Abstract
The recently discovered [4+1]-spirocyclization of nitroalkenes to indoles provided a convenient new approach to 2-(1H-indol-2-yl)acetonitriles. However, this reaction was complicated by the formation of inert 3-(2-nitroethyl)-1H-indole byproducts. Herein, we offer a workaround this problem that allows for effective transformation of the unwanted byproducts into acetonitrile target molecules.
1. Introduction
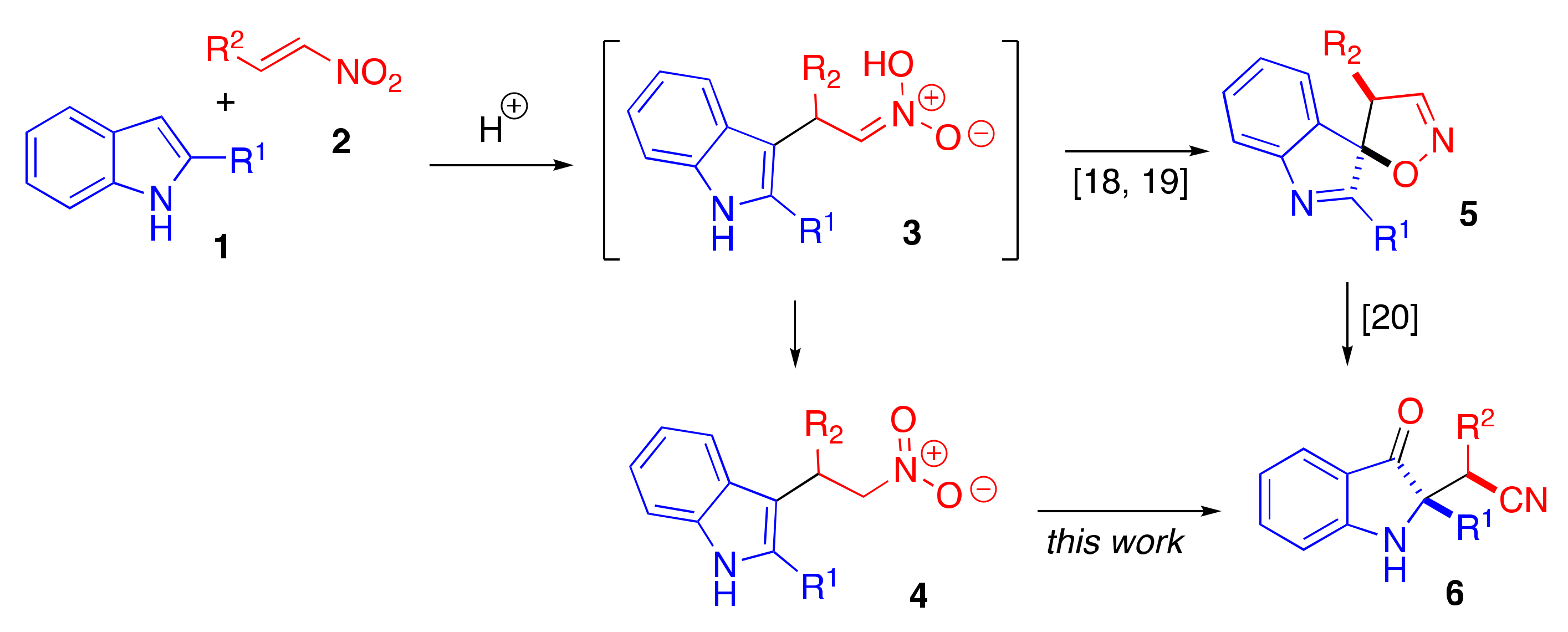
Derivatives of 1H-indole-2-acetic acid are common, naturally occurring indoline alkaloids with important bioactivities [1,2,3,4,5,6,7,8,9,10]. These compounds were used as key intermediates in total syntheses of several natural products and nonnatural pharmaceutical agents [11,12,13,14,15,16,17]. Thus, synthetic methods for selective preparation of these 1H-indole derivatives remain the focus of many research groups. Recently, we reported an unusual, acid-assisted [4+1]-cycloaddition of indoles 1 with nitroalkenes 2 that provides 4′H-spiro[indole-3,5′-isoxazoles] 5 in a diastereomerically pure form (Scheme 1) [18,19]. It was confirmed that this spirocyclization occurs via nitronate intermediate 3. This species, however, was susceptible to a facile isomerization into more thermodynamically stable nitroalkane 4, which proved to be inert under the reaction conditions. It was also shown that spiroheterocycles 5 underwent a diastereoselective rearrangement to afford nitriles 6 (Scheme 1) [20]. A shortcut approach involving the formation of nitriles directly from 1 and 2 was also demonstrated. However, nitroalkanes 4 were unproductive in this reaction, which lowered the overall yield in this cascade transformation. Herein, we disclose a new method for an efficient activation of 4 toward spirocyclization, which allowed for a straightforward access to nitriles 6. It should be noted that multiple methods for direct reductive conversion of nitroalkanes into nitriles have been reported [21,22,23,24,25,26,27,28,29]; however, the transformation described in this work is not mechanistically related to any of the known processes.
Scheme 1.
[4+1]-Spirocyclization of nitroalkenes and nitriles and subsequent rearrangements.
2. Results and Discussion
We have previously reported that generation of the key 4′H-spiro[indole-3,5′-isoxazole] 5 [18,19] takes place under acidic conditions, while isomerization of the latter into nitrile 6 occurs in the presence of weak bases [20]. Arguably, activation of nitroalkane 4 toward the desired transformation requires generation of nitronic acid 3 (also known as aci-form), which occurs in a basic medium [18]. To test this idea, nitroalkane 4ba was refluxed in benzene in the presence of several carboxylic acids/triethylamine combinations (Table 1, entries 1,2). None of these trials enabled the desired reaction leaving starting material 4ba intact. A stronger Bronsted acid, such as triflic acid, was also tested under these conditions but only led to rapid decomposition of the organic material.
Table 1.
Optimization of the reaction conditions for a direct conversion of 3-(2-nitroethyl)-1H-indole 4ba into 2-(1H-indol-2-yl)acetonitrile 6ba.
At room temperature, however, traces of product 6ba were detected by GC/MS (entry 3). It became evident from these experiments that nitronate species 3, once generated, immediately tautomerized back into a more stable and inert nitroalkane 4. We envisioned that this issue could potentially be addressed by in situ acylation of the nitronate. Accordingly, the acidic reagent was replaced with acetyl or benzoyl chloride, but both these tests resulted in no reaction (Table 1, entries 4,5). Phosphorus trichloride and trimethylphosphite were also probed, as they were previously shown to promote the spirocyclization step. However, both allowed for only trace amounts of 6ba (entries 6,7). In contrast, thionyl chloride gave moderate to fair yields with most amine additives tested (entries 8–11). Encouraged by these results, we further explored an in situ phosphorylation of nitronate species with POCl3. The use of two equivalents of POCl3 and excess triethylamine in boiling benzene gave rise to 53% yield of 6ba (entry 12). Employment of a large excess POCl3 with 2.0 equiv. of base resulted in a notable yield reduction (entry 13). Finally, a reaction performed in benzene at room temperature afforded 6ba as a sole isolable product (entry 14). This reaction was repeated in a preparative scale and, after isolation and purification, afforded the target nitrile in 72% yield. Further optimization attempts were unproductive and led to a decreased product yield (entries 15–20).
With optimized conditions in hand, we proceeded with synthesis of a small, focused library of analogs and also performed a scope and limitations studies. Starting nitroalkanes 4 were routinely prepared in high yields via electrophilic alkylation of indoles 1 with nitroalkenes 2 in boiling acetic acid. Isolated and purified 4 were then subjected to the reaction with POCl3 and NEt3 in benzene at room temperature. The results are summarized in Scheme 2. The standard reaction conditions afforded meaningful preparative yields across a large spectrum of substrates. Most substituents and functional groups tested (Alk, OAlk, Hal, NMe2) were well tolerated. Expectedly, lower yields were obtained for N-substituted indoles (4ja,4ka), because these reactions proceed via a less stable, charged N-methyliminium species 10 (Scheme 3 vide infra) [20]. Product 6bj bearing a bulky and acid-sensitive 3,5-dimethyl-1H-pyrazolyl moiety was also formed in a notably lower yield (Scheme 2). The 2-(1H-indol-2-yl)acetonitrile core was unambiguously confirmed by a single crystal X-ray diffraction of product 6ia (Figure 1).
Scheme 2.
Preparation of 3-(2-nitroethyl)-1H-indoles 4 and their subsequent conversion into 2-(1H-indol-2-yl)acetonitriles 6.
Scheme 3.
Proposed mechanistic rationale for the featured transformation of 3-(2-nitroethyl)-1H-indoles into 2-(1H-indol-2-yl)acetonitriles.
Figure 1.
ORTEP drawing of X-Ray structures of 2-(5-isopropyl-3-oxo-2-phenylindolin-2-yl)-2-phenylacetonitrile (6ia, CCDC #2109943). The thermal ellipsoids are shown at 50% probability. See Supplementary Meterials (S115–S122) for details.
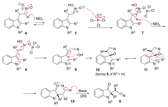
A mechanistic rationale of the reported transformation is summarized in Scheme 3. Initially, a base-assisted tautomerization of nitroalkane 4 affords nitronic acid species 3, which subsequently with phosphoryl chloride giving rise to phosphorylated nitronate 7. Next, deprotonation at the adjacent carbon produces enamine species 8. Subsequent elimination of the phosphoryl moiety affords oxime 9, which, once formed, undergoes a 5-endo-trig cyclization to provide a spirocyclic iminium species 10, which was described in our previous report [18] (Scheme 3). If R3 = H, a deprotonation may occur, leading to a more stable imine form 5, as shown in Scheme 1 (vide supra). Finally, a base-assisted ring cleavage [20] furnishes nitrile 6. This transformation involves rearrangement 10 (also shown in Scheme 3 in aminocarbenium resonance form 11) to afford dihydrooxazinium species 12. Finally, deprotonation at C-3 accompanied by cleavage of the N-O bond furnished nitrile 6 (Scheme 3). It should be pointed out that the spirocyclic intermediate 5 was successfully isolated from a reaction of 4ba, which was quenched at the early stage of product formation. When resubjected to the standard reaction conditions, isolated 5 provided nitrile 6ba as a sole product in high yield.
3. Conclusions
An efficient protocol for activation of 3-(2-nitroethyl)-1H-indoles 4 toward spirocyclization and subsequent rearrangement into 2-(1H-indol-2-yl)acetonitriles 6 was developed. It was proposed that the activation mechanism involves stabilization of the reactive nitronate tautomeric species in the form of phosphorylated mixed anhydride 7 produced upon interaction of otherwise nonreactive nitroalkane 4 with phosphoryl chloride in the presence of base. This methodology was employed to synthesize a small, focused library of nitriles. Investigation of biological activity of these new 2-(1H-indol-2-yl)acetonitriles is currently under way in our laboratories.
4. Experimental Part
General
NMR spectra 1H and 13C were measured in solutions of CDCl3 or DMSO-d6 on Bruker AVANCE-III HD instrument (at 400.40 or 100.61 MHz, respectively). HRMS spectra were measured in MeCN solutions on Bruker maXis impact (electrospray ionization, employing HCO2Na–HCO2H for calibration). See Supplementary Materials for NMR (S2–S97) and HRMS (S98–S114) spectral charts. IR spectra was measured on FT-IR spectrometer Shimadzu IRAffinity-1S equipped with an ATR sampling module. Reaction progress, purity of isolated compounds, and Rf values were assessed by TLC on Silufol UV-254 plates. Column chromatography was performed on silica gel (32–63 μm, 60 Å pore size). Melting points were measured on Stuart SMP30 apparatus. All reagents and solvents were purchased from commercial vendors and used as received.
