Adsorption of Zn2+ from Synthetic Wastewater Using Dried Watermelon Rind (D-WMR): An Overview of Nonlinear and Linear Regression and Error Analysis
Abstract
:1. Introduction
2. Materials and Methods
2.1. Preparation of Glassware
2.2. Preparation of Dried Watermelon Rind Powder (D-WMR)
2.3. Characterization of Dried Watermelon Rind
2.4. Preparation of Synthetic Wastewater
2.5. Analysis of Zinc in Synthetic Wastewater
2.6. Factors Affecting the Efficiency of Adsorption Process
2.7. Thermodynamic, Isotherm and Kinetic Adsorption Models
2.8. Analytical Error Analysis
2.8.1. Coefficient of Determination (R2)
2.8.2. Mean Square Error (MSE)
2.8.3. The Root Mean Square Error (RMSE)
2.8.4. The Mean Absolute Deviation (MAD)
2.8.5. Mean Absolute Percentage Error (MAPE)
3. Results and Discussion:
3.1. Characterizations of Dried Watermelon Rind
3.1.1. Physical Characterizations of Dried Watermelon Rind Using Scanning Electron Microscope (SEM)
3.1.2. Chemical Composition of Dried Watermelon Rind Using X-ray Fluorescence (XRF)
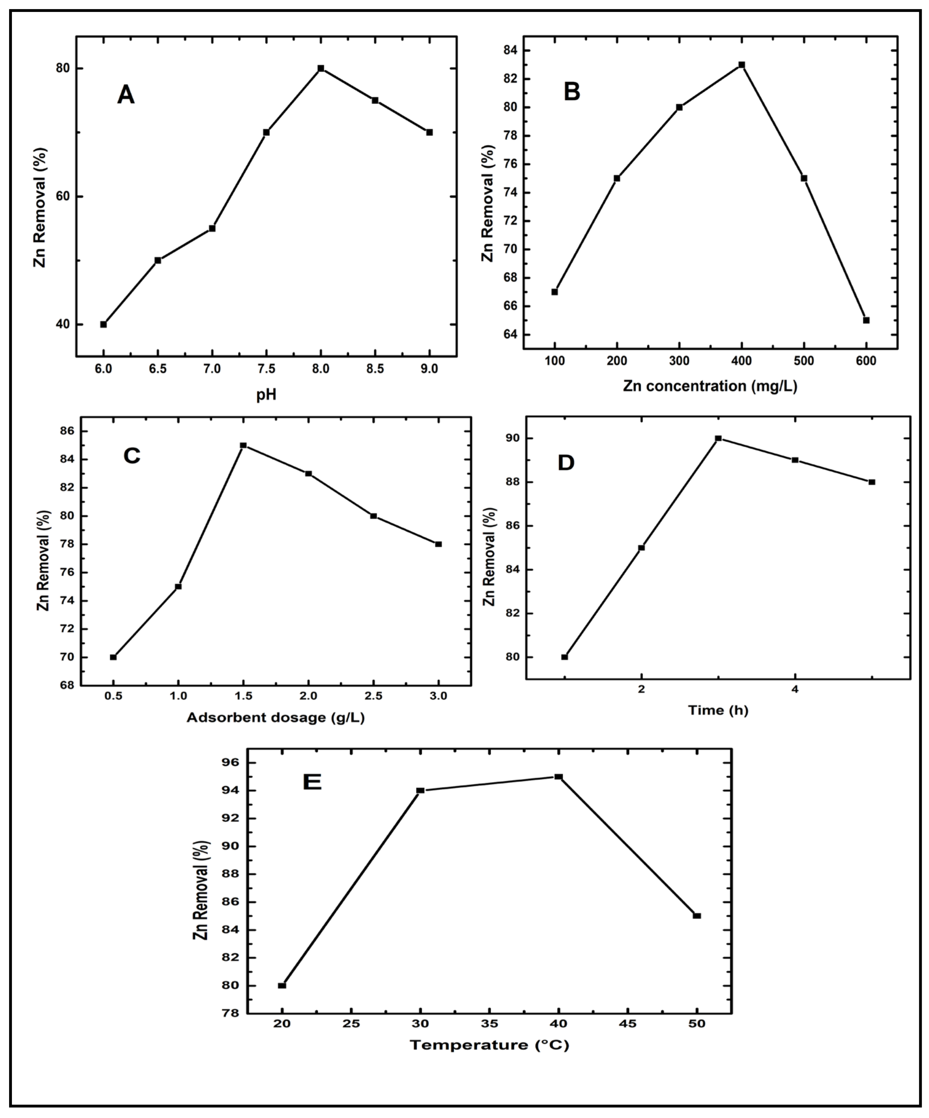
3.2. Factors Affection Adsorption Capacity
3.2.1. Effect of pH against Zinc Removal
3.2.2. Effect of Zinc Concentration in Synthetic Wastewater against Zinc Removal
3.2.3. Effect of Adsorbent Dosage Concentration against Zinc Removal
3.2.4. Effect of Contact Time against Zinc Removal
3.2.5. Effect of Temperature against Zinc Removal
3.3. Removal of Zinc under Optimum Conditions
3.4. Thermodynamic Model
3.4.1. Principles of the Adsorption Thermodynamic Model
3.4.2. Equilibrium Constant Derived from the Langmuir Constant ()
3.5. Isotherm Models
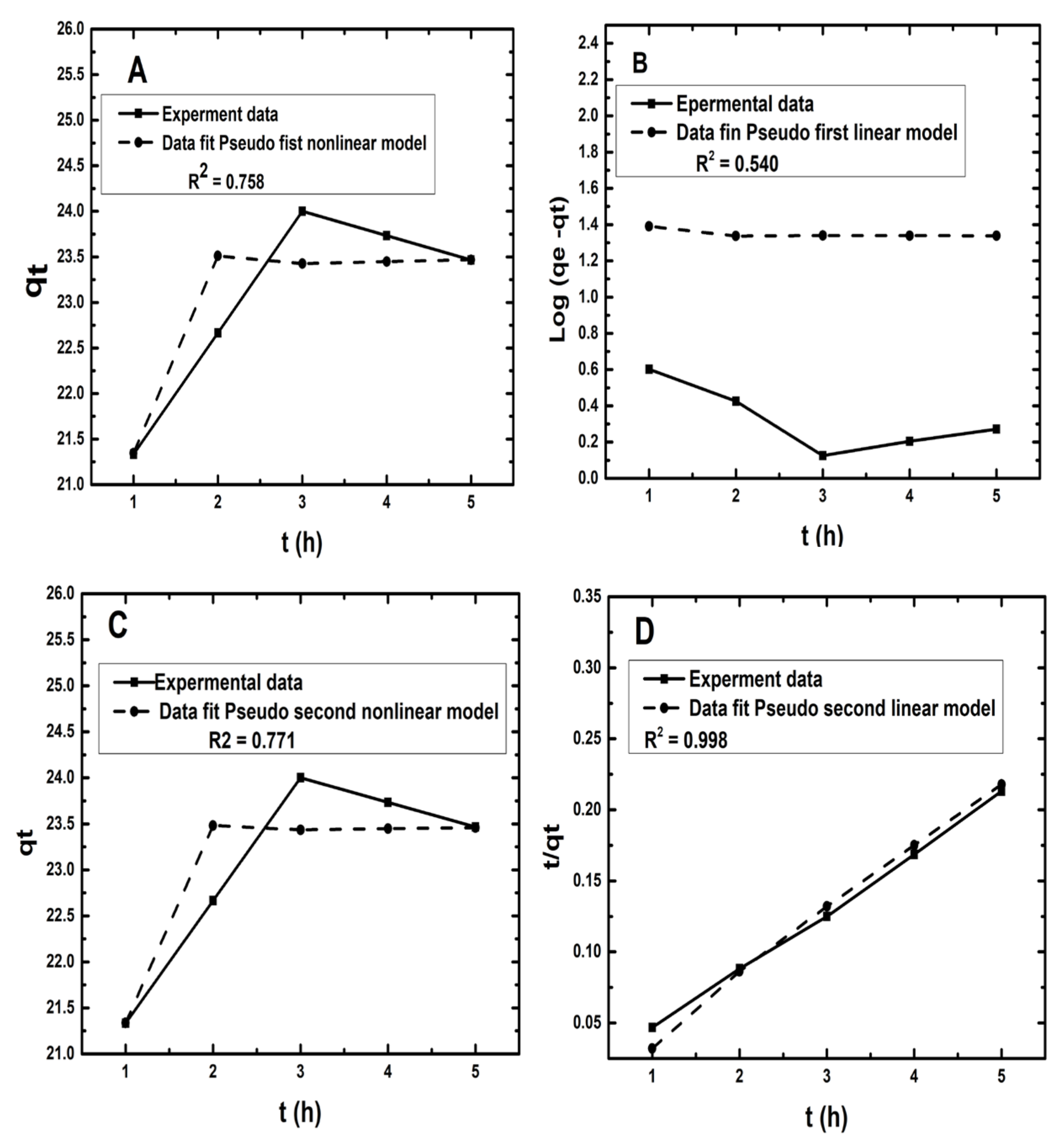
3.6. Kinetics Models
3.7. Selecting the Optimum Isotherm Model Based on Error Functions Analysis
4. Conclusions
Author Contributions
Funding
Institutional Review Board Statement
Informed Consent Statement
Data Availability Statement
Acknowledgments
Conflicts of Interest
References
- Bhattacharjee, C.; Dutta, S.; Saxena, V.K. A review on biosorptive removal of dyes and heavy metals from wastewater using watermelon rind as biosorbent. Environ. Adv. 2020, 2, 100007. [Google Scholar] [CrossRef]
- Sharma, H.K.; Sofi, I.R.; Wani, K.A. Low cost absorbents, techniques, and heavy metal removal efficiency. In Biostimulation Remediation Technologies for Groundwater Contaminants; IGI Global: Hershey, PA, USA, 2018; pp. 50–79. [Google Scholar]
- Bharat, S.; Manchanda, D. Efficient bio adsorbents for removal of heavy metals from water: A review. Int. J. Chem. Stud. 2017, 5, 1691–1694. [Google Scholar]
- Mishra, U.; Paul, S.; Bandyopadhaya, M. Removal of zinc ions from wastewater using industrial waste sludge: A novel approach. Environ. Prog. Sustain. Energy 2013, 32, 576–586. [Google Scholar] [CrossRef]
- Ahmed, M.J.K.; Ahmaruzzaman, M. A review on potential usage of industrial waste materials for binding heavy metal ions from aqueous solutions. J. Water Process Eng. 2016, 10, 39–47. [Google Scholar] [CrossRef]
- Singh, N.; Nagpal, G.; Agrawal, S. Water purification by using adsorbents: A review. Environ. Technol. Innov. 2018, 11, 187–240. [Google Scholar] [CrossRef]
