New Charge Transfer Complexes of K+-Channel-Blocker Drug (Amifampridine; AMFP) for Sensitive Detection; Solution Investigations and DFT Studies
Abstract
:1. Introduction
2. Results and Discussion
2.1. Selection of Solvent
2.2. Experimental Electronic Absorption Spectra (CT Band)
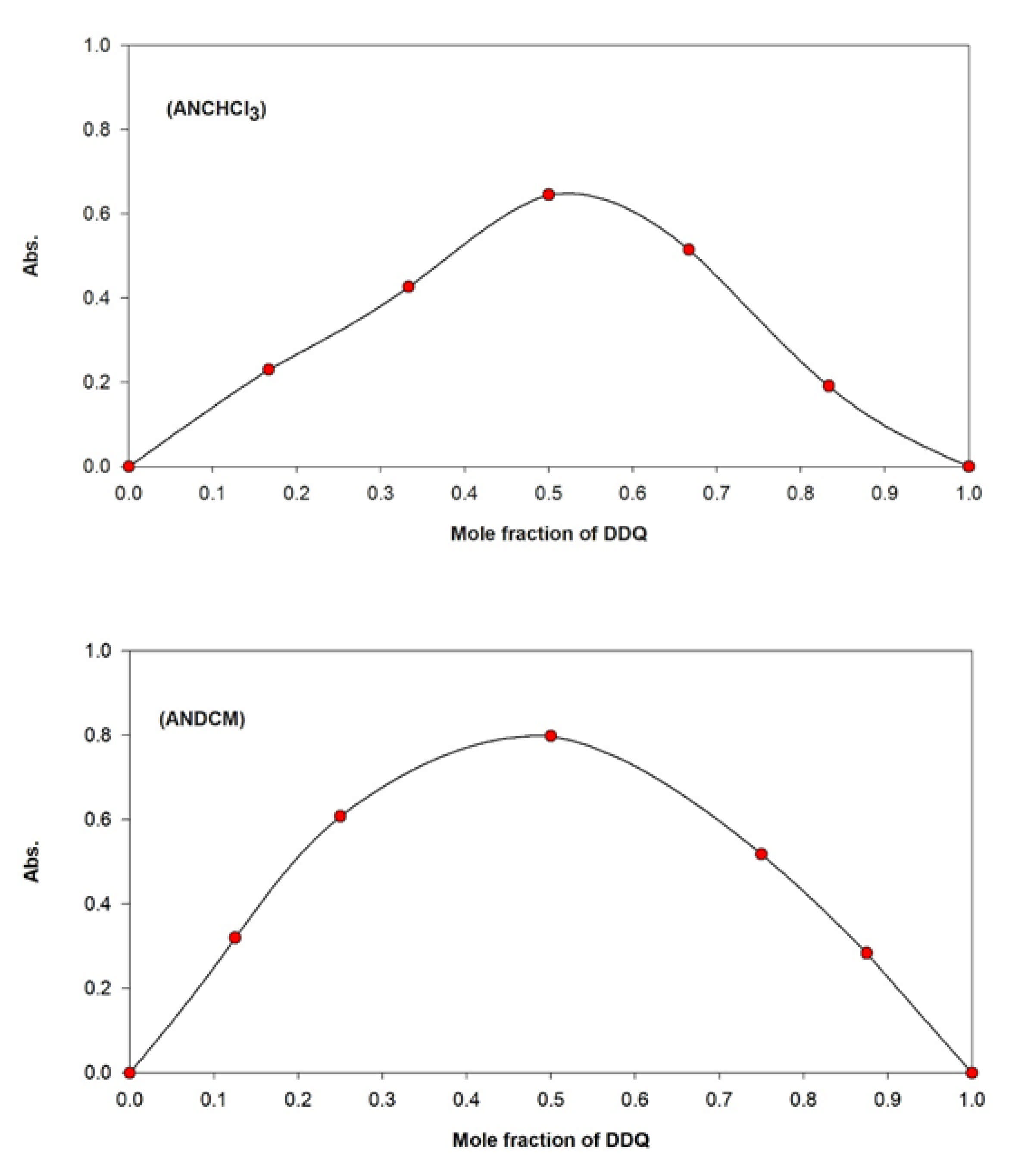
2.3. Molecular Composition of the CT Complexes
2.4. The Effect of Temperature
2.5. Determination of Formation Constant (KCT) and Solvation Studies
2.6. Calculation of Experimental Spectrophysical Parameters
2.7. Quantitative Application of the CT Reaction
2.8. DFT Calculations
2.8.1. Optimized Structures
2.8.2. Atomic Charge Distribution
2.8.3. Determination of Reactivity Parameters
2.8.4. The Calculated Electronic Absorption Spectra (CT Band)
2.8.5. Natural Bond Orbital (NBO) Analysis
3. Experimental
3.1. Materials and Stock Solutions
3.2. Spectroscopy Measurements
3.3. Determination of Molecular Composition
3.4. Computational Details
4. Conclusions
Supplementary Materials
Author Contributions
Funding
Institutional Review Board Statement
Informed Consent Statement
Data Availability Statement
Conflicts of Interest
Sample Availability
References
- Haga, N.; Nakajima, H.; Takayanagi, H.; Tokumaru, K. Photoinduced electron transfer between acenaphthylene and tetracyanoethylene: effect of irradiation mode on reactivity of the charge-transfer complex and the resulted radical ion pair in solution and crystalline state. J. Org. Chem. 1998, 63, 5372–5384. [Google Scholar] [CrossRef]
- Mulliken, R.S.; Person, W.B. Molecular Complexes: A Lecture and Reprint Volume; Wiley & Sons: New York, NY, USA, 1969. [Google Scholar]
- Basha, M.T.; Alghanmi, R.M.; Habeeb, M.M.; Wafi, N.M. Novel charge transfer-hydrogen bonded complex between 2-amino-4,6-dimethoxy-pyrimidine (ADMP) with chloranilic acid (H2CA): Temperature, solvation and DFT computational studies. Phys. Chem. Liq. 2020, 58, 397–420. [Google Scholar] [CrossRef]
- Fritzsche, J. About compounds of hydrocarbons with picric acid. Justus Liebigs Ann. Chem. 1859, 109, 247–250. [Google Scholar] [CrossRef]
- Bazzi, H.S.; Mostafa, A.; AlQaradawi, S.Y.; Nour, E.-M. Synthesis and spectroscopic structural investigations of the charge-transfer complexes formed in the reaction of 2,6-diaminopyridine with π-acceptors TCNE, chloranil, and DDQ. J. Mol. Struct. 2007, 842, 1–5. [Google Scholar] [CrossRef]
- Nour, E.M.; Refat, M.S. Spectoscopic and structural studies on charge-transfer complexes of lanthanum (III)acetylacetonate with σ-acceptor iodine and π-acceptor DDQ. J. Mol. Struct. 2011, 994, 289–294. [Google Scholar] [CrossRef]
- Alghanmi, R.M.; Habeeb, M.M. Spectral and solvation effect studies on charge transfer complex of 2, 6-diaminopyridine with chloranilic acid. J. Mol. Liq. 2013, 181, 20–28. [Google Scholar] [CrossRef]
- Shehab, O.R.; AlRabiah, H.; Abdel-Aziz, H.A.; Mostafa, G.A.E. Charge-transfer complexes of cefpodoxime proxetil with chloranilic acid and 2,3-dichloro-5,6-dicyano-1,4-benzoquinone: Experimental and theoretical studies. J. Mol. Liq. 2018, 257, 42–51. [Google Scholar] [CrossRef]
- Alghanmi, R.M. Synthesis, Characterization, and biological evaluation of a new hydrogen-bonded charge-transfer complex of 2-amino-4-methoxy-6-methylpyrimidine. J. Chem. 2019, 2019, 1743147. [Google Scholar] [CrossRef]
- Basha, M.T.; Alghanmi, R.M.; Soliman, S.M.; Alharby, W.J. Synthesis, spectroscopic, thermal, structural characterization and DFT/TD-DFT computational studies for charge transfer complexes of 2,4-diamino pyrimidine with some benzoquinone acceptors. J. Mol. Liq. 2020, 309, 113210. [Google Scholar] [CrossRef]
- Teleb, S.M.; El-korashy, S.A.; Ali, M.M.; Gaballa, A.S. Chemical and biological studies on charge-transfer complexes of cimetidine with various electron acceptors. J. Mol. Struct. 2020, 1202, 127256. [Google Scholar] [CrossRef]
