate (0.1 mmol) in dry dichloromethane (1 mL) was added trifluoroacetic acid (0.3 mL). The reaction mixture was stirred for 1 h at room temperature. The solvents were evaporated in vacuo. The residue was neutralized by adding a saturated aqueous NaHCO3 solution and the aqueous layer was extracted five times with dichloromethane. The combined organic layers were dried over MgSO4 and evaporated. The crude residue was purified via silica gel flash column chromatography using a mixture of DCM/MeOH (in a ratio gradually ranging from 95:5 to 90:10) as the mobile phase. The following compounds were made according to this procedure.
- N1-((6,7-Dimethoxyisoquinolin-1-yl)methyl)-N1-(5,6,7,8-tetrahydroquinolin-8-yl)butane-1,4-diamine (19a)
This compound was prepared from its Boc-protected precursor (50 mg, 0.09 mmol). The title compound was isolated as a bright brown viscous oil (47 mg, 95%). 1H NMR (400 MHz, DMSO) δ (ppm): 8.43 (d, J = 4.5 Hz, 1H), 8.21 (d, J = 5.6 Hz, 1H), 8.17 (s, 1H), 7.55 (d, J = 5.4 Hz, 1H), 7.48 (d, J = 7.9 Hz, 1H), 7.30 (s, 1H), 7.20–7.10 (m, 1H), 5.32 (s, 1H), 4.29 (dd, J = 21.5, 12.0 Hz, 2H), 3.99 (s, 3H), 3.92 (s, 3H), 2.15–1.50 (m, 6H), 1.39 (s, 2H), 1.30–1.09 (m, 4H), 1.07–0.93 (m, J = 8.3, 6.1 Hz, 4H). 13C NMR (101 MHz, DMSO) δ: 158.51, 158.20, 157.89, 157.59, 152.18, 139.94, 132.61, 123.25, 121.82, 121.65, 119.06, 118.84, 116.52, 115.85, 112.78, 55.51, 52.06, 49.46, 48.60, 45.67, 43.69, 7.17. HRMS (ESI-Q-TOF): m/z [M + H]+ calcd for C25H32N4O2: 421.2598; found: 421.2594.
- N1-((6-Methoxyisoquinolin-1-yl)methyl)-N1-(5,6,7,8-tetrahydroquinolin-8-yl)butane-1,4-diamine (19b)
This compound was prepared from its Boc-protected precursor (30 mg, 0.06 mmol). The title compound was isolated as a bright brown viscous oil (22 mg, 92%). 1H NMR (400 MHz, CDCl3) δ: 9.99 (s, 2H), 8.54 (d, J = 3.7 Hz, 1H), 8.51 (d, J = 5.8 Hz, 1H), 8.03 (d, J = 9.3 Hz, 1H), 7.51 (d, J = 5.8 Hz, 1H), 7.41 (d, J = 7.2 Hz, 1H), 7.22 (dd, J = 9.3, 2.5 Hz, 1H), 7.12 (dd, J = 7.7, 4.8 Hz, 1H), 7.08 (d, J = 2.5 Hz, 1H), 4.47 (d, J = 15 Hz, 1H), 4.05 (d, J = 15 Hz, 2H), 3.07 (s, 3H), 3.01–2.46 (m, 6H), 2.12–1.91 (m, 4H), 1.81–1.54 (m, 4H). 13C NMR (101 MHz, CDCl3) δ: 161.1, 156.6, 156, 146.9, 141.6, 139, 138, 135, 125.9, 123, 122.7, 120.9, 120.4, 105.3, 60.2, 55.7, 51.6, 51.3, 39.7, 31.1, 29.3, 27.7, 26.9, 21.7, 21.12. HRMS (ESI-Q-TOF): m/z [M + H]+ calcd for C24H30N4O: 391.2492; found: 391.2487.
- N1-((6-Fluoroisoquinolin-1-yl)methyl)-N1-(5,6,7,8-tetrahydroquinolin-8-yl)butane-1,4-diamine (19c)
This compound was prepared from its Boc-protected precursor (27 mg, 0.06 mmol). The title compound was isolated as a bright brown viscous oil (21 mg, 99%). 1H NMR (400 MHz, CDCl3) δ: 9.84 (s, 2H), 8.60 (d, J = 5.8 Hz, 1H), 8.52 (d, J = 3.5 Hz, 1H), 8.19 (dd, J = 9.3, 5.3 Hz, 1H), 7.57 (d, J = 5.8 Hz, 1H), 7.47–7.32 (m, 3H), 7.11 (dd, J = 7.6, 4.8 Hz, 1H), 4.46 (d, J = 15.1 Hz, 1H), 4.11 (d, J = 14.9 Hz, 2H), 2.98–2.52 (m, 6H), 2.12–1.94 (m, 4H), 1.82–1.58 (m, 4H). 13C NMR (101 MHz, CDCl3) δ: 164.5, 162, 157.3, 155.8, 147, 142.2, 138.2, 135, 127.4, 124.5, 122.8, 120.7, 118.3, 111.2, 60.3, 52.2, 51.5, 39.6, 29.8, 29.4, 27.7, 26.6, 21.7, 21.2. HRMS (ESI-Q-TOF): m/z [M + H]+ calcd for C23H27FN4: 379.2292; found: 379.2286.