- Inyinbor Adejumoke, A.; Adebesin Babatunde, O.; Oluyori Abimbola, P.; Adelani Akande Tabitha, A.; Dada Adewumi, O.; Toyin, A.O. Water pollution: Effects, prevention, and climatic impact. Water Chall. Urban. World 2018, 33, 33–47. [Google Scholar]
- Baytar, O.; Şahin, Ö.; Saka, C.; Ağrak, S. Characterization of microwave and conventional heating on the pyrolysis of pistachio shells for the adsorption of methylene blue and iodine. Anal. Lett. 2018, 51, 2205–2220. [Google Scholar] [CrossRef]
- Ali, H.; Khan, E. Trophic transfer, bioaccumulation, and biomagnification of non-essential hazardous heavy metals and metalloids in food chains/webs—Concepts and implications for wildlife and human health. Hum. Ecol. Risk Assess. Int. J. 2019, 25, 1353–1376. [Google Scholar] [CrossRef]
- Fu, F.; Wang, Q. Removal of heavy metal ions from wastewaters: A review. J. Environ. Manag. 2011, 92, 407–418. [Google Scholar] [CrossRef]
- Bahari, Z.M.; Altowayti, W.A.H.; Ibrahim, Z.; Jaafar, J.; Shahir, S. Biosorption of As (III) by non-living biomass of an arsenic-hypertolerant Bacillus cereus strain SZ2 isolated from a gold mining environment: Equilibrium and kinetic study. Appl. Biochem. Biotechnol. 2013, 171, 2247–2261. [Google Scholar] [CrossRef]
- Haris, S.A.; Altowayti, W.A.H.; Ibrahim, Z.; Shahir, S. Arsenic biosorption using pretreated biomass of psychrotolerant Yersinia sp. strain SOM-12D3 isolated from Svalbard, Arctic. Environ. Sci. Pollut. Res. 2018, 25, 27959–27970. [Google Scholar] [CrossRef] [PubMed]
- Altowayti, W.A.H.; Dahawi, A.A.; Shahir, S. Significance of bio-treatment by acid washing for enlargement of arsenic desorption in indigenous arsenic-resistant bacteria from gold mine. Malays. J. Fund. Appl. Sci. 2020, 16, 190–195. [Google Scholar] [CrossRef]
- Yahya, M.A.; Al-Qodah, Z.; Ngah, C.Z. Agricultural bio-waste materials as potential sustainable precursors used for activated carbon production: A review. Renew. Sustain. Energy Rev. 2015, 46, 218–235. [Google Scholar] [CrossRef]
- Daud, W.M.A.W.; Ali, W.S.W. Comparison on pore development of activated carbon produced from palm shell and coconut shell. Bioresour. Technol. 2004, 93, 63–69. [Google Scholar] [CrossRef] [PubMed]
- González, J.; Román, S.; Encinar, J.M.; Martínez, G. Pyrolysis of various biomass residues and char utilization for the production of activated carbons. J. Anal. Appl. Pyrolysis 2009, 85, 134–141. [Google Scholar] [CrossRef]
- Ai, N.; Zeng, G.; Zhou, H.; He, Y. Co-production of activated carbon and bio-oil from agricultural residues by molten salt pyrolysis. BioResources 2013, 8, 1551–1562. [Google Scholar] [CrossRef] [Green Version]
- Açıkyıldız, M.; Gürses, A.; Karaca, S. Preparation and characterization of activated carbon from plant wastes with chemical activation. Microporous Mesoporous Mater. 2014, 198, 45–49. [Google Scholar] [CrossRef]
- Köseoğlu, E.; Akmil-Başar, C. Preparation, structural evaluation and adsorptive properties of activated carbon from agricultural waste biomass. Adv. Powder Technol. 2015, 26, 811–818. [Google Scholar] [CrossRef]