- Niranjani, S.; Venkatachalam, K. Synthesis, spectroscopic, thermal, structural investigations and biological activity studies of charge-transfer complexes of atorvastatin calcium with dihydroxy-p-benzoquinone, quinalizarin and picric acid. J. Mol. Struct. 2020, 1219, 128564. [Google Scholar] [CrossRef]
- Lal Miyana, Z.; Ahmada, A.; Alamb, M.F.; Younusb, H. Synthesis, single-crystal, DNA interaction, spectrophotometric and spectroscopic characterization of the hydrogen-bonded charge transfer complex of 2-aminopyrimidine with π-acceptor chloranilic acid at different temperature in acetonitrile. J. Photochem. Photobio. B 2017, 174, 195–208. [Google Scholar] [CrossRef]
- Mahipal, V.; Venkatesh, N.; Naveen, B.; Suresh, G.; Manaiah, V.; Parthasarathy, T. Catalytic activity and DNA binding applications of Benzhydrylpiperazine and p-Chloranil charge transfer complex: Synthesis, spectroscopic, and DFT studies. Chem. Data Collect. 2020, 28, 100474. [Google Scholar] [CrossRef]
- Zhao, X.; Zhan, X. Electron transporting semiconducting polymers in organic electronics. Chem. Soc. Rev. 2011, 40, 3728–3743. [Google Scholar] [CrossRef]
- El-Zaidia, E.F.M.; Al-Kotb, M.S.; Yahia, I.S. Physico-chemical properties of acid fuchsin as novel organic semiconductors: Structure, optical and electrical properties. Phys. B Condens. Matter 2019, 571, 71–75. [Google Scholar] [CrossRef]
- Manzhos, S.; Kotsis, K. Computational study of interfacial charge transfer complexes of 2-anthroic acid adsorbed on a titania nanocluster for direct injection solar cells. Chem. Phys. Lett. 2016, 660, 69–75. [Google Scholar] [CrossRef]
- Alghanmi, R.M.; Lamyaa Yousef Alhazmi, L.Y. Spectrophotometric determination of mebendazole through charge transfer interactions. Int. J. Pharm. Sci. Res. 2019, 10, 2504–2515. [Google Scholar] [CrossRef]
- Gross, E.; Dreizler, R. Density Functional Theory; NATO ASI Series, Volume B337; Plenum: New York, NY, USA, 1995. [Google Scholar]
- Grimme, S. Accurate description of van der Waals complexes by density functional theory including empirical corrections. J. Comput. Chem. 2004, 25, 1463–1473. [Google Scholar] [CrossRef]
- Von Lilienfeld, O.A.; Tavernelli, I.; Rothlisberger, U.; Sebastiani, D. Optimization of effective atom centered potentials for London dispersion forces in density functional theory. Phys. Rev. Lett. 2004, 93, 153004. [Google Scholar] [CrossRef] [Green Version]
- Zimmerli, U.; Parrinello, M.; Koumoutsakos, P. Dispersion corrections to density functionals for water aromatic interactions. J. Chem. Phys. 2004, 120, 2693–2699. [Google Scholar] [CrossRef]
- Chermette, H. Density functional theory: A powerful tool for theoretical studies in coordination chemistry. Coord. Chem. Rev. 1998, 178, 699–721. [Google Scholar] [CrossRef]
- Wazzan, N.A.; El-Mossalamy, E.-S.H.; Al-Harbi, L.M. DFT Calculations of charge transfer complexes of N-Aryl-N′-4-(-p-anisyl-5-arylazothiazolyl) thiourea derivatives and benzoquinones. Asian J. Chem. 2015, 27, 3937. [Google Scholar] [CrossRef]
- Garcia, A.; Elorzaand, J.M.; Ugalde, J.M. Density functional studies of the n·aσ charge-transfer complexes between NH3 and BrX (X.=Cl, Br). J. Mol. Struct. 2000, 501, 207–214. [Google Scholar] [CrossRef]
- Lakkad, A.; Baindla, N.; Tigulla, P. Synthesis, spectroscopic and computational studies of charge-transfer complexation between 4-aminoaniline and 2,3-dichloro-5,6-dicyano-1,4-benzoquinone. J. Solut. Chem. 2017, 46, 2171–2190. [Google Scholar] [CrossRef]
- Seridi, S.; Dinar, K.; Seridi, A.; Berredjem, M.; Kadri, M. Charge transfer complexes of 4-isopropyl-2-benzyl-1,2,5-thiadiazolidin-3-one1,1-dioxide with DDQ and TCNE: Experimental and DFT studies. New J. Chem. 2016, 40, 4781–4792. [Google Scholar] [CrossRef]