- N1-((6-Bromoisoquinolin-1-yl)methyl)-N1-(5,6,7,8-tetrahydroquinolin-8-yl)butane-1,4-diamine (19d)
This compound was prepared from its Boc-protected precursor (22 mg, 0.04 mmol). The title compound was isolated as a bright brown viscous oil (18 mg, 99%). 1H NMR (600 MHz, CDCl3) δ: 8.63 (d, J = 5.8 Hz, 1H), 8.54 (d, J = 3.7 Hz, 1H), 8.18 (d, J = 8.9 Hz, 1H), 8.01 (d, J = 1.8 Hz, 1H), 7.68 (dd, J = 9, 1.9 Hz, 1H), 7.52 (d, J = 5.8 Hz, 1H), 7.41 (d, J = 7.2 Hz, 1H), 7.12 (dd, J = 7.7, 4.7 Hz, 1H), 4.44 (d, J = 14.8 Hz, 1H), 4.12 (d, J = 14.9 Hz, 2H), 2.91–2.51 (m, 6H), 2.12–1.84 (m, 4H), 1.74–1.54 (m, 4H). 13C NMR (151 MHz, CDCl3) δ: 162.4, 158, 147.3, 14306, 136.8, 134.5, 132, 129.7, 128.4, 127.9, 125.5, 123.3, 121.3, 118.1, 67.7, 59.2, 54, 41.8, 28.5, 26.3, 25.8, 20.5. HRMS (ESI-Q-TOF): m/z [M + H]+ calcd for C23H27BrN4: 439.1492; found: 439.1495.
- N1-(Isoquinolin-1-ylmethyl)-N1-(5,6,7,8-tetrahydroquinolin-8-yl)butane-1,4-diamine (19e)
This compound was prepared from its Boc-protected precursor (21 mg, 0.05 mmol). The title compound was isolated as a bright brown viscous oil (16 mg, 99%). 1H NMR (400 MHz, CDCl3) δ: 10.04 (s, 2H), 8.61 (d, J = 3.7 Hz, 1H), 8.20 (d, J = 8.7 Hz, 1H), 8.15 (d, J = 8.4 Hz, 1H), 7.79 (d, J = 7.7 Hz, 2H), 7.58–7.51 (m, 1H), 7.40 (d, J = 7.2 Hz, 1H), 7.33 (d, J = 8.4 Hz, 1H), 7.13 (dd, J = 7.6, 4.8 Hz, 1H), 4.06 (d, J = 14.2 Hz, 2H), 3.92 (d, J = 14.2 Hz, 1H), 3.03–2.67 (m, 6H), 2.13–1.89 (m, 4H), 1.76–1.53 (m, 4H). 13C NMR (101 MHz, CDCl3) δ: 162.4, 158.3, 147.3, 142.8, 136.8, 136.5, 132, 129.7, 127.5, 127.3, 126.8, 124.3, 121.3, 119.2, 67.7, 59.2, 54, 41.8, 28.5, 26.3, 25.8, 20.5. HRMS (ESI-Q-TOF): m/z [M + H]+ calcd for C23H28N4: 361.2387; found: 361.2376.
- N1-((6,7-dimethoxyisoquinolin-1-yl)methyl)-N1-((3-methylpyridin-2-yl)methyl)butane-1,4-diamine (24a)
This compound was prepared from its Boc-protected precursor (17 mg, 0.03 mmol). The title compound was isolated as a bright brown viscous oil (13 mg, 99%). 1H NMR (400 MHz, CDCl3) δ: 8.52 (d, J = 4Hz, 1H), 8.43 (d, J = 5.6 Hz, 1H), 7.47 (d, J = 5.6 Hz, 1H), 7.44 (d, J = 6.9 Hz, 1H), 7.27 (s, 1H), 7.12 (dd, J = 7.7, 4.9 Hz, 1H), 7.07 (s, 1H), 4.20 (s, 2H), 4.02 (s, 3H), 4.00 (s, 3H), 3.83 (s, 2H), 3.15 (t, J = 5.4 Hz, 2H), 2.69 (t, J = 5.3 Hz, 2H), 2.26 (s, 3H), 1.89–1.84 (m, 2H), 1.82–1.77 (m, 2H). 13C NMR (101 MHz, CDCl3) δ: 155.3, 153.9, 153, 150.4, 146.7, 140, 138.6, 1336, 131.8, 122.8, 122.6, 119.6, 105.4, 102.3, 57.1, 56.6, 561, 55.2, 39.5, 30.9, 29.6, 27.3, 26.2, 18.5. HRMS (ESI-Q-TOF): m/z [M + H]+ calcd for C23H30N4O2: 395.2441; found: 395.2434.