- Üner, O.; Geçgel, Ü.; Bayrak, Y. Preparation and characterization of mesoporous activated carbons from waste watermelon rind by using the chemical activation method with zinc chloride. Arab. J. Chem. 2019, 12, 3621–3627. [Google Scholar] [CrossRef] [Green Version]
- Al-Sayed, H.M.; Ahmed, A.R. Utilization of watermelon rinds and sharlyn melon peels as a natural source of dietary fiber and antioxidants in cake. Ann. Agric. Sci. 2013, 58, 83–95. [Google Scholar] [CrossRef] [Green Version]
- Johnson, J.; Iwang, E.; Hemen, J.; Odey, M.; Efiong, E.; Eteng, O. Evaluation of anti-nutrient contents of watermelon Citrullus lanatus. Ann. Biol. Res. 2012, 3, 5145–5150. [Google Scholar]
- Rimando, A.M.; Perkins-Veazie, P.M. Determination of citrulline in watermelon rind. J. Chromatogr. A 2005, 1078, 196–200. [Google Scholar] [CrossRef] [PubMed]
- Reddy, N.A.; Lakshmipathy, R.; Sarada, N. Application of Citrullus lanatus rind as biosorbent for removal of trivalent chromium from aqueous solution. Alex. Eng. J. 2014, 53, 969–975. [Google Scholar] [CrossRef] [Green Version]
- Oseni, O.; Okoye, V. Studies of Phytochemical and Antioxidant properties of the fruit of watermelon (Citrullus lanatus (Thunb.)). J. Pharm. Biomed. Sci 2013, 27, 508–514. [Google Scholar]
- Hayashi, J.I.; Kazehaya, A.; Muroyama, K.; Watkinson, A.P. Preparation of activated carbon from lignin by chemical activation. Carbon 2000, 38, 1873–1878. [Google Scholar] [CrossRef]
- Okman, I.; Karagöz, S.; Tay, T.; Erdem, M. Activated carbons from grape seeds by chemical activation with potassium carbonate and potassium hydroxide. Appl. Surf. Sci. 2014, 293, 138–142. [Google Scholar] [CrossRef]
- Qin, C.; Chen, Y.; Gao, J.-m. Manufacture and characterization of activated carbon from marigold straw (Tagetes erecta L.) by H3PO4 chemical activation. Mater. Lett. 2014, 135, 123–126. [Google Scholar] [CrossRef]
- Yagub, M.T.; Sen, T.K.; Afroze, S.; Ang, H.M. Dye and its removal from aqueous solution by adsorption: A review. Adv. Colloid Interface Sci. 2014, 209, 172–184. [Google Scholar] [CrossRef]
- Sayğılı, H.; Güzel, F.; Önal, Y. Conversion of grape industrial processing waste to activated carbon sorbent and its performance in cationic and anionic dyes adsorption. J. Clean. Prod. 2015, 93, 84–93. [Google Scholar] [CrossRef]
- Altowayti, W.A.H.; Algaifi, H.A.; Bakar, S.A.; Shahir, S. The adsorptive removal of As (III) using biomass of arsenic resistant Bacillus thuringiensis strain WS3: Characteristics and modelling studies. Ecotoxicol. Environ. Saf. 2019, 172, 176–185. [Google Scholar] [CrossRef]
- Altowayti, W.A.H.; Haris, S.A.; Shahir, S.; Zakaria, Z.; Ibrahim, S. The removal of arsenic species from aqueous solution by indigenous microbes: Batch bioadsorption and artificial neural network model. Environ. Technol. Innov. 2020, 19, 100830. [Google Scholar] [CrossRef]
- Altowayti, W.A.H.; Allozy, H.G.A.; Shahir, S.; Goh, P.S.; Yunus, M.A.M. A novel nanocomposite of aminated silica nanotube (MWCNT/Si/NH 2) and its potential on adsorption of nitrite. Environ. Sci. Pollut. Res. 2019, 26, 28737–28748. [Google Scholar] [CrossRef]
