Analysis of Molar Substitution of Hydroxybutyl Group by Zeisel Reaction in Starch Ethers
Abstract
:1. Introduction
2. Experimental
2.1. Materials
2.2. Method
2.3. Calibration
3. Results and Discussion
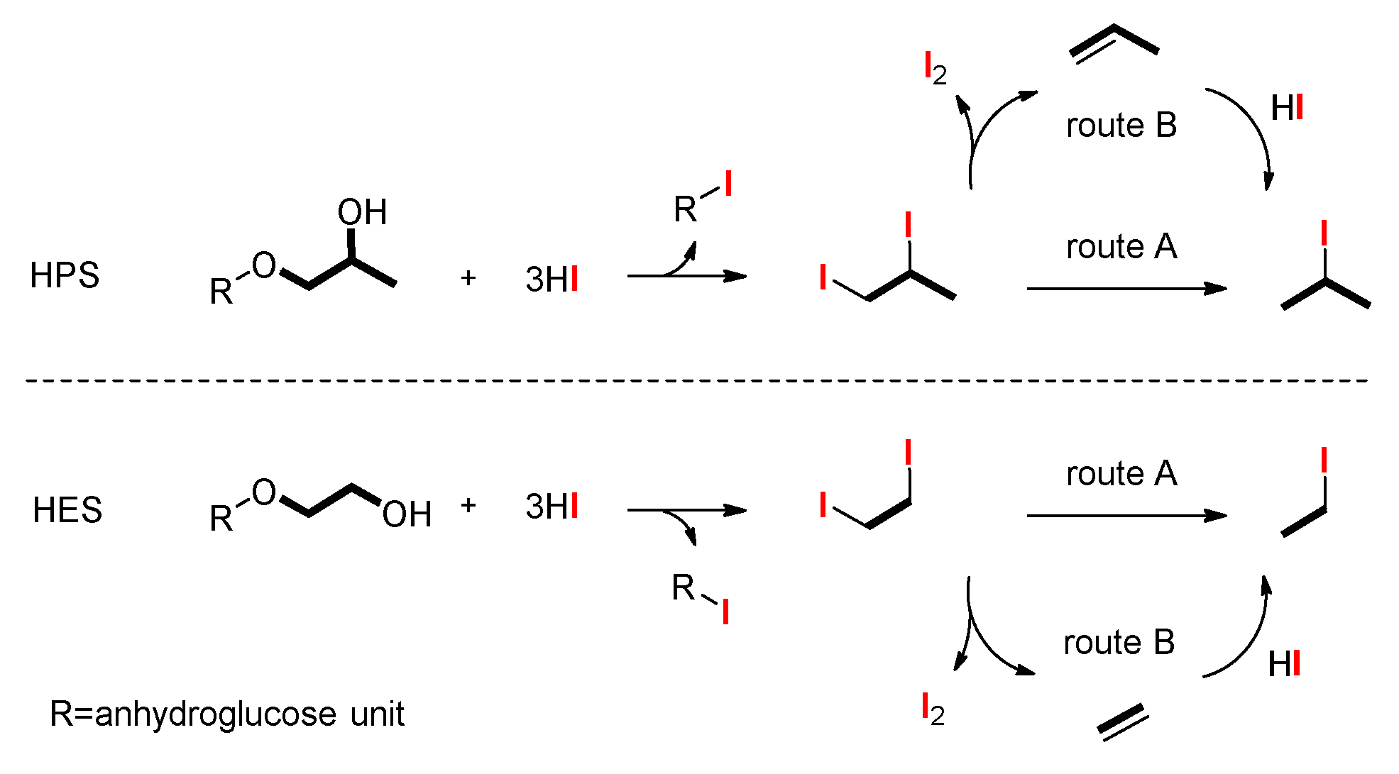
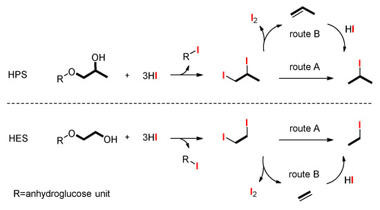
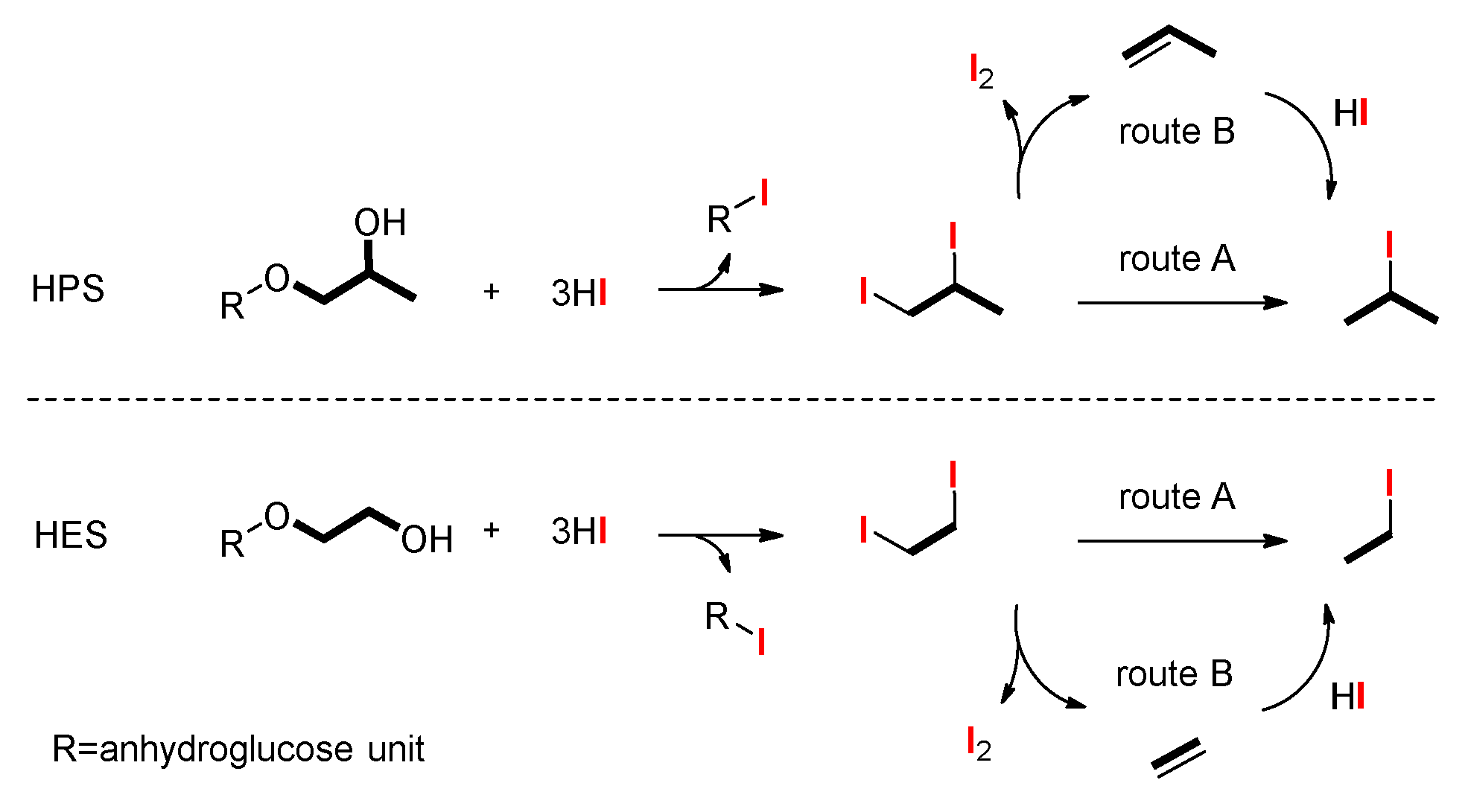
3.1. Process and Mechanism
3.2. Method Application
3.3. Characterisation
3.3.1. FTIR Spectroscopy
3.3.2. NMR Spectroscopy
4. Conclusions
Supplementary Materials
Author Contributions
Funding
Institutional Review Board Statement
Informed Consent Statement
Data Availability Statement
Conflicts of Interest
Sample Availability
References
- Fu, Z.; Zhang, L.; Ren, M.H.; BeMiller, J.N. Developments in Hydroxypropylation of Starch: A Review. Starch 2019, 71, 1800167. [Google Scholar] [CrossRef] [Green Version]
- Botha, C.; Viktor, Z.; Moire, C.; Farcet, C.; Brothier, F.; Pfukwa, H.; Pasch, H. Separation of hydrophobically modified hyaluronic acid according to the degree of substitution by gradient elution high performance liquid chromatography. Anal. Bioanal. Chem. 2018, 410, 4259–4273. [Google Scholar] [CrossRef]
- Wang, Y.W.; Li, A.M.; Yang, H. Effects of substitution degree and molecular weight of carboxymethyl starch on its scale inhibition. Desalination 2017, 408, 60–69. [Google Scholar] [CrossRef]
- Bellmann, R.; Feistritzer, C.; Wiedermann, C.J. Effect of Molecular Weight and Substitution on Tissue Uptake of Hydroxyethyl Starch. Clin. Pharmacokinet. 2012, 51, 225–236. [Google Scholar] [CrossRef]
- Kaur, B.; Ariffin, F.; Bhat, R.; Karim, A.A. Progress in starch modification in the last decade. Food Hydrocolloid. 2012, 26, 398–404. [Google Scholar] [CrossRef]
- Zhang, G.X.; She, Y.; You, Y.Q.; Yan, L.X.; Shi, B. The application of an advanced visualized method in synthesis process optimization of carboxymethyl hydroxyethyl starch. Carbohydr. Polym. 2012, 79, 673–676. [Google Scholar] [CrossRef]
