Determination of 13-cis-Retinoic Acid and Its Metabolites in Plasma by Micellar Electrokinetic Chromatography Using Cyclodextrin-Assisted Sweeping for Sample Preconcentration
Abstract
:1. Introduction
2. Results and Discussion
2.1. Optimization of the Protein Precipitation with Liquid-Liquid Extraction (PP-LLE) Conditions
2.1.1. Effects of pH Value of Plasma
2.1.2. Effects of Protein Precipitation Reagents
2.1.3. Effects of Extracting Solvent
2.1.4. Compare the Different Extraction Methods
2.2. Optimization of CD-Sweeping Conditions
2.2.1. SDS Concentration in the Sweeping Buffer
2.2.2. HP-β-CD Concentrations in Sweeping Buffer
2.2.3. Borate Buffer Concentrations in the Sample Solution
2.2.4. Methanol Proportion in the Sample Solution
2.2.5. The Injection Sample Amount
2.3. Selective Experiment
2.4. Analytical Figures of Merit
2.5. CD-Sweeping Sensitivity Enhancement
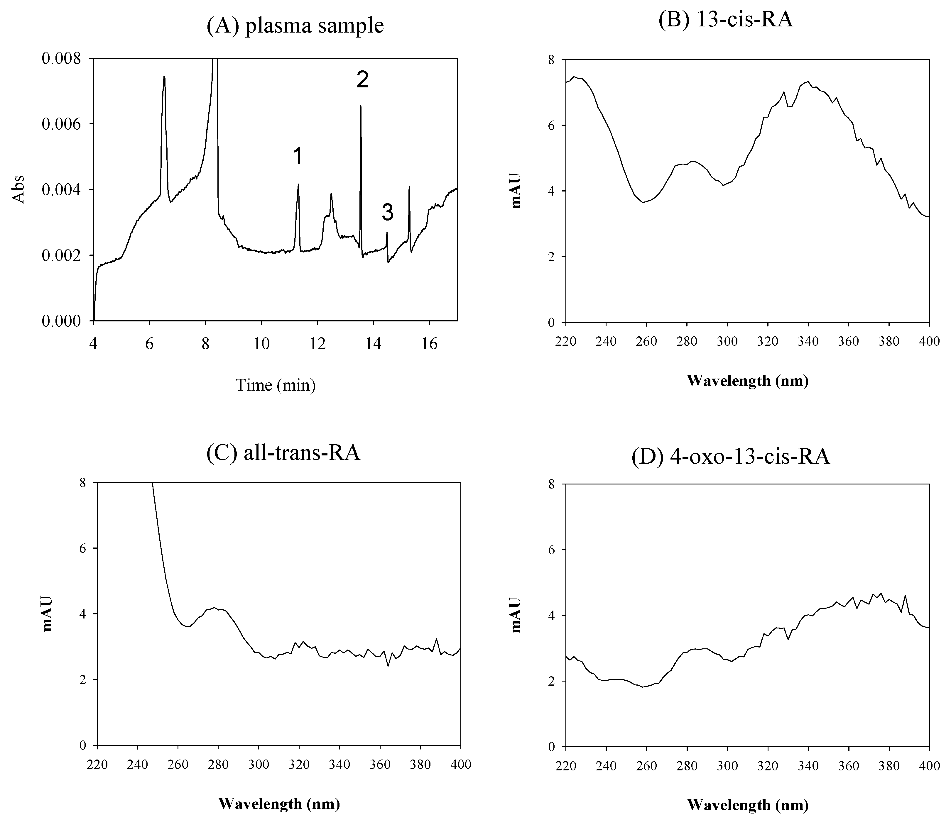
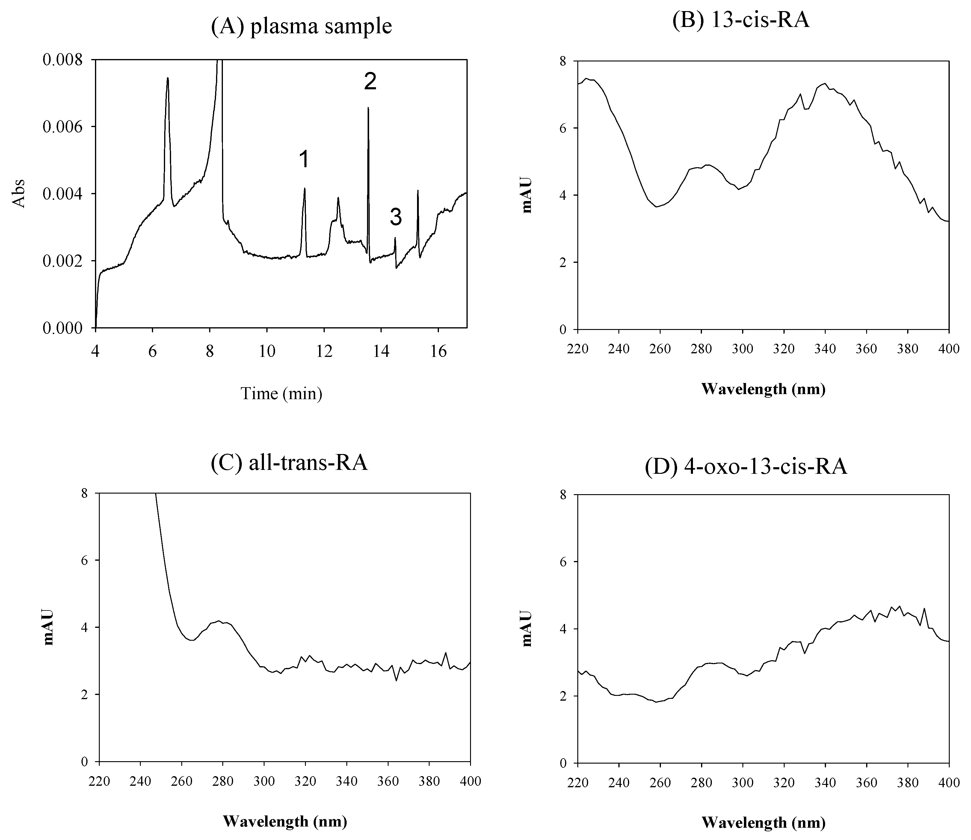
2.6. Application
3. Materials and Methods
3.1. Reagents and Chemicals
3.2. CE Conditions
3.3. Plasma Sample Pretreatment
4. Conclusions
Supplementary Materials
Author Contributions
Funding
Institutional Review Board Statement
Informed Consent Statement
Data Availability Statement
Conflicts of Interest
Sample Availability
References
- Zouboulis, C.J. Isotretinoin revisited: Pluripotent effects on human sebaceous gland cells. Investig. Dermatol. 2006, 126, 2154–2156. [Google Scholar] [CrossRef] [PubMed] [Green Version]
- Grønhøj Larsen, F.; Jakobsen, P.; Grønhøj Larsen, C. The metabolism and pharmacokinetics of isotretinoin in patients with acne and rosacea are not influenced by ethanol. Br. J. Dermatol. 2009, 161, 664–670. [Google Scholar] [CrossRef]
- Brazzell, R.K.; Colburn, W.A. Pharmacokinetics of the retinoids isotretinoin and etretinate: A comparative review. J. Am. Acad. Dermatol. 1982, 6, 643–651. [Google Scholar] [CrossRef]
- Wiegand, U.W.; Chou, R.C. Pharmacokinetics of oral isotretinoin. J. Am. Acad. Dermatol. 1998, 39, S8–S12. [Google Scholar] [CrossRef]