Preparation of 3-(2-nitroethyl)-1H-indoles 4 (general procedure): A 5-mL round-bottom flask was charged with indole 1 (2.0 mmol), β-nitrostyrene 2 (2.1 mmol), acetic acid (10 μL) and ethanol (1 mL). The mixture was refluxed for 2–8 h, while the reaction progress was monitored by TLC. After complete consumption of the starting material, the mixture was cooled down to room temperature, and the resulting precipitate was collected by filtration. Alternatively, the reaction mixture was concentrated in vacuo, and the residue was purified by preparative column chromatography (eluent EtOAc/Hex 1:4).
3-(1-(2-Methoxyphenyl)-2-nitroethyl)-2-methyl-1H-indole (4ad): bright yellow solid, mp (EtOH) 145.3–146.7 °C (Literature data: mp 128–129 °C [30]) Rf 0.38 (EtOAc/Hex, 1:4). Yield: 521 mg (1.68 mmol, 84%). 1H NMR (400 MHz, Chloroform-d) δ 7.85 (s, 1H), 7.57–7.51 (m, 1H), 7.36–7.30 (m, 1H), 7.30–7.19 (m, 2H), 7.15–7.03 (m, 2H), 6.92–6.84 (m, 2H), 5.49–5.42 (m, 1H), 5.27–5.19 (m, 1H), 5.16–5.08 (m, 1H), 3.88 (s, 3H), 2.46–2.39 (m, 3H). 13C NMR (101 MHz, Chloroform-d) δ 157.0, 135.5, 133.4, 128.6, 128.5, 127.54, 127.47, 121.2, 120.7, 119.7, 119.1, 110.8, 110.7, 108.2, 77.7, 55.5, 35.8, 12.2. IR, vmax/cm−1: 3451, 2998, 1549, 1253, 1024, 737. HRMS (ES TOF) calculated for (M + Na)+ C18H18N2NaO3 333.1210, found 333.1205 (1.5 ppm).
3-(2-Nitro-1-phenylethyl)-2-phenyl-1H-indole (4ba): colorless solid, mp (EtOH) 142–143.2 °C (Literature data: mp 142.2–143.4 °C [18]), Rf 0.63 (EtOAc/Hex, 1:4). Yield: 657 mg (1.92 mmol, 96%). 1H NMR (400 MHz, DMSO-d6) δ 11.46 (s, 1H), 7.66 (d, J = 8.1 Hz, 1H), 7.54 (d, J = 3.5 Hz, 4H), 7.46 (m, J = 6.6, 3.2 Hz, 1H), 7.38 (d, J = 8.1 Hz, 1H), 7.34–7.26 (m, 4H), 7.21 (t, J = 6.8 Hz, 1H), 7.11 (t, J = 7.6 Hz, 1H), 6.98 (t, J = 7.5 Hz, 1H), 5.59–5.41 (m, 2H), 5.21 (t, J = 8.2 Hz, 1H). 13C NMR (101 MHz, DMSO-d6) δ 140.3, 136.6, 136.3, 132.4, 128.9 (2C), 128.74 (2C), 128.69 (2C), 128.2, 127.3 (2C), 126.8, 126.3, 121.6, 120.0, 119.3, 111.7, 108.7, 78.2, 40.3. IR, vmax/cm−1: 3417, 3046, 1747, 1699, 1684, 1504, 1489, 1376, 1243. HRMS (ES TOF) calculated for (M + Na)+ C22H18N2NaO2 365.1260, found 365.1253 (2.1 ppm).
3-(2-Nitro-1-(p-tolyl)ethyl)-2-phenyl-1H-indole (4bb): colorless solid, mp (EtOH) 159.8–161.4 °C (Literature data: mp 158–160 °C [31]), Rf 0.48 (EtOAc/Hex, 1:4). Yield: 606 mg (1.7 mmol, 85%). 1H NMR (400 MHz, Chloroform-d) 8.15 (s, 1H), 7.54 (d, J = 8.0 Hz, 1H), 7.50–7.35 (m, 6H), 7.27–7.18 (m, 3H), 7.15–7.06 (m, 3H), 5.29 (t, J = 8.0 Hz, 1H), 5.21–5.07 (m, 2H), 2.32 (s, 3H).13C NMR (101 MHz, Chloroform-d) δ 137.3, 137.27, 137.2, 136.5, 132.6, 130.0 (2C), 129.4 (2C), 129.2 (2C), 129.0, 127.8 (2C), 127.5, 122.9, 120.7, 120.5, 111.8, 110.1, 79.6, 40.9, 21.5. IR, vmax/cm−1: 3403, 1545, 1511, 1455, 1427, 1378, 1243, 1188, 1067, 1022. HRMS (ES TOF) calculated for (M + Na)+ C23H20N2NaO2 379.1417, found 379.1418 (−0.2 ppm).
3-(1-(4-Isopropylphenyl)-2-nitroethyl)-2-phenyl-1H-indole (4bc): yellowish solid, mp (EtOH) 71.1–72.6 °C, Rf 0.63 (EtOAc/Hex, 1:4). Yield: 515 mg (1.34 mmol, 67%). 1H NMR (400 MHz, DMSOd6) δ 11.44 (s, 1H), 7.68 (d, J = 7.9 Hz, 1H), 7.56–7.53 (m, 4H), 7.46 (m, J = 8.6, 6.2, 2.6 Hz, 1H), 7.38 (d, J = 8.1 Hz, 1H), 7.23 (d, J = 8.3 Hz, 2H), 7.15 (d, J = 8.3 Hz, 2H), 7.11 (m, J = 8.1, 7.6, 1.1 Hz, 1H), 6.98 (ddd, J = 8.1, 7.0, 1.1 Hz, 1H), 5.57–5.39 (m, 2H), 5.18 (dd, J = 9.0, 7.5 Hz, 1H), 2.81 (p, J = 6.9 Hz, 1H), 1.14 (dd, J = 6.9, 0.8 Hz, 6H). 13C NMR (101 MHz, Chloroform-d) δ 146.8, 137.6, 136.5, 136.2, 132. 4, 128.8 (2C), 128.7 (2C), 128.2, 127.2 (2C), 126.6 (2C), 126.3, 121.5, 120.1, 119.3, 111.7, 108.8, 78.3, 40.0, 33.0, 23.84, 23.82. IR, vmax/cm−1: 2964, 2872, 1740, 1653, 1455, 1373, 1308, 1246, 1045. HRMS (ES TOF) calculated for (M + Na)+ C25H24N2NaO2 407.1730, found 407.1718 (3.0 ppm).
3-(1-(2-Methoxyphenyl)-2-nitroethyl)-2-phenyl-1H-indole (4bd): pale yellow solid, mp (EtOH) 195.2–197.9 °C, Rf 0.44 (EtOAc/Hex, 1:3). Yield: 446 mg (1.2 mmol, 60%). 1H NMR (400 MHz, Chloroform-d) δ 8.15 (s, 1H), 7.66 (d, J = 7.9 Hz, 1H), 7.48–7.42 (m, 4H), 7.42–7.34 (m, 3H), 7.29–7.20 (m, 2H), 7.18–7.13 (m, 1H), 6.93–6.82 (m, 2H), 5.62 (dd, J = 8.9, 6.5 Hz, 1H), 5.18 (d, J = 1.3 Hz, 1H), 5.16 (d, J = 3.6 Hz, 1H), 3.78 (s, 3H). 13C NMR (101 MHz, Chloroform-d) δ 156.9, 137.2, 136.2, 132.7, 129.3, 128.9 (2C), 128.8 (2C), 128.7, 128.5, 127.84, 127.76, 122.4, 120.8, 120.4, 120.3, 111.5, 110.6, 109.2, 77.7, 55.4, 36.3. IR, vmax/cm−1: 3408, 2935, 1547, 1238, 1026, 744. HRMS (ES TOF) calculated for (M + Na)+ C23H20N2NaO3 395.1366, found 395.1351 (3.7 ppm).
3-(1-(4-Methoxyphenyl)-2-nitroethyl)-2-phenyl-1H-indole (4be): colorless solid, mp (EtOH) 145.0–147.1 °C (Literature data: mp 156–157 °C [32]) Rf 0.37 (EtOAc/Hex, 1:4). Yield: 632 mg (1.7 mmol, 85%). 1H NMR (400 MHz, Chloroform-d) δ 8.19 (br. s, 1H), 7.57 (d, J = 8.0 Hz, 1H), 7.53–7.38 (m, 6H), 7.33–7.21 (m, 3H), 7.15 (t, J = 7.6 Hz, 1H), 6.89–6.82 (m, 2H), 5.30 (t, J = 7.9 Hz, 1H), 5.21–5.09 (m, 2H), 3.80 (s, 3H). 13C NMR (101 MHz, Chloroform-d) δ 158.7, 137.0, 136.2, 132.3, 132.0, 129.1 (2C), 128.9 (2C), 128.72, 128.70 (2C), 127.1, 122.6, 120.4, 120.1, 114.3 (2C), 111.5, 109.9, 79.5, 55.4, 40.3. IR, vmax/cm−1: 3388, 3055, 2959, 1609, 1539, 1513, 1462, 1428, 1378, 1241, 1183. HRMS (ES TOF) calculated for (M + Na)+ C23H20N2NaO3 395.1366, found 395.1356 (2.7 ppm).
3-(1-(2-Fluorophenyl)-2-nitroethyl)-2-phenyl-1H-indole (4bf): colorless solid, mp (EtOH) 154.2–157.4 °C, Rf 0.45 (EtOAc/Hex, 1:4). Yield: 598 mg (1.66 mmol, 83%). 1H NMR (400 MHz, Chloroform-d) δ 8.17 (s, 1H), 7.59 (d, J = 8.0 Hz, 1H), 7.44–7.37 (m, 7H), 7.26–7.17 (m, 2H), 7.13 (t, J = 7.5 Hz, 1H), 7.10–6.97 (m, 2H), 5.55 (t, J = 8.0 Hz, 1H), 5.26–5.03 (m, 2H).13C NMR (101 MHz, Chloroform-d) δ 160.5 (d, J = 246.7 Hz), 137.3, 136.0, 132.1, 129.5 (d, J = 3.7 Hz), 129.2 (d, J = 8.4 Hz), 129.0 (2C), 128.8 (2C), 128.7, 127.1, 126.4 (d, J = 13.8 Hz), 124.5 (d, J = 3.6 Hz), 122.5, 120.4, 119.8, 115.9 (d, J = 22.2 Hz), 111.5, 107.9, 77.3 (d, J = 2.8 Hz), 35.6 (d, J = 1.9 Hz). IR, vmax/cm−1: 3408, 1552, 1482, 1460, 1431, 1378, 1316, 1096. HRMS (ES TOF) calculated for (M + Na)+ C22H17FN2NaO2 383.1166, found 383.1168 (−0.5 ppm).
3-(1-(4-Fluorophenyl)-2-nitroethyl)-2-phenyl-1H-indole (4bg): colorless solid, mp (EtOH) 145.0–147.1 °C, Rf 0.46 (EtOAc/Hex, 1:4). Yield: 655 mg (1.82 mmol, 91%). 1H NMR (400 MHz, Chloroform-d) δ 8.19 (s, 1H), 7.60–7.38 (m, 7H), 7.34–7.21 (m, 3H), 7.14 (t, J = 7.5 Hz, 1H), 6.99 (t, J = 8.5 Hz, 2H), 5.30 (t, J = 7.9 Hz, 1H), 5.23–5.03 (m, 2H). 13C NMR (101 MHz, Chloroform-d) δ 162.0 (d, J = 246.3 Hz), 137.1, 136.1, 135.8 (d, J = 3.3 Hz), 132.2, 129.2 (d, J = 8.0 Hz, 2C), 129.2 (2C), 128.9 (3C), 127.0, 122.7, 120.6, 119.9, 115.9 (d, J = 21.5 Hz, 2C), 111.6, 109.5, 79.2, 40.3. IR, vmax/cm−1: 3397, 3046, 1549, 1501, 1455, 1428, 1378, 1320, 1245, 1219. HRMS (ES TOF) calculated for (M + Na)+ C22H17FN2NaO2 383.1166, found 383.1174 (-2.1 ppm).
