Harnessing the Anti-Nociceptive Potential of NK2 and NK3 Ligands in the Design of New Multifunctional μ/δ-Opioid Agonist–Neurokinin Antagonist Peptidomimetics
Abstract
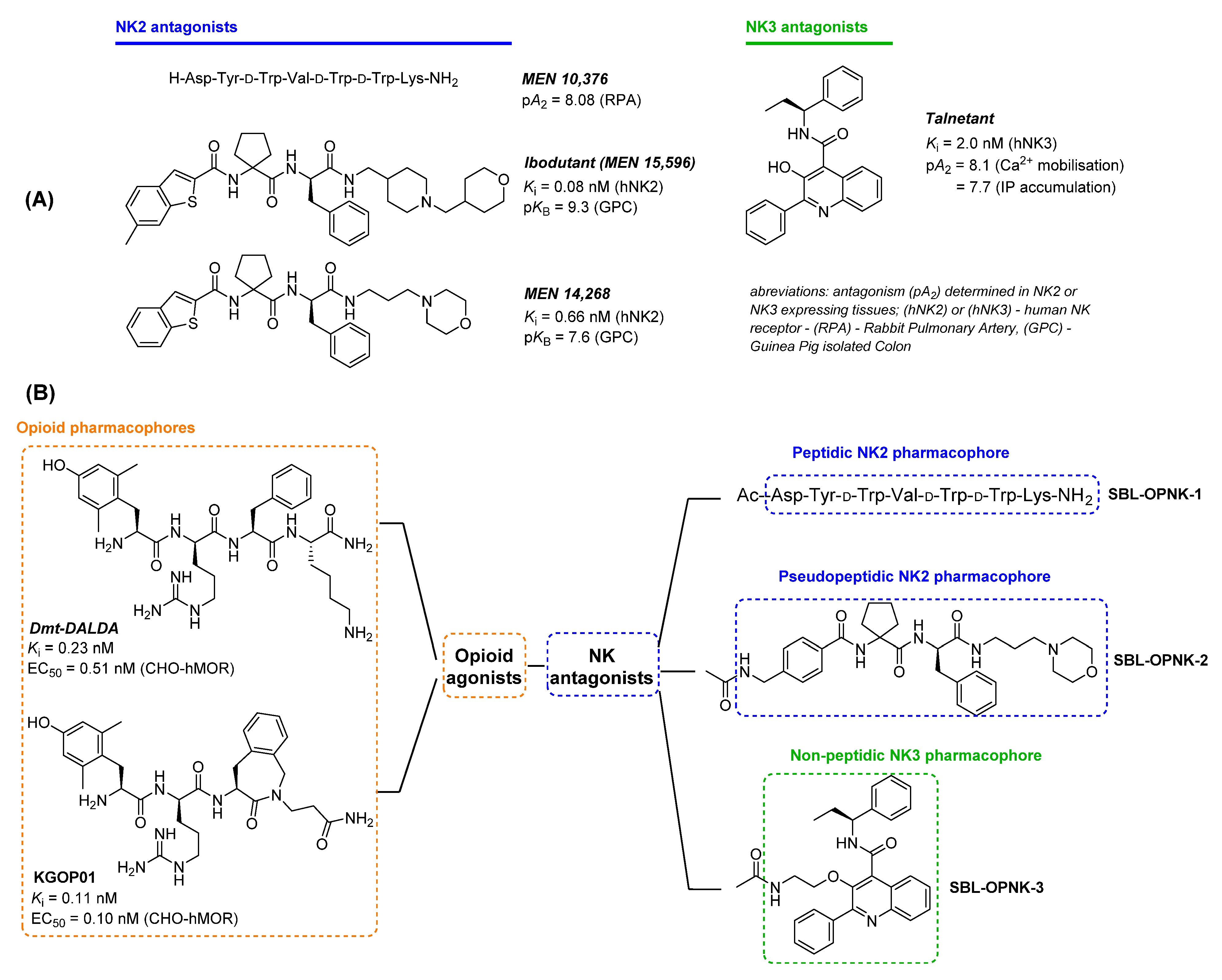
1. Introduction
2. Results
2.1. Chemistry
2.2. Biological Evaluation
2.2.1. Opioid Receptor Affinity Assay
2.2.2. Calcium Mobilization Assay
2.2.3. Neurokinin Receptors Binding Affinity Assay
3. Discussion
4. Materials and Methods
4.1. Chemistry
Peptide Synthesis
4.2. In Vitro Biological Evaluation
4.2.1. Drugs
4.2.2. Opioid Receptor Radioligand Binding Assay
4.2.3. Calcium Mobilization Assay
4.2.4. NK2 and NK3 Binding Assays
Supplementary Materials
Author Contributions
Funding
Institutional Review Board Statement
Informed Consent Statement
Conflicts of Interest
Sample Availability
References
- Cuitavi, J.; Hipólito, L.; Canals, M. The Life Cycle of the Mu-Opioid Receptor. Trends Biochem. Sci. 2021, 46, 315–328. [Google Scholar] [CrossRef]
- Przewlocki, R.; Przewlocka, B. Opioids in Neuropathic Pain. Curr. Pharm. Des. 2005, 11, 3013–3025. [Google Scholar] [CrossRef]
- Sauriyal, D.S.; Jaggi, A.S.; Singh, N. Extending Pharmacological Spectrum of Opioids beyond Analgesia: Multifunctional Aspects in Different Pathophysiological States. Neuropeptides 2011, 45, 175–188. [Google Scholar] [CrossRef] [PubMed]
- Benyamin, R. Opioid Complications and Side Effects. Pain Physician 2008, 11, S105–S120. [Google Scholar] [CrossRef] [PubMed]
- Noble, M.; Treadwell, J.R.; Tregear, S.J.; Coates, V.H.; Wiffen, P.J.; Akafomo, C.; Schoelles, K.M. Long-Term Opioid Management for Chronic Noncancer Pain. Cochrane Database Syst. Rev. 2010, 2010, CD006605. [Google Scholar] [CrossRef] [PubMed]
- Lee, M.; Silverman, S.; Hansen, H.; Patel, V.; Manchikanti, L. A Comprehensive Review of Opioid-Induced Hyperalgesia. Pain Physician 2011, 14, 145–161. [Google Scholar] [CrossRef]
- Jehangir, A.; Parkman, H.P. Chronic Opioids in Gastroparesis: Relationship with Gastrointestinal Symptoms, Healthcare Utilization and Employment. World J. Gastroenterol. 2017, 23, 7310–7320. [Google Scholar] [CrossRef]
- Szigethy, E.; Knisely, M.; Drossman, D. Opioid Misuse in Gastroenterology and Non-Opioid Management of Abdominal Pain. Nat. Rev. Gastroenterol. Hepatol. 2018, 15, 168–180. [Google Scholar] [CrossRef]
- Lutz, P.-E.; Kieffer, B.L. Opioid Receptors: Distinct Roles in Mood Disorders. Trends Neurosci. 2013, 36, 195–206. [Google Scholar] [CrossRef]
- Bershad, A.K.; Miller, M.A.; Norman, G.J.; de Wit, H. Effects of Opioid- and Non-Opioid Analgesics on Responses to Psychosocial Stress in Humans. Horm. Behav. 2018, 102, 41–47. [Google Scholar] [CrossRef]