- Baumann, L.; Saghari, S.; Weisberg, E. Cosmetic Dermatology-Principles and Practice, 2nd ed.; Mc Graw Hill Medical: New York, NY, USA, 2009; pp. 121–258. [Google Scholar]
- Brzezinski, P.; Borowska, K.; Chiriac, A.; Smigielski, J. Adverse effects of isotretinoin: A large, retrospective review. J. Dermatol Ther. 2017, 30, e12483. [Google Scholar] [CrossRef]
- McLane, J. Analysis of common side effects of isotretinoin. J. Am. Acad. Dermatol. 2001, 45, S188–S194. [Google Scholar] [CrossRef]
- Shihabi, Z.K. Therapeutic drug monitoring by capillary electrophoresis. J. Chromatogr. A. 1998, 807, 27–36. [Google Scholar] [CrossRef]
- Zhu, Q.; Scriba, G.K.E. Analysis of small molecule drugs, excipients and counter ions in pharmaceuticals by capillary electromigration methods–recent developments. J. Pharm. Biomed. Anal. 2018, 147, 425–438. [Google Scholar] [CrossRef]
- Deeb, S.; El Wätzig, H.; El-Hady, D.A.; Sänger-van de Griend, C.; Scriba, G.K.E. Recent advances in capillary electrophoretic migration techniques for pharmaceutical analysis (2013–2015). Electrophoresis 2016, 37, 1591–1608. [Google Scholar] [CrossRef] [PubMed]
- Štěpánová, S.; Kašička, V. Determination of impurities and counterions of pharmaceuticals by capillary electromigration methods. J. Sep. Sci. 2014, 37, 2039–2055. [Google Scholar] [CrossRef] [PubMed]
- Ghiasvand, A.; Feng, Z.; Quirino, J.P. Enrichment and separation of cationic, neutral, and chiral analytes by micelle to cyclodextrin stacking–micellar electrokinetic chromatography. Anal. Chem. 2019, 91, 1752–1757. [Google Scholar] [CrossRef]
- Peng, L.Q.; Zhen, X.T.; Yang, J.; Chen, Y.; Wang, S.L.; Xie, T. Simultaneous separation and concentration of neutral analytes by cyclodextrin assisted sweeping-micellar electrokinetic chromatography. Anal. Chim. Acta 2020, 1105, 224–230. [Google Scholar] [CrossRef]