3-(1-(4-Chlorophenyl)-2-nitroethyl)-2-phenyl-1H-indole (4bh): colorless solid, mp (EtOH) 145.6–147.1 °C (Literature data: mp 118–123.2 °C [20]), Rf 0.49 (EtOAc/Hex, 1:4). Yield: 632 mg (1.68 mmol, 84%).1H NMR (400 MHz, Chloroform-d) δ 8.22 (s, 1H), 7.55–7.39 (m, 7H), 7.34–7.24 (m, 5H), 7.21–7.14 (m, 1H), 5.32 (t, J = 7.9 Hz, 1H), 5.23–5.03 (m, 2H). 13C NMR (101 MHz, Chloroform-d) δ 138.5, 137.2, 136.1, 133.2, 132.1, 129.1 (4C), 129.0 (2C), 128.9, 128.8 (2C), 126.9, 122.7, 120.6, 119.8, 111.7, 109.1, 79.0, 40.4. IR, vmax/cm−1: 3397, 3041, 1681, 1546, 1487, 1393, 1306, 1250, 1204. HRMS (ES TOF) calculated for (M + Na)+ C22H17ClN2NaO2 399.0871, found 399.0875 (-1.2 ppm).
N,N-Dimethyl-4-(2-nitro-1-(2-phenyl-1H-indol-3-yl)ethyl)aniline (4bi): red solid, mp (EtOH) 78.6–80.9 °C, Rf 0.34 (EtOAc/Hex, 1:4). Yield: 724 mg (1.88 mmol, 94%). 1H NMR (400 MHz, Chloroform-d) δ 8.15 (s, 1H), 7.58 (d, J = 8.1 Hz, 1H), 7.48–7.45 (m, 4H), 7.44–7.41 (m, 1H), 7.39 (d, J = 8.1 Hz, 1H), 7.25–7.16 (m, 3H), 7.16–7.07 (m, 1H), 6.66 (d, J = 8.9 Hz, 2H), 5.23 (t, J = 7.9 Hz, 1H), 5.12 (d, J = 7.3 Hz, 2H), 2.91 (s, 6H). 13C NMR (101 MHz, Chloroform-d) δ 149.7, 136.9, 136.2, 132.5, 129.0 (2C), 128.9 (2C), 128.6, 128.4 (2C), 127.5, 127.3, 122.5, 120.4, 120.3, 112.9 (2C), 111.4, 110.2, 79.7, 40.7 (2C), 40.3. IR, vmax/cm−1: 2921, 1740, 1720, 1614, 1523, 1460, 1241, 1169, 1053. HRMS (ES TOF) calculated for (M + H)+ C24H24N3O2 386.1863, found 386.1855 (2.0 ppm).
3-(1-(3,5-Dimethyl-1H-pyrazol-4-yl)-2-nitroethyl)-2-phenyl-1H-indole (4bj): reddish amorphous, mp 90.5–97.5 °C (Literature data: mp 96–101 °C [33]), Rf 0.28 (EtOAc/Hex, 1:4). Yield: 426 mg (1.18 mmol, 59%). 1H NMR (400 MHz, Acetone-d6) δ 10.64 (s, 1H), 7.74 (d, J = 8.1 Hz, 1H), 7.59–7.41 (m, 6H), 7.16 (ddd, J = 8.1, 7.1, 1.1 Hz, 1H), 7.09 (ddd, J = 8.1, 7.1, 1.1 Hz, 1H), 5.50–5.38 (m, 1H), 5.35–5.24 (m, 2H), 2.03 (s, 6H). 13C NMR (101 MHz, Acetone d6) δ 142.2 (2C), 137.2, 137,0, 133.8, 129.6 (2C), 129.3 (2C), 128.7, 128.0, 122.3, 120.6, 120.0, 114.1, 112.1, 109.9, 78.7, 33.6, 11.9 (2C). IR, vmax/cm−1: 3398, 1549, 1455, 1424, 1378, 1311, 1159, 1072. HRMS (ES TOF) calculated for (M + H)+ C21H21N4O2 361.1659, found 361.1656 (0.9 ppm).
3-(2-Nitro-1-phenylethyl)-2-(p-tolyl)-1H-indole (4ca): colorless solid, mp (EtOH) 151.0–152.5 °C, Rf 0.49 (EtOAc/Hex, 1:4). Yield: 528 mg (1.48 mmol, 74%). 1H NMR (400 MHz, Chloroform-d) δ 8.16 (s, 1H), 7.54 (d, J = 8.0 Hz, 1H), 7.46–7.19 (m, 11H), 7.14 (t, J = 7.6 Hz, 1H), 5.35 (t, J = 7.9 Hz, 1H), 5.25–5.11 (m, 2H), 2.45 (s, 3H). 13C NMR (101 MHz, Chloroform-d) δ 140.0, 138.7, 137.1, 136.0, 129.7 (2C), 129.2, 128.9 (2C), 128.7 (2C), 127.5 (2C), 127.2, 127.1, 122.4, 120.2, 119.9, 111.3, 109.3, 79.1, 40.8, 21.4. IR, vmax/cm−1: 3422, 3051, 2925, 1545, 1489, 1453, 1426, 1364, 1303, 1248, 1166. HRMS (ES TOF) calculated for (M + Na)+ C23H20N2NaO2 379.1417, found 379.1419 (-0.4 ppm).
2-(3,5-Dimethylphenyl)-3-(2-nitro-1-phenylethyl)-1H-indole (4da): yellow solid, mp (EtOH) 68,5–70,4 °C, Rf 0.35 (EtOAc/Hex, 1:4). Yield: 690 mg (1.86 mmol, 93%). 1H NMR (400 MHz, Chloroform-d) δ 8.17 (s, 1H), 7.57 (d, J = 8.1 Hz, 1H), 7.44–7.38 (m, 3H), 7.35 (t, J = 7.3 Hz, 2H), 7.30 (s, 1H), 7.27 (s, 2H), 7.25–7.21 (m, 2H), 7.15 (t, J = 8.2 Hz, 1H), 5.38 (t, J = 7.9 Hz, 1H), 5.25 (dd, J = 12.5, 7.6 Hz, 1H), 5.16 (dd, J = 12.4, 8.3 Hz, 1H), 2.36 (d, J = 11.4 Hz, 6H). 13C NMR (101 MHz, Chloroform-d) δ 140.3, 137.43, 137.40, 137.3, 136.0, 130.3, 130.0, 129.7, 129.0 (2C), 127.6 (2C), 127.27, 127.25, 126.2, 122.4, 120.3, 119.9, 111.4, 109.4, 79.2, 41.0, 20.0, 19.8. IR, vmax/cm−1: 3412, 2926, 1552, 1458, 1376, 1311, 1017. HRMS (ES TOF) calculated for (M + Na)+ C24H22N2NaO2 393.1571, found 393.1573 (0.6 ppm).
2-(4-Methoxyphenyl)-3-(2-nitro-1-phenylethyl)-1H-indole (4ea): colorless solid, mp (EtOH) 139.9–142.1 °C, Rf 0.34 (EtOAc/Hex, 1:4). Yield: 640 mg (1.72 mmol, 86%). 1H NMR (400 MHz, Chloroform-d) δ 8.11 (s, 1H), 7.52 (dd, J = 8.0, 1.0 Hz, 1H), 7.41–7.28 (m, 7H), 7.26–7.18 (m, 2H), 7.11 (ddd, J = 8.1, 7.1, 1.1 Hz, 1H), 7.03–6.96 (m, 2H), 5.32–5.27 (m, 1H), 5.22–5.08 (m, 2H), 3.87 (s, 3H). 13C NMR (101 MHz, Chloroform-d) δ 160.00, 140.12, 137.03, 136.00, 130.2 (2C), 129.0 (2C), 127.6 (2C), 127.29, 127.20, 124.61, 122.36, 120.34, 119.89, 114.5 (2C), 111.40, 109.21, 79.24, 55.51, 40.99. IR, vmax/cm−1: 3402, 3041, 1607, 1546, 1501, 1460, 1441, 1371,1243, 1178. HRMS (ES TOF) calculated for (M + Na)+ C23H20N2NaO3 395.1366, found 395.1355 (2.9 ppm).
2-(4-Methoxyphenyl)-3-(1-(4-methoxyphenyl)-2-nitroethyl)-1H-indole (4ee): colorless solid, mp (EtOH) 145,6–146,9 °C Rf 0.15 (EtOAc/Hex, 1:4). Yield: 640 mg (1.6 mmol, 80%). 1H NMR (400 MHz, Chloroform-d) δ 8.12 (s, 1H), 7.54 (d, J = 7.9 Hz, 1H), 7.38 (m, J = 7.4 Hz, 3H), 7.28 (d, J = 3.2 Hz, 2H), 7.22 (m, J = 7.6 Hz, 1H), 7.13 (m, J = 7.6 Hz, 1H), 6.99 (d, J = 8.8 Hz, 2H), 6.84 (d, J = 8.8 Hz, 2H), 5.24 (m, J = 7.9 Hz, 1H), 5.19–5.07 (m, 2H), 3.88 (s, 3H), 3.79 (s, 3H). 13C NMR (101 MHz, Chloroform-d) δ 160.0, 158.7, 136.9, 136.0, 132.2, 130.2 (2C), 128.7 (2C), 127.2, 124.7, 122.3, 120.3, 119.9, 114.5 (2C), 114.3 (2C), 111.4, 109.4, 79.5, 55.5, 55.4, 40.4. IR, vmax/cm−1: 3403, 1552, 1508, 1458, 1376, 1345, 1284, 1243, 1176. HRMS (ES TOF) calculated for (M + Na)+ C24H22N2NaO4 425.1463, found 425.1472 (2.1 ppm).
2-(4-Methoxy-3-methylphenyl)-3-(1-(2-methoxyphenyl)-2-nitroethyl)-1H-indole (4fd): yellow solid, mp (EtOH) 151.5–153.4 °C, Rf 0.50 (EtOAc/Hex, 1:4). Yield: 599 mg (1.44 mmol, 72%). 1H NMR (400 MHz, Chloroform-d) δ 8.09 (s, 1H), 7.64 (d, J = 8.0 Hz, 1H), 7.42–7.33 (m, 2H), 7.28–7.16 (m, 4H), 7.15–7.10 (m, 1H), 6.93–6.82 (m, 3H), 5.59 (t, J = 7.8 Hz, 1H), 5.14 (d, J = 7.8 Hz, 2H), 3.87 (s, 3H), 3.82 (s, 3H), 2.22 (s, 3H). 13C NMR (101 MHz, Chloroform-d) δ 158.0, 156.8, 137.4, 136.0, 131.0, 129.4, 128.7, 128.0, 127.3, 127.1, 124.5, 122.0, 120.8, 120.2 (2C), 111.3, 110.6, 110.1, 108.4, 77.7, 77.4, 55.5, 55.4, 36.4, 16.5. IR, vmax/cm−1: 3408, 2834, 1552, 1385, 1243, 1026, 769. HRMS (ES TOF) calculated for (M + Na)+ C25H24N2NaO4 439.1628, found 439.1622 (1.5 ppm).