- Altowayti, W.A.H.; Othman, N.; Goh, P.S.; Alshalif, A.F.; Al-Gheethi, A.A.; Algaifi, H.A. Application of a novel nanocomposites carbon nanotubes functionalized with mesoporous silica-nitrenium ions (CNT-MS-N) in nitrate removal: Optimizations and nonlinear and linear regression analysis. Environ. Technol Innov. 2021, 22, 101428. [Google Scholar] [CrossRef]
- Baird, R.B. Standard Methods for the Examination of Water and Wastewater, 23rd ed.; Water Environment Federation, American Public Health Association: Alexandria, VA, USA, 2017. [Google Scholar]
- Altowayti, W.A.H.; Almoalemi, H.; Shahir, S.; Othman, N. Comparison of culture-independent and dependent approaches for identification of native arsenic-resistant bacteria and their potential use for arsenic bioremediation. Ecotoxicol. Environ. Saf. 2020, 205, 111267. [Google Scholar] [CrossRef]
- Alamrani, N.A.; AL-Aoh, H.A. Elimination of Congo Red Dye from Industrial Wastewater Using Teucrium polium L. as a Low-Cost Local Adsorbent. Adsorp. Sci. Technol. 2021, 2021, 5728696. [Google Scholar] [CrossRef]
- Allozy, H.G.A.; Abd Karim, K.J. Removal of Copper Ions From Aqueous Solutions Using Poly (Vinylbenzyl Chloride). Malays. J. Anal. Sci. 2020, 24, 978–991. [Google Scholar]
- Chan, L.; Cheung, W.; Allen, S.; McKay, G. Error analysis of adsorption isotherm models for acid dyes onto bamboo derived activated carbon. Chin. J. Chem. Eng. 2012, 20, 535–542. [Google Scholar] [CrossRef]
- Kumar, K.V. Optimum sorption isotherm by linear and non-linear methods for malachite green onto lemon peel. Dye. Pigm. 2007, 74, 595–597. [Google Scholar] [CrossRef]
- Ho, Y.-S. Second-order kinetic model for the sorption of cadmium onto tree fern: A comparison of linear and non-linear methods. Water Res. 2006, 40, 119–125. [Google Scholar] [CrossRef]
- Foo, K.Y.; Hameed, B.H. Insights into the modeling of adsorption isotherm systems. Chem. Eng. Sci. 2010, 156, 2–10. [Google Scholar] [CrossRef]
- Othman, N.; Mohd-Asharuddin, S. Local fruit waste as a potential biosorbent for wastewater containing heavy metals: An overview. In Proceedings of the 2012 IEEE Symposium on Business, Engineering and Industrial Applications, Bandung, Indonesia, 23–26 September 2012; IEEE: Manhattan, NY, USA, 2012; pp. 352–356. [Google Scholar]
- Sud, D.; Mahajan, G.; Kaur, M. Agricultural waste material as potential adsorbent for sequestering heavy metal ions from aqueous solutions—A review. Bioresour. Technol. 2008, 99, 6017–6027. [Google Scholar] [CrossRef] [PubMed]
- Othman, N.; Azhar, N.; Rani, P.M.A.; Zaini, H.M. Metal Removal and Antimicrobial Properties of Watermelon rind modified with clove. In MATEC Web of Conferences Proceedings of the 2nd International Conference on Green Design and Manufacture 2016 (IConGDM 2016), Phuket, Thailand, 1–2 May 2016; EDP Sciences: Les Ulis, France, 2016; p. 01028. [Google Scholar]