- Lee, Y.C.; Baaske, D.M.; Carter, J.E. Determination of the molar substitution ratio of hydroxyethyl starches by gas chromatography. Anal. Chem. 1983, 55, 334–338. [Google Scholar] [CrossRef]
- Tai, H.; Powers, R.M.; Protzman, T.F. Determination of Hydroxyethyl Group in Hydroxyethyl Starch by Pyrolysis-Gas Chromatographic Technique. Anal. Chem. 1964, 36, 108–110. [Google Scholar] [CrossRef]
- Lortz, H.J. Determination of Hydroxyalkyl Groups in Low-Substituted Starch Ethers. Anal. Chem. 1956, 28, 892–895. [Google Scholar] [CrossRef]
- Cobler, J.G.; Samsel, E.P.; Beaver, G.H. Determination of alklyl cellulose ethers by gas chromatography. Talanta 1962, 9, 473–481. [Google Scholar] [CrossRef]
- Hodges, K.L.; Kester, W.E.; Wiederrich, D.L.; Grover, J.A. Determination of alkoxyl substitution in cellulose ethers by Zeisel gas chromatography. Anal. Chem. 1979, 51, 2172–2176. [Google Scholar] [CrossRef]
- Johnson, D.P. Spectrophotometric determination of the hydroxypropyl group in starch ethers. Anal. Chem. 1969, 41, 859–860. [Google Scholar] [CrossRef]
- Chun, E.H.; Oh, S.M.; Kim, H.Y.; Kim, B.Y.; Baik, M.Y. Effect of high hydrostatic pressure treatment on conventional hydroxypropylation of maize starch. Carbohydr. Polym. 2016, 146, 328–336. [Google Scholar] [CrossRef] [PubMed]
- Harry-O’Kuru, R.E.; Moser, K.B.; Gordon, S.H. Colorimetric determination of the molar substitution of 2-hydroxybutyl and related starch ethers. Carbohydr. Polym. 1992, 17, 313–318. [Google Scholar] [CrossRef]
- Wokadala, O.C.; Emmambux, N.M.; Ray, S.S. Inducing PLA/starch compatibility through butyl-etherification of waxy and high amylose starch. Carbohydr. Polym. 2014, 112, 216–224. [Google Scholar] [CrossRef] [PubMed]
- Zhang, B.S.; Yu, H.; Wang, J.P.; Qu, Z.H. Effects of the degree of substitution (DS) during hydroxybutylation on the physicochemical characteristics of maize starch. Mod. Food Sci. Technol. 2014, 30, 85–91. [Google Scholar]