- Lundh, H.; Nilsson, O.; Rosen, I. Treatment of Larnbert-Eaton syndrome 3,4-diaminopyridine and pyridostigmine. Neurology 1984, 34, 1324–1330. [Google Scholar] [CrossRef] [PubMed]
- Bever, C.T. The current status of studies of aminopyridines in patients with multiple sclerosis. Ann. Neurol. 1994, 36, S118–S121. [Google Scholar] [CrossRef]
- Kamali, F.; Nicholson, E. Determination of 3,4-diaminopyridine in human plasma by high-performance liquid chromatography. J. Pharm. Biomed. Anal. 1995, 13, 791–794. [Google Scholar] [CrossRef]
- Sabbah, S.; Scriba, G.K. Development and validation of a capillary electrophoresis assay for the determination of 3,4-diaminopyridine and 4-aminopyridine including related substances. J. Chromatogr. A 2001, 907, 321–328. [Google Scholar] [CrossRef]
- Goulay-Dufay, S.; Do, B.; Le Hoang, M.D.; Raust, J.A.; Graffard, H.; Guyon, F.; Pradeau, D. Determination of A 3,4-diaminopyridine in plasma by liquid chromatography with electrochemical detection using solid-phase extraction. J. Chromatogr. B Analyt. Technol. Biomed. Life Sci. 2004, 805, 261–266. [Google Scholar] [CrossRef]
- Do, B.; Goulay-Dufaÿ, S.; Hoang, M.D.L.; Raust, J.A.; Guyon, F.; Graffard, H.; Pradeau, D. HPLC method for determination of 3,4-diaminopyridine in the presence of related substances and degradation products formed under stress conditions. Chromatographia 2006, 63, 599–603. [Google Scholar] [CrossRef]
- Alghanmi, R.M.; Basha, M.T.; Soliman, S.M.; Alsaeedi, R.K. Synthesis, and spectroscopic, nanostructure, surface morphology, and density functional theory studies of new charge-transfer complexes of amifampridine with π-acceptors. J. Mol. Liq. 2021, 326, 115199. [Google Scholar] [CrossRef]
- Briegleb, G. Elektronen-Donator-Acceptor-Komplexe und ionenbildende Vorgänge. In Elektronen-Donator-Acceptor-Komplexe; Springer: Berlin, Germany, 1961; pp. 181–195. [Google Scholar] [CrossRef]
- Semnani, A.; Pouretedal, H.R. Spectrophotometric and electrochemical studies of the interaction of cryptand 222 with DDQ and I2 in ethanol solution. Bullet. Chem. Soc. Ethiopia 2006, 20, 183–192. [Google Scholar] [CrossRef]
- Al-Ahmary, K.M.; El-Kholy, M.M.; Al-Solmy, E.A.; Habeeb, M.M. Spectroscopic studies and molecular orbital calculations on the charge transfer reaction between DDQ and 2-aminopyridine. Spectrochim. Acta A 2013, 110, 343–350. [Google Scholar] [CrossRef]
- Adam, A.M.A.; Refat, M.S.; Hegab, M.S.; Saad, H.A. Spectrophotometric and thermodynamic studies on the 1:1 charge transfer interaction of several clinically important drugs with tetracyanoethylene in solution-state: Part one. J. Mol. Liq. 2016, 224, 311–321. [Google Scholar] [CrossRef]
- Job, P. Formation and stability of inorganic complexes in solution. Ann. Chim. 1928, 9, 133–203. [Google Scholar]
- Benesi, H.A.; Hildebrand, J. A spectrophotometric investigation of the interaction of iodine with aromatic hydrocarbons. J. Am. Chem. Soc. 1949, 71, 2703–2707. [Google Scholar] [CrossRef]
- Fakhroo, A.A.; Bazzi, H.S.; Mostafa, A.; Shahada, L. Synthesis, spectroscopic and thermal structural investigations of the charge-transfer complexes formed in the reaction of 1-methylpiperidine with σ- and π-acceptors. Spectrochim. Acta A 2010, 75, 134–141. [Google Scholar] [CrossRef]
- Airinei, A.; Homocianu, M.; Dorohoi, D.O. Changes induced by solvent polarity in electronic absorption spectra of some azo disperse dyes. J. Mol. Liq. 2010, 157, 13–17. [Google Scholar] [CrossRef]
- Alghanmi, R.M. Solvation and temperature effect on the charge-transfer complex between 2-amino-4-picoline with 2,5-dihydroxy-p-benzoquinone. Phys. Chem. Liq. 2013, 51, 635–650. [Google Scholar] [CrossRef]