- Larakeb, M.; Youcef, L.; Achour, S. Removal of zinc from water by adsorption on bentonite and kaolin. Athens J. Sci. 2017, 4, 47–57. [Google Scholar] [CrossRef]
- Taffarel, S.R.; Rubio, J. On the removal of Mn2+ ions by adsorption onto natural and activated Chilean zeolites. Miner. Eng. 2009, 22, 336–343. [Google Scholar] [CrossRef]
- Zhang, Y.; Zheng, R.; Zhao, J.; Zhang, Y.; Wong, P.-K.; Ma, F. Biosorption of zinc from aqueous solution using chemically treated rice husk. Biomed. Res. Int. 2013, 2013, 365163. [Google Scholar] [CrossRef] [PubMed]
- Nehrenheim, E.; Gustafsson, J.P. Kinetic sorption modelling of Cu, Ni, Zn, Pb and Cr ions to pine bark and blast furnace slag by using batch experiments. Bioresour. Technol. 2008, 99, 1571–1577. [Google Scholar] [CrossRef]
- Changalvaei, M.; Nilforoushan, M.R.; Arabmarkadeh, A.; Tayebi, M. Removal of Ni and Zn heavy metal ions from industrial waste waters using modified slag of electric arc furnace. Mater. Res. Express 2021, 8, 055506. [Google Scholar] [CrossRef]
- Mouni, L.; Merabet, D.; Bouzaza, A.; Belkhiri, L. Removal of Pb2+ and Zn2+ from the aqueous solutions by activated carbon prepared from Dates stone. Desalination Water Treat. 2010, 16, 66–73. [Google Scholar] [CrossRef]
- Zhang, H.; Tong, Z.; Wei, T.; Tang, Y. Removal characteristics of Zn (II) from aqueous solution by alkaline Ca-bentonite. Desalination 2011, 276, 103–108. [Google Scholar] [CrossRef]
- Mishra, P.; Patel, R. Removal of lead and zinc ions from water by low cost adsorbents. J. Hazard. Mater. 2009, 168, 319–325. [Google Scholar] [CrossRef]
- Walke, G.N.; Shaik, F. Removal of zinc andcopper from aqueous solution by using modified sugarcane bagasse as a low cost adsorbent. Int. J. Mech. Prod. Eng. Res. 2020, 10, 7785–7798. [Google Scholar]
- Rana, K.; Shah, M.; Limbachiya, N. Adsorption of copper Cu (2+) metal ion from waste water using sulphuric acid treated sugarcane bagasse as adsorbent. Int. J. Adv. Eng. Res. Sci. 2014, 1, 55–59. [Google Scholar]
- Kosa, S.A.; Al-Zhrani, G.; Salam, M.A. Removal of heavy metals from aqueous solutions by multi-walled carbon nanotubes modified with 8-hydroxyquinoline. Chem. Eng. J. 2012, 181, 159–168. [Google Scholar] [CrossRef]
- Nyamunda, B.C.; Chivhanga, T.; Guyo, U.; Chigondo, F. Removal of Zn (II) and Cu (II) ions from industrial wastewaters using magnetic biochar derived from water hyacinth. J. Eng. 2019, 2019, 5656983. [Google Scholar] [CrossRef] [Green Version]
- Chaudhry, S.A.; Khan, T.A.; Ali, I. Adsorptive removal of Pb (II) and Zn (II) from water onto manganese oxide-coated sand: Isotherm, thermodynamic and kinetic studies. Egypt. J. Basic Appl. sci. 2016, 3, 287–300. [Google Scholar] [CrossRef] [Green Version]
- Shukla, S.; Pai, R.S. Adsorption of Cu (II), Ni (II) and Zn (II) on modified jute fibres. Bioresour. Technol. 2005, 96, 1430–1438. [Google Scholar] [CrossRef] [PubMed]
- Bhattacharya, A.; Mandal, S.; Das, S. Adsorption of Zn (II) from aqueous solution by using different adsorbents. Chem. Eng. J. 2006, 123, 43–51. [Google Scholar] [CrossRef]
