Fabrication of an Anti-Reflective Microstructure on ZnS by Femtosecond Laser Bessel Beams
Abstract
:1. Introduction
2. Results and Discussion
2.1. Optical Design and Laser Intensity Distribution of Bessel Beams
2.2. The Microhole Ablated by Gaussian Beam
2.3. The Microhole Ablated by Fs Bessel Beam
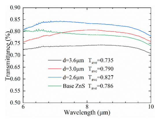
2.4. The ASS Microhole Array Ablated by Bessel Beam
3. Materials and Methods
4. Conclusions
Author Contributions
Funding
Institutional Review Board Statement
Informed Consent Statement
Data Availability Statement
Conflicts of Interest
Sample Availability
References
- Zhang, F.; Duan, J.; Zhou, X.F.; Wang, C. Broadband and wide-angle antireflective subwavelength microstructures on zinc sulfide fabricated by femtosecond laser parallel multi-beam. Opt. Express 2018, 2, 34016–34030. [Google Scholar] [CrossRef]
- Zhang, F.; Wang, H.; Wang, C.; Zhao, Y.; Duan, J. Direct femtosecond laser writing of inverted array for broadband antireflection in the far-infrared. Opt. Lasers Eng. 2020, 129, 106062. [Google Scholar] [CrossRef]
- Li, Y.; Zhang, T.; Fan, S.; Cheng, G. Fabrication of micro hole array on the surface of CVD ZnS by scanning ultrafast pulse laser for antireflection. Opt. Mater. 2017, 66, 356–360. [Google Scholar] [CrossRef]
- Yoo, Y.J.; Chang, K.S.; Hong, S.W.; Song, Y.M. Design of ZnS antireflective microstructures for mid- and far-infrared applications. Opt. Quantum Electron. 2015, 47, 1503–1508. [Google Scholar] [CrossRef]
- Tec-Yam, S.; Rojas, J.; Rejón, V.; Oliva, A.I. High quality antireflective ZnS thin films prepared by chemical bath deposition. Mater. Chem. Phys. 2012, 136, 386–393. [Google Scholar] [CrossRef]
- Zhu, J.Q.; Jiang, C.Z.; Han, X.; Han, J.C.; Meng, S.H.; Hu, C.Q.; Zheng, W.T. Multilayer antireflective and protective coatings comprising amorphous diamond and amorphous hydrogenated germanium carbide for ZnS optical elements. Thin Solid Films 2008, 516, 3117–3122. [Google Scholar] [CrossRef]
- Chan, L.; DeCuir, E.A., Jr.; Fu, R.; Morse, D.E.; Gordon, M.J. Biomimetic nanostructures in ZnS and ZnSe provide broadband anti-reflectivity. J. Opt. 2017, 19, 114007. [Google Scholar] [CrossRef]
- Xu, B.B.; Sun, H.B.; Wang, L.; Chen, Q.D.; Lin, X.F.; Lu, Z.H. Rapid fabrication of large-area periodic structures by multiple exposure of two-beam interference. J. Lightwave Technol. 2012, 31, 276–281. [Google Scholar]
- Karlsson, M.; Nikolajeff, F. Diamond micro-optics: Microlenses and antireflection structured surfaces for the infrared spectral region. Opt. Express 2003, 11, 502–507. [Google Scholar] [CrossRef] [PubMed]
- Yoo, Y.J.; Kim, Y.J.; Kim, S.Y.; Lee, J.H.; Kim, K.; Ko, J.H. Mechanically robust antireflective moth-eye structures with a tailored coating of dielectric materials. Opt. Mater. Express 2019, 9, 4178–4186. [Google Scholar] [CrossRef]
- Leem, J.W.; Yu, J.S. Indium tin oxide subwavelength nanostructures with surface an- tireflection and superhydrophilicity for high-efficiency si-based thin film solar cells. Opt. Express 2012, 20, A431. [Google Scholar] [CrossRef] [PubMed]