- N1-((6-Methoxyisoquinolin-1-yl)methyl)-N1-((3-methylpyridin-2-yl)methyl)butane-1,4-diamine (24b)
This compound was prepared from its Boc-protected precursor (22 mg, 0.05 mmol). The title compound was isolated as a bright brown viscous oil (17 mg, 99%). 1H NMR (400 MHz, CDCl3) δ: 8.46 (dd, J = 4.8, 1.1 Hz, 1H), 8.41 (d, J = 5.8 Hz, 1H), 7.96 (d, J = 9.3 Hz, 1H), 7.45 (d, J = 5.8 Hz, 1H), 7.41 (dd, J = 7.7, 0.7 Hz, 1H), 7.15 (dd, J = 9.3, 2.6 Hz, 1H), 7.09 (dd, J = 7.6, 4.8 Hz, 1H), 7.03 (d, J = 2.5 Hz, 1H), 4.13 (s, 2H), 3.92 (s, 3H), 3.78 (s, 2H), 2.99–2.89 (m, 2H), 2.59 (t, J = 5.7 Hz, 2H), 2.20 (s, 3H), 1.76–1.63 (m, 2H). 13C NMR (101 MHz, CDCl3) δ: 160.8, 156.9, 155.9, 146.7, 142, 138.7, 132.3, 126.6, 123, 122.7, 120.4, 120.2, 105, 57.7, 57.3, 55.6, 55.2, 39.8, 31.1, 28, 25.6, 18.6. HRMS (ESI-Q-TOF): m/z [M + H]+ calcd for C22H28N4O: 365.2336; found: 365.2330.
- N1-((6-Fluoroisoquinolin-1-yl)methyl)-N1-((3-methylpyridin-2-yl)methyl)butane-1,4-diamine (24c)
This compound was prepared from its Boc-protected precursor (28 mg, 0.062 mmol). The title compound was isolated as a bright brown viscous oil (21.5 mg, 99%). 1H NMR (400 MHz, CDCl3) δ: 8.51 (d, J = 5.8 Hz, 1H), 8.45 (d, J = 3.8 Hz, 1H), 8.12 (dd, J = 9.3, 5.4 Hz, 1H), 7.52 (d, J = 5.8 Hz, 1H), 7.44–7.36 (m, 2H), 7.32 (td, J = 8.9, 2.5 Hz, 1H), 7.08 (dd, J = 7.6, 4.8 Hz, 1H), 4.22 (s, 2H), 3.82 (s, 2H), 3.01 (t, J = 5.3 Hz, 2H), 2.69 (t, J = 5.2 Hz, 2H), 2.22 (s, 3H), 1.86–1.69 (m, 4H). 13C NMR (101 MHz, CDCl3) δ: 163.9, 161.4, 158, 156, 146.3, 142.2, 137.9, 132.5, 128.7, 124.5, 122.4, 120.1, 117.1, 110.2, 58.3, 54.7, 40.5, 30.7, 29.5, 24.2, 18.2. HRMS (ESI-Q-TOF): m/z [M + H]+ calcd for C21H25FN4: 353.2136; found: 353.2131.
- N1-((6-Bromoisoquinolin-1-yl)methyl)-N1-((3-methylpyridin-2-yl)methyl)butane-1,4-diamine (24d)
This compound was prepared from its Boc-protected precursor (22 mg, 0.043 mmol). The title compound was isolated as a bright brown viscous oil (17.6 mg, 99%). 1H NMR (400 MHz, CDCl3) δ: 8.57 (d, J = 5.7 Hz, 1H), 8.46 (d, J = 3.9 Hz, 1H), 7.97 (d, J = 1.8 Hz, 1H), 7.94 (d, J = 9.1 Hz, 1H), 7.63 (dd, J = 9, 1.9 Hz, 1H), 7.47 (d, J = 5.8 Hz, 1H), 7.41 (d, J = 7.7 Hz, 1H), 7.09 (dd, J = 7.6, 4.8 Hz, 1H), 4.19 (s, 2H), 3.82 (s, 2H), 3.04 (t, J = 4.7 Hz, 2H), 2.68 (t, J = 5.5 Hz, 2H), 2.22 (s, 3H), 1.87–1.70 (m, 4H). 13C NMR (101 MHz, CDCl3) δ: 157.3, 155.2, 146.5, 142.3, 138.4, 137.3, 131.9, 130.8, 129.5, 126.1, 125.4, 125, 122.4, 119.5, 56.9, 55, 39.3, 30.8, 29.5, 27.1, 25.3, 18.4. HRMS (ESI-Q-TOF): m/z [M + H]+ calcd for C21H25BrN4: 413.1336; found: 413.1339.
- N1-(Isoquinolin-1-ylmethyl)-N1-((3-methylpyridin-2-yl)methyl)butane-1,4-diamine (24e)
This compound was prepared from its Boc-protected precursor (22 mg, 0.05 mmol). The title compound was isolated as a bright brown viscous oil (17 mg, 99%). 1H NMR (400 MHz, CDCl3) δ: 8.43 (dd, J = 4.8, 1.1 Hz, 1H), 8.08 (dd, J = 8.3, 4.7 Hz, 2H), 7.77 (dd, J = 8.1, 1.1 Hz, 1H), 7.74–7.68 (m, 1H), 7.54–7.49 (m, 1H), 7.47 (d, J = 8.5 Hz, 1H), 7.41 (dd, J = 7.6, 0.9 Hz, 1H), 7.08 (dd, J = 7.6, 4.8 Hz, 1H), 3.92 (s, 2H), 3.85 (s, 2H), 2.75 (t, J = 6.5 Hz, 2H), 2.58 (t, J = 6.8 Hz, 2H), 2.35 (s, 3H), 1.65–1.56 (m, 2H), 1.53–1.43 (m, 2H). 13C NMR (101 MHz, CDCl3) δ: 158.1, 155.1, 147.2, 146.4, 138.4, 137.1, 131.7, 130.2, 128.2, 127.4, 127.1, 126.5, 122.4, 122.3, 61, 56.9, 55, 39.2, 30.7, 29.5, 26.9, 25.6, 18.3. HRMS (ESI-Q-TOF): m/z [M + H]+ calcd for C21H26N4: 335.2230; found: 335.2228.