- Saeed, A.; Akhter, M.W.; Iqbal, M. Removal and recovery of heavy metals from aqueous solution using papaya wood as a new biosorbent. Sep. Purif. Technol. 2005, 45, 25–31. [Google Scholar] [CrossRef]
- Conrad, K.; Hansen, H.C.B. Sorption of zinc and lead on coir. Bioresour. Technol. 2007, 98, 89–97. [Google Scholar] [CrossRef]
- Thabede, P.M.; Shooto, N.D.; Xaba, T.; Naidoo, E.B. Magnetite functionalized Nigella sativa seeds for the uptake of chromium (VI) and lead (II) ions from synthetic wastewater. Adsorp. Sci. Technol. 2021, 2021, 6655227. [Google Scholar] [CrossRef]
- Lima, E.C.; Hosseini-Bandegharaei, A.; Moreno-Piraján, J.C.; Anastopoulos, I. A critical review of the estimation of the thermodynamic parameters on adsorption equilibria. Wrong use of equilibrium constant in the Van’t Hoof equation for calculation of thermodynamic parameters of adsorption. J. Mol. Liq. 2019, 273, 425–434. [Google Scholar] [CrossRef]
- Tighadouini, S.; Roby, O.; Radi, S.; Lakbaibi, Z.; Saddik, R.; Mabkhot, Y.N.; Almarhoon, Z.M.; Garcia, Y. A Highly Efficient Environmental-Friendly Adsorbent Based on Schiff Base for Removal of Cu (II) from Aqueous Solutions: A Combined Experimental and Theoretical Study. Molecules 2021, 26, 5164. [Google Scholar] [CrossRef] [PubMed]
- Tran, H.N.; You, S.-J.; Chao, H.-P. Thermodynamic parameters of cadmium adsorption onto orange peel calculated from various methods: A comparison study. J. Environ. Chem. Eng. 2016, 4, 2671–2682. [Google Scholar] [CrossRef]
- Tran, H.N.; You, S.-J.; Hosseini-Bandegharaei, A.; Chao, H.-P. Mistakes and inconsistencies regarding adsorption of contaminants from aqueous solutions: A critical review. Water Res. 2017, 120, 88–116. [Google Scholar] [CrossRef]
- Milonjić, S.K. A consideration of the correct calculation of thermodynamic parameters of adsorption. J. Serb. Chem. Soc. 2007, 72, 1363–1367. [Google Scholar] [CrossRef]
- Zhou, X.; Zhou, X. The unit problem in the thermodynamic calculation of adsorption using the Langmuir equation. Chem. Eng. Commun. 2014, 201, 1459–1467. [Google Scholar] [CrossRef]
- Reddy, D.H.K.; Seshaiah, K.; Reddy, A.; Lee, S. Optimization of Cd (II), Cu (II) and Ni (II) biosorption by chemically modified Moringa oleifera leaves powder. Carbohydr. Polym. 2012, 88, 1077–1086. [Google Scholar] [CrossRef]
- Acelas, N.; Lopera, S.M.; Porras, J.; Torres-Palma, R.A. Evaluating the Removal of the Antibiotic Cephalexin from Aqueous Solutions Using an Adsorbent Obtained from Palm Oil Fiber. Molecules 2021, 26, 3340. [Google Scholar] [CrossRef]
- Dragan, E.S.; Humelnicu, D.; Dinu, M.V. Designing smart triple-network cationic cryogels with outstanding efficiency and selectivity for deep cleaning of phosphate. Chem. Eng. J. 2021, 426, 131411. [Google Scholar] [CrossRef]
- Gümüş, D.; Gümüş, F. Modeling heavy metal removal by retention on Laurus nobilis leaves biomass: Linear and nonlinear isotherms and design. Int. J. Phytoremediat. 2020, 22, 755–763. [Google Scholar] [CrossRef]
- Rout, S.; Kumar, A.; Ravi, P.M.; Tripathi, R.M. Pseudo second order kinetic model for the sorption of U (VI) onto soil: A comparison of linear and non-linear methods. Int. J. Environ. Sci. 2015, 6, 145–154. [Google Scholar]