2-(4-Fluorophenyl)-3-(2-nitro-1-phenylethyl)-1H-indole (4ga): colorless powder, mp 185–187 °C, Rf 0.25 (EtOAc/Hex 1:8). Yield: 562 mg (1.56 mmol, 78 %). 1H NMR (400 MHz, DMSO-d6) δ 11.48 (s, 1H), 7.64 (d, J = 8.0 Hz, 1H), 7.60–7.51 (m, 2H), 7.46–7.35 (m, 3H), 7.35–7.25 (m, 4H), 7.25–7.17 (m, 1H), 7.16–7.04 (m, 1H), 6.98 (t, J = 7.6 Hz, 1H), 5.55 (dd, J = 13.2, 7.4 Hz, 1H), 5.44 (dd, J = 13.2, 9.1 Hz, 1H), 5.15 (t, J = 8.2 Hz, 1H). 13C NMR (101 MHz, DMSO-d6) δ 162.1 (d, J = 245.5 Hz), 140.2, 136.2, 135.7, 130.9 (d, J = 8.3 Hz, 2C), 128.9 (d, J = 3.1 Hz), 128.8 (2C), 127.35 (2C), 126.9, 126.2, 121.7, 120.0, 119.4, 115.9 (d, J = 21.6 Hz, 2C), 111.7, 108.8, 78.2, 40.3. IR, vmax/cm–1: 3417, 3060, 1901, 1655, 1544, 1452, 1375, 1214, 1161, 1026, 836. HRMS (ES TOF) calculated for (M + Na)+ C22H17FN2NaO2 383.1164, found 383.1166 (0.6 ppm).
2-(2,3-Dihydrobenzo[b][1,4]dioxin-6-yl)-3-(2-nitro-1-phenylethyl)-1H-indole (4ha): colorless solid, mp (EtOH) 161.6–163.4 °C, Rf 0.25 (EtOAc/Hex, 1:4). Yield: 696 mg (1.74 mmol, 87%). 1H NMR (400 MHz, DMSO-d6) δ 11.36 (s, 1H), 7.63 (d, J = 7.9 Hz, 1H), 7.35 (d, J = 8.1 Hz, 1H), 7.32–7.26 (m, 4H), 7.20 (m, J = 8.5, 5.7, 2.2 Hz, 1H), 7.09 (m, J = 8.2, 7.0, 1.1 Hz, 1H), 7.05–7.00 (m, 3H), 6.96 (m, J = 8.1, 7.0, 1.1 Hz, 1H), 5.59–5.40 (m, 2H), 5.21 (t, J = 8.3 Hz, 1H), 4.31 (s, 4H). 13C NMR (101 MHz, DMSO-d6) δ 143.6, 143.5, 140.3, 136.2, 136.1, 128.7 (2C), 127.3 (2C), 126.8, 126.4, 125.5, 121.7, 121.4, 119.8, 119.2, 117.5, 117.2, 111.6, 108.0, 78.2, 64.23, 64.18, 40.3. IR, vmax/cm−1: 2993, 2680, 1773, 1718, 1653, 1508, 1458, 1361, 1243. HRMS (ES TOF) calculated for (M + Na)+ C24H20N2NaO4 423.1315, found 423.1302 (3.2 ppm).
2-(2,3-Dihydrobenzo[b][1,4]dioxin-6-yl)-3-(1-(2-methoxyphenyl)-2-nitroethyl)-1H-indole (4hd): bright yellow solid, mp (EtOH) 182.1–183.7 °C, Rf 0.41 (EtOAc/Hex, 1:2). Yield: 636 mg (1.48 mmol, 74%). 1H NMR (400 MHz, Chloroform-d) δ 8.08 (s, 1H), 7.62 (d, J = 8.0 Hz, 1H), 7.39–7.33 (m, 2H), 7.27–7.22 (m, 1H), 7.22–7.17 (m, 1H), 7.14–7.10 (m, 1H), 6.97 (d, J = 1.7 Hz, 1H), 6.92–6.89 (m, 3H), 6.85–6.83 (m, 1H), 5.60 (dd, J = 9.0, 6.5 Hz, 1H), 5.16 (d, J = 2.3 Hz, 1H), 5.14 (d, J = 4.7 Hz, 1H), 4.31–4.26 (m, 4H), 3.83 (s, 3H). 13C NMR (101 MHz, Chloroform-d) δ 156.9, 144.0, 143.8, 136.8, 136.0, 129.3, 128.7, 127.9, 127.8, 125.9, 122.2, 122.0, 120.8, 120.24, 120.22, 117.8, 117.7, 111.4, 110.8, 108.8, 77.7, 64.6, 64.5, 55.5, 36.3. IR, vmax/cm−1: 3427, 1549, 1487, 1431, 1272, 747. HRMS (ES TOF) calculated for (M + Na)+ C25H22N2NaO5 453.1421, found 453.1410 (2.4 ppm).
5-Isopropyl-3-(2-nitro-1-phenylethyl)-2-phenyl-1H-indole (4ia): colorless solid, mp (EtOH) 165.9–166.9 °C, Rf 0.51 (EtOAc/Hex, 1:4). Yield: 602 mg (1.57 mmol, 78%). 1H NMR (400 MHz, Chloroform-d) δ 8.09 (s, 1H), 7.49–7.40 (m, 5H), 7.39–7.26 (m, 6H), 7.28–7.20 (m, 1H), 7.13 (dd, J = 8.3, 1.7 Hz, 1H), 5.32 (t, J = 7.8 Hz, 1H), 5.22 (dd, J = 12.5, 7.8 Hz, 1H), 5.10 (dd, J = 12.5, 7.9 Hz, 1H), 2.97 (h, J = 6.9 Hz, 1H), 1.28 (d, J = 6.9 Hz, 3H), 1.27 (d, J = 6.9 Hz, 3H). 13C NMR (101 MHz, Chloroform-d) δ 141.2, 140.2, 137.1, 134.7, 132.5, 129.1 (2C), 129.0 (2C), 128.9 (2C), 128.7, 127.7 (2C), 127.3, 127.3, 121.7, 117.2, 111.3, 109.7, 79.4, 40.9, 34.4, 24.9, 24.7. IR, vmax/cm−1: 3393, 2949, 1546, 1446, 1386, 1318, 1241. HRMS (ES TOF) calculated for (M + Na)+ C25H24N2NaO2 407.1730, found 407.1728 (0.4 ppm).
1-Methyl-3-(2-nitro-1-phenylethyl)-2-phenyl-1H-indole (4ja): pale cream powder, mp (EtOH) 113–114 °C (Literature data: mp 98–99 °C [34]), Rf 0.42 (EtOAc/Hex 1:8). Yield: 528 mg (1.48 mmol, 74%). 1H NMR (400 MHz, DMSO-d6) δ 7.70 (d, J = 8.0 Hz, 1H), 7.59 7.64–7.53 (m, 3H), 7.49 (d, J = 8.2 Hz, 1H), 7.42 (d, J = 7.1 Hz, 2H), 7.26 (d, J = 5.5 Hz, 4H), 7.22–7.17 (m, 2H), 7.08–7.01 (m, 1H), 5.50 (dd, J = 13.1, 7.6 Hz, 1H), 5.41 (dd, J = 13.1, 9.0 Hz, 1H), 4.93–4.80 (m, 1H), 3.52 (s, 3H). 13C NMR (101 MHz, DMSO-d6) δ 140.2, 138.9, 136.9, 130.8, 130.6 (2C), 128.9, 128.7 (2C), 128.6 (2C), 127.2 (2C), 126.8, 125.1, 121.6, 119.8, 119.6, 110.3, 109.7, 77.9, 40.6, 30.7. IR, vmax/cm–1: 3046, 1740, 1684, 1655, 1559, 1546, 1375, 1248, 1137, 1079, 920. HRMS (ES TOF) calculated for (M + Na)+ C23H20N2NaO2 379.1428, found 379.1417 (−3.0 ppm).
1-Methyl-3-(2-nitro-1-phenylethyl)-2-(p-tolyl)-1H-indole (4ka): colorless solid, mp (EtOH) 142.4–143.3 °C, Rf 0.69 (EtOAc/Hex, 1:4). Yield: 533 mg (1.44 mmol, 72%). 1H NMR (400 MHz, Chloroform-d) δ 7.54 (d, J = 7.9 Hz, 1H), 7.34 (d, J = 8.2 Hz, 1H), 7.29 (d, J = 7.9 Hz, 2H), 7.25 (m, J = 2.1 Hz, 5H), 7.23–7.16 (m, 3H), 7.12 (m, J = 8.1, 7.1, 1.2 Hz, 1H), 5.09 (d, J = 9.2 Hz, 2H), 5.05–5.01 (m, 1H), 3.52 (s, 3H), 2.45 (s, 3H). 13C NMR (101 MHz, Chloroform-d) δ 140.3, 139.9, 138.9, 137.3, 130.7 (2C), 129.4 (2C), 128.8 (2C), 128.2, 127.5 (2C), 127.1, 126.0, 121.9, 119.9, 119.7, 110.0, 109.8, 79.1, 41.3, 30.9, 21.6. IR, vmax/cm−1: 3032, 2974, 1817, 1552, 1366, 1250, 1185, 1140, 1017. HRMS (ES TOF) calculated for (M + Na)+ C24H22N2NaO2 393.1573, found 393.1561 (3.2 ppm).
7-Chloro-3-(2-nitro-1-phenylethyl)-2-phenyl-1H-indole (4la): colorless solid, mp (EtOH) 122.3–124.1 °C, Rf 0.57 (EtOAc/Hex, 1:4). Yield: 430 mg (1.14 mmol, 57%). 1H NMR (400 MHz, Chloroform-d) δ 8.38 (s, 1H), 7.49 (d, J = 3.1 Hz, 5H), 7.44–7.39 (m, 1H), 7.34–7.25 (m, 5H), 7.23 (dd, J = 7.7, 0.8 Hz, 1H), 7.06 (t, J = 7.9 Hz, 1H), 5.31 (dd, J = 8.9, 7.1 Hz, 1H), 5.22–5.08 (m, 2H). 13C NMR (101 MHz, Chloroform-d) δ 139.6, 137.9, 133.4, 131.7, 129.20 (2C), 129.17 (2C), 129.1, 129.0 (2C), 128.4, 127.50 (2C), 127.47, 122.0, 121.3, 118.6, 117.1, 110.7, 79.0, 40.8. IR, vmax/cm−1: 3402, 3046, 1542, 1492, 1443, 1378, 1311, 1248. HRMS (ES TOF) calculated for (M + Na)+ C22H17ClN2NaO2 399.0871, found 399.0862 (2.2 ppm).
Preparation of 2-(1H-indol-2-yl)acetonitriles 6 (general procedure): A 10 mL round bottom flask was charged with indolylnitroethane 4 (1.0 mmol), POCl3 (2.0 mmol, 306 mg, 187 μL), and benzene (5 mL). The mixture was stirred at room temperature for 5 min, and then Et3N (4.0 mmol, 404 mg, 557 μL) was added in one portion. The mixture was stirred for another 30 min, and the reaction progress was monitored by TLC. After complete consumption of the starting material, the mixture was diluted with water (30 mL), extracted with EtOAc (4 × 15 mL), and the combined organic extracts were concentrated in vacuo. The residue was purified by preparative column chromatography eluting with EtOAc/Hex 1:4, to afford pure nitrile 6.
2-(2-Methoxyphenyl)-2-(2-methyl-3-oxoindolin-2-yl)acetonitrile (6ad): yellow solid, mp (EtOH) 145.6–148.9 °C, Rf 0.36 (EtOAc/Hex, 1:2). Yield: 155 mg (0.53 mmol, 53%). 1H NMR (400 MHz, Chloroform-d) δ 7.68 (d, J = 7.8 Hz, 1H), 7.60–7.54 (m, 1H), 7.52–7.46 (m, 1H), 7.41–7.32 (m, 1H), 7.04 (t, J = 7.5 Hz, 1H), 6.98–6.86 (m, 3H), 4.76 (s, 1H), 4.69 (s, 1H), 3.88 (s, 3H), 1.17 (s, 3H). 13C NMR (101 MHz, Chloroform-d) δ 201.5, 160.2, 157.0, 137.9, 130.5, 130.4, 125.5, 121.4, 120.4, 120.2, 120.1, 118.4, 113.0, 111.2, 68.3, 55.8, 37.1, 20.9. IR, vmax/cm−1: 3311, 2839, 2231, 1687, 1487, 1323, 1265, 1034. HRMS (ES TOF) calculated for (M + Na)+ C18H16N2NaO2 315.1104, found 315.1097 (2.3 ppm).