- Person, W.B. Thermodynamic properties of donor-acceptor complexes. J. Am. Chem. Soc. 1962, 84, 536–540. [Google Scholar] [CrossRef]
- Singh, N.; Ahmad, A. Spectrophotometric and spectroscopic studies of charge transfer complex of 1-Naphthylamine as an electron donor with picric acid as an electron acceptor in different polar solvents. J. Mol. Struct. 2010, 977, 197–202. [Google Scholar] [CrossRef]
- Leve, A. Inorganic Electronic Spectroscopy; Elsevier: Amsterdam, The Netherlands, 1985. [Google Scholar]
- Voigt, E.; Reid, C. Ionization potentials of substituted benzenes and their charge-transfer spectra with tetracyanoethylene. J. Am. Chem. Soc. 1964, 86, 3930–3934. [Google Scholar] [CrossRef]
- Rathore, R.; Lindeman, S.V.; Kochi, J.K. Charge-transfer probes for molecular recognition via steric hindrance in donor-acceptor pairs. J. Am. Chem. Soc. 1997, 119, 9393–9404. [Google Scholar] [CrossRef] [Green Version]
- Briegleb, G. Electron affinities of organic molecules. Angew. Chem. 1964, 76, 326–341. [Google Scholar] [CrossRef]
- Aloisi, G.G.; Pignataro, S. Molecular complexes of substituted thiophens with σ and π acceptors. Charge transfer spectra and ionization potentials of the donors. J. Chem. Soc. Faraday Trans. 1 Phys. Chem. Condens. Phases 1973, 69, 534–539. [Google Scholar] [CrossRef]
- Mourad, A.F.E. Charge-transfer complexes of heterocyclic azines with Π-acceptors. Spectrochim. Acta A 1985, 41, 347–350. [Google Scholar] [CrossRef]
- Chowdhury, S.; Kebarle, P. Electron affinities of di-and tetracyanoethylene and cyanobenzenes based on measurements of gas-phase electron-transfer equilibria. J. Am. Chem. Soc. 1986, 108, 5453–5459. [Google Scholar] [CrossRef]
- Briegleb, G.; Czekalla, J. Intensity of electron transition bands in electron donator–acceptor complexes. Z. Physik. Chem. 1960, 24, 37–54. [Google Scholar] [CrossRef]
- Miller, J.C.; Miller, J.N. Statistics for Analytical Chemistry, 2nd ed.; Ellis Horwood Limited: Hempstead, UK, 1988. [Google Scholar]
- Thompson, J.D.; Xidos, J.D.; Sonbuchner, T.M.; Cramer, C.J.; Truhlar, D.G. More reliable partial atomic charges when using diffuse basis sets. PhysChemComm 2002, 5, 117–134. [Google Scholar] [CrossRef]
- Foresman, J.B.; Frisch, A.E. Exploring Chemistry with Electronic Structure Methods, 2nd ed.; Gaussian: Pittsburgh, PA, USA, 1996. [Google Scholar]
- Kosar, B.; Albayrak, C. Spectroscopic investigations and quantum chemical computational study of (E)-4-methoxy-2-[(p-tolylimino)methyl]phenol. Spectrochim. Acta A 2011, 78, 160–167. [Google Scholar] [CrossRef]
- Koopmans, T.A. On the assignment of wave functions and eigenvalues to the individual electron of an atom. Physica 1993, 1, 104–113. [Google Scholar] [CrossRef]
- Parr, R.G.; Yang, W. Density-Functional Theory of Atoms and Molecules; Oxford University Press: New York, NY, USA, 1989. [Google Scholar]
- Parr, P.G.; Von Szentpàly, L.; Liu, S.B. Electrophilicity index. J. Am. Chem. Soc. 1999, 121, 1922–1924. [Google Scholar] [CrossRef]
- Scott, A.P.; Radom, L. Harmonic vibrational frequencies: An evaluation of hartree-fock, moller-plesset, quadratic configuration interaction, density functional theory, and semiempirical scale factors. J. Phys. Chem. 1996, 100, 16502–16513. [Google Scholar] [CrossRef]
- Frisch, M.J.; Trucks, G.W.; Schlegel, H.B.; Scuseria, G.E.; Robb, M.A.; Cheeseman, J.R.; Scalmani, G.; Barone, V.; Mennucci, B.; Petersson, G.A.; et al. Gaussian 09; Revision A.I; Gaussian, Inc.: Wallingford, CT, USA, 2009. [Google Scholar]
- Dennington, R., II; Keith, T.; Millam, J. GaussView, Version 4.1; Semichem Inc.: Shawnee Mission, KS, USA, 2007. [Google Scholar]
- Zhurko, G.A.; Zhurko, D.A. Chemcraft Software: Lite Version Build 08 (Freeware). 2005. Available online: https://www.chemcraftprog.com/ (accessed on 26 September 2021).