- Das, P.; Banerjee, P.; Rathour, R.; Misra, R. Assessment on linear and non-linear analysis for the estimation of pseudo-second-order kinetic parameters for removal of dye using graphene nanosheet. Desalination Water Treat. 2015, 56, 502–508. [Google Scholar] [CrossRef]
- Chowdhury, S.; Saha, P. Pseudo-second-order kinetic model for biosorption of methylene blue onto tamarind fruit shell: Comparison of linear and nonlinear methods. Bioremediat. J. 2010, 14, 196–207. [Google Scholar] [CrossRef]
- Gusain, D.; Srivastava, V.; Sillanpää, M.; Sharma, Y.C. Kinetics and isotherm study on adsorption of chromium on nano crystalline iron oxide/hydroxide: Linear and nonlinear analysis of isotherm and kinetic parameters. Res. Chem. Intermed. 2016, 42, 7133–7151. [Google Scholar] [CrossRef]
- Chakraborty, V.; Das, P. Synthesis of nano-silica-coated biochar from thermal conversion of sawdust and its application for Cr removal: Kinetic modelling using linear and nonlinear method and modelling using artificial neural network analysis. Biomass Convers. Biorefin. 2020, 1–11. [Google Scholar] [CrossRef]
- Okpara, O.G.; Ogbeide, O.M.; Ike, O.C.; Menechukwu, K.C.; Ejike, E.C. Optimum isotherm by linear and nonlinear regression methods for lead (II) ions adsorption from aqueous solutions using synthesized coconut shell–activated carbon (SCSAC). Toxin Rev. 2020, 1–14. [Google Scholar] [CrossRef]
- Lin, J.; Wang, L. Comparison between linear and non-linear forms of pseudo-first-order and pseudo-second-order adsorption kinetic models for the removal of methylene blue by activated carbon. Front. Environ. Sci Eng. 2009, 3, 320–324. [Google Scholar] [CrossRef]







| Formula | Concentration before Zn2+ Adsorption | Concentration after Zn2+ Adsorption |
|---|---|---|
| ori-g | 7 | 7 |
| added-g | 3 | 3 |
| CO2 | 0.10% | 0.10% |
| ZnO | ------- | 24.40% |
| Fe2O3 | 1.00% | 1.34% |
| SiO2 | 83.70% | 1.18% |
| SO3 | 8.32% | 0.93% |
| Al2O3 | 1.61% | 0.26% |
| Cr2O3 | 0 | 0.18% |
| P2O5 | 0.99% | 0 |
| CaO | 2.18% | 0.15% |
| K2O | 0.87% | 0 |
| Cl | 0.82% | 0 |
| MoO3 | 0.30% | 0 |
| Adsorbent | Uptake Capacity of Zn2+ mg/g | Reference |
|---|---|---|
| Oxidized jute | 8.02 | [59] |
| Neem bark | 13.29 | [60] |
| Clarified sludge | 15.53 | [60] |
| Black gram husk | 13.45 | [61] |
| NaOH-treated rice husk | 20.08 | [48] |
| Bentonite | 10.75 | [46] |
| Kaolin | 3.70 | [46] |
| Coir | 8.6 | [62] |
| Date stone | 10.41 | [51] |
| Modified Sugarcane bagasse. | 9.23 | [54] |
| Unmodified Sugarcane bagasse | 12.25 | [54] |
| D-WMR | 25 | This study |
| Temperature (Kelvin) | |||||
|---|---|---|---|---|---|
| Van’t Hoff Equation | Kd | ΔG◦ (kJ mol−1) | ΔH◦ (kJ mol−1) | ΔS◦ (J mol−1 K−1) | |
| 293.15 | y = 0.0235x + 1.603 R2 = 0.9849 | 5000 | −20.760 | −0.195 | 13.328 |
| 303.15 | 6000 | −21.927 | |||
| 308.15 | 7000 | −22.684 | |||
| 313.15 | 8000 | −23.400 | |||
| Temperature (Kelvin) | |||||
|---|---|---|---|---|---|
| Van’t Hoff Equation | Kd | ΔG◦ (kJ mol−1) | ΔH◦ (kJ mol−1) | ΔS◦ (J mol−1 K−1) | |