2-(3-Oxo-2-phenylindolin-2-yl)-2-phenylacetonitrile (6ba): yellow solid, mp (EtOH) 197.1–198.2 °C (Literature data: mp 188.4–190.3 °C [20]), Rf 0.15 (Benzene). Yield: 233 mg (0.72 mmol, 72%). 1H NMR (400 MHz, DMSO-d6) δ 8.16 (s, 1H), 7.58–7.52 (m, 3H), 7.46 (d, J = 7.7 Hz, 1H), 7.30 (m, J = 6.5 Hz, 1H), 7.25 (m, J = 7.0, 3.6 Hz, 7H), 7.13 (d, J = 8.3 Hz, 1H), 6.78 (t, J = 7.4 Hz, 1H), 5.29 (s, 1H). 13C NMR (101 MHz, DMSO-d6) δ 198.8, 161.8, 138.2, 134.7, 131.6, 129.4 (2C), 128.42 (2C), 128.36 (2C), 128.28, 126.3 (2C), 124.8, 119.0, 118.7, 117.7, 112.5, 73.2, 43.4. IR, vmax/cm−1: 3359, 2940, 2241, 1699, 1508, 1489, 1323, 1243, 1053. HRMS (ES TOF) calculated for (M + Na)+ C22H16N2NaO 347.1155, found 347.1148 (1.8 ppm).
2-(3-Oxo-2-phenylindolin-2-yl)-2-(p-tolyl)acetonitrile (6bb): yellow solid, mp (EtOH) 178.7–183.9 °C, Rf 0.33 (EtOAc/Hex, 1:4). Yield: 257 mg (0.76 mmol, 76%). 1H NMR (400 MHz, DMSO-d6) δ 8.12 (s, 1H), 7.59–7.50 (m, 3H), 7.45 (d, J = 7.7 Hz, 1H), 7.33–7.21 (m, 3H), 7.13–7.03 (m, 5H), 6.78 (t, J = 7.4 Hz, 1H), 5.24 (s, 1H), 2.21 (s, 3H). 13C NMR (101 MHz, DMSO-d6) δ 198.8, 161.8, 138.2, 137.7, 134.8, 129.3 (2C), 128.9 (2C), 128.6, 128.4 (2C), 128.2, 126.3 (2C), 124.7, 119.1, 118.6, 117.6, 112.5, 73.3, 43.0, 20.6. IR, vmax/cm−1: 3335, 2246, 1677, 1619, 1494, 1465, 1325, 1296, 1239. HRMS (ES TOF) calculated for (M + Na)+ C23H18N2NaO 361.1311, found 361.1315 (−1.0 ppm).
2-(4-Isopropylphenyl)-2-(3-oxo-2-phenylindolin-2-yl)acetonitrile (6bc): yellow solid, mp (EtOH) 177.2–178.6 °C, Rf 0.37 (EtOAc/Hex, 1:4). Yield: 205 mg (0.56 mmol, 56%). 1H NMR (400 MHz, DMSO-d6) δ 8.13 (s, 1H), 7.59–7.52 (m, 3H), 7.44 (d, J = 6.8 Hz, 1H), 7.32–7.27 (m, 3H), 7.28–7.24 (m, 1H), 7.14 (m, 4H), 6.78 (t, J = 6.9 Hz, 1H), 5.27 (s, 1H), 2.80 (p, J = 7.0 Hz, 1H), 1.12 (dd, J = 7.0, 5.1 Hz, 6H). 13C NMR (101 MHz, DMSO-d6) δ 198.9, 161.9, 148.4, 138.2, 134.7, 129.4 (2C), 129.0, 128.4 (2C), 128.3, 126.34 (2C), 126.30 (2C), 124.7, 119.1, 118.6, 117.6, 112.6, 73.3, 42.9, 33.0, 23.8, 23.6. IR, vmax/cm−1: 3056, 2974, 2366, 1737, 1720, 1653, 1559, 1540, 1491, 1243, 1058. HRMS (ES TOF) calculated for (M + Na)+ C25H22N2NaO 389.1624, found 389.1611 (3.5 ppm).
2-(2-Methoxyphenyl)-2-(3-oxo-2-phenylindolin-2-yl)acetonitrile (6bd): yellow solid, mp (EtOH) 186.9–188.2 °C, Rf 0.36 (EtOAc/Hex, 1:2). Yield: 110 mg (0.34 mmol, 62%). 1H NMR (400 MHz, Chloroform-d) δ 7.64 (d, J = 7.8 Hz, 1H), 7.51–7.43 (m, 3H), 7.42–7.38 (m, 1H), 7.25–7.17 (m, 4H), 6.98 (d, J = 8.2 Hz, 1H), 6.94–6.82 (m, 2H), 6.69 (d, J = 8.3 Hz, 1H), 5.65 (s, 1H), 5.15 (s, 1H), 3.53 (s, 3H). 13C NMR (101 MHz, Chloroform-d) δ 198.9, 160.4, 156.6, 138.1, 135.00, 130.7, 130.5, 128.4, 128.0 (2C), 126.3 (2C), 125.7, 121.1, 120.2, 120.1, 120.0, 118.0, 112.5, 111.2, 72.2, 55.5, 39.7. IR, vmax/cm−1: 3374, 2843, 2236, 1681, 1487, 1325, 1251, 1029. HRMS (ES TOF) calculated for (M + Na)+ C23H18N2NaO2 377.1260, found 377.1251 (2.6 ppm).
2-(4-Methoxyphenyl)-2-(3-oxo-2-phenylindolin-2-yl)acetonitrile (6be): yellow solid, mp (EtOH) 187.2–188.5 °C (Literature data: mp 175.4–176.2 °C [20]), Rf 0.34 (EtOAc/Hex, 1:4). Yield: 199 mg (0.56 mmol, 56%). 1H NMR (400 MHz, Chloroform-d) δ 7.62 (d, J = 7.8 Hz, 1H), 7.54–7.46 (m, 1H), 7.47–7.41 (m, 2H), 7.33–7.26 (m, 3H), 7.02–6.97 (m, 1H), 6.98–6.93 (m, 2H), 6.89–6.83 (m, 1H), 6.74–6.68 (m, 2H), 5.18 (s, 1H), 4.66 (s, 1H), 3.74 (s, 3H). 13C NMR (101 MHz, Chloroform-d) δ 198.5, 160.1, 159.9, 138.2, 134.9, 130.2 (2C), 128.8 (2C), 128.8, 126.0 (2C), 125.8, 122.6, 120.3, 119.8, 118.1, 114.1 (2C), 112.3, 72.5, 55.4, 45.1. 1H NMR (400 MHz, DMSO-d6) δ 8.13 (s, 1H), 7.59–7.51 (m, 3H), 7.45 (d, J = 7.7 Hz, 1H), 7.35–7.21 (m, 3H), 7.18–7.10 (m, 3H), 6.84–6.75 (m, 3H), 5.22 (s, 1H), 3.68 (s, 3H). 13C NMR (101 MHz, DMSO-d6) δ 198.9, 161.8, 159.1, 138.2, 134.9, 130.6 (2C), 128.4 (2C), 128.2, 126.3 (2C), 124.7, 123.4, 119.2, 118.6, 117.7, 113.7 (2C), 112.5, 73.4, 55.1, 42.6. IR, vmax/cm−1: 3326, 2250, 1672, 1617, 1510, 1487, 1462, 1325, 1257. HRMS (ES TOF) calculated for (M + Na)+ C23H18N2NaO2 377.1260, found 377.1250 (2.7 ppm).
2-(2-Fluorophenyl)-2-(3-oxo-2-phenylindolin-2-yl)acetonitrile (6bf): yellow solid, mp (EtOH) 181.9–184.4 °C (Literature data: mp 176.4–179.0 °C [20]), Rf 0.28 (benzene). Yield: 219 mg (0.64 mmol, 64%). 1H NMR (400 MHz, DMSOd6) δ 8.34 (s, 1H), 7.60–7.46 (m, 5H), 7.38–7.30 (m, 1H), 7.30–7.19 (m, 4H), 7.13 (d, J = 8.3 Hz, 1H), 7.07 (ddd, J = 9.7, 8.3, 1.2 Hz, 1H), 6.80 (ddd, J = 7.8, 7.0, 0.8 Hz, 1H), 5.23 (s, 1H). 13C NMR (101 MHz, DMSO-d6) δ 198.6, 161.9, 159.73 (d, J = 248.6 Hz), 138.6, 134.5, 131.3, 131.21, 131.21 (d, J = 5.3 Hz), 128.7, 128.5 (2C), 126.2 (2C), 125.0, 124.96 (d, J = 3.6 Hz), 119.0, 118.81 (d, J = 13.9 Hz), 117.95 (d, J = 22.3 Hz), 115.89 (d, J = 22.0 Hz), 112.8, 72.7, 38.0. IR, vmax/cm−1: 3369, 2246, 1663, 1610, 1496, 1460, 1325, 1246, 1159. HRMS (ES TOF) calculated for (M + Na)+ C22H15FN2NaO 365.1061, found 365.1067 (−1.9 ppm).
2-(4-Fluorophenyl)-2-(3-oxo-2-phenylindolin-2-yl)acetonitrile (6bg): yellow solid, mp (EtOH) 170.7–173.3 °C (Literature data: mp 172.5–174.1 °C [20]), Rf 0.23 (EtOAc/Hex, 1:4). Yield: 270 mg (0.79 mmol, 79%). 1H NMR (400 MHz, DMSOd6) δ 8.16 (s, 1H), 7.60–7.51 (m, 3H), 7.46 (d, J = 7.7 Hz, 1H), 7.35–7.20 (m, 5H), 7.16–7.07 (m, 3H), 6.79 (t, J = 7.5 Hz, 1H), 5.35 (s, 1H). 13C NMR (101 MHz, DMSO-d6) δ 198.8, 161.8, 162.0 (d, J = 245.5 Hz), 138.3, 134.6, 131.5 (d, J = 8.2 Hz, 2C), 128.5 (2C), 128.4, 127.9 (d, J = 2.8 Hz), 126.3 (2C), 124.7, 118.9, 118.8, 117.7, 115.3 (d, J = 21.8 Hz, 2C), 112.6, 73.2, 42.6. IR, vmax/cm−1: 3350, 3056, 2255, 1684, 1619, 1518, 1491, 1463, 1318, 1221, 1149. HRMS (ES TOF) calculated for (M + Na)+ C22H15FN2NaO 365.1061, found 365.1050 (2.9 ppm).
2-(4-Chlorophenyl)-2-(3-oxo-2-phenylindolin-2-yl)acetonitrile (6bh): yellow solid, mp (EtOH) 189.5–191.1 °C (Literature data: mp 213–214 °C [20]), Rf 0.26 (EtOAc/Hex, 1:4). Yield: 226 mg (0.63 mmol, 63%). 1H NMR (400 MHz, DMSO-d6) δ 8.15 (s, 1H), 7.59–7.51 (m, 3H), 7.46 (d, J = 7.0 Hz, 1H), 7.36 (d, J = 2.0 Hz, 1H), 7.34 (q, J = 2.1 Hz, 2H), 7.31–7.26 (m, 2H), 7.24–7.19 (m, 2H), 7.11 (d, J = 8.3 Hz, 1H), 6.79 (t, J = 7.4 Hz, 1H), 5.38 (s, 1H). 13C NMR (101 MHz, DMSO-d6) δ 198.7, 161.7, 138.3, 134.6, 133.3, 131.2 (2C), 130.6, 128.6 (2C), 128.4 (3C), 126.3 (2C), 124.7, 118.8, 118.7, 117.7, 112.5, 73.1, 42.8. IR, vmax/cm−1: 3359, 2362, 1737, 1653, 1545, 1508, 1489, 1455, 1238. HRMS (ES TOF) calculated for (M + Na)+ C22H15ClN2NaO 381.0765, found 381.0758 (1.9 ppm).