- Glendening, E.D.; Reed, A.E.; Carpenter, J.E.; Weinhold, F. NBO Version 3.1, CI; University of Wisconsin: Madison, WI, USA, 1998. [Google Scholar]
- Reed, A.E.; Curtiss, L.A.F. Intermolecular interactions from a natural bond orbital, donor-acceptor viewpoint. Chem. Rev. 1988, 88, 899–926. [Google Scholar] [CrossRef]
- Cossi, M.; Scalmani, G.; Rega, N.; Barone, V. New developments in the polarizable continuum model for quantum mechanical and classical calculations on molecules in solution. J. Chem. Phys. 2002, 117, 43–45. [Google Scholar] [CrossRef]
















| ANCHCl3. | Abs. at lmax = 584 nm | |||||
|---|---|---|---|---|---|---|
| [CA] mol L−1 | [CD] mol L−1 | 293K | 298K | 303K | 308K | 313K |
| 1.0 × 10−4 | 2.0 × 10−5 | 0.082 | 0.084 | 0.092 | 0.095 | 0.098 |
| 1.0 × 10−4 | 3.0 × 10−5 | 0.115 | 0.115 | 0.112 | 0.111 | 0.108 |
| 1.0 × 10−4 | 4.0 × 10−5 | 0.177 | 0.179 | 0.181 | 0.183 | 0.185 |
| 1.0 × 10−4 | 5.0 × 10−5 | 0.215 | 0.215 | 0.214 | 0.213 | 0.212 |
| 1.0 × 10−4 | 6.0 × 10−5 | 0.231 | 0.23 | 0.228 | 0.227 | 0.227 |
| 1.0 × 10−4 | 7.0 × 10−5 | 0.247 | 0.247 | 0.244 | 0.242 | 0.24 |
| 1.0 × 10−4 | 8.0 × 10−5 | 0.277 | 0.274 | 0.27 | 0.267 | 0.264 |
| 1.0 × 10−4 | 9.0 × 10−5 | 0.311 | 0.309 | 0.305 | 0.301 | 0.299 |
| 1.0 × 10−4 | 1.0 × 10−4 | 0.322 | 0.321 | 0.318 | 0.311 | 0.307 |
| 1.0 × 10−4 | 1.1 × 10−4 | 0.367 | 0.365 | 0.363 | 0.362 | 0.36 |
| 1.0 × 10−4 | 1.2 × 10−4 | 0.37 | 0.373 | 0.372 | 0.373 | 0.374 |
| 1.0 × 10−4 | 1.3 × 10−4 | 0.379 | 0.387 | 0.385 | 0.383 | 0.383 |
| Formation constant (KCT) | 5.0 × 103 | 5.0 × 103 | 5.0 × 103 | 5.0 × 103 | 5.0 × 103 | |
| Absorptivity coefficient (εCT) | 10 × 103 | 10 × 103 | 10 × 103 | 10 × 103 | 10 × 103 | |
| Correlation coefficient (R2) | 0.991 | 0.988 | 0.983 | 0.976 | 0.97 | |
| −ΔG° (kJ mol−1) | 20.751 | 21.105 | 21.459 | 21.814 | 22.168 | |
| ANDCM | Abs. at λmax = 587 nm | |||||
| [CA] mol L−1 | [CD] mol L−1 | 293K | 298K | 303K | 308K | 313K |
| 1.0 × 10−4 | 2.0 × 10−5 | 0.135 | 0.137 | 0.135 | 0.132 | 0.129 |
| 1.0 × 10−4 | 3.0 × 10−5 | 0.192 | 0.188 | 0.183 | 0.178 | 0.174 |
| 1.0 × 10−4 | 4.0 × 10−5 | 0.262 | 0.258 | 0.253 | 0.246 | 0.241 |
| 1.0 × 10−4 | 5.0 × 10−5 | 0.319 | 0.310 | 0.304 | 0.296 | 0.290 |
| 1.0 × 10−4 | 6.0 × 10−5 | 0.362 | 0.354 | 0.347 | 0.339 | 0.333 |
| 1.0 × 10−4 | 7.0 × 10−5 | 0.383 | 0.375 | 0.367 | 0.358 | 0.350 |
| 1.0 × 10−4 | 8.0 × 10−5 | 0.385 | 0.378 | 0.370 | 0.363 | 0.354 |
| 1.0 × 10−4 | 9.0 × 10−5 | 0.450 | 0.444 | 0.436 | 0.428 | 0.419 |
| 1.0 × 10−4 | 1.0 × 10−4 | 0.474 | 0.466 | 0.458 | 0.453 | 0.443 |
| 1.0 × 10−4 | 1.1 × 10−4 | 0.483 | 0.477 | 0.470 | 0.463 | 0.456 |
| 1.0 × 10−4 | 1.2 × 10−4 | 0.503 | 0.498 | 0.492 | 0.487 | 0.480 |
| 1.0 × 10−4 | 1.3 × 10−4 | 0.544 | 0.539 | 0.533 | 0.528 | 0.520 |
| Formation constant (KCT) | 10 × 103 | 10 × 103 | 10 × 103 | 10 × 103 | 10 × 103 | |
| Absorptivity coefficient (εCT) | 10 × 103 | 10 × 103 | 10 × 103 | 10 × 103 | 10 × 103 | |