- Morphy, R.; Rankovic, Z. Designed Multiple Ligands. An Emerging Drug Discovery Paradigm. J. Med. Chem. 2005, 48, 6523–6543. [Google Scholar] [CrossRef] [PubMed]
- Steinhoff, M.S.; von Mentzer, B.; Geppetti, P.; Pothoulakis, C.; Bunnett, N.W. Tachykinins and Their Receptors: Contributions to Physiological Control and the Mechanisms of Disease. Physiol. Rev. 2014, 94, 265–301. [Google Scholar] [CrossRef]
- Gadais, C.; Ballet, S. The Neurokinins: Peptidomimetic Ligand Design and Therapeutic Applications. Curr. Med. Chem. 2020, 27, 1515–1561. [Google Scholar] [CrossRef]
- Malherbe, P.; Ballard, T.M.; Ratni, H. Tachykinin Neurokinin 3 Receptor Antagonists: A Patent Review (2005–2010). Expert Opin. Ther. Pat. 2011, 21, 637–655. [Google Scholar] [CrossRef] [PubMed]
- Altamura, M. Tachykinin NK2 Receptor Antagonists. A Patent Review (2006–2010). Expert Opin. Ther. Pat. 2012, 22, 57–77. [Google Scholar] [CrossRef] [PubMed]
- Geppetti, P.; Veldhuis, N.A.; Lieu, T.; Bunnett, N.W. G Protein-Coupled Receptors: Dynamic Machines for Signaling Pain and Itch. Neuron 2015, 88, 635–649. [Google Scholar] [CrossRef] [PubMed]
- Giri, A.K.; Apostol, C.R.; Wang, Y.; Forte, B.L.; Largent-Milnes, T.M.; Davis, P.; Rankin, D.; Molnar, G.; Olson, K.M.; Porreca, F.; et al. Discovery of Novel Multifunctional Ligands with μ/δ Opioid Agonist/Neurokinin-1 (NK1) Antagonist Activities for the Treatment of Pain. J. Med. Chem. 2015, 58, 8573–8583. [Google Scholar] [CrossRef] [PubMed]
- Nair, P.; Yamamoto, T.; Cowell, S.; Kulkarni, V.; Moye, S.; Navratilova, E.; Davis, P.; Ma, S.-W.; Vanderah, T.W.; Lai, J.; et al. Discovery of Tripeptide-Derived Multifunctional Ligands Possessing Delta/Mu Opioid Receptor Agonist and Neurokinin 1 Receptor Antagonist Activities. Bioorg. Med. Chem. Lett. 2015, 25, 3716–3720. [Google Scholar] [CrossRef] [PubMed]
- Guillemyn, K.; Starnowska, J.; Lagard, C.; Dyniewicz, J.; Rojewska, E.; Mika, J.; Chung, N.N.; Utard, V.; Kosson, P.; Lipkowski, A.W.; et al. Bifunctional Peptide-Based Opioid Agonist–Nociceptin Antagonist Ligands for Dual Treatment of Acute and Neuropathic Pain. J. Med. Chem. 2016, 59, 3777–3792. [Google Scholar] [CrossRef]
- Guillemyn, K.; Kleczkowska, P.; Lesniak, A.; Dyniewicz, J.; Van der Poorten, O.; Van den Eynde, I.; Keresztes, A.; Varga, E.; Lai, J.; Porreca, F.; et al. Synthesis and Biological Evaluation of Compact, Conformationally Constrained Bifunctional Opioid Agonist—Neurokinin-1 Antagonist Peptidomimetics. Eur. J. Med. Chem. 2015, 92, 64–77. [Google Scholar] [CrossRef]
- Zhang, W.; Wang, Y.; Chu, Y.-X. Tacr3/NK3R: Beyond Their Roles in Reproduction. ACS Chem. Neurosci. 2020, 11, 2935–2943. [Google Scholar] [CrossRef]