3.2.12. tert-Butyl (4-((pyridin-2-ylmethyl)(5,6,7,8-tetrahydroquinolin-8-yl)amino)butyl)carbamate
Picolinaldehyde (1 eq., 0.6887 mmol, 0.0655 mL) was added to a slurry of NaBH(OAc)3 (1.78 eq., 1.2259 mmol, 259.8 mg) in dichloromethane (3 mL), followed by the addition of tert-butyl (4-((5,6,7,8-tetrahydroquinolin-8-yl)amino)butyl)carbamate 18 (1 eq., 0.6887 mmol, 220 mg). The reaction mixture was stirred at room temperature for 48 h. Then, the reaction was quenched with a 1N NaOH solution to obtain pH ~ 8 of the aqueous layer. The aqueous layer was extracted three times with dichloromethane. The combined organic phases were concentrated and the crude residue was purified via silica gel flash chromatography using a mixture of DCM/MeOH (in a ratio of 96:4) as mobile phase, affording the title compound as a brown viscous oil (177 mg, 63%). 1H NMR (400 MHz, CDCl3) δ: 8.49 (d, J = 3.7 Hz, 1H), 8.45 (d, J = 4.8 Hz, 1H), 7.73 (d, J = 7.9 Hz, 1H), 7.63, (td, J = 7.5, 1.7 Hz, 1H), 7.33 (d, J = 7.5 Hz, 1H), 7.10 (dd, J = 6.5, 5.6 Hz, 1H), 7.04 (dd, J = 7.6, 4.7 Hz, 1H), 4.8 (s, 1H), 4.13 (d, J = 7.4 Hz, 1H), 3.91 (d, J = 14.6 Hz, 2H), 3.09–2.94 (m, 2H), 2.86–2.63 (m, 4H), 2.22–2.09 (m, 2H), 2.06–1.95 (m, 2H), 1.94–1.81 (m, 2H), 1.76–1.61 (m, 2H), 1.41 (s, 9H).13C NMR (101 MHz, CDCl3) δ: 162.4, 157.9, 155.9, 148.7, 147.3, 139.7, 136.7, 132, 124.2, 121.2, 121, 79.5, 67.7, 60.9, 54, 35.9, 28.4, 27.7, 25.8, 20.5. HRMS (ESI-Q-TOF): m/z [M + H]+ calcd for C24H34N4O2: 411.2754; found: 411.2757.
3.2.13. tert-Butyl (4-(((3-methylpyridin-2-yl)methyl)(pyridin-2-ylmethyl)amino)butyl)carbamate
Picolinaldehyde (1 eq., 1.02 mmol, 0.1 mL) was added to a slurry of NaBH(OAc)3 (1,78 eq., 1.82 mmol, 385.7 mg) in DCM (3 mL), followed by the addition of tert-butyl (4-(((3-methylpyridin-2yl)methyl)amino)butyl)carbamate 23 (1 eq., 1.02 mmol, 200 mg). The reaction was stirred at room temperature for 48 h. After completion, the reaction mixture was quenched utilizing 1 N NaOH solution to obtain pH ~ 8 in the aqueous layer. After extracting the mixture with DCM for 3 times, the combined organic phases were concentrated. Thereafter, the residue was purified through column chromatography using a DCM/MeOH (96:4) gradient elution to afford the corresponding compound. Brown viscous oil; yield: 206 mg (52%).1H NMR (400 MHz, CDCl3) δ: 8.50 (d, J = 4.1 Hz, 1H), 8.36 (dd, J = 4.8, 1.2 Hz, 1H), 7.59 (td, J = 7.7, 1.8 Hz, 1H), 7.39 (d, J = 6.7 Hz, 1H), 7.34 (d, J = 10.3 Hz, 1H), 7.12 (dddd, J = 7.4, 5, 1.1 Hz, 1H), 7.07 (dd, J = 7.6, 4.8 Hz, 1H), 4.81 (s, 1H), 3.80 (s, 2H), 3.75 (s, 2H), 3.06–2.92 (m, 2H), 2.53 (t, J = 7.2 Hz, 2H), 2.30 (s, 3H), 1.57–1.47 (m, 2H), 1.43 (s, 9H), 1.41–1.31 (m, 2H). 13C NMR (101 MHz, CDCl3) δ: 160.1, 157.3, 156.4, 149.1, 146.4, 138.3, 136.5, 133.5, 123.7, 122.7, 122.1, 60.7, 59.9, 54.4, 40.4, 28.8, 28.1, 24, 18.7. HRMS (ESI-Q-TOF): m/z [M + H]+ calcd for C22H32N4O2: 385.2598; found: 385.2591.