| Correlation coefficient (R2) | 0.993 | 0.995 | 0.996 | 0.996 | 0.995 | |
| −ΔG° (kJ mol−1) | 22.441 | 22.823 | 23.206 | 23.589 | 23.972 | |
| [CA] mol L−1 | [CD] mol L−1 | Abs. at λmax = 417 nm | ||||
|---|---|---|---|---|---|---|
| 293 K | 298 K | 303 K | 308 K | 313 K | ||
| 1.0 × 10−4 | 1.0 × 10−5 | 0.149 | 0.15 | 0.148 | 0.149 | 0.147 |
| 1.0 × 10−4 | 2.0 × 10−5 | 0.315 | 0.315 | 0.314 | 0.312 | 0.31 |
| 1.0 × 10−4 | 3.0 × 10−5 | 0.471 | 0.471 | 0.469 | 0.466 | 0.463 |
| 1.0 × 10−4 | 4.0 × 10−5 | 0.634 | 0.633 | 0.629 | 0.626 | 0.621 |
| 1.0 × 10−4 | 5.0 × 10−5 | 0.789 | 0.789 | 0.787 | 0.781 | 0.778 |
| 1.0 × 10−4 | 6.0 × 10−5 | 0.932 | 0.93 | 0.927 | 0.919 | 0.916 |
| 1.0 × 10−4 | 7.0 × 10−5 | 1.064 | 1.061 | 1.056 | 1.051 | 1.047 |
| 1.0 × 10−4 | 8.0 × 10−5 | 1.147 | 1.145 | 1.136 | 1.131 | 1.125 |
| 1.0 × 10−4 | 9.0 × 10−5 | 1.179 | 1.177 | 1.168 | 1.163 | 1.157 |
| Formation constant (KCT) | 1.5 × 103 | 1.5 × 103 | 1.5 × 103 | 1.5 × 103 | 1.5 × 103 | |
| Absorptivity coefficient (εCT) | 11 × 104 | 11 × 104 | 11 × 104 | 11 × 104 | 11 × 104 | |
| Correlation coefficient (R2) | 0.997 | 0.997 | 0.997 | 0.997 | 0.997 | |
| −ΔG° (kJ mol−1) | 17.818 | 18.122 | 18.426 | 18.73 | 19.034 | |
| Solvents | KCT at 293 K | εCT at 293 K | εΤ | α | β |
|---|---|---|---|---|---|
| ANCHCl3 | 5.0 × 103 | 10 × 103 | - | - | - |
| ANDCM | 10 × 103 | 10 × 103 | - | - | - |
| CHCl3 | - | - | 4.81 | 0.44 | 0.1 |
| DCM | - | - | 8.93 | 0.13 | 0.1 |
| AN | - | - | 37.5 | 0.19 | 0.31 |
| Acceptor | Solvent Systems | Temp | IP (eV) | f | µCT (Debye) | ECT (eV) | W (eV) | RN (eV) |
|---|---|---|---|---|---|---|---|---|
| DDQ | ANCHCl3 | 293 k | 8.38 | 5.038 | 25 | 2.13 | 4.35 | 0.071 |
| 298 k | 8.38 | 5.144 | 25.26 | 4.35 | 0.073 | |||
| 303 k | 8.38 | 5.118 | 25.2 | 4.35 | 0.072 | |||
| 313 k | 8.38 | 5.091 | 25.13 | 4.35 | 0.072 | |||
| ANDCM | 293 k | 8.37 | 7.231 | 30.03 | 2.119 | 4.35 | 0.097 | |
| 298 k | 8.37 | 7.165 | 29.98 | 4.35 | 0.096 | |||
| 303 k | 8.37 | 7.085 | 29.72 | 4.35 | 0.095 | |||
| 313 k | 8.37 | 7.018 | 29.58 | 4.35 | 0.094 | |||
| TCNE | DCE | 293 K | 9.17 | 35.46 | 56.05 | 2.98 | 3.28 | 0.32 |
| 298 K | 9.17 | 35.31 | 55.93 | 3.28 | 0.32 | |||
| 303 K | 9.17 | 35.04 | 55.72 | 3.28 | 0.32 | |||
| 308 K | 9.17 | 34.89 | 55.6 | 3.28 | 0.32 | |||
| 313 K | 9.17 | 34.71 | 55.45 | 3.28 | 0.31 |
| Parameters | AMFP–DDQ Method | AMFP–TCNE Method | |
|---|---|---|---|
| ANCHCl3 | ANDCM | DCE | |
| Beer’s law limits, µg mL−1 | 1.0–7.6 | 0.5–7.0 | 0.1–7.6 |
| LOD, µg mL−1 | 0.5085 | 0.4082 | 0.2726 |
| LOQ, µg mL−1 | 1.5411 | 1.237 | 0.8261 |
| Regression equation | Y = 0.0491x − 0.0553 | Y = 0.0595x + 0.0267 | Y = 0.1237x + 0.0152 |
| Intercept, a ± Sa | −0.0553 ± 0.0044 | 0.0267 ± 0.0074 | 0.0152 ± 0.0102 |
| Slope, b ± Sb | 0.0491 ± 0.0009 | 0.0595 ± 0.0015 | 0.1237 ± 0.0023 |
| Sy/x | 0.0053 | 0.0135 | 0.0206 |
| Correlation coefficient, R | 0.999 | 0.996 | 0.9978 |
| Acceptor | Solvent System | Amount Taken, µg mL−1 | Amount Found, µg mL−1 | a % Rec | b % RSD | c % RE | d Confidence Limits |
