Penetration and Displacement Behavior of N2 in Porous Interlayer Structures Containing Water/Salt Component by Molecular Dynamics Simulation
Abstract
:1. Introduction
2. Model and Method
3. Discussion
3.1. Displacement of Water/Salt by N2
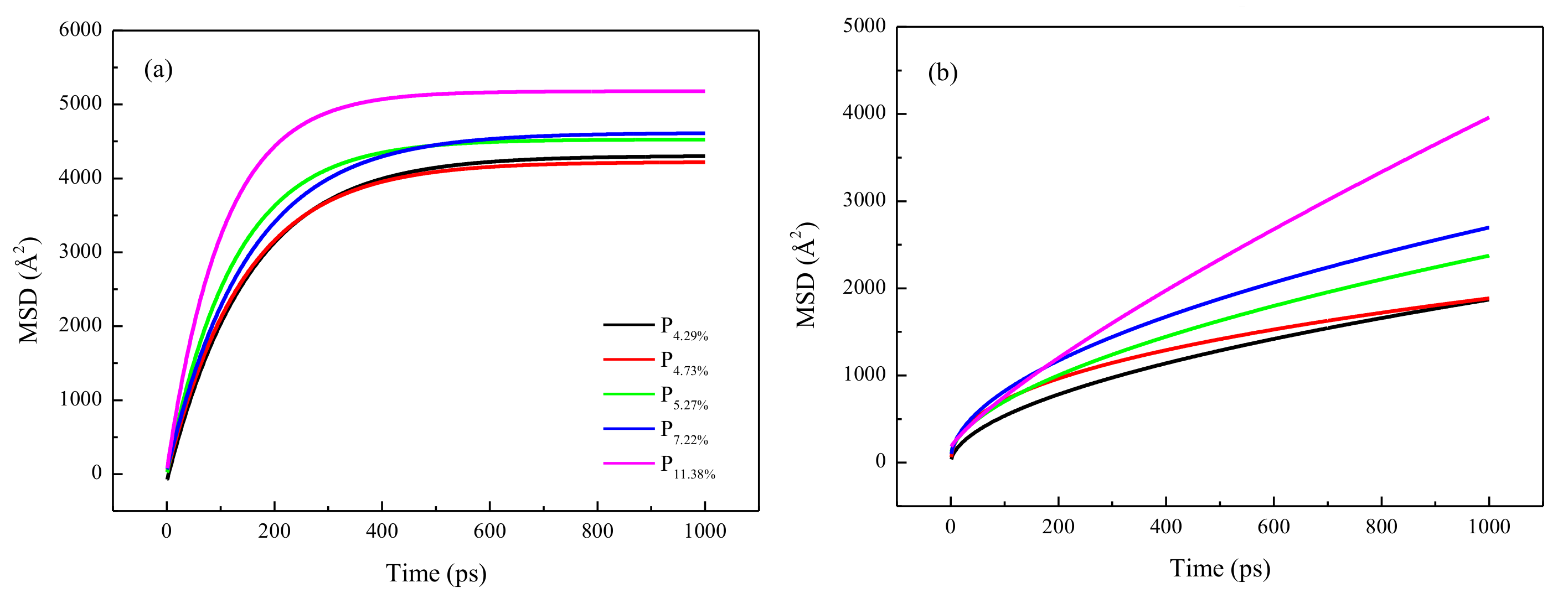
3.2. Movability Evaluation
3.3. Distribution of H2O, N2, and Salt in Interlayer Structure
3.4. Interaction between N2 and H2O
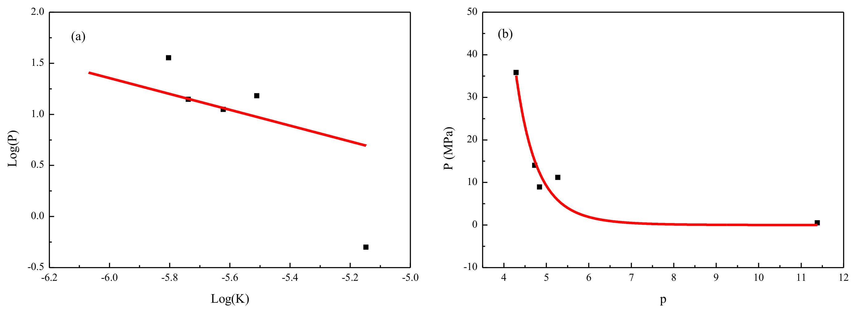
3.5. The Relationship between the Parameters
4. Conclusions
Author Contributions
Funding
Institutional Review Board Statement
Informed Consent Statement
Data Availability Statement
Acknowledgments
Conflicts of Interest
References
- Zhe, C.; Haijun, J.; Yang, L.; Ruyue, W.; Zhaojie, X. Progress and development directions of deep oil and gas exploration and development in China. China Petrol. Explor. 2020, 25, 45–57. [Google Scholar]
- Kumar, R.; Strezov, V.; Weldekidan, H.; He, J.; Singh, S.; Kan, T.; Dastjerdi, B. Lignocellulose biomass pyrolysis for bio-oil production: A review of biomass pre-treatment methods for production of drop-in fuels. Renew. Sust. Energ. Rev. 2020, 123, 109763. [Google Scholar] [CrossRef]
- Zhou, S.; Wang, Z.; Wang, M.; Wang, J.; Wei, S.; Guo, W.; Lu, X. Nanoporous boron nitride membranes for helium separation. ACS Appl. Nano Mater. 2019, 2, 4471–4479. [Google Scholar] [CrossRef]
- Li, S.; Lu, C.; Wu, M.; Hu, Z.; Li, Z.; Wang, Z. New insight into CO2 huff-n-puff process for extraheavy oil recovery via viscosity reducer agents: An experimental study. J. CO2 Util. 2020, 42, 101312. [Google Scholar] [CrossRef]
- Yuan, S.; Wang, Q. New progress and prospect of oilfields development technologies in China. Petrol. Explor. Dev. 2018, 45, 698–711. [Google Scholar] [CrossRef]
- Zhou, S.; Wang, M.; Wang, J.; Xin, H.; Liu, S.; Wang, Z.; Wei, S.; Lu, X. Carbon phosphides: Promising electric field controllable nanoporous materials for CO2 capture and separation. J. Mater. Chem. A 2020, 8, 9970–9980. [Google Scholar] [CrossRef]
- Al-Khdheeawi, E.A.; Vialle, S.; Barifcani, A.; Sarmadivaleh, M.; Iglauer, S. Effect of wettability heterogeneity and reservoir temperature on CO2 storage efficiency in deep saline aquifers. Int. J. Greenh. Gas Control. 2018, 68, 216–229. [Google Scholar] [CrossRef]
- Liu, W.; Tan, C.; Dong, X.; Dong, F.; Murai, Y. Dispersed oil–water two-phase flow measurement based on pulse-wave ultrasonic doppler coupled with electrical sensors. IEEE T. Instrum. Meas. 2018, 67, 2129–2142. [Google Scholar] [CrossRef]
- Shijun, H.; Hao, X.; Shaolei, W.; Chenghui, H.; Yang, Y. Physical simulation of the interlayer effect on SAGD production in mackay river oil sands. Fuel 2016, 183, 373–385. [Google Scholar] [CrossRef]
- Shi, X.; Wang, P.; Wang, L.; Bai, Y.; Xie, H.; Zhou, Y.; Wang, J.A.; Li, Z.; Qu, L.; Shi, M.; et al. Few layered BiOBr with expanded interlayer spacing and oxygen vacancies for efficient decomposition of real oil field produced wastewater. ACS Sustain. Chem. Eng. 2018, 6, 13739–13746. [Google Scholar] [CrossRef]