| 293.15 | y = 0.0235x + 2.891 R2 = 0.9849 | 18143 | −23.901 | −0.195 | 24.041 |
| 303.15 | 21772 | −25.176 | |||
| 308.15 | 25400 | −25.986 | |||
| 313.15 | 29029 | −26.756 | |||
| Model | Parameters | Nonlinear | Linear |
|---|---|---|---|
| Langmuir | qmax | 53.918 | 64.103 |
| KL | 0.005 | 0.0038 | |
| R2 | 0.989 | 0.984 | |
| Freundlich | qe | 0.679 | 0.805 |
| 0.762 | 0.762 | ||
| R2 | 0.973 | 0.9691 | |
| Pseudo-first-order | qe | 23.679 | 3.898 |
| K1 | 2.317 | 0.204 | |
| R2 | 0.758 | 0.540 | |
| Pseudo-second-order | qe | 23.573 | 34.21 |
| K2 | 4.253 | 0.379 | |
| R2 | 0.771 | 0.998 |
| Model | MSE | RMSE | MAD | MAPE | |
|---|---|---|---|---|---|
| Langmuir | Nonlinear | 0.598 | 0.774 | 0.634 | 0.066 |
| Linear | 0.855 | 0.925 | 0.702 | 0.053 | |
| Feundlich | Nonlinear | 1.486 | 1.219 | 1.125 | 0.109 |
| Linear | 149 | 12.2 | 11.2 | 0.675 | |
| Pseudo-first-order | Nonlinear | 0.187 | 0.432 | 0.286 | 0.012 |
| Linear | 336 | 18.33 | 16.73 | 0.727 | |
| Pseudo-second-order | Nonlinear | 0.177 | 0.421 | 0.279 | 0.012 |
| Linear | 55.6 | 7.462 | 3.570 | 0.165 |
Publisher’s Note: MDPI stays neutral with regard to jurisdictional claims in published maps and institutional affiliations. |
© 2021 by the authors. Licensee MDPI, Basel, Switzerland. This article is an open access article distributed under the terms and conditions of the Creative Commons Attribution (CC BY) license (https://creativecommons.org/licenses/by/4.0/).
Share and Cite
Altowayti, W.A.H.; Othman, N.; Al-Gheethi, A.; Dzahir, N.H.b.M.; Asharuddin, S.M.; Alshalif, A.F.; Nasser, I.M.; Tajarudin, H.A.; AL-Towayti, F.A.H. Adsorption of Zn2+ from Synthetic Wastewater Using Dried Watermelon Rind (D-WMR): An Overview of Nonlinear and Linear Regression and Error Analysis. Molecules 2021, 26, 6176. https://doi.org/10.3390/molecules26206176
Altowayti WAH, Othman N, Al-Gheethi A, Dzahir NHbM, Asharuddin SM, Alshalif AF, Nasser IM, Tajarudin HA, AL-Towayti FAH. Adsorption of Zn2+ from Synthetic Wastewater Using Dried Watermelon Rind (D-WMR): An Overview of Nonlinear and Linear Regression and Error Analysis. Molecules. 2021; 26(20):6176. https://doi.org/10.3390/molecules26206176
Chicago/Turabian StyleAltowayti, Wahid Ali Hamood, Norzila Othman, Adel Al-Gheethi, Nur Hasniza binti Mohd Dzahir, Syazwani Mohd Asharuddin, Abdullah Faisal Alshalif, Ibrahim Mohammed Nasser, Husnul Azan Tajarudin, and Faris Ali Hamood AL-Towayti. 2021. "Adsorption of Zn2+ from Synthetic Wastewater Using Dried Watermelon Rind (D-WMR): An Overview of Nonlinear and Linear Regression and Error Analysis" Molecules 26, no. 20: 6176. https://doi.org/10.3390/molecules26206176
APA StyleAltowayti, W. A. H., Othman, N., Al-Gheethi, A., Dzahir, N. H. b. M., Asharuddin, S. M., Alshalif, A. F., Nasser, I. M., Tajarudin, H. A., & AL-Towayti, F. A. H. (2021). Adsorption of Zn2+ from Synthetic Wastewater Using Dried Watermelon Rind (D-WMR): An Overview of Nonlinear and Linear Regression and Error Analysis. Molecules, 26(20), 6176. https://doi.org/10.3390/molecules26206176