3.2.14. N1-(Pyridin-2-ylmethyl)-N1-(5,6,7,8-tetrahydroquinolin-8-yl)butane-1,4-diamine (20)
This compound was synthesized starting from its Boc-protected precursor (23 mg, 0.06 mmol), according to the general deprotection procedure, yielding the title compound as a brownish viscous oil (17 mg, 99%). 1H NMR (600 MHz, CDCl3) δ: 9.91 (s, 2H), 8.73 (dd, J = 4.9, 0.86 Hz, 1H), 8.58 (d, J = 3.9 Hz, 1H), 7.68 (td, J = 7.7, 1.8 Hz, 1H), 7.41 (d, J = 7 Hz, 1H), 7.29–7.21 (m, 2H), 7.15 (dd, J = 7.7, 4.8 Hz, 1H), 3.92 (d, J = 13.7 Hz, 2H), 3.73 (d, J = 13.7 Hz, 1H), 2.99–2.64 (m, 4H), 2.39–2.20 (m, 2H), 2.11–1.92 (m, 2H), 1.75–1.56 (m, 6H). 13C NMR (151 MHz, CDCl3) δ: 162.5, 157.9, 148.7, 17.2, 139.8, 136.7, 131.9, 124.2, 121.3, 121, 67.7, 60.9, 53.9, 41.8, 28.4, 26.3, 25.8, 20.5. HRMS (ESI-Q-TOF): m/z [M + H]+ calcd for C19H26N4: 311.2230; found: 311.2226.
3.2.15. N1-((3-Methylpyridin-2-yl)methyl)-N1-(pyridin-2-ylmethyl)butane-1,4-diamine (25)
This compound was synthesized starting from its Boc-protected precursor (30 mg, 0.08 mmol), according to the general deprotection procedure, yielding the title compound as a brownish viscous oil (18 mg, 81%). 1H NMR (600 MHz, CDCl3) δ: 9.36 (s, 2H), 8.66 (d, J = 4.5 Hz, 1H), 8.52 (d, J = 4.5 Hz, 1H), 7.65 (td, J = 7.7, 1.6 Hz, 1H), 7.43 (d, J = 7.5 Hz, 1H), 7.21 (d, J = 7.4 Hz, 1H), 7.20 (d, J = 5.1 Hz, 1H), 7.12 (dd, J = 7.5, 4.9 Hz, 1H), 3.77 (s, 2H), 3.73 (s, 2H), 3.13 (t, J = 5.4 Hz, 2H), 2.58 (t, J = 5.2 Hz, 2H), 2.25 (s, 3H), 1.85–1.79 (m, 2H), 1.78–1.73 (m, 2H). 13C NMR (151 MHz, CDCl3) δ: 157.4, 1552, 149.8, 146.8, 138.9, 137.4, 132, 124, 123.1, 122.8, 60.4, 57, 55.1, 39.6, 29.8, 27.3, 262, 18.6. HRMS (ESI-Q-TOF): m/z [M + H]+ calcd for C17H24N4: 285.2074; found: 285.2077.
3.3. CXCR4 Binding Assay
The CXCL12AF647 binding assay with Jurkat cells has been described previously [30]. Briefly, Jurkat cells were resuspended in assay buffer [Hank’s Balanced Salt Solution (HBSS, Thermo Fisher Scientific), 20 mM HEPES buffer, 0.2% bovine serum albumin (Sigma-Aldrich), pH 7.4] at 3 × 105 cells per sample and then treated with various concentrations of the compound at room temperature for 15 min. Afterwards, the cells were incubated with 2.9 nM CXCL12AF647 (in assay buffer) at room temperature for 30 min in the dark. Cells were fixed in 1% paraformaldehyde in DPBS and specific CXCL12AF647 binding [i.e., mean fluorescence intensity (MFI)] was quantified by flow cytometry (FACSCantoTM II; Becton Dickinson). Data were analyzed with FlowJo® Software. The 50% inhibitory concentration (IC50) was calculated for each compound relative to the negative (i.e., autofluorescence of untreated and unlabeled cells) and positive (i.e., untreated cells exposed to CXCL12AF647 only) control.
3.4. CXCR4 Calcium Mobilization Assay
The calcium mobilization assay has been described in detail previously [31]. U87.CD4.CXCR4 cells (2 × 104 cells per well in DMEM/10% FBS/0.01 M HEPES) were seeded in gelatin-coated (Sigma-Aldrich; 0.1% gelatin in DPBS) black-walled 96-well plates and incubated overnight at 37 °C and 5% CO2. The next day, cells were loaded with the fluorescent calcium indicator Fluo-2 acetoxymethyl (AM) ester (4 μM; Abcam) and incubated at room temperature in the dark for 45 min. Then, cells were incubated with various concentrations of the compounds for 10 min prior to the addition of 6.25 nM CXCL12 (in assay buffer). Fluctuations in intracellular calcium levels were measured in real time by the FLIPR Tetra® (Molecular Devices, Sunnyvale, CA, USA) in all 96 wells simultaneously. The response over baseline (after CXCL12 addition) was calculated with the ScreenWorks 4.0® software (Molecular Devices, Version 4.0, www.moleculardevices.com, accessed on 10 January 2015) by dividing the obtained relative light units (RLUs) through the base line measured just before CXCL12 addition. From this the IC50 value for each compound was determined taking into account the negative (i.e., untreated cells without CXCL12 stimulation) and positive (i.e., untreated cells with CXCL12 addition) control samples.
3.5. Anti-HIV Assays
3.5.1. Cells
The CD4 cell line MT-4 was obtained from the American Type Culture Collection (Rockville, MD, USA) and cultured in RPMI 1640 medium (Gibco BRL, Gaithersburg, MD, USA) with 10% heat-inactivated fetal calf serum (Biowhittaker Europe, Verviers, Belgium) and 2 mmol/L L-glutamine (Gibco BRL).