- Gallantine, E.L.; Meert, T.F. Attenuation of the Gerbil Writhing Response by μ-, κ- and δ-Opioids, and NK-1, -2 and -3 Receptor Antagonists. Pharmacol. Biochem. Behav. 2004, 79, 125–135. [Google Scholar] [CrossRef]
- Berezowska, I.; Lemieux, C.; Chung, N.N.; Zelent, B.; Schiller, P.W. Dansylated Analogues of the Opioid Peptide [Dmt1]DALDA: In Vitro Activity Profiles and Fluorescence Parameters. Acta Biochim. Pol. 2004, 51, 107–113. [Google Scholar] [CrossRef]
- Dumitrascuta, M.; Bermudez, M.; Ballet, S.; Wolber, G.; Spetea, M. Mechanistic Understanding of Peptide Analogues, DALDA, [Dmt1]DALDA, and KGOP01, Binding to the Mu Opioid Receptor. Molecules 2020, 25, 2087. [Google Scholar] [CrossRef] [PubMed]
- Maggi, C.A.; Giuliani, S.; Ballati, L.; Lecci, A.; Manzini, S.; Patacchini, R.; Renzetti, A.R.; Rovero, P.; Quartara, L.; Giachetti, A. In Vivo Evidence for Tachykininergic Transmission Using a New NK-2 Receptor-Selective Antagonist, MEN-10,376. J. Pharmacol. Exp. Ther. 1991, 257, 1172–1178. [Google Scholar]
- Fedi, V.; Altamura, M.; Catalioto, R.-M.; Giannotti, D.; Giolitti, A.; Giuliani, S.; Guidi, A.; Harmat, N.J.S.; Lecci, A.; Meini, S.; et al. Discovery of a New Series of Potent and Selective Linear Tachykinin NK2 Receptor Antagonists. J. Med. Chem. 2007, 50, 4793–4807. [Google Scholar] [CrossRef]
- Dawson, L.A.; Cato, K.J.; Scott, C.; Watson, J.M.; Wood, M.D.; Foxton, R.; de la Flor, R.; Jones, G.A.; Kew, J.N.; Cluderay, J.E.; et al. In Vitro and In Vivo Characterization of the Non-Peptide NK 3 Receptor Antagonist SB-223412 (Talnetant): Potential Therapeutic Utility in the Treatment of Schizophrenia. Neuropsychopharmacology 2008, 33, 1642–1652. [Google Scholar] [CrossRef] [PubMed]
- Ballet, S.; Feytens, D.; Buysse, K.; Chung, N.N.; Lemieux, C.; Tumati, S.; Keresztes, A.; Van Duppen, J.; Lai, J.; Varga, E.; et al. Design of Novel Neurokinin 1 Receptor Antagonists Based on Conformationally Constrained Aromatic Amino Acids and Discovery of a Potent Chimeric Opioid Agonist-Neurokinin 1 Receptor Antagonist. J. Med. Chem. 2011, 54, 2467–2476. [Google Scholar] [CrossRef] [PubMed][Green Version]
- Giardina, G.A.M.; Sarau, H.M.; Farina, C.; Medhurst, A.D.; Grugni, M.; Raveglia, L.F.; Schmidt, D.B.; Rigolio, R.; Luttmann, M.; Vecchietti, V.; et al. Discovery of a Novel Class of Selective Non-Peptide Antagonists for the Human Neurokinin-3 Receptor. 1. Identification of the 4-Quinolinecarboxamide Framework. J. Med. Chem. 1997, 40, 1794–1807. [Google Scholar] [CrossRef] [PubMed]