- Gotti, R.; Fiori, J.; Bosi, S.; Dinelli, G. Field-amplified sample injection and sweeping micellar electrokinetic chromatography in analysis of glyphosate and aminomethylphosphonic acid in wheat. J. Chromatogr. A 2019, 1601, 357–364. [Google Scholar] [CrossRef]
- Chen, S.Y.; Chen, W.C.; Chang, S.Y. Cyclodextrin-assisted dispersive liquid–liquid microextraction for the preconcentration of carbamazepine and clobazam with subsequent sweeping micellar electrokinetic chromatography. J. Sep. Sci. 2018, 41, 1871–1879. [Google Scholar] [CrossRef]
- Shih, T.; Shealy, Y.; Strother, D.; Hill, D. Nonenzymatic isomerization of all-trans-and 13-cis-retinoids catalyzed by sulfhydryl groups. Drug Metab. Dispos. 1986, 14, 698–702. [Google Scholar]
- Wang, C.J.; Pao, L.H.; Hsiong, C.H.; Wu, C.Y.; Whang-Peng, J.J.K.; Hu, O.Y.P. Novel inhibition of cis/trans retinoic acid interconversion in biological fluids—an accurate method for determination of trans and 13-cis retinoic acid in biological fluids. J. Chromatogr. B. 2003, 796, 283–291. [Google Scholar] [CrossRef]
- Wells, D.A. Protein precipitation: High throughput techniques and strategies for method development. In Progress in Pharmaceutical and Biomedical Analysis; Elsevier: Amsterdam, The Netherlands, 2003; pp. 199–254. [Google Scholar]
- Chemicalize by Chemoxn Ltd. Available online: http://chemicalize.org/ (accessed on 20 May 2018).
- Kole, P.L.; Venkatesh, G.; Kotecha, J.; Sheshala, R. Recent advances in sample preparation techniques for effective bioanalytical methods. Biomed. Chromatogr. 2011, 25, 199–217. [Google Scholar] [CrossRef]
- Blanchard, J. Evaluation of the relative efficacy of various techniques for deproteinizing plasma samples prior to high-performance liquid chromatographic analysis. J. Chromatogr. B Biomed. Sci. Appl. 1981, 226, 455–460. [Google Scholar] [CrossRef]
- Pubchem by National Center for Biotechnology Information. Available online: http://pubchem.ncbi.nlm.nih.gov/ (accessed on 20 May 2018).
- Introduction to Capillary Electrophoresis; Beckman Coulter, Inc.: Brea, CA, USA, 1991; pp. 1–10.