- Dong, S.T.; Li, S.; Hao, Y.C.; Gao, Q.Y. Hydroxybutyl starch-based thermosensitive hydrogel for protein separation. Int. J. Biol. Macromol. 2019, 134, 165–171. [Google Scholar] [CrossRef]
- Zheng, B.W.; Karski, M.; Taylor, S.D. Thermoresponsive hydroxybutylated starch nanoparticles. Carbohydr. Polym. 2019, 209, 145–151. [Google Scholar] [CrossRef] [PubMed]
- Liu, X.L.; Zhang, K.; Hu, Y.; Zhang, Z.J.; Chen, J.; Ma, T.L.; Wang, J.J. Determination of Molar Substitution of γ-Hydroxypropyl Starch. Starch 2020, 73, 2000013. [Google Scholar] [CrossRef]
- Jones, L.R.; Riddick, J.A. Colorimetric Determination of 1,2-Propanediol and Related Compounds. Anal. Chem. 1957, 29, 1214–1216. [Google Scholar] [CrossRef]
- Morgan, P.W. Determination of Ethers and Esters of Ethylene Glycol. A Modified Alkoxyl Analysis. Ind. Eng. Chem. Anal. Ed. 1946, 18, 500–504. [Google Scholar] [CrossRef]
- Chuenkamol, B.; Puttanlek, C.; Rungsardthong, V.; Uttapap, D. Characterization of low-substituted hydroxypropylated canna starch. Food Hydrocolloid. 2007, 21, 1123–1132. [Google Scholar] [CrossRef]
- Lawal, O.S.; Ogundiran, O.O.; Adesogan, E.K.; Ogunsanwo, B.M.; Sosanwo, O.A. Effect of Hydroxypropylation on the Properties of White Yam (Dioscorea rotundata) Starch. Starch 2008, 60, 340–348. [Google Scholar] [CrossRef]
- Lawal, O.S. Hydroxypropylation of pigeon pea (Cajanus cajan) starch: Preparation, functional characterizations and enzymatic digestibility. Lwt-Food Sci. Technol. 2011, 44, 771–778. [Google Scholar] [CrossRef] [Green Version]
- Gan, L.X.; Xu, A.S.; Seib, P.A. Syntheses of Methyl 2-O-, 3-O- and 6-O-(2′-Hydroxypropyl)-α-D-Glucopyranosides. J. Carbohydr. Chem. 1997, 16, 155–164. [Google Scholar] [CrossRef]
- Ju, B.Z.; Yan, D.M.; Zhang, S.F. Micelles self-assembled from thermoresponsive 2-hydroxy-3-butoxypropyl starches for drug delivery. Carbohydr. Polym. 2012, 87, 1404–1409. [Google Scholar] [CrossRef]