- Ho, T.A.; Wang, Y.; Jové Colón, C.F.; Coker, E.N. Fast advective water flow through nanochannels in clay interlayers: Implications for moisture transport in soils and unconventional oil/gas production. ACS Appl. Nano Mater. 2020, 3, 11897–11905. [Google Scholar] [CrossRef]
- Wang, C.; Yang, H.; Le, P.J.B.; Su, B. Rigin of interbeds and the influence on distribution of remaining oil—taking command of the hudson donghe sandstone oilfiled. Xinjiang Oil Gas 2019, 15, 15–20. [Google Scholar]
- Luo, X.R.; Zhang, L.Q.; Zhang, L.K.; Lei, Y.H.; Cheng, M.; Shi, H.; Cao, B.F. Heterogeneity of clastic carrier bed and hydrocarbon migration and accumulation. Acta Pet. Sin. 2020, 41, 253–272. [Google Scholar]
- Yuetian, W.J.L. Influence Across the Mezzanine Level on the Development Effect of Fracturing for Horizontal Well. Well Test. 2011, 20, 37–39. [Google Scholar]
- Zhou, S.; Wang, M.; Wei, S.; Cao, S.; Wang, Z.; Liu, S.; Sun, D.; Lu, X. First-row transition-metal-doped graphyne for ultrahigh-performance CO2 capture and separation over N2/CH4/H2. Mater. Today Phys. 2021, 16, 100301. [Google Scholar] [CrossRef]
- Hosseini, S.S.; Teoh, M.M.; Chung, T.S. Hydrogen separation and purification in membranes of miscible polymer blends with interpenetration networks. Polymer 2008, 49, 1594–1603. [Google Scholar] [CrossRef]
- Fang, T.; Wang, M.; Gao, Y.; Zhang, Y.; Yan, Y.; Zhang, J. Enhanced oil recovery with CO2/N2 slug in low permeability reservoir: Molecular dynamics simulation. Chem. Eng. Sci. 2019, 197, 204–211. [Google Scholar] [CrossRef]
- Lyu, Q.; Sun, S.; Li, C.; Hu, S.; Lin, L.C. Rational Design of two-dimensional hydrocarbon polymer as ultrathin-film nanoporous membranes for water desalination. ACS Appl. Mater. Interfaces 2018, 10, 18778–18786. [Google Scholar] [CrossRef]
- Zhou, S.; Lu, X.; Wu, Z.; Jin, D.; Guo, C.; Wang, M.; Wei, S. Diffusion and separation of CH4/N2 in pillared graphene nanomaterials: A molecular dynamics investigation. Chem. Phys. Lett. 2016, 660, 272–276. [Google Scholar] [CrossRef]
- Heinz, H.; Vaia, R.A.; Farmer, B.L.; Naik, R.R. Accurate simulation of surfaces and interfaces of face-centered cubic metals using 12−6 and 9−6 lennard-jones potentials. J. Phys. Chem. C 2008, 112, 17281–17290. [Google Scholar] [CrossRef]
- Berendsen, H.J.C.; Grigera, J.R.; Straatsma, T.P. The missing term in effective pair potentials. J. Phys. Chem. 1987, 91, 6269–6271. [Google Scholar] [CrossRef]
- Ryckaert, J.-P.; Ciccotti, G.; Berendsen, H.J.C. Numerical integration of the cartesian equations of motion of a system with constraints: Molecular dynamics of n-alkanes. J. Comput. Phys. 1977, 23, 327–341. [Google Scholar] [CrossRef] [Green Version]
- Chae, K.; Violi, A. Mutual diffusion coefficients of heptane isomers in nitrogen: A molecular dynamics study. J. Chem. Phys. 2011, 134, 044537. [Google Scholar] [CrossRef] [PubMed]