|---|---|---|---|---|---|---|---|
| DDQ | ANCHCl3 | 2.18 | 2.17 | 99.47 | 1.95 | 0.52 | 99.47 ± 0.05 |
| 3.27 | 3.23 | 98.69 | 0.82 | 1.31 | 98.69 ± 0.03 | ||
| 4.37 | 4.36 | 99.8 | 0.58 | 0.2 | 99.80 ± 0.03 | ||
| 5.46 | 5.38 | 98.66 | 1.68 | 1.34 | 98.66 ± 0.11 | ||
| 6.55 | 6.49 | 99.15 | 0.22 | 0.85 | 99.15 ± 0.02 | ||
| ANDCM | 2.73 | 2.71 | 99.26 | 0.32 | 0.74 | 99.26 ± 0.01 | |
| 3.82 | 3.86 | 101.1 | 1.1 | 1.07 | 101.1 ± 0.05 | ||
| 4.37 | 4.35 | 99.68 | 1.16 | 0.32 | 99.68 ± 0.06 | ||
| 4.91 | 4.97 | 101.2 | 0.36 | 1.24 | 101.2 ± 0.02 | ||
| 5.46 | 5.64 | 100.1 | 1.54 | 0.05 | 100.1 ± 0.10 | ||
| 7.09 | 7.12 | 100.3 | 1.9 | 0.3 | 100.3 ± 0.17 | ||
| TCNE | DCE | 3.27 | 3.22 | 98.24 | 1.03 | 1.76 | 98.24 ± 0.04 |
| 3.82 | 3.8 | 99.5 | 0.66 | 0.5 | 99.50 ± 0.03 | ||
| 4.91 | 5.05 | 102.8 | 1.33 | 2.8 | 102.8 ± 0.08 | ||
| 6.00 | 5.99 | 99.72 | 1.81 | 0.28 | 99.72 ± 0.13 | ||
| 6.55 | 6.45 | 98.51 | 0.53 | 1.49 | 98.51 ± 0.04 |
| Parameter | DDQ | TCNE | AMFP |
|---|---|---|---|
| HOMO | −10.604 | −11.410 | −7.345 |
| LUMO | −3.594 | −3.432 | 0.782 |
| Ip | 10.604 | 11.410 | 7.345 |
| A | 3.594 | 3.432 | −0.782 |
| μ | −7.099 | −7.421 | −3.282 |
| η | 3.505 | 3.989 | 4.063 |
| ω | 7.190 | 6.902 | 1.325 |
| Donor Orbital | Acceptor Orbital | E(2) | Donor Orbital | Acceptor Orbital | E(2) |
|---|---|---|---|---|---|
| AMFP–DDQ | AMFP–TCNE | ||||
| AMFP-Fragment | |||||
| BD(2) C1-C2 | BD*(2) N3-C4 | 28.56 | BD(2) C1-C6 | BD*(2) C2-N3 | 45.49 |
| BD(2) C1-C2 | BD*(2) C5-C6 | 35.64 | BD(2) C1-C6 | BD*(2) C4-C5 | 24.90 |
| BD(2) N3-C4 | BD*(2) C1-C2 | 39.64 | BD(2) C2-N3 | BD*(2) C1-C6 | 21.36 |
| BD(2) N3-C4 | BD*(2) C5-C6 | 21.68 | BD(2) C2-N3 | BD*(2) C4-C5 | 40.47 |
| BD(2) C5-C6 | BD*(2) C1-C2 | 28.38 | BD(2) C4-C5 | BD*(2) C1-C6 | 38.36 |
| BD(2) C5-C6 | BD*(2) N3-C4 | 44.24 | BD(2) C4-C5 | BD*(2) C2-N3 | 28.12 |
| LP(1) N3 | BD*(1) C1-C2 | 11.56 | LP(1) N3 | BD*(1) C1-C2 | 11.72 |
| LP(1) N3 | BD*(1) C4-C5 | 12.09 | LP(1) N3 | BD*(1) C4-C5 | 11.45 |
| LP(1) N7 | BD*(2) C5-C6 | 29.16 | LP(1) N7 | BD*(2) C4-C5 | 17.85 |
| LP(1) N8 | BD*(2) C5-C6 | 32.46 | LP(1) N8 | BD*(2) C1-C6 | 36.15 |
| DDQ–Fragment | TCNE-Fragment | ||||
| BD(1) C13-C19 | BD*(1) C19-N21 | 5.870 | BD(2) C13-C14 | BD*(3) C15-N16 | 17.53 |
| BD(1) C14-C20 | BD*(1) C20-N22 | 5.990 | BD(2) C13-C14 | BD*(3) C17-N18 | 17.88 |
| BD(1) C15-C16 | BD*(1) C17-Cl23 | 6.190 | BD(2) C13-C14 | BD*(3) C19-N20 | 16.72 |
| BD(1) C17-C18 | BD*(1) C16-Cl24 | 6.030 | BD(2) C13-C14 | BD*(3) C21-N22 | 17.05 |
| BD(1) C20-N22 | BD*(1) C14-C20 | 6.290 | BD(3) C15-N16 | BD*(2) C13-C14 | 13.34 |
| BD(2) C13-C14 | BD*(2) C15-O26 | 18.64 | BD(3) C17-N18 | BD*(2) C13-C14 | 12.51 |
| BD(2) C13-C14 | BD*(2) C18-O25 | 18.97 | BD(3) C19-N20 | BD*(2) C13-C14 | 14.57 |
| BD(2) C13-C14 | BD*(3) C19-N21 | 17.90 | BD(3) C21-N22 | BD*(2) C13-C14 | 13.70 |
| BD(2) C13-C14 | BD*(3) C20-N22 | 17.20 | BD(1) C13-C14 | BD*(1) C17-N18 | 5.060 |