| Entry | Sample [a] | Amt Added [b]/mg | a [c]/mg | b [d]/mg | Theoretical Weight [e]/mg |
|---|---|---|---|---|---|
| 1 | tetrahydrofuran | 32.6 | 1.59 | 78.00 | 83.19 |
| 2 | 1,4-butanediol | 25.1 | 0.98 | 47.93 | 51.25 |
| 3 | 1-iodobutane | 40.1 | 27.63 | 10.83 | 40.1 |
| 4 [f] | 1-iodobutane | 27.8 | 24.70 | 1.58 | 27.8 |
| 5 [g] | 1-iodobutane | 37.5 | 18.44 | 17.60 | 37.5 |
| Sample [a] | Amt Added [b]/mg | Peak Area Ratio [c] | Observed/mg [d] | MS [e] |
|---|---|---|---|---|
| 1 | 58 | 0.078 | 2.74 | 0.042 |
| 2 | 51 | 0.112 | 4.26 | 0.076 |
| 3 | 56 | 0.177 | 7.24 | 0.120 |
Publisher’s Note: MDPI stays neutral with regard to jurisdictional claims in published maps and institutional affiliations. |
© 2021 by the authors. Licensee MDPI, Basel, Switzerland. This article is an open access article distributed under the terms and conditions of the Creative Commons Attribution (CC BY) license (https://creativecommons.org/licenses/by/4.0/).
Share and Cite
Man, X.-L.; Peng, W.-K.; Chen, J.; Liu, X.-L. Analysis of Molar Substitution of Hydroxybutyl Group by Zeisel Reaction in Starch Ethers. Molecules 2021, 26, 5509. https://doi.org/10.3390/molecules26185509
Man X-L, Peng W-K, Chen J, Liu X-L. Analysis of Molar Substitution of Hydroxybutyl Group by Zeisel Reaction in Starch Ethers. Molecules. 2021; 26(18):5509. https://doi.org/10.3390/molecules26185509
Chicago/Turabian StyleMan, Xiao-Lei, Wei-Kang Peng, Jun Chen, and Xue-Li Liu. 2021. "Analysis of Molar Substitution of Hydroxybutyl Group by Zeisel Reaction in Starch Ethers" Molecules 26, no. 18: 5509. https://doi.org/10.3390/molecules26185509
APA StyleMan, X.-L., Peng, W.-K., Chen, J., & Liu, X.-L. (2021). Analysis of Molar Substitution of Hydroxybutyl Group by Zeisel Reaction in Starch Ethers. Molecules, 26(18), 5509. https://doi.org/10.3390/molecules26185509