2-(4-(Dimethylamino)phenyl)-2-(3-oxo-2-phenylindolin-2-yl)acetonitrile (6bi): yellow solid, mp (EtOH) 235.7–237.7 °C, Rf 0.34 (EtOAc/Hex, 1:3). Yield: 187 mg (0.51 mmol, 51%). 1H NMR (400 MHz, DMSO-d6) δ 8.09 (s, 1H), 7.59–7.49 (m, 3H), 7.43 (d, J = 7.8 Hz, 1H), 7.33–7.18 (m, 3H), 7.12 (d, J = 8.3 Hz, 1H), 7.06–6.98 (m, 2H), 6.77 (t, J = 7.4 Hz, 1H), 6.60–6.52 (m, 2H), 5.09 (s, 1H), 2.82 (s, 6H). 13C NMR (101 MHz, DMSO-d6) δ 199.0, 161.8, 150.0, 138.0, 135.1, 130.0 (2C), 128.4 (2C), 128.1, 126.3 (2C), 124.6, 119.4, 118.5, 118.2, 117.7, 112.5, 111.9 (2C), 73.6, 42.6, 39.9 (2C). IR, vmax/cm−1: 2979, 2366, 1829, 1706, 1655, 1545, 1508, 1492, 1238. HRMS (ES TOF) calculated for (M + Na)+ C24H21N3NaO 390.1577, found 390.1568 (2.2 ppm).
2-(3,5-Dimethyl-1H-pyrazol-4-yl)-2-(3-oxo-2-phenylindolin-2-yl)acetonitrile (6bj): yellow solid, mp (EtOH) 184.9–188.2 °C, Rf 0.11 (EtOAc/Hex, 1:1). Yield: 89 mg (0.26 mmol, 26%). 1H NMR (400 MHz, Acetone-d6) δ 11.51 (s, 1H), 7.70–7.62 (m, 2H), 7.59–7.49 (m, 2H), 7.36–7.26 (m, 4H), 7.18 (dd, J = 8.2, 1.0 Hz, 1H), 6.89–6.78 (m, 1H), 4.65 (s, 1H), 1.93 (s, 6H). 13C NMR (101 MHz, Acetone-d6) δ 199.7, 162.1, 144.2 (2C), 138.7, 136.7, 129.3, 129.2 (2C), 127.5 (2C), 125.5, 120.3, 119.8, 118.7, 113.2, 105.4, 74.6, 37.0, 11.4 (2C). IR, vmax/cm−1: 3321, 2241, 1675, 1624, 1496, 1306, 1251, 1202, 1157. HRMS (ES TOF) calculated for (M + Na)+ C21H18N4NaO 365.1373, found 365.1373 (1.9 ppm).
2-(3-Oxo-2-phenylindolin-2-yl)-2-(p-tolyl)acetonitrile (6ca): yellow solid, mp (EtOH) 181.6–182.9 °C [20]), Rf 0.29 (EtOAc/Hex, 1:4). Yield: 274 mg (0.81 mmol, 81%). 1H NMR (400 MHz, DMSO-d6) δ 8.10 (s, 1H), 7.53 (t, J = 7.7 Hz, 1H), 7.44 (dd, J = 7.8, 5.3 Hz, 3H), 7.26 (s, 5H), 7.10 (dd, J = 11.7, 8.2 Hz, 3H), 6.77 (t, J = 7.4 Hz, 1H), 5.25 (s, 1H), 2.21 (s, 3H). 13C NMR (101 MHz, DMSO-d6) δ 198.9, 161.8, 138.1, 137.6, 131.7 (2C), 129.4 (2C), 129.0 (2C), 128.4 (2C), 128.3, 126.2 (2C), 124.6, 119.0, 118.6, 117.7, 112.5, 73.0, 43.3, 20.5. IR, vmax/cm−1: 3364, 3094, 2251, 1680, 1629, 1513, 1484, 1472, 1325, 1234. HRMS (ES TOF) calculated for (M + Na)+ C22H18N2NaO2 1.1, found 1.1 (2.0 ppm).
2-(2-(3,5-Dimethylphenyl)-3-oxoindolin-2-yl)-2-phenylacetonitrile (6da): yellow solid, Rf 0.46 (EtOAc/Hex, 1:2). Yield: 145 mg (0.41 mmol, 41%). 1H NMR (400 MHz, DMSO-d6) δ 8.05 (s, 1H), 7.53 (t, J = 7.7 Hz, 1H), 7.43 (d, J = 7.7 Hz, 1H), 7.34 (s, 1H), 7.26 (s, 6H), 7.11 (d, J = 8.3 Hz, 1H), 7.02 (d, J = 8.0 Hz, 1H), 6.77 (t, J = 7.4 Hz, 1H), 5.25 (s, 1H), 2.13 (d, J = 9.9 Hz, 6H). 13C NMR (101 MHz, DMSO-d6) δ 199.0, 161.8, 138.1, 136.3, 136.2, 132.0, 131.8, 129.5 (3C), 128.4 (2C), 128.3, 127.2, 124.6, 123.7, 119.1, 118.6, 117.7, 112.6, 73.1, 43.2, 19.6, 19.0. IR, vmax/cm−1: 3350, 2246, 1687, 1617, 1494, 1470, 1330, 1303, 1101, 1069. HRMS (ES TOF) calculated for (M + Na)+ C24H20N2NaO 375.1478, found 375.1468 (−2.8 ppm).
2-(2-(4-Methoxyphenyl)-3-oxoindolin-2-yl)-2-phenylacetonitrile (6ea): yellow solid, mp (EtOH) 174.9–178.3 °C (Literature data: mp 170.7–172.8 °C [20]), Rf 0.17 (EtOAc/Hex, 1:4). Yield: 216 mg (0.61 mmol, 61%). 1H NMR (400 MHz, Chloroform-d) δ 7.64 (d, J = 7.7 Hz, 1H), 7.50 (ddd, J = 8.4, 7.1, 1.4 Hz, 1H), 7.36–7.19 (m, 5H), 7.06 (d, J = 7.1 Hz, 2H), 6.98 (d, J = 8.3 Hz, 1H), 6.88 (t, J = 7.4 Hz, 1H), 6.84–6.73 (m, 2H), 5.06 (s, 1H), 4.65 (s, 1H), 3.76 (s, 3H). 13C NMR (101 MHz, Chloroform-d) δ 198.7, 160.0, 159.9, 138.2, 130.9, 129.1 (2C), 128.9, 128.8 (2C), 127.3 (2C), 126.5, 125.9, 120.3, 119.9, 117.9, 114.2 (2C), 112.3, 72.0, 55.4, 45.7. IR, vmax/cm−1: 3311, 2968, 2231, 1681, 1609, 1513, 1494, 1472, 1330, 1257, 1190, 1152. HRMS (ES TOF) calculated for (M + Na)+ C23H18N2NaO2 377.1260, found 377.1250 (2.7 ppm).
2-(4-Methoxyphenyl)-2-(2-(4-methoxyphenyl)-3-oxoindolin-2-yl)acetonitrile (6ee): yellow oil, Rf 0.29 (EtOAc/Hex, 1:2). Yield: 227 mg (0.59 mmol, 59%). 1H NMR (400 MHz, DMSO-d6) δ 8.04 (s, 1H), 7.52 (t, J = 7.7 Hz, 1H), 7.44 (m, J = 7.3 Hz, 3H), 7.14 (d, J = 8.8 Hz, 2H), 7.10 (d, J = 8.3 Hz, 1H), 6.84 (dd, J = 8.9, 4.8 Hz, 4H), 6.77 (t, J = 7.3 Hz, 1H), 5.15 (s, 1H), 3.69 (d, J = 2.8 Hz, 6H). 13C NMR (101 MHz, DMSO-d6) δ 199.2, 161.7, 159.09, 159.05, 138.0, 130.6 (2C), 127.6 (2C), 126.5, 124.6, 123.5, 119.2, 118.5, 117.8, 113.77 (2C), 113.75 (2C), 112.5, 72.9, 55.11 (2C), 42.6. IR, vmax/cm−1: 2926, 2858, 2241, 1701, 1610, 1511, 1465, 1248, 1183, 1026. HRMS (ES TOF) calculated for (M + Na)+ C24H20N2NaO3 407.1354, found 407.1366 (3.0 ppm).
2-(2-(4-Methoxy-3-methylphenyl)-3-oxoindolin-2-yl)-2-(2-methoxyphenyl)acetonitrile (6fd): pale yellow solid, mp (EtOH) 138.9–141.8 °C, Rf 0.39 (EtOAc/Hex, 1:2). Yield: 247 mg (0.62 mmol, 62%). 1H NMR (400 MHz, DMSO-d6) δ 8.27 (s, 1H), 7.59–7.52 (m, 2H), 7.48 (d, J = 7.1 Hz, 1H), 7.31–7.24 (m, 1H), 7.22–7.19 (m, 1H), 7.16 (d, J = 8.2 Hz, 1H), 7.13–7.10 (m, 1H), 7.02–6.975 (m, 1H), 6.87 (d, J = 8.4 Hz, 1H), 6.79 (t, J = 7.5 Hz, 1H), 6.73 (d, J = 8.7 Hz, 1H), 5.22 (s, 1H), 3.66 (s, 3H), 3.58 (s, 3H), 2.03 (s, 3H). 13C NMR (101 MHz, DMSO-d6) δ 199.5, 162.3, 157.5, 156.6, 138.6, 130.6, 129.9, 128.6, 125.8, 125.3, 125.1, 121.1, 120.2, 119.2, 119.1, 118.2, 113.1, 111.7, 109.9, 72.9, 56.5, 55.9, 55.7, 36.5, 16.7. IR, vmax/cm−1: 3282, 2844, 2251, 1687, 1489, 1320, 1248, 1026. HRMS (ES TOF) calculated for (M + Na)+ C25H22N2NaO3 421.1523, found 421.1511 (2.8 ppm).
2-(2-(4-Fluorophenyl)-3-oxoindolin-2-yl)-2-phenylacetonitrile (6ga): light yellow crystals, mp 191.7–193.1 °C, Rf 0.33 (EtOAc/Hex 1:4). Yield: 209 mg (0.61 mmol, 61%). 1H NMR (400 MHz, Chloroform-d) δ 7.68 (d, J = 7.8 Hz, 1H), 7.60–7.51 (m, 1H), 7.51–7.41 (m, 2H), 7.37–7.23 (m, 3H), 7.10–6.96 (m, 5H), 6.93 (t, J = 7.4 Hz, 1H), 5.19 (s, 1H), 4.68 (s, 1H). 13C NMR (101 MHz, Chloroform-d) δ 198.4, 162.9 (d, J = 248.8 Hz), 159.9, 138.4, 130.6 (d, J = 3.2 Hz), 130.6, 129.1, 129.0 (2C), 128.9 (2C), 128.0 (d, J = 8.3 Hz, 2C), 125.9, 120.5, 119.6, 117.6, 115.8 (d, J = 21.6 Hz, 2C), 112.3, 71.7, 45.9. IR, vmax/cm–1: 3311, 3065, 2251, 1689, 1624, 1590, 1508, 1467, 1328, 1301, 1224, 1161, 1010, 899. HRMS (ES TOF) calculated for (M + Na)+ C22H15FN2NaO 365.1050, found 365.1061 (3.0 ppm).