- Camarda, V.; Calo, G. Chimeric G Proteins in Fluorimetric Calcium Assays: Experience with Opioid Receptors; Humana Press: Totowa, NJ, USA, 2013; pp. 293–306. [Google Scholar]
- Schiller, P.W.; Nguyen, T.M.-D.; Berezowska, I.; Dupuis, S.; Weltrowska, G.; Chung, N.N.; Lemieux, C. Synthesis and in Vitro Opioid Activity Profiles of DALDA Analogues. Eur. J. Med. Chem. 2000, 35, 895–901. [Google Scholar] [CrossRef]
- Schiller, P.W. Bi- or Multifunctional Opioid Peptide Drugs. Life Sci. 2010, 86, 598–603. [Google Scholar] [CrossRef]
- Betti, C.; Starnowska, J.; Mika, J.; Dyniewicz, J.; Frankiewicz, L.; Novoa, A.; Bochynska, M.; Keresztes, A.; Kosson, P.; Makuch, W.; et al. Dual Alleviation of Acute and Neuropathic Pain by Fused Opioid Agonist-Neurokinin 1 Antagonist Peptidomimetics. ACS Med. Chem. Lett. 2015, 6, 1209–1214. [Google Scholar] [CrossRef]
- Starnowska, J.; Costante, R.; Guillemyn, K.; Popiolek-Barczyk, K.; Chung, N.N.; Lemieux, C.; Keresztes, A.; Van Duppen, J.; Mollica, A.; Streicher, J.; et al. Analgesic Properties of Opioid/NK1 Multitarget Ligands with Distinct in Vitro Profiles in Naive and Chronic Constriction Injury Mice. ACS Chem. Neurosci. 2017, 8, 2315–2324. [Google Scholar] [CrossRef]
- Tack, J.F.; Dochev, Y.S.; Bochenek, A.; Atanasov, I.; Horynski, M.; Lundqvist, P.; Schumacher, K.; Otranto, I.; Capriati, A.; Maggi, C.A. Efficacy of Ibodutant, a Selective Antagonist of Neurokinin 2 Receptors, in Irritable Bowel Syndrome With Diarrhoea (IBS-D): The Results of a Double-Blind, Randomised, Placebo-Controlled, Parallel-Group Phase II Study (the IRIS-2). Gastroenterology 2013, 144, S92–S93. [Google Scholar] [CrossRef]
- Tack, J.; Schumacher, K.; Tonini, G.; Scartoni, S.; Capriati, A.; Maggi, C.A.; Iris, I. The Neurokinin-2 Receptor Antagonist Ibodutant Improves Overall Symptoms, Abdominal Pain and Stool Pattern in Female Patients in a Phase II Study of Diarrhoea-Predominant IBS. Gut 2017, 66, 1403–1413. [Google Scholar] [CrossRef]
- Sanger, G.J. Neurokinin NK1 and NK3 Receptors as Targets for Drugs to Treat Gastrointestinal Motility Disorders and Pain. Br. J. Pharmacol. 2004, 141, 1303–1312. [Google Scholar] [CrossRef]
- Drieu la Rochelle, A.; Guillemyn, K.; Dumitrascuta, M.; Martin, C.; Utard, V.; Quillet, R.; Schneider, S.; Daubeuf, F.; Willemse, T.; Mampuys, P.; et al. A Bifunctional-Biased Mu-Opioid Agonist–Neuropeptide FF Receptor Antagonist as Analgesic with Improved Acute and Chronic Side Effects. Pain 2018, 159, 1705–1718. [Google Scholar] [CrossRef]
- Gonzalez, S.; Dumitrascuta, M.; Eiselt, E.; Louis, S.; Kunze, L.; Blasiol, A.; Vivancos, M.; Previti, S.; Dewolf, E.; Martin, C.; et al. Optimized Opioid-Neurotensin Multitarget Peptides: From Design to Structure–Activity Relationship Studies. J. Med. Chem. 2020, 63, 12929–12941. [Google Scholar] [CrossRef] [PubMed]