3.5.2. Viruses
The HIV-1 molecular clone NL4.3 and the HIV-2 ROD strain were obtained from the NIAID AIDS Reagent Program (National Institutes of Health, Bethesda, MD, USA).
3.5.3. Assay
The anti-HIV-1 and anti-HIV-2 activity in MT-4 cells was determined using a tetrazolium-based colorimetric assay. This assay been described in detail before [29,32]. Threefold dilutions of the drugs in 100 μL medium were added to duplicate wells of 96-well flat bottom plates (Iwaki Glass). Then, MT-4 cells were seeded in the tissue culture plates (7.5 × 104 cells in 50 μL medium), and finally 50 μL diluted HIV-1 NL4.3 and HIV-2 ROD stock (20× the median tissue culture infective dose) was added to each well, resulting in a final volume of 200 μL. The cytopathic effect induced by the virus was checked regularly microscopically. After 4 d of infection, when a strong cytopathic effect was observed in the positive control (i.e., untreated, HIV-infected cells), the cell viability was assessed spectrophotometrically via the in situ reduction of the tetrazolium compound 3-(4,5-dimethylthiazol-2-yl)-5-(3-carboxymethoxyphenyl)-2-(4-sulfophenyl)-2H-tetrazolium inner salt, using the CellTiter 96 AQueous One Solution Cell Proliferation Assay (Promega, Fitchburg, WI, USA). The absorbance was then recorded at 490 nm with a 96-well plate reader and compared with four cell control replicates (cells without virus and drugs) and four virus control wells (cells with virus but without drug). Each assay was performed at least three times. The median inhibitory concentration (EC50), or the concentration that inhibited HIV-induced cell death by 50%, was calculated from each dose–response curve. Absorbance was recorded using the VersaMax ELISA™ microplate reader (Molecular Devices) and analyzed with the Softmax Pro® software (Molecular Devices, Version 4.0, www.moleculardevices.com, accessed on 10 January 2015). Using mock-infected cells, the cytotoxic concentration 50 (CC50) of each compound was investigated.
4. Conclusions
Based on a previously established methodology for the synthesis of 1-methylene-isoquinolines, a new series of isoquinoline-based CXCR4 antagonists was prepared. Besides the synthesis of the unsubstituted isoquinoline congener, also various substituents (monomethoxy, dimethoxy, fluorine, bromine) were introduced on the isoquinoline ring. The head group was either the classical tetrahydroisoquinoline moiety or a 3-methylpyridinyl group. The majority of the compounds do show potent activity in the various assays. All tetrahydroisoquinoline-based derivatives (compounds 19a–e and 20) were evaluated as racemic mixtures. As it is well-known that in this compound class, the (S)-enantiomer is more potent than the (R)-enantiomer. Future chemistry will focus on the enantioselective synthesis of the eutomer. Among this new series of analogues, compound 24c looks very promising, because of its potent CXCR4 antagonism in the binding, as well as in the calcium mobilization assay and its strong and selective anti-HIV activity. Moreover, compound 24c lacks a chiral center, avoiding the need for any costly enantioselective synthesis.
Author Contributions
Conceptualization, S.D.J., D.S. and W.D.; methodology, M.S.S., S.C., E.G. and T.V.L.; validation, M.S.S., S.C., E.G. and T.V.L.; formal analysis, S.D.J. and W.D.; investigation, M.S.S., S.C. and E.G.; resources, D.S. and W.D.; data curation, S.C. and S.D.J.; writing—original draft preparation, M.S.S. and S.D.J.; writing—review and editing, T.V.L., S.D.J., W.D. and D.S.; supervision, S.D.J., W.D. and D.S.; project administration, S.D.J.; funding acquisition, W.D. and D.S. All authors have read and agreed to the published version of the manuscript.
Funding
Mass spectrometry was made possible by the support of the Hercules Foundation of the Flemish Government (grant 20100225-7).
Data Availability Statement
Not available.
Acknowledgments
Geert Schoofs, Daisy Ceusters, and Robin Hermans are acknowledged for their excellent technical assistance.
Conflicts of Interest
The authors declare no conflict of interest.
Sample Availability
Samples of the compounds are available from the authors.