- Chan, L.W.; Morse, D.E.; Gordon, M.J. Moth eye-inspired anti-reflective surfaces for improved IR optical systems & visible LEDs fabricated with colloidal lithography and etching. Bioinspired Biomim. Nanobiomater. 2018, 13, 041001. [Google Scholar]
- Li, T.; Fan, T.; Ding, J.; Lou, S. Antireflective amorphous carbon nanocone arrays inspired from compound eyes. Bioinspired Biomim. Nanobiomater. 2014, 3, 29–37. [Google Scholar] [CrossRef]
- Yin, K.; Chu, D.; Dong, X.; Wang, C.; Duan, J.A.; He, J. Femtosecond laser induced robust periodic nanoripple structured mesh for highly efficient oil-water separation. Nanoscale 2017, 9, 14229–14235. [Google Scholar] [CrossRef] [PubMed]
- Kuroo, S.; Oyama, S.; Shiraishi, K.; Sasho, H.; Fukushima, K. Reduction of light reflection at silicon-plate surfaces by means of subwavelength gratings in terahertz region. Appl. Opt. 2010, 49, 2806–2812. [Google Scholar] [CrossRef] [PubMed]
- Vertchenko, L.; Shkondin, E.; Malureanu, R.; Monken, C. Laguerre-Gauss beam generation in IR and UV by subwavelength surface-relief gratings. Opt. Express 2017, 25, 5917–5926. [Google Scholar] [CrossRef] [Green Version]
- Lohmuller, T.L.; Helgert, M.; Sundermann, M.; Brunner, R.; Spatz, J.P. Biomimetic Interfaces for High-Performance Optics in the Deep-UV Light Range. Nano Lett. 2008, 8, 1429–1433. [Google Scholar]
- Ye, X.; Jiang, X.; Huang, J.; Geng, F.; Sun, L.; Zu, X.; Wu, W.; Zheng, W. Formation of broadband antireflective and superhydrophilic subwavelength structures on fused silica using one-step self-masking reactive ion etching. Sci. Rep. 2015, 5, 13023. [Google Scholar] [CrossRef] [PubMed] [Green Version]
- Chen, X.; Fan, Z.C.; Xu, Y.; Song, G.F.; Chen, L.H. Fabrication of biomimic GaAs subwavelength grating structures for broadband and angular-independent antireflection. Microelectron. Eng. 2011, 88, 2889–2893. [Google Scholar] [CrossRef]
- Zhang, Y.; Yuan, M.; Chen, L.; Cai, B.; Yang, R.; Zhu, Y. Broadband terahertz anti-reflective structure fabricated by femtosecond laser drilling technique. Opt. Commun. 2016, 361, 148–152. [Google Scholar] [CrossRef]
- Ionin, A.A.; Klimachev, Y.M.; Kozlov, A.Y.; Kudryashov, S.I.; Ligachev, A.E.; Makarov, S.V.; Seleznev, L.V.; Sinitsyn, D.V.; Rudenko, A.A.; Khmelnitsky, R.A. Direct femtosecond laser fabrication of antireflective layer on GaAs surface. Appl. Phys. B 2013, 111, 419–423. [Google Scholar] [CrossRef]
- Li, Q.K.; Cao, J.J.I.; Yu, Y.H.; Wang, L.; Sun, Y.L.; Che, Q.D.; Sun, H.B. Fabrication of an anti-reflective microstructure on sapphire by femtosecond laser direct writing. Opt. Lett. 2017, 42, 543–546. [Google Scholar] [CrossRef]
- Bushunov, A.A.; Tarabrin, M.K.; Lazarev, V.A.; Karasik, V.E.; Korostelin, Y.V.; Frolov, M.P.; Skasyrsky, Y.K.; Kozlovsky, V.I. Fabrication of anti-reflective microstructures on chalcogenide crystals by femtosecond laser ablation. Opt. Mater. Express 2019, 9, 1689–1697. [Google Scholar] [CrossRef]
- Toratani, E.; Kamata, M.; Obara, M. Self-fabrication of void array in fused silica by femtosecond laser processing. Appl. Phys. Lett. 2005, 87, 171103. [Google Scholar] [CrossRef]
- Bhuyan, M.K.; Courvoisier, F.; Lacourt, P.A.; Jacquot, M.; Furfaro, L.; Withford, M.J.; Dudley, J.M. High aspect ratio taper-free microchannel fabrication using femtosecond Bessel beams. Opt. Express 2010, 18, 566–574. [Google Scholar] [CrossRef]