2-(2-(2,3-Dihydrobenzo[b][1,4]dioxin-6-yl)-3-oxoindolin-2-yl)-2-phenylacetonitrile (6ha): yellow solid, mp (EtOH) 191–192.7 °C (Literature data: mp 99–101 °C [20]), Rf 0.18 (EtOAc/Hex, 1:3). Yield: 290 mg (0.76 mmol, 76%). 1H NMR (400 MHz, DMSOd6) δ 7.55 (s, 1H), 7.06 (t, J = 8.4 Hz, 1H), 6.98 (d, J = 7.8 Hz, 1H), 6.85–6.75 (m, 5H), 6.63 (d, J = 8.3 Hz, 1H), 6.60–6.52 (m, 2H), 6.31 (t, J = 7.6 Hz, 2H), 4.75 (s, 1H), 3.69 (s, 4H). 13C NMR (101 MHz, DMSO-d6) δ 198.9, 161.7, 143.3, 143.07, 138.1, 131.7, 129.4 (2C), 128.39 (2C), 128.35, 127.5, 124.7, 119.3, 119.0, 118.6, 117.7, 116.9, 115.26, 112.49, 72.7, 64.1, 64.0, 43.2. IR, vmax/cm−1: 2988, 2357, 1745, 1699, 1684, 1619, 1545, 1511, 1378, 1241. HRMS (ES TOF) calculated for (M + Na)+ C24H18N2NaO3 405.1210, found 405.12 (2.5 ppm).
2-(2-(2,3-Dihydrobenzo[b][1,4]dioxin-6-yl)-3-oxoindolin-2-yl)-2-(2-methoxyphenyl)acetonitrile (6hd): pale yellow solid, mp (EtOH) 168.4–171.5 °C, Rf 0.45 (EtOAc/Hex, 1:1). Yield: 239 mg (0.58 mmol, 58%). 1H NMR (400 MHz, Chloroform-d) δ 7.62 (d, J = 7.8 Hz, 1H), 7.50–7.42 (m, 1H), 7.41–7.37 (m, 1H), 7.26–7.20 (m, 1H), 7.02 (d, J = 2.4 Hz, 1H), 6.95 (d, J = 8.2 Hz, 1H), 6.92–6.87 (m, 2H), 6.84 (t, J = 7.4 Hz, 1H), 6.77–6.72 (m, 1H), 6.66 (d, J = 8.6 Hz, 1H), 5.57 (s, 1H), 5.10 (s, 1H), 4.15 (s, 4H), 3.65 (s, 3H). 13C NMR (101 MHz, Chloroform-d) δ 198.8, 160.3, 156.7, 143.6, 143.1, 138.0, 130.7, 130.4, 128.1, 125.7, 121.1, 120.13, 120.10, 120.0, 119.5, 118.1, 116.8, 115.7, 112.4, 111.3, 71.9, 64.5, 64.3, 55.6, 39.3. IR, vmax/cm−1: 3417, 2845, 2246, 1682, 1492, 1255, 1036. HRMS (ES TOF) calculated for (M + Na)+ C25H20N2NaO4 435.1315, found 435.1306 (2.5 ppm).
2-(5-Isopropyl-3-oxo-2-phenylindolin-2-yl)-2-phenylacetonitrile (6ia): yellow solid, mp (EtOH) 159.7–161.0 °C (Literature data: mp 150.7–152.6 °C [20]), Rf 0.4 (EtOAc/Hex, 1:4). Yield: 287 mg (0.78 mmol, 78%). 1H NMR (400 MHz, DMSO-d6) δ 7.98 (s, 1H), 7.59–7.52 (m, 2H), 7.49 (dd, J = 8.5, 1.9 Hz, 1H), 7.26 (td, J = 8.6, 6.8, 3.3 Hz, 9H), 7.09 (d, J = 8.5 Hz, 1H), 5.29 (s, 1H), 2.95–2.66 (m, 1H), 1.15 (d, J = 6.8 Hz, 3H), 1.15 (d, J = 6.9 Hz, 3H). 13C NMR (101 MHz, DMSO-d6) δ 198.8, 160.6, 139.0, 137.5, 134.9, 131.8, 129.42 (2C), 128.39 (2C), 128.36 (2C), 128.3, 128.2, 126.2 (2C), 121.0, 119.1, 117.6, 112.7, 73.7, 43.3, 32.6, 23.9, 23.8. IR, vmax/cm−1: 3396, 2964, 2236, 1701, 1619, 1491, 1453, 1349, 1272, 1241, 1171. HRMS (ES TOF) calculated for (M + Na)+ C25H22N2NaO 389.1624, found 389.1615 (2.5 ppm).
2-(1-Methyl-3-oxo-2-phenylindolin-2-yl)-2-phenylacetonitrile (6ja): lemon-yellow crystals, mp 196–198 °C (Literature data: mp 174.8−178.3 °C [20]), Rf 0.27 (EtOAc/Hex 1:4). Yield: 95 mg (0.28 mmol, 28%). 1H NMR (400 MHz, Chloroform-d) δ 7.41 (d, J = 7.7 Hz, 1H), 7.33–7.22 (m, 5H), 7.22–7.12 (m, 3H), 7.06 (h, J = 4.6, 3.8 Hz, 3H), 6.57 (t, J = 7.4 Hz, 1H), 6.48 (d, J = 8.3 Hz, 1H), 4.77 (s, 1H), 2.63 (s, 3H). 13C NMR (101 MHz, Chloroform-d) δ 198.7, 161.2, 138.3, 134.7, 130.5, 129.4 (2C), 129.3 (2C), 129.2, 129.1, 128.9, 128.5, 128.4, 127.2, 127.2, 125.3, 119.7, 118.3, 108.1, 77.5, 41.3, 30.5. IR, vmax/cm–1: 3046, 2921, 2241, 1696, 1617, 1491, 1458, 1366, 1320, 1253, 1158, 1072, 1007, 971, 754. HRMS (ES TOF) calculated for (M + Na)+ C23H18N2NaO 361.1312, found 361.1311 (−0.3 ppm).
2-(1-Methyl-3-oxo-2-(p-tolyl)indolin-2-yl)-2-phenylacetonitrile (6ka): yellow solid, mp (EtOH) 168.7–170.1 °C, Rf 0.28 (EtOAc/Hex, 1:4). Yield: 81 mg (0.23 mmol, 23%). 1H NMR (400 MHz, DMSO-d6) δ 7.39–7.35 (m, 1H), 7.35–7.32 (m, 1H), 7.28–7.24 (m, 5H), 7.24–7.15 (m, 4H), 6.69 (d, J = 8.3 Hz, 1H), 6.59 (t, J = 7.3 Hz, 1H), 5.75 (s, 1H), 2.75 (s, 3H), 2.32 (s, 3H). 13C NMR (101 MHz, DMSO-d6) δ 199.5, 160.6, 138.5, 138.3, 132.6, 131.0, 129.5 (2C), 129.1 (2C), 128.4, 128.1 (2C), 127.3 (2C), 123.7, 119.6, 118.6, 117.5, 108.8, 74.9, 38.2, 28.7, 20.7. IR, vmax/cm−1: 3036, 2926, 2236, 1701, 1614, 1489, 1371, 1323, 1161, 1024. HRMS (ES TOF) calculated for (M + Na)+ C24H20N2NaO 375.1468, found 375.1456 (3.3 ppm).
2-(7-Chloro-3-oxo-2-phenylindolin-2-yl)-2-phenylacetonitrile (6la): yellow solid, mp (EtOH) 195.1–196.9 °C (Literature data: mp 188.7–189.6 °C [20]), Rf 0.54 (EtOAc/Hex, 1:4). Yield: 127 mg (0.49 mmol, 49%). 1H NMR (400 MHz, DMSO-d6) δ 8.35 (s, 1H), 7.81–7.71 (m, 2H), 7.57 (dd, J = 7.6, 1.1 Hz, 1H), 7.45–7.29 (m, 6H), 7.28–7.18 (m, 3H), 6.71 (t, J = 7.7 Hz, 1H), 5.22 (s, 1H). 13C NMR (101 MHz, DMSO-d6) δ 198.3, 156.9, 137.3, 134.8, 130.7, 129.6 (2C), 128.5 (2C), 128.5, 128.5, 128.2 (2C), 126.8 (2C), 123.2, 120.3, 119.3, 118.5, 116.0, 72.6, 43.7. IR, vmax/cm−1: 3272, 3050, 2251, 1691, 1604, 1491, 1436, 1316, 1260, 1192, 1125. HRMS (ES TOF) calculated for (M + Na)+ C22H15ClN2NaO 381.0765, found 381.0754 (3.0 ppm).
Isolation of intermediate spirane 5: A 10 mL round bottom flask was charged with indolylnitroethane 4ba (342 mg, 1.00 mmol) and POCl3 (306 mg, 187 μL, 2.00 mmol). The resulting mixture was stirred at room temperature for 5 min. Next, the mixture was cooled in ice bath and triethylamine (404 mg, 557 μL, 4.00 mmol,) was added over a period of 5 min while maintaining the temperature below 10 °C. The reaction mixture was stirred for an additional 5 min, then diluted with water (30 mL), extracted with EtOAc (4 × 15 mL), and concentrated in vacuo. The residue was purified by column chromatography (eluent EtOAc/Hex 1:4), to afford three fractions: unreacted 3-(2-nitro-1-phenylethyl)-2-phenyl-1H-indole (4ba) (90 mg, 0.26 mmol, 26%), 2-(3-oxo-2-phenylindolin-2-yl)-2-phenylacetonitrile (6ba) (80 mg, 0.25 mmol, 25%), and 2,4′-diphenyl-4′H-spiro[indole-3,5′-isoxazole] (5) (40 mg, 0.13 mmol, 13%).
2,4′-Diphenyl-4′H-spiro[indole-3,5′-isoxazole] (5): yellow solid, Rf 0.4 (EtOAc/Hex, 1:4), Rf 0.49 (benzene). Yield: 40 mg (0.13 mmol, 13%). 1H NMR (400 MHz, Chloroform-d) δ 8.21–8.13 (m, 2H), 7.71 (t, J = 1.6 Hz, 1H), 7.61–7.49 (m, 3H), 7.40 (d, J = 7.7 Hz, 1H), 7.18–7.07 (m, 4H), 6.97–6.81 (m, 4H), 5.10 (s, 1H). 13C NMR (101 MHz, Chloroform-d) δ 177.3, 152.9, 149.5, 135.7, 133.1, 131.8, 131.7, 130.1, 129.2 (2C), 128.7 (2C), 128.3 (2C), 128.2, 127.8 (2C), 126.0, 124.7, 121.2, 97.7, 61.7. IR, vmax/cm−1: 3378, 3036, 2988, 1749, 1699, 1653, 1559, 1525, 1505, 1489, 1458, 1376, 1243, 1051. HRMS (ES TOF) calculated for (M + H)+ C22H17N2O 325.1335, found 325.1330 (1.6 ppm).
Supplementary Materials
The following are available online, spectral charts and X-ray crystallography data.
Author Contributions
A.V.A.—conceptualization, supervision, funding acquisition; N.A.A.—methodology, formal analysis; E.V.A.—investigation; D.A.A.—investigation; I.Y.G.—investigation, formal analysis; E.A.S.—investigation, formal analysis; A.W.—formal analysis, writing (review and editing); M.R.—conceptualization, supervision, writing (original draft, review, and editing). All authors have read and agreed to the published version of the manuscript.
Funding
This work was supported by the Russian Science Foundation (grant #21-73-20051).
Institutional Review Board Statement
Not applicable.
Informed Consent Statement
Not applicable.
Data Availability Statement
Supporting Information data include NMR and HRMS spectral charts and X-Ray crystallography data.
Conflicts of Interest
The authors declare no conflict of interest.
Sample Availability
Samples of the compounds are available from the authors.