- Cygan, R.T.; Liang, J.J.; Kalinichev, A.G. Molecular models of hydroxide, oxyhydroxide, and clay phases and the development of a general force field. J. Phys. Chem. B 2004, 108, 1255–1266. [Google Scholar] [CrossRef]
- Hoover, W.G. Canonical dynamics: Equilibrium phase-space distributions. Phys. Rev. A 1985, 31, 1695–1697. [Google Scholar] [CrossRef] [Green Version]
- Nosé, S. A molecular dynamics method for simulations in the canonical ensemble. Mol. Phys. 1984, 52, 255–268. [Google Scholar] [CrossRef]
- Plimpton, S. Fast parallel algorithms for short-range molecular dynamics. J. Comput. Phys. 1995, 117, 1–19. [Google Scholar] [CrossRef] [Green Version]
- Nguyen, V.D.; Béchet, E.; Geuzaine, C.; Noels, L. Imposing periodic boundary condition on arbitrary meshes by polynomial interpolation. Comput. Mater. Sci. 2012, 55, 390–406. [Google Scholar] [CrossRef] [Green Version]
- Xu, Z.; Yuan, S.L.; Yan, H.; Liu, C.B. Adsorption of histidine and histidine-containing peptides on Au(111): A molecular dynamics study. Colloid. Surfaces A 2011, 380, 135–142. [Google Scholar] [CrossRef]
- Gholizadeh, R.; Wang, Y. Molecular dynamics simulation of the aggregation phenomenon in the late stages of silica materials preparation. Chem. Eng. Sci. 2018, 184, 62–71. [Google Scholar] [CrossRef]







| Porosity | 4.29% | 4.73% | 5.27% | 7.22% | 11.38% |
| Permeability | 1.57 × 10−6 | 1.83 × 10−6 | 2.39 × 10−6 | 3.09 × 10−6 | 7.12 × 10−6 |
Publisher’s Note: MDPI stays neutral with regard to jurisdictional claims in published maps and institutional affiliations. |
© 2021 by the authors. Licensee MDPI, Basel, Switzerland. This article is an open access article distributed under the terms and conditions of the Creative Commons Attribution (CC BY) license (https://creativecommons.org/licenses/by/4.0/).
Share and Cite
Jiang, Z.; Sima, L.; Qi, L.; Wang, X.; Wang, J.; Leng, Z.; Zhao, T. Penetration and Displacement Behavior of N2 in Porous Interlayer Structures Containing Water/Salt Component by Molecular Dynamics Simulation. Molecules 2021, 26, 5168. https://doi.org/10.3390/molecules26175168
Jiang Z, Sima L, Qi L, Wang X, Wang J, Leng Z, Zhao T. Penetration and Displacement Behavior of N2 in Porous Interlayer Structures Containing Water/Salt Component by Molecular Dynamics Simulation. Molecules. 2021; 26(17):5168. https://doi.org/10.3390/molecules26175168
Chicago/Turabian StyleJiang, Zhibin, Liqiang Sima, Lisha Qi, Xiaoguang Wang, Jie Wang, Zhenpeng Leng, and Tianpeng Zhao. 2021. "Penetration and Displacement Behavior of N2 in Porous Interlayer Structures Containing Water/Salt Component by Molecular Dynamics Simulation" Molecules 26, no. 17: 5168. https://doi.org/10.3390/molecules26175168
APA StyleJiang, Z., Sima, L., Qi, L., Wang, X., Wang, J., Leng, Z., & Zhao, T. (2021). Penetration and Displacement Behavior of N2 in Porous Interlayer Structures Containing Water/Salt Component by Molecular Dynamics Simulation. Molecules, 26(17), 5168. https://doi.org/10.3390/molecules26175168