References
- Busillo, J.M.; Benovic, J.L. Regulation of CXCR4 Signaling. Biochim. Biophys. Acta 2007, 1768, 952–963. [Google Scholar] [CrossRef] [Green Version]
- Alkhatib, G. The Biology of CCR5 and CXCR4. Curr. Opin. HIV AIDS 2009, 4, 96–103. [Google Scholar] [CrossRef] [PubMed]
- Heusinkveld, L.E.; Majumdar, S.; Gao, J.; Mcdermott, D.H.; Murphy, P.M.; Marrow, B. WHIM Syndrome: From Pathogenesis Towards Personalized Medicine and Cure. J. Clin. Immunol. 2019, 1990, 532–556. [Google Scholar] [CrossRef] [PubMed]
- Luker, G.D.; Festuccia, C.; Zimmermann, J.; Yang, J.; Richmond, A.; Scala, S.; Schottelius, M.; Wester, H. At the Bench: Pre-Clinical Evidence for Multiple Functions of CXCR4 in Cancer. J. Leukoc. Biol. 2021, 109, 969–989. [Google Scholar] [CrossRef]
- García-cuesta, E.M.; Santiago, C.A.; Vallejo-díaz, J.; Juarranz, Y. The Role of the CXCL12/CXCR4/ACKR3 Axis in Autoimmune Diseases. Front. Endocrinol. 2019, 10, 585. [Google Scholar] [CrossRef] [PubMed] [Green Version]
- Debnath, B.; Xu, S.; Grande, F.; Garofalo, A.; Neamati, N. Small Molecule Inhibitors of CXCR4. Theranostics 2013, 3, 47–75. [Google Scholar] [CrossRef] [PubMed] [Green Version]
- Tahirovic, Y.A.; Pelly, S.; Jecs, E.; Miller, E.J.; Sharma, S.K.; Liotta, D.C.; Wilson, L.J. Small Molecule and Peptide-Based CXCR4 Modulators as Therapeutic Agents. A Patent Review for the Period from 2010 to 2018. Expert Opin. Ther. Pat. 2020, 30, 87–101. [Google Scholar]
- De Clercq, E. The AMD3100 Story: The Path to the Discovery of a Stem Cell Mobilizer (Mozobil). Biochem. Pharmacol. 2009, 77, 1655–1664. [Google Scholar] [CrossRef] [Green Version]
- Smith, M.C.P.; Luker, K.E.; Garbow, J.R.; Prior, J.L.; Jackson, E.; Piwnica-worms, D.; Luker, G.D. CXCR4 Regulates Growth of Both Primary and Metastatic Breast Cancer. Cancer Res. 2004, 64, 8604–8612. [Google Scholar] [CrossRef] [Green Version]
- Zhu, W.B.; Zhao, Z.-F.; Zhou, X. AMD3100 Inhibits Epithelial—Mesenchymal Transition, Cell Invasion, and Metastasis in the Liver and the Lung through Blocking the SDF—1 α/CXCR4 Signaling Pathway in Prostate Cancer. J. Cell. Physiol. 2019, 234, 11746–11759. [Google Scholar] [CrossRef]
- Alsina-Sanchís, E.; Muinelo-Romay, L.; Moreno-Bueno, G.; Graupera, M.; Matias-Guiu, X.; Villanueva, A.; Vi, F. A Role for CXCR4 in Peritoneal and Hematogenous Ovarian Cancer Dissemination. Mol. Cancer Ther. 2018, 17, 532–543. [Google Scholar]
- Mosi, R.M.; Anastassova, V.; Cox, J.; Darkes, M.C.; Idzan, S.R.; Labrecque, J.; Lau, G.; Nelson, K.L.; Patel, K.; Santucci, Z.; et al. The Molecular Pharmacology of AMD11070: An Orally Bioavailable CXCR4 HIV Entry Inhibitor. Biochem. Pharmacol. 2012, 83, 472–479. [Google Scholar] [CrossRef] [PubMed]
- Jenkinson, S.; Thomson, M.; Mccoy, D.; Edelstein, M.; Danehower, S.; Lawrence, W.; Wheelan, P.; Spaltenstein, A.; Gudmundsson, K.; Drive, F.M.; et al. Blockade of X4-Tropic HIV-1 Cellular Entry by GSK812397, a Potent Noncompetitive CXCR4 Receptor Antagonist. Antimicrob. Agents Chemother. 2010, 54, 817–824. [Google Scholar] [CrossRef] [PubMed] [Green Version]
- Miller, J.F.; Gudmundsson, K.S.; Aurora, L.D.; Jenkinson, S.; Spaltenstein, A.; Thomson, M.; Wheelan, P. Synthesis and SAR of Novel Isoquinoline CXCR4 Antagonists with Potent Anti-HIV Activity. Bioorg. Med. Chem. Lett. 2010, 20, 3026–3030. [Google Scholar] [CrossRef] [PubMed]
- Truax, V.M.; Zhao, H.; Katzman, B.M.; Prosser, A.R.; Alcaraz, A.A.; Saindane, M.T.; Howard, R.B.; Culver, D.; Arrendale, R.F.; Gruddanti, P.R.; et al. Discovery of Tetrahydroisoquinoline-Based CXCR4 Antagonists. ACS Med. Chem. Lett. 2013, 4, 1025–1030. [Google Scholar] [CrossRef] [Green Version]
- Nguyen, H.H.; Kim, M.B.; Wilson, R.J.; Butch, C.J.; Kuo, K.M.; Miller, E.J.; Tahirovic, Y.A.; Jecs, E.; Truax, V.M.; Wang, T.; et al. Design, Synthesis, and Pharmacological Evaluation of Second- Generation Tetrahydroisoquinoline-Based CXCR4 Antagonists with Favorable ADME Properties. J. Med. Chem. 2018, 61, 7168–7188. [Google Scholar] [CrossRef]