| BD(2) C15-O26 | BD*(2) C13-C14 | 7.780 | LP(1) N16 | BD*(1) C13-C15 | 14.95 |
| BD(2) C13-C14 | BD*(2) C16-C17 | 7.170 | LP(1) N18 | BD*(1) C13-C17 | 15.02 |
| BD(2) C16-C17 | BD*(2) C15-O26 | 19.45 | LP(1) N20 | BD*(1) C14-C19 | 15.19 |
| BD(2) C16-C17 | BD*(2) C18-O25 | 20.87 | LP(1) N22 | BD*(1) C14-C21 | 14.98 |
| BD(2) C18-O25 | BD*(2) C13-C14 | 7.120 | BD(1) C13-C17 | BD*(1) C17-N18 | 5.960 |
| BD(2) C18-O25 | BD*(2) C16-C17 | 6.750 | BD(1) C14-C19 | BD*(1) C19-N20 | 5.900 |
| BD(2) C13-C14 | BD*(2) C15-O26 | 18.64 | BD(1) C14-C21 | BD*(1) C21-N22 | 5.730 |
| BD(3) C19-N21 | BD*(2) C13-C14 | 13.44 | BD(1) C15-N16 | BD*(1) C13-C15 | 6.240 |
| BD(3) C20-N22 | BD*(2) C13-C14 | 13.77 | BD(1) C17-N18 | BD*(1) C13-C17 | 6.250 |
| LP(1) N21 | BD*(1) C13-C19 | 14.40 | BD(1) C19-N20 | BD*(1) C14-C19 | 6.470 |
| LP(1) N22 | BD*(1) C14-C20 | 14.46 | BD(1) C21-N22 | BD*(1) C14-C21 | 6.130 |
| LP(2)Cl23 | BD*(1) C16-C17 | 5.610 | |||
| LP(2)Cl23 | BD*(1) C17-C18 | 6.980 | |||
| LP(3)Cl23 | BD*(2) C16-C17 | 26.20 | |||
| LP(2)Cl24 | BD*(1) C15-C16 | 7.310 | |||
| LP(2)Cl24 | BD*(1) C16-C17 | 5.720 | |||
| LP(3)Cl24 | BD*(2) C16-C17 | 27.41 | |||
| LP(2) O25 | BD*(1) C13-C18 | 29.16 | |||
| LP(2) O25 | BD*(1) C17-C18 | 28.92 | |||
| LP(2) O26 | BD*(1) C14-C15 | 29.29 | |||
| LP(2) O26 | BD*(1) C15-C16 | 29.34 | |||
| LP(2) O26 | BD*(3) C19-N21 | 12.00 | |||
| LP(2) O26 | BD*(3) C20-N22 | 10.93 | |||
Publisher’s Note: MDPI stays neutral with regard to jurisdictional claims in published maps and institutional affiliations. |
© 2021 by the authors. Licensee MDPI, Basel, Switzerland. This article is an open access article distributed under the terms and conditions of the Creative Commons Attribution (CC BY) license (https://creativecommons.org/licenses/by/4.0/).
Share and Cite
Alghanmi, R.M.; Basha, M.T.; Soliman, S.M.; Alsaeedi, R.K. New Charge Transfer Complexes of K+-Channel-Blocker Drug (Amifampridine; AMFP) for Sensitive Detection; Solution Investigations and DFT Studies. Molecules 2021, 26, 6037. https://doi.org/10.3390/molecules26196037
Alghanmi RM, Basha MT, Soliman SM, Alsaeedi RK. New Charge Transfer Complexes of K+-Channel-Blocker Drug (Amifampridine; AMFP) for Sensitive Detection; Solution Investigations and DFT Studies. Molecules. 2021; 26(19):6037. https://doi.org/10.3390/molecules26196037
Chicago/Turabian StyleAlghanmi, Reem M., Maram T. Basha, Saied M. Soliman, and Razan K. Alsaeedi. 2021. "New Charge Transfer Complexes of K+-Channel-Blocker Drug (Amifampridine; AMFP) for Sensitive Detection; Solution Investigations and DFT Studies" Molecules 26, no. 19: 6037. https://doi.org/10.3390/molecules26196037
APA StyleAlghanmi, R. M., Basha, M. T., Soliman, S. M., & Alsaeedi, R. K. (2021). New Charge Transfer Complexes of K+-Channel-Blocker Drug (Amifampridine; AMFP) for Sensitive Detection; Solution Investigations and DFT Studies. Molecules, 26(19), 6037. https://doi.org/10.3390/molecules26196037