- Yung-Chi, C.; Prusoff, W.H. Relationship between the Inhibition Constant (KI) and the Concentration of Inhibitor Which Causes 50 per Cent Inhibition (I50) of an Enzymatic Reaction. Biochem. Pharmacol. 1973, 22, 3099–3108. [Google Scholar] [CrossRef]
- Aharony, D.; Little, J.; Powell, S.; Hopkins, B.; Bundell, K.R.; McPheat, W.L.; Gordon, R.D.; Hassall, G.; Hockney, R.; Griffin, R. Pharmacological Characterization of Cloned Human NK-2 (Neurokinin A) Receptor Expressed in a Baculovirus/Sf-21 Insect Cell System. Mol. Pharmacol. 1993, 44, 356–363. [Google Scholar] [PubMed]
- Sarau, H.M.; Griswold, D.E.; Potts, W.; Foley, J.J.; Schmidt, D.B.; Webb, E.F.; Martin, L.D.; Brawner, M.E.; Elshourbagy, N.A.; Medhurst, A.D.; et al. Nonpeptide Tachykinin Receptor Antagonists: I. Pharmacological and Pharmacokinetic Characterization of SB 223412, a Novel, Potent and Selective Neurokinin-3 Receptor Antagonist. J. Pharmacol. Exp. Ther. 1997, 281, 1303–1311. [Google Scholar] [PubMed]






| Compound | Ki [nM] ± SEM | ||
|---|---|---|---|
| MOR | DOR | KOR | |
| Dmt-DALDA | 0.61 ± 0.02 | 2313 | 128.98 ± 8.02 |
| KGOP01 | 0.12 ± 0.06 | 4.88 ± 0.11 | 72.75 ± 4.32 |
| SBL-OPNK-4 | 1.02 ± 0.03 | 1251.18 | 90.50 ± 5.69 |
| SBL-OPNK-5 | 2.11 ± 0.04 | 10.02 ± 3.20 | 90.72 ± 0.94 |
| SBL-OPNK-6 | 74.93 ± 0.15 | 22377 | 100.44 ± 1.16 |
| SBL-OPNK-7 | 2.83 ± 0.02 | 3.26 ± 0.09 | 52.98 ± 3.20 |
| SBL-OPNK-8 | 119.68 ± 5.25 | 4574.17 | 103.83 ± 6.12 |
| SBL-OPNK-9 | 5.43 ± 0.08 | 6.57 ± 4.02 | 97.15 ± 4.72 |
| MOR | DOR | KOR | ||||
|---|---|---|---|---|---|---|
| EC50 ± SEM (nM) | α ± SEM | EC50 ± SEM (nM) | α ± SEM | EC50 ± SEM (nM) | α ± SEM | |
| dermorphin | 4.64 ± 0.57 | 1.00 | Inactive a | inactive | ||
| DPDPE | inactive | 37.62 ± 15.80 | 1.00 | inactive | ||
| dynorphin A | 230 ± 54 a | 0.83 ± 0.10 a | 19.70 ± 0.82 a | 0.99 ± 0.04 a | 4.76 ± 1.40 | 1.00 |
| Dmt-DALDA | 5.61 ± 0.61 | 1.00 ± 0.06 | inactive | 3179 ± 1583 | 0.55 ± 0.02 | |
| KGOP01 | 0.54 ± 0.06 | 1.04 ± 0.04 | 75.61 ± 13.09 | 1.02 ± 0.07 | crc incomplete | |
| SBL-OPNK-4 | 815 ± 145 | 0.74 ± 0.05 | inactive | crc incomplete | ||
| SBL-OPNK-5 | 10.21 ± 0.67 | 0.91 ± 0.04 | 117.73 ± 25.96 | 1.01 ± 0.03 | 415 ± 133 | 0.44 ± 0.06 |
| SBL-OPNK-6 | 988 ± 82 | 0.67 ± 0.05 | inactive | crc incomplete | ||
| SBL-OPNK-7 | 13.08 ± 1.84 | 0.89 ± 0.04 | 66.53 ± 11.65 | 1.02 ± 0.02 | inactive | |
| SBL-OPNK-8 | 916 ± 106 | 0.65 ± 0.02 | inactive | crc incomplete | ||
| SBL-OPNK-9 | 31.30 ± 7.39 | 0.83 ± 0.05 | 84.07 ± 17.95 | 1.02 ± 0.03 | crc incomplete | |