- Gudmundsson, K.S.; Sebahar, P.R.; Aurora, L.D.; Miller, J.F.; Turner, E.M.; Catalano, J.G.; Spaltenstein, A.; Lawrence, W.; Thomson, M.; Jenkinson, S. Amine Substituted N-(1H-Benzimidazol-2ylmethyl)-5,6,7,8-Tetrahydro-8-Quino- Linamines as CXCR4 Antagonists with Potent Activity against HIV-1. Bioorg. Med. Chem. Lett. 2009, 19, 5048–5052. [Google Scholar] [CrossRef]
- Wilson, R.J.; Jecs, E.; Miller, E.J.; Nguyen, H.H.; Tahirovic, Y.A.; Truax, V.M.; Kim, M.B.; Kuo, K.M.; Wang, T.; Sum, C.S.; et al. Synthesis and SAR of 1,2,3,4-Tetrahydroisoquinoline-Based CXCR4 Antagonists. ACS Med. Chem. Lett. 2018, 9, 17–22. [Google Scholar] [CrossRef]
- Lin, Y.; Li, Z.; Xu, C.; Xia, K.; Wu, S.; Hao, Y.; Yang, Q. Design, Synthesis, and Evaluation of Novel CXCR4 Antagonists Based on an Aminoquinoline Template. Bioorg. Chem. 2020, 99, 103824. [Google Scholar] [CrossRef]
- Thomas, J.; Jana, S.; John, J.; Liekens, S.; Dehaen, W. A General Metal-Free Route towards the Synthesis of 1,2,3-Triazoles from Readily Available Primary Amines and Ketones. Chem. Commun. 2016, 52, 2885–2888. [Google Scholar] [CrossRef]
- Thomas, J.; Jana, S.; Liekens, S.; Dehaen, W. A Single-Step Acid Catalyzed Reaction for Rapid Assembly of NH-1,2,3-Triazoles. Chem. Commun. 2016, 52, 9236–9239. [Google Scholar] [CrossRef] [Green Version]
- Parkash, R.; Opsomer, T.; Dehaen, W. Triazolization of Enolizable Ketones with Primary Amines: A General Strategy. Chem. Rec. 2021, 21, 376–385. [Google Scholar] [CrossRef]
- Opsomer, T.; Van Hoof, M.; Angelo, A.D.; Dehaen, W. 1,2,3-Triazole-Mediated Synthesis of 1—Methyleneisoquinolines: A Three-Step Synthesis of Papaverine and Analogues. Org. Lett. 2020, 22, 3596–3600. [Google Scholar] [CrossRef] [PubMed]
- Jones, G.; Mouat, D.J.; Tonkinson, D.J. Triazolopyridines. Part 6. Ring Opening Reactions of Triazolopyridines. J. Chem. Soc. Perkin Trans. 1 1985, 19, 2719–2723. [Google Scholar]
- Gerber, N.; Liang, X.; Biron, E. Convenient Two-Step Synthesis of Highly Functionalized Benzo-Fused 1, 4-Diazepin-3-Ones and 1, 5-Diazocin-4-Ones by Sequential Ugi and Intramolecular S N Ar Reactions. Tetrahedron 2017, 73, 6347–6355. [Google Scholar]
- Manickam, M.; Reddy, P.; Pillaiyar, T.; Jin, Y. Design, Synthesis and Anticancer Activity of 2-Amidomethoxy-1, 4-Naphthoquinones and Its Conjugates with Biotin/Polyamine. Bioorg. Med. Chem. Lett. 2021, 31, 127685. [Google Scholar] [CrossRef] [PubMed]
- Li, Z.; Wang, Y.; Fu, C.; Wang, X.; Jun, J.; Zhang, Y.; Zhou, D.; Zhao, Y.; Luo, L.; Ma, H.; et al. Design, Synthesis, and Structure-Activity-Relationship of a Novel Series of CXCR4 Antagonists. Eur. J. Med. Chem. 2018, 149, 30–44. [Google Scholar] [CrossRef] [PubMed]
- Eun, J.S.; Seo, S. Facile Synthesis of Hydroxy Wilfordic Acid, A Esterifying Unit of Anti-HIV Sesquiterpene Pyridine Alkaloids. Arch. Pharmacal. Res. 2009, 32, 1673–1679. [Google Scholar] [CrossRef] [PubMed]
- Van Hout, A.; D’huys, T.; Oeyen, M.; Schols, D.; Van Loy, T. Comparison of Cell-Based Assays for the Identification and Evaluation of Competitive CXCR4 Inhibitors. PLoS ONE 2017, 12, e0176057. [Google Scholar] [CrossRef] [PubMed]
- Schoofs, G.; Van Hout, A.; D’huys, T.; Schols, D.; Van Loy, T. A Flow Cytometry-Based Assay to Identify Compounds That Disrupt Binding of Fluorescently-Labeled CXC Chemokine Ligand 12 to CXC Chemokine Receptor 4. JoVE 2018, 133, 57271. [Google Scholar] [CrossRef]
- Claes, S.; D’huys, T.; Van Hout, A.; Schols, D.; Van Loy, T. A Kinetic Fluorescence-Based Ca Mobilization Assay to Identify G Protein-Coupled Receptor Agonists, Antagonists, and Allosteric Modulators. JoVE 2018, 132, e56780. [Google Scholar] [CrossRef] [PubMed]
- Vermeire, K.; Princen, K.; Hatse, S.; De Clercq, E.; Dey, K.; Bell, T.W.; Schols, D. CADA, a Novel CD4-Targeted HIV Inhibitor, Is Synergistic with Various Anti-HIV Drugs in Vitro. AIDS 2004, 18, 2115–2125. [Google Scholar] [CrossRef] [PubMed]
Publisher’s Note: MDPI stays neutral with regard to jurisdictional claims in published maps and institutional affiliations. |
© 2021 by the authors. Licensee MDPI, Basel, Switzerland. This article is an open access article distributed under the terms and conditions of the Creative Commons Attribution (CC BY) license (https://creativecommons.org/licenses/by/4.0/).