- Utéza, O.; Sanner, N.; Chimier, B.; Brocas, A.; Varkentina, N.; Sentis, M.; Lassonde, P.; Légaré, F.; Kieffer, J.C. Control of material removal of fused silica with single pulses of few optical cycles to sub-picosecond duration. Appl. Phys. A 2011, 105, 131–141. [Google Scholar] [CrossRef]
- Bonse, J.; Rosenfeld, A.; Kruger, J. On the role of surface plasmon polaritons in the formation of laser-induced periodic surface structures upon irradiation of silicon by femtosecond-laser pulses. J. Appl. Phys. 2009, 106, 3688. [Google Scholar] [CrossRef]
- Guay, J.M.; Villafranca, A.; Baset, F. Polarization-dependent femtosecond laser ablation of poly-methyl methacrylate. New. J. Phys. 2012, 14, 085010. [Google Scholar] [CrossRef]
- Reif, J.; Martens, C.; Uhlig, S. On large area LIPSS coverage by multiple pulses. Appl. Surf. Sci. 2015, 336, 249–254. [Google Scholar] [CrossRef]
- Höhm, S.; Herzlieb, M.; Rosenfeld, A. Dynamics of the formation of laserinduced periodic surface structures (LIPSS) upon femtosecond two-color doublepulse irradiation of metals, semiconductors, and dielectrics. Appl. Surf. Sci. 2016, 374, 331–338. [Google Scholar] [CrossRef]
- Liu, X.; Li, Q.; Sikora, A.; Sentis, M.; Utéza, O.; Stoian, R.; Zhao, W.; Cheng, G.; Sanner, N. Truncated Gaussian-Bessel beams for shortpulse processing of small-aspect-ratio microchannels in dielectrics. Opt. Express 2019, 27, 1689–1697. [Google Scholar]
- Fan, P.X.; Bai, B.F.; Zhong, M.L.; Zhang, H.J.; Long, J.Y.; Han, J.P.; Wang, W.Q.; Jin, G.F. General Strategy towards Dual-Scale Controlled Metallic Micro-Nano Hybrid Structures with Ultralow Reflectance. ACS Nano 2017, 11, 7401–7408. [Google Scholar] [CrossRef] [PubMed]
- Arguello, C.A.; Rousseau, D.L.; Porto, S.P.S. First-Order Raman Effect in Wurtzite-Type Crystals. Phys. Rev. 1969, 181, 1351. [Google Scholar] [CrossRef]









Publisher’s Note: MDPI stays neutral with regard to jurisdictional claims in published maps and institutional affiliations. |
© 2021 by the authors. Licensee MDPI, Basel, Switzerland. This article is an open access article distributed under the terms and conditions of the Creative Commons Attribution (CC BY) license (https://creativecommons.org/licenses/by/4.0/).
Share and Cite
Li, X.; Li, M.; Liu, H.; Guo, Y. Fabrication of an Anti-Reflective Microstructure on ZnS by Femtosecond Laser Bessel Beams. Molecules 2021, 26, 4278. https://doi.org/10.3390/molecules26144278
Li X, Li M, Liu H, Guo Y. Fabrication of an Anti-Reflective Microstructure on ZnS by Femtosecond Laser Bessel Beams. Molecules. 2021; 26(14):4278. https://doi.org/10.3390/molecules26144278
Chicago/Turabian StyleLi, Xun, Ming Li, Hongjun Liu, and Yan Guo. 2021. "Fabrication of an Anti-Reflective Microstructure on ZnS by Femtosecond Laser Bessel Beams" Molecules 26, no. 14: 4278. https://doi.org/10.3390/molecules26144278
APA StyleLi, X., Li, M., Liu, H., & Guo, Y. (2021). Fabrication of an Anti-Reflective Microstructure on ZnS by Femtosecond Laser Bessel Beams. Molecules, 26(14), 4278. https://doi.org/10.3390/molecules26144278