| Compounds | IC50 [nM] ± SEM | Ki [nM] ± SEM | |
|---|---|---|---|
| References | [Nle10]-NKA(4-10) | 2.1 | 1.1 |
| SB 222200 | 10 | 5.7 | |
| NK2 pharmacophores | SBL-OPNK-1 | 33.6 ± 11.9 a | 18.3 ± 13.0 |
| SBL-OPNK-2 | n.c. a | n.c. | |
| NK3 pharmacophore | SBL-OPNK-3 | 20.3 ± 7.2 b | 11.0 ± 7.8 |
| Hybrids | SBL-OPNK-5 | 3.0 ± 1.0 a | 1.6 ± 1.1 |
| SBL-OPNK-7 | 0.63 ± 0.22 a | 0.34 ± 0.24 | |
| SBL-OPNK-9 | 6.7 ± 2.4 b | 3.6 ± 2.5 | |
| Receptors | Source | Ligand | Conc. | KD | Non-Specific | Incubation | Detection Method |
|---|---|---|---|---|---|---|---|
| NK2 (h) (agonist radioligand) | Human recombinant (CHO cells) | [125I]NKA | 0.1 nM | 0.12 nM | [Nleu10]-NKA(4-10) (300 nM) | 60 min RT | Scintillation counting |
| NK3 (h) (antagonist radioligand) | Human recombinant (CHO cells) | [3H]SR 142801 | 0.4 nM | 0.47 nM | SB 222200 (10 μM) | 120 min RT | Scintillation counting |
Publisher’s Note: MDPI stays neutral with regard to jurisdictional claims in published maps and institutional affiliations. |
© 2021 by the authors. Licensee MDPI, Basel, Switzerland. This article is an open access article distributed under the terms and conditions of the Creative Commons Attribution (CC BY) license (https://creativecommons.org/licenses/by/4.0/).
Share and Cite
Gadais, C.; Piekielna-Ciesielska, J.; De Neve, J.; Martin, C.; Janecka, A.; Ballet, S. Harnessing the Anti-Nociceptive Potential of NK2 and NK3 Ligands in the Design of New Multifunctional μ/δ-Opioid Agonist–Neurokinin Antagonist Peptidomimetics. Molecules 2021, 26, 5406. https://doi.org/10.3390/molecules26175406
Gadais C, Piekielna-Ciesielska J, De Neve J, Martin C, Janecka A, Ballet S. Harnessing the Anti-Nociceptive Potential of NK2 and NK3 Ligands in the Design of New Multifunctional μ/δ-Opioid Agonist–Neurokinin Antagonist Peptidomimetics. Molecules. 2021; 26(17):5406. https://doi.org/10.3390/molecules26175406
Chicago/Turabian StyleGadais, Charlène, Justyna Piekielna-Ciesielska, Jolien De Neve, Charlotte Martin, Anna Janecka, and Steven Ballet. 2021. "Harnessing the Anti-Nociceptive Potential of NK2 and NK3 Ligands in the Design of New Multifunctional μ/δ-Opioid Agonist–Neurokinin Antagonist Peptidomimetics" Molecules 26, no. 17: 5406. https://doi.org/10.3390/molecules26175406
APA StyleGadais, C., Piekielna-Ciesielska, J., De Neve, J., Martin, C., Janecka, A., & Ballet, S. (2021). Harnessing the Anti-Nociceptive Potential of NK2 and NK3 Ligands in the Design of New Multifunctional μ/δ-Opioid Agonist–Neurokinin Antagonist Peptidomimetics. Molecules, 26(17), 5406. https://doi.org/10.3390/molecules26175406