References
- Carroll, A.R.; Hyde, E.; Smith, J.; Quinn, R.J.; Guymer, G.; Forster, P.I. Actinophyllic Acid, a Potent Indole Alkaloid Inhibitor of the Coupled Enzyme Assay Carboxypeptidase U/Hippuricase from the Leaves of Alstonia actinophylla (Apocynaceae). J. Org. Chem. 2005, 70, 1096–1099. [Google Scholar] [CrossRef]
- Cheng, G.-G.; Li, D.; Hou, B.; Li, X.-N.; Liu, L.; Chen, Y.-Y.; Lunga, P.-K.; Khan, A.; Liu, Y.-P.; Zuo, Z.-L.; et al. Bioactive Monoterpenoid Indole Alkaloids with Diverse Skeletons from Melodinus khasianus. J. Nat. Prod. 2016, 79, 2158–2166. [Google Scholar] [CrossRef]
- Ding, C.-F.; Ma, H.-X.; Yang, J.; Qin, X.-J.; Njateng, G.S.S.; Yu, H.-F.; Wei, X.; Liu, Y.-P.; Huang, W.-Y.; Yang, Z.-F.; et al. Antibacterial indole alkaloids with complex heterocycles from Voacanga africana. Org. Lett. 2018, 20, 2702–2706. [Google Scholar] [CrossRef]
- Kono, M.; Harada, S.; Nozaki, T.; Hashimoto, Y.; Murata, S.-I.; Groger, H.; Kuroda, Y.; Yamada, K.-I.; Takasu, K.; Hamada, Y.; et al. Asymmetric Formal Synthesis of (+)-Catharanthine via Desymmetrization of Isoquinuclidine. Org. Lett. 2019, 21, 3750–3754. [Google Scholar] [CrossRef] [PubMed]
- Krishnan, P.; Lee, F.-K.; Chong, K.-W.; Mai, C.-W.; Muhamad, A.; Lim, S.-H.; Low, Y.-Y.; Ting, K.-N.; Lim, K.-H. Alstoscholactine and alstolaxepine, monoterpenoid indole alkaloids with γ-lactone-bridged cycloheptane and oxepane moieties from Alstonia scholaris. Org. Lett. 2018, 20, 8014–8018. [Google Scholar] [CrossRef] [PubMed]
- Nge, C.-E.; Chong, K.-W.; Thomas, N.F.; Lim, S.-H.; Low, Y.-Y.; Kam, T.-S. Ibogan, aspidosperman, vincamine, and bisindole alkaloids from a Malayan Tabernaemontana corymbosa: Iboga alkaloids with C-20α substitution. J. Nat. Prod. 2016, 79, 1388–1399. [Google Scholar] [CrossRef] [PubMed]
- Tan, S.-J.; Low, Y.-Y.; Choo, Y.-M.; Abdullah, Z.; Etoh, T.; Hayashi, M.; Komiyama, K.; Kam, T.-S. Strychnan and Secoangustilobine A Type Alkaloids from Alstonia spatulata. Revision of the C-20 Configuration of Scholaricine. J. Nat. Prod. 2010, 73, 1891–1897. [Google Scholar] [CrossRef]
- Tooriyama, S.; Mimori, Y.; Wu, Y.; Kogure, N.; Kitajima, M.; Takayama, H. Asymmetric Total Synthesis of Pentacyclic Indole Alkaloid Andranginine and Absolute Configuration of Natural Product Isolated from Kopsia arborea. Org. Lett. 2017, 19, 2722–2725. [Google Scholar] [CrossRef]
- Yuan, Y.-X.; Zhang, Y.; Guo, L.-L.; Wang, Y.-H.; Goto, M.; Morris-Natschke, S.L.; Lee, K.-H.; Hao, X.-J. Tabercorymines A and B, two vobasinyl-ibogan-type bisindole alkaloids from Tabernaemontana corymbosa. Org. Lett. 2017, 19, 4964–4967. [Google Scholar] [CrossRef]
- Zhang, Y.; Yuan, Y.-X.; Goto, M.; Guo, L.-L.; Li, X.-N.; Morris-Natschke, S.L.; Lee, K.-H.; Hao, X.-J. Taburnaemines A-I, cytotoxic vobasinyl-iboga-type bisindole alkaloids from Tabernaemontana corymbosa. J. Nat. Prod. 2018, 81, 562–571. [Google Scholar] [CrossRef]
- Tam, A.; Gotoh, H.; Robertson, W.M.; Boger, D.L. Catharanthine C16 substituent effects on the biomimetic coupling with vindoline: Preparation and evaluation of a key series of vinblastine analogues. Bioorg. Med. Chem. Lett. 2010, 20, 6408–6410. [Google Scholar] [CrossRef] [Green Version]
- Dutta, P.K.; Chauhan, J.; Ravva, M.K.; Sen, S. Directing-Group-Assisted Manganese-Catalyzed Cyclopropanation of Indoles. Org. Lett. 2019, 21, 2025–2028. [Google Scholar] [CrossRef]
- Zheng, Y.; Yue, B.-B.; Wei, K.; Yang, Y.-R. Short Synthesis of the Monoterpene Indole Alkaloid (±)-Arbornamine. J. Org. Chem. 2018, 83, 4867–4870. [Google Scholar] [CrossRef] [PubMed]
- Xue, F.; Lu, H.; He, L.; Li, W.; Zhang, D.; Liu, X.-Y.; Qin, Y. Formal Total Syntheses of (−)- and (+)-Actinophyllic Acid. J. Org. Chem. 2018, 83, 754–764. [Google Scholar] [CrossRef]
- Mason, J.D.; Weinreb, S.M. Synthesis of Alstoscholarisines A-E, Monoterpene Indole Alkaloids with Modulating Effects on Neural Stem Cells. J. Org. Chem. 2018, 83, 5877–5896. [Google Scholar] [CrossRef] [PubMed]
- Liang, X.; Zhang, T.-Y.; Meng, C.-Y.; Li, X.-D.; Wei, K.; Yang, Y.-R. Total Synthesis of (−)-Actinophyllic Acid Enabled by a Key Dual Ir/Amine-Catalyzed Allylation. Org. Lett. 2018, 20, 4575–4578. [Google Scholar] [CrossRef]
- Gee, Y.S.; Rivinoja, D.J.; Wales, S.M.; Gardiner, M.G.; Ryan, J.H.; Hyland, C.J.T. Pd-Catalyzed Dearomative [3 + 2] Cycloaddition of 3-Nitroindoles with 2-Vinylcyclopropane-1,1-dicarboxylates. J. Org. Chem. 2017, 82, 13517–13529. [Google Scholar] [CrossRef]
- Aksenov, A.V.; Aksenov, D.A.; Arutiunov, N.A.; Aksenov, N.A.; Aleksandrova, E.V.; Zhao, Z.; Du, L.; Kornienko, A.; Rubin, M. Synthesis of Spiro[indole-3,5’-isoxazoles] with Anticancer Activity via a Formal [4 + 1]-Spirocyclization of Nitroalkenes to Indoles. J. Org. Chem. 2019, 84, 7123–7137. [Google Scholar] [CrossRef]
- Aksenov, A.V.; Aksenov, D.A.; Aksenov, N.A.; Skomorokhov, A.A.; Aleksandrova, E.V.; Rubin, M. Preparation of spiro[indole-3,5’-isoxazoles] via Grignard conjugate addition/spirocyclization sequence. RSC Adv. 2021, 11, 1783–1793. [Google Scholar] [CrossRef]
- Aksenov, A.V.; Aksenov, D.A.; Aksenov, N.A.; Aleksandrova, E.V.; Rubin, M. Preparation of Stereodefined 2-(3-Oxoindolin-2-yl)-2-Arylacetonitriles via One-Pot Reaction of Indoles with Nitroalkenes. J. Org. Chem. 2019, 84, 12420–12429. [Google Scholar] [CrossRef]
- Aksenov, A.V.; Aksenov, N.A.; Dzhandigova, Z.V.; Aksenova, I.V.; Voskressensky, L.G.; Smirnov, A.N.; Rubin, M.A. An efficient synthesis of (3-indolyl)acetonitriles by reduction of hydroxamic acids. Chem. Heterocycl. Compd. 2016, 52, 299–302. [Google Scholar] [CrossRef]
- Albanese, D.; Landini, D.; Penso, M.; Pozzi, G. One-pot conversion of allylic nitro compounds into nitriles with carbon disulfide under phase-transfer catalysis conditions. Synth. Commun. 1990, 20, 965–971. [Google Scholar] [CrossRef]
- Czekelius, C.; Carreira, E.M. Convenient transformation of optically active nitroalkanes into chiral aldoximes and nitriles. Angew. Chem. Int. Ed. 2005, 44, 612–615. [Google Scholar] [CrossRef]
- El Kaim, L.; Gacon, A. A new conversion of primary nitro compounds into nitriles. Tetrahedron Lett. 1997, 38, 3391–3394. [Google Scholar] [CrossRef]
- Li, Y.-H.; Akula, P.S.; Hong, B.-C.; Peng, C.-H.; Lee, G.-H. Direct Transformation of Nitroalkanes to Nitriles Enabled by Visible-Light Photoredox Catalysis and a Domino Reaction Process. Org. Lett. 2019, 21, 7750–7754. [Google Scholar] [CrossRef] [PubMed]
- Temelli, B.; Unaleroglu, C. Direct transformation of primary nitro compounds into nitriles with sodium dithionite. Synthesis 2014, 46, 1407–1412. [Google Scholar] [CrossRef]
- Umeda, R.; Mashino, T.; Nishiyama, Y. Synthesis of multisubstituted 1H-pyrrole: Selenium-catalyzed reaction of γ-nitro substituted carbonyl compounds and carbon monoxide. Tetrahedron 2014, 70, 4395–4399. [Google Scholar] [CrossRef]
- Urpi, F.; Vilarrasa, J. New synthetic tricks. Direct conversion of nitro compounds to nitriles. Tetrahedron Lett. 1990, 31, 7497–7498. [Google Scholar] [CrossRef]
- Pirola, M.; Faverio, C.; Orlandi, M.; Benaglia, M. Metal-Free Deoxygenation of Chiral Nitroalkanes: An Easy Entry to α-Substituted Enantiomerically Enriched Nitriles. Chem. Eur. J. 2021, 27, 10247–10250. [Google Scholar] [CrossRef]
- De Rosa, M.; Soriente, A. A combination of water and microwave irradiation promotes the catalyst-free addition of pyrroles and indoles to nitroalkenes. Tetrahedron 2010, 66, 2981–2986. [Google Scholar] [CrossRef]
- Praveen, C.; Karthikeyan, K.; Perumal, P.T. Efficient synthesis of 3-substituted indoles through a domino gold(I) chloride catalyzed cycloisomerization/C3-functionalization of 2-(alkynyl)anilines. Tetrahedron 2009, 65, 9244–9255. [Google Scholar] [CrossRef]
- Salgar, S.S.; Merchant, J.R. Studies in heterocyclic compounds. III. Reaction of indoles with dienophiles. J. Prakt. Chem. 1961, 14, 108–112. [Google Scholar] [CrossRef]
- Aksenov, N.A.; Skomorokhov, A.A.; Aksenov, A.V.; Voskressensky, L.G.; Rubin, M.A. Michael addition to 3-(2-nitrovinyl)indoles—Route toward aliphatic nitro compounds with heterocyclic substituents. Chem. Heterocycl. Compd. 2019, 55, 541–546. [Google Scholar] [CrossRef]
- Gu, Y.; Barrault, J.; Jerome, F. Glycerol as an efficient promoting medium for organic reactions. Adv. Synth. Catal. 2008, 350, 2007–2012. [Google Scholar] [CrossRef]
Publisher’s Note: MDPI stays neutral with regard to jurisdictional claims in published maps and institutional affiliations. |
© 2021 by the authors. Licensee MDPI, Basel, Switzerland. This article is an open access article distributed under the terms and conditions of the Creative Commons Attribution (CC BY) license (https://creativecommons.org/licenses/by/4.0/).