- Xu, X.; Liu, L.; Jia, Z.; Shu, Y. Determination of enrofloxacin and ciprofloxacin in foods of animal origin by capillary electrophoresis with field amplified sample stacking–sweeping technique. Food Chem. 2015, 176, 219–225. [Google Scholar] [CrossRef] [PubMed]
- Schwer, C.; Kenndler, E. Electrophoresis in fused-silica capillaries: The influence of organic solvents on the electroosmotic velocity and the. zeta. potential. Anal. Chem. 1991, 63, 1801–1807. [Google Scholar] [CrossRef]
- Hata, K.; Nonaka, N.; Sato, N.; Kaneta, T. Simultaneous separation of 17 anions by capillary electrophoresis with the addition of an organic solvent. Electrophoresis 2021, 42, 1317–1322. [Google Scholar] [CrossRef]
- Fejős, I.; Kalydi, E.; Malanga, M.; Benkovics, G.; Béni, S. Single isomer cyclodextrins as chiral selectors in capillary electrophoresis. J. Chromatogr. A 2020, 1627, 461375. [Google Scholar] [CrossRef] [PubMed]
- Scriba, K.E. Chiral recognition in separation sciences. Part I: Polysaccharide and cyclodextrin selectors. Trends Anal.Chem. 2019, 120, 115639. [Google Scholar] [CrossRef]
- Whatley, H. Basic Principles and Modes of Capillary Electrophoresis. Clinical and Forensic Applications of Capillary Electrophoresis; Springer: Berlin/Heidelberg, Germany, 2001; pp. 21–58. [Google Scholar]
- Del Valle, E.M.M. Cyclodextrins and their uses: A review. Process Biochem. 2004, 39, 1033–1046. [Google Scholar] [CrossRef]
- Yap, K.; Liu, X.; Thenmozhiyal, J.; Ho, P. Characterization of the 13-cis-retinoic acid/cyclodextrin inclusion complexes by phase solubility, photostability, physicochemical and computational analysis. Eur. J. Pharm. Sci. 2005, 25, 49–56. [Google Scholar] [CrossRef] [PubMed]
- Dong, M.W. Modern HPLC for Practicing Scientists; Wiley & Sons: Hoboken, NJ, USA, 2006; pp. 24–26. [Google Scholar]






| Concentration (ng/mL) | Intra-Day (n = 3) | Inter-Day (n = 5) | ||
|---|---|---|---|---|
| RSD (%) | RE (%) | RSD (%) | RE (%) | |
| 13-cis-RA | ||||
| 30 | 2.56 | −0.65 | 3.07 | 0.84 |
| 250 | 3.50 | −1.71 | 2.93 | −0.58 |
| 950 | 2.19 | −0.97 | 3.52 | 1.28 |
| All-trans-RA | ||||
| 30 | 1.74 | −0.65 | 1.17 | −1.87 |
| 250 | 4.34 | −0.65 | 4.18 | 0.87 |
| 950 | 0.93 | 0.48 | 2.47 | −1.25 |
| 4-oxo-13-cis-RA | ||||
| 100 | 1.21 | 0.93 | 1.75 | −0.36 |
| 400 | 0.94 | 5.71 | 1.31 | 6.13 |
| 1400 | 1.73 | −1.53 | 3.66 | 0.80 |
Publisher’s Note: MDPI stays neutral with regard to jurisdictional claims in published maps and institutional affiliations. |
© 2021 by the authors. Licensee MDPI, Basel, Switzerland. This article is an open access article distributed under the terms and conditions of the Creative Commons Attribution (CC BY) license (https://creativecommons.org/licenses/by/4.0/).
Share and Cite
Huang, Y.-X.; Chao, Y.-Y.; Lin, Y.-H.; Liou, J.-R.; Chan, H.-C.; Chen, Y.-L. Determination of 13-cis-Retinoic Acid and Its Metabolites in Plasma by Micellar Electrokinetic Chromatography Using Cyclodextrin-Assisted Sweeping for Sample Preconcentration. Molecules 2021, 26, 5865. https://doi.org/10.3390/molecules26195865
Huang Y-X, Chao Y-Y, Lin Y-H, Liou J-R, Chan H-C, Chen Y-L. Determination of 13-cis-Retinoic Acid and Its Metabolites in Plasma by Micellar Electrokinetic Chromatography Using Cyclodextrin-Assisted Sweeping for Sample Preconcentration. Molecules. 2021; 26(19):5865. https://doi.org/10.3390/molecules26195865
Chicago/Turabian StyleHuang, Ying-Xuan, Yu-Ying Chao, Yi-Hui Lin, Jing-Ru Liou, Hai-Chi Chan, and Yen-Ling Chen. 2021. "Determination of 13-cis-Retinoic Acid and Its Metabolites in Plasma by Micellar Electrokinetic Chromatography Using Cyclodextrin-Assisted Sweeping for Sample Preconcentration" Molecules 26, no. 19: 5865. https://doi.org/10.3390/molecules26195865
APA StyleHuang, Y.-X., Chao, Y.-Y., Lin, Y.-H., Liou, J.-R., Chan, H.-C., & Chen, Y.-L. (2021). Determination of 13-cis-Retinoic Acid and Its Metabolites in Plasma by Micellar Electrokinetic Chromatography Using Cyclodextrin-Assisted Sweeping for Sample Preconcentration. Molecules, 26(19), 5865. https://doi.org/10.3390/molecules26195865

